Enhancing the Texture and Sensory Properties of Pickled Cucumbers with Different Brine Solutions
Abstract
1. Introduction
2. Materials and Methods
2.1. Materials
2.2. Experiments During the Shelf-Life
2.3. Brine and Tissue Components
2.4. Texture Analysis
2.5. Sensory Assessment
2.6. Experimental Design and Statistical Analysis
3. Results and Discussion
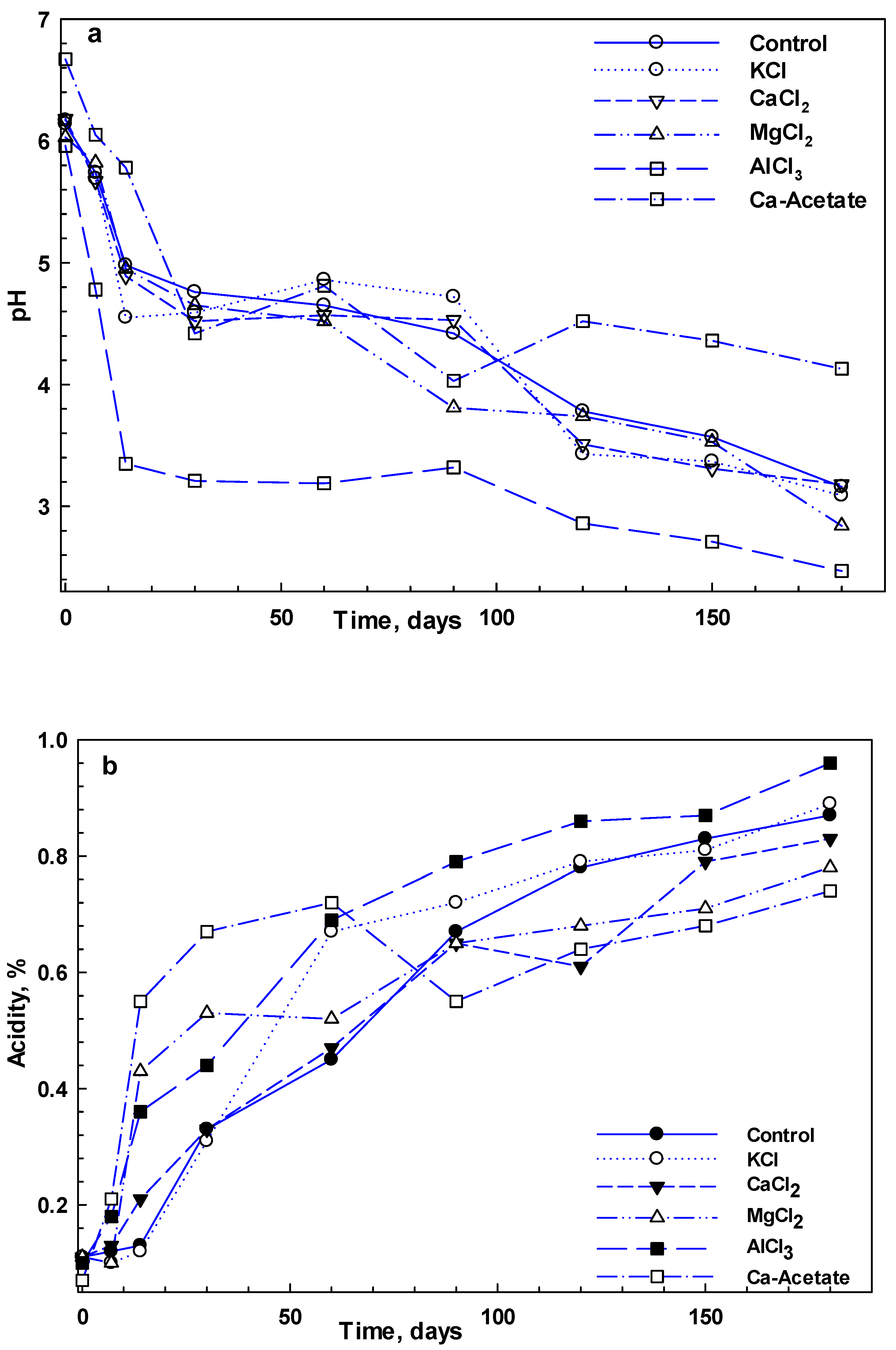
3.1. pH and Titratable Acidity Changes During Fermentation
3.2. Textural Properties
3.3. Sensorial Properties
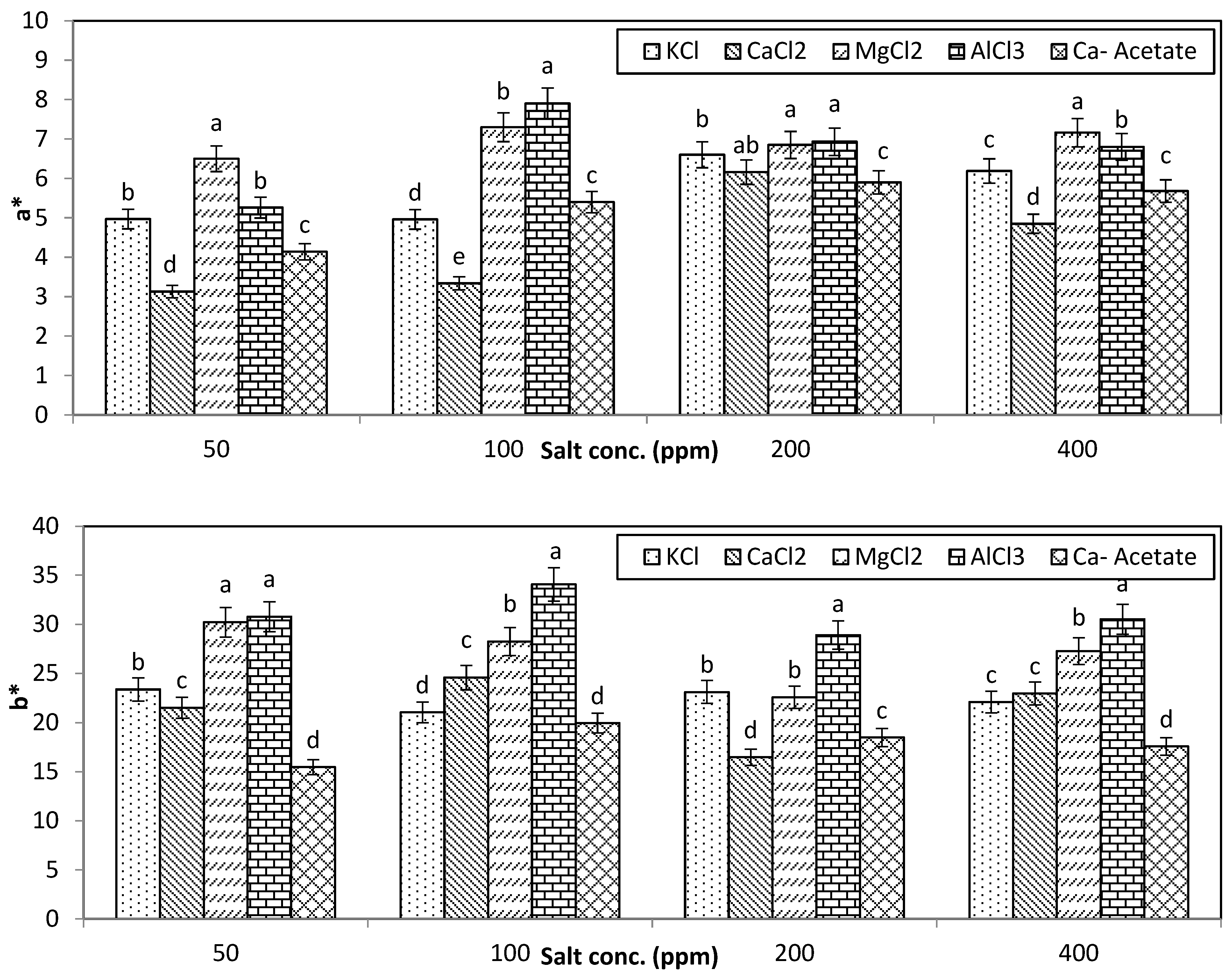
3.4. Color Attributes
4. Conclusions
Author Contributions
Funding
Institutional Review Board Statement
Informed Consent Statement
Data Availability Statement
Conflicts of Interest
References
- Breidt, F.; McFeeters, R.F.; Perez-Diaz, I.; Lee, C.H. Fermented Vegetables. In Food Microbiology: Fundamentals and Frontiers; Wiley: Hoboken, NJ, USA, 2012; pp. 841–855. [Google Scholar] [CrossRef]
- Fleming, H.; McFeeters, R.F.; Thompson, R. Effects of Sodium Chloride Concentration on Firmness Retention of Cucumbers Fermented and Stored with Calcium Chloride. J. Food Sci. 1987, 52, 653–657. [Google Scholar] [CrossRef]
- Thompson, R.L.; Fleming, H.P.; Monroe, R.J. Effects of Storage Conditions on Firmness of Brined Cucumbers. J. Food Sci. 1979, 44, 843–846. [Google Scholar] [CrossRef]
- Hudson, J.M.; Buescher, R.W. Prevention of Soft Center Development in Large Whole Cucumber Pickles by Calcium. J. Food Sci. 1980, 45, 1450–1451. [Google Scholar] [CrossRef]
- Tang, H.-C.L.; McFeeters, R.F. Relationships among Cell Wall Constituents, Calcium and Texture during Cucumber Fermentation and Storage. J. Food Sci. 1983, 48, 66–70. [Google Scholar] [CrossRef]
- Buescher, R.; Hudson, J. Bound Cations in Cucumber Pickle Mesocarp Tissue as Affected by Brining and CaCl2. J. Food Sci. 1986, 51, 135–137. [Google Scholar] [CrossRef]
- Fleming, H.P.; Humphries, E.G.; Fasina, O.O.; McFeeters, R.F.; Thompson, R.L.; Breidt, F., Jr. Bag-in-box technology: Pilot System for Process-Ready, Fermented Cucumbers. Pickle Pak Sci. 2002, 8, 1–8. [Google Scholar]
- Buescher, R.; Hamilton, C. Protection of cucumber pickle quality by CaNa2EDTA 1. J. Food Qual. 2000, 23, 429–441. [Google Scholar] [CrossRef]
- Buescher, R.; Hamilton, C.; Thorne, J.; Cho, M.J. Elevated Calcium Chloride in Cucumber Fermentation Brine Prolongs Pickle Product Crispness. J. Food Qual. 2011, 34, 93–99. [Google Scholar] [CrossRef]
- McFeeters, R.F.; Fleming, H.P. Inhibition of Cucumber Tissue Softening in Acid Brines by Multivalent Cations: Inadequacy of the Pectin‘ egg Box’ model to Explain Textural Effects. J. Agric. Food Chem. 1989, 37, 1053–1059. [Google Scholar] [CrossRef]
- Rendleman, J.A. Metal-Polysaccharide complexes—Part I. Food Chem. 1978, 3, 47–79. [Google Scholar] [CrossRef]
- Kohn, R.; Furda, I. Interaction of Calcium and Potassium Ions with Carboxyl Groups of Pectin. Collect. Czechoslov. Chem. Commun. 1967, 32, 4470–4484. [Google Scholar] [CrossRef]
- Sibikina, O.V.; Iozep, A.A.; Moskvin, A.V. Polysaccharide Complexes with Metal Cations: Structure and Application (a Review). Pharm. Chem. J. 2009, 43, 341–345. [Google Scholar] [CrossRef]
- Pérez-Díaz, I.M.; McFeeters, R.F.; Moeller, L.; Johanningsmeier, S.D.; Hayes, J.; Fornea, D.S.; Rosenberg, L.; Gilbert, C.; Custis, N.; Beene, K.; et al. Commercial Scale Cucumber Fermentations Brined with Calcium Chloride Instead of Sodium Chloride. J. Food Sci. 2015, 80, M2827–M2836. [Google Scholar] [CrossRef]
- Buescher, R.W.; Burgin, C. Effect of Calcium Chloride and Alum on Fermentation, Desalting, and Firmness Retention of Cucumber Pickles. J. Food Sci. 1988, 53, 296–297. [Google Scholar] [CrossRef]
- Ferguson, I.B. Calcium in Plant Senescence and Fruit Ripening. Plant Cell Environ. 1984, 7, 477–489. [Google Scholar] [CrossRef]
- Bell, T.A.; Turney, L.J.; Etchells, J.L. Influence of Different Organic Acids on the Firmness of Fresh-pack Pickles. J. Food Sci. 1972, 37, 446–449. [Google Scholar] [CrossRef]
- Etchells, J.L.; Fleming, H.P.; Hontz, L.H.; Bell, T.A.; Monroe, R.S. Factors Influencing Bloater Formation in Brined Cucumbers during Controlled Fermentation. J. Food Sci. 1975, 40, 569–575. [Google Scholar] [CrossRef]
- Fleming, H.; Mcdonald, L.; Mcfeeters, R.; Thompson, R.; Humphries, E. Fermentation of Cucumbers Without Sodium Chloride. J. Food Sci. 1995, 60, 312–315. [Google Scholar] [CrossRef]
- Pennington, J.A.; Schoen, S.A. Estimates of Dietary Exposure to Aluminium. Food Addit. Contam. 1995, 12, 119–128. [Google Scholar] [CrossRef] [PubMed]
- Eshkour, M.A.; Ghorbani-HasanSaraei, A.; Rafe, A.; Shahidi, S.-A.; Raeisi, S.N. Effect of Calcium Salts on the Firmness and Physicochemical and Sensorial Properties of Iranian Black Olive Cultivars. Foods 2023, 12, 2970. [Google Scholar] [CrossRef]
- McFeeters, R.F.; Senter, M.M.; Fleming, H.P. Softening Effects of Monovalent Cations in Acidified Cucumber Mesocarp Tissue. J. Food Sci. 1989, 54, 366–370. [Google Scholar] [CrossRef]
- Lu, Z.; Fleming, H.; Mc Feeters, R.; Yoon, S. Effects of Anions and Cations on Sugar Utilization in Cucumber Juice Fermentation. J. Food Sci. 2002, 67, 1155–1161. [Google Scholar] [CrossRef]
- Abdollahi Moghaddam, M.R.; Rafe, A.; Taghizadeh, M. Kinetics of Color and Physical Attributes of Cookie during Deep-fat Frying by Image Processing Techniques. J. Food Process. Preserv. 2015, 39, 91–99. [Google Scholar] [CrossRef]
- Mousavi, S.M.R.; Rafe, A.; Yeganehzad, S. Textural, Mechanical, and Microstructural Properties of Restructured Pimiento Alginate-Guar Gels. J. Texture Stud. 2019, 50, 155–164. [Google Scholar] [CrossRef] [PubMed]
- López-López, A.; Sánchez-Gómez, A.; Montaño, A.; Cortés-Delgado, A.; Garrido-Fernández, A. Sensory Characterisation of Black Ripe Table Olives from Spanish Manzanilla and Hojiblanca Cultivars. Food Res. Int. 2019, 116, 114–125. [Google Scholar] [CrossRef] [PubMed]
- Zheng, X.-F.; Yang, Z.-Q.; Zhang, H.; Jin, W.-X.; Xu, C.-W.; Gao, L.; Rao, S.-Q.; Jiao, X.-A. Isolation of virulent phages infecting dominant mesophilic aerobic bacteria in cucumber pickle fermentation. Food Microbiol. 2020, 86, 103330. [Google Scholar] [CrossRef] [PubMed]
- McFeeters, R.F.; Pérez-Díaz, I. Fermentation of Cucumbers Brined with Calcium Chloride instead of Sodium Chloride. J. Food Sci. 2010, 75, C291–C296. [Google Scholar] [CrossRef] [PubMed]
- Pérez-Díaz, I.M.; Hayes, J.S.; Medina, E.; Webber, A.M.; Butz, N.; Dickey, A.N.; Lu, Z.; Azcarate-Peril, M.A. Assessment of the non-lactic acid bacteria microbiota in fresh cucumbers and commercially fermented cucumber pickles brined with 6% NaCl. Food Microbiol. 2018, 77, 10–20. [Google Scholar] [CrossRef]
- Butler, J.N. Ionic Equilibrium: Solubility and pH Calculations; John Wiley & Sons: Hoboken, NJ, USA, 1998. [Google Scholar]
- Rodrigo, M.; Alvarruiz, A. The Influence of Fermentation and Pasteurization on the Texture of Cucumber Pickles. J. Food Eng. 1988, 7, 113–125. [Google Scholar] [CrossRef]
- McMurtrie, E.K.; Johanningsmeier, S.D.; Breidt, F., Jr.; Price, R.E. Effect of Brine Acidification on Fermentation Microbiota, Chemistry, and Texture Quality of Cucumbers Fermented in Calcium or Sodium Chloride Brines. J. Food Sci. 2019, 84, 1129–1137. [Google Scholar] [CrossRef] [PubMed]
- Yoo, K.M.; Hwang, I.K.; Eog, G., Jr.; Moon, B. Effects of Salts and Preheating Temperature of Brine on the Texture of Pickled Cucumbers. J. Food Sci. 2006, 71, C97–C101. [Google Scholar] [CrossRef]
- Ariana, D.P.; Lu, R. Evaluation of Internal Defect and Surface Color of Whole Pickles Using Hyperspectral Imaging. J. Food Eng. 2010, 96, 583–590. [Google Scholar] [CrossRef]
- Kavdir, I.; Lu, R.; Ariana, D.; Ngouajio, M. Visible and near-Infrared Spectroscopy for Nondestructive Quality Assessment of Pickling Cucumbers. Postharvest Biol. Technol. 2007, 44, 165–174. [Google Scholar] [CrossRef]








Disclaimer/Publisher’s Note: The statements, opinions and data contained in all publications are solely those of the individual author(s) and contributor(s) and not of MDPI and/or the editor(s). MDPI and/or the editor(s) disclaim responsibility for any injury to people or property resulting from any ideas, methods, instructions or products referred to in the content. |
© 2025 by the authors. Licensee MDPI, Basel, Switzerland. This article is an open access article distributed under the terms and conditions of the Creative Commons Attribution (CC BY) license (https://creativecommons.org/licenses/by/4.0/).
Share and Cite
Yousefi, M.; Arianfar, A.; Hakimzadeh, V.; Rafe, A. Enhancing the Texture and Sensory Properties of Pickled Cucumbers with Different Brine Solutions. Foods 2025, 14, 336. https://doi.org/10.3390/foods14030336
Yousefi M, Arianfar A, Hakimzadeh V, Rafe A. Enhancing the Texture and Sensory Properties of Pickled Cucumbers with Different Brine Solutions. Foods. 2025; 14(3):336. https://doi.org/10.3390/foods14030336
Chicago/Turabian StyleYousefi, Mahdieh, Akram Arianfar, Vahid Hakimzadeh, and Ali Rafe. 2025. "Enhancing the Texture and Sensory Properties of Pickled Cucumbers with Different Brine Solutions" Foods 14, no. 3: 336. https://doi.org/10.3390/foods14030336
APA StyleYousefi, M., Arianfar, A., Hakimzadeh, V., & Rafe, A. (2025). Enhancing the Texture and Sensory Properties of Pickled Cucumbers with Different Brine Solutions. Foods, 14(3), 336. https://doi.org/10.3390/foods14030336

