Foodborne Lactic Acid Bacteria Inactivate Planktonic and Sessile Escherichia coli O157:H7 in a Meat Processing Environment: A Physiological and Proteomic Study
Abstract
1. Introduction
2. Materials and Methods
2.1. Bacterial Strains and Culture Conditions
2.2. Meat Experimental System (MES)
2.3. Planktonic Growth Kinetics
2.4. LAB–EHEC Interaction in Biofilm Under Technological Conditions at 12 °C
2.4.1. Exclusion Assay
2.4.2. Competition Assay
2.4.3. Displacement Assay
2.5. Inhibitory Action of LAB Culture Supernatants on E. coli NCTC 12900 Biofilm
2.5.1. Culture Supernatant Recovery
2.5.2. EHEC Biofilm Formation in the Presence of Culture Supernatants
2.5.3. EHEC Preformed Biofilms Exposed to LAB Culture Supernatants
2.6. Live/Dead Assay for Sessile E. coli NCTC 12900 Differentiation
2.7. Proteomic Studies
2.7.1. Cell Collection
2.7.2. Protein Concentration and Digestion
2.7.3. Analysis of MS Data
2.7.4. Bioinformatic Analysis
2.7.5. Data Availability
2.8. Statistical Analyses
3. Results
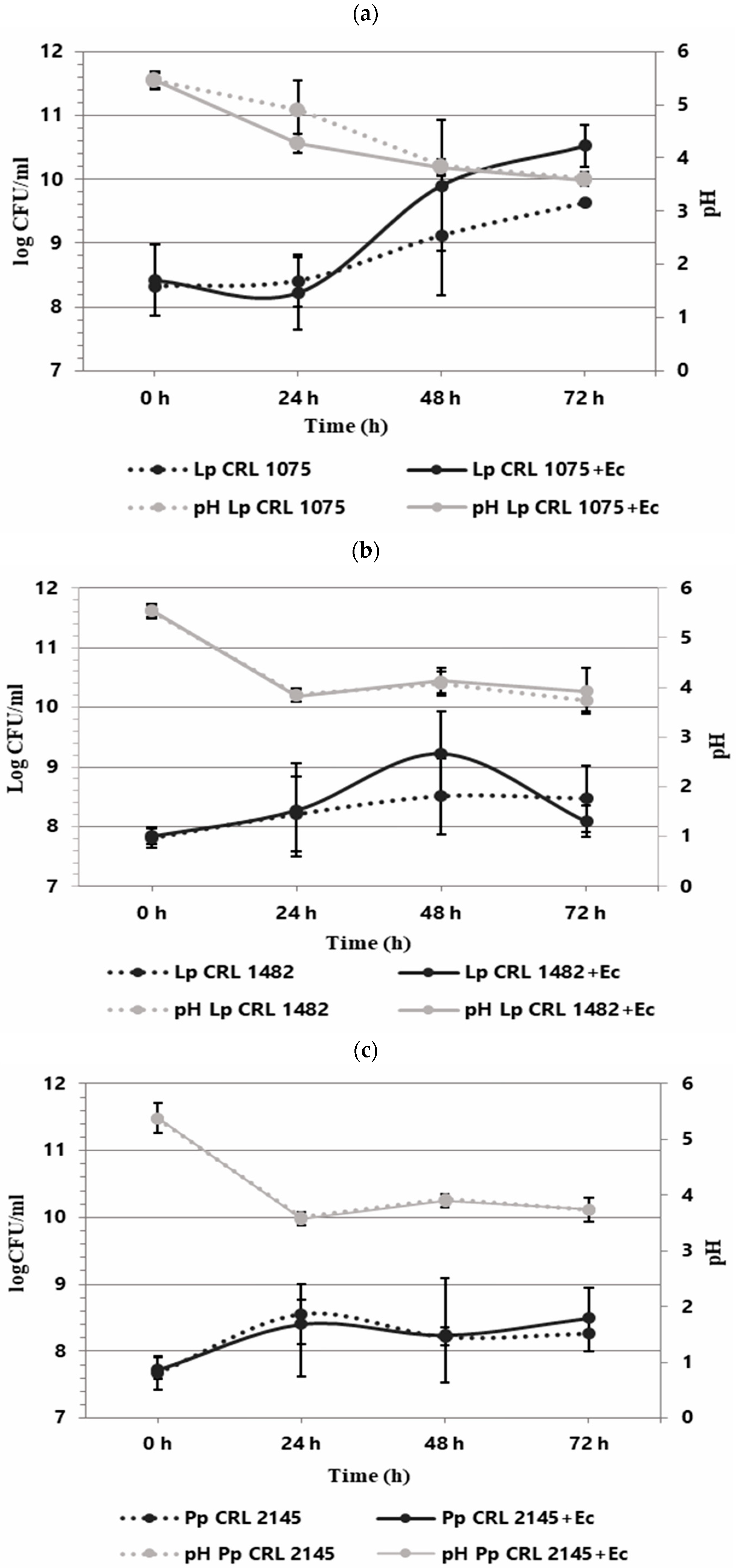
3.1. LAB–EHEC Interaction in the Meat Experimental System Under Planktonic Conditions
3.2. LAB Performance During the Interaction with EHEC in Biofilm Under Meat Technological Conditions
3.3. Inhibitory Activity of LAB Culture Supernatants on E. coli NCTC 12900 Biofilm on SS Chips at 12 °C
3.3.1. Effect of Simultaneous Inoculation of Culture Supernatants (LAB; LAB+EHEC) on EHEC Biofilm Formation
3.3.2. Effect of Culture Supernatants (LAB and LAB+EHEC) on Pre-Formed EHEC Biofilm on SS Chips
3.4. Live/Dead Staining
3.5. Differential Proteomic Analysis of Sessile P. pentosaceus Cells in Mixed Biofilm with EHEC NCTC 12900
3.5.1. P. pentosaceus Proteins Synthetized in Higher Amounts During Mixed Biofilm Growth
3.5.2. P. pentosaceus Under-Expressed Proteins in Mixed Biofilm
3.5.3. Interaction Among Differentially Expressed Proteins in Sessile P. pentosaceus CRL 2145 Cells in Mixed Biofilms
4. Discussion
4.1. Physiologic Studies
4.2. Proteomic Analysis
5. Conclusions
Supplementary Materials
Author Contributions
Funding
Institutional Review Board Statement
Informed Consent Statement
Data Availability Statement
Acknowledgments
Conflicts of Interest
Abbreviations
| MES | Meat Experimental System |
| LAB | Lactic Acid Bacteria |
| EHEC | Enterohemorrhagic Escherichia coli |
| SS | Stainless steel |
References
- Tatsaporn, T.; Kornkanok, K. Using Potential Lactic Acid Bacteria Biofilms and Their Compounds to Control Biofilms of Foodborne Pathogens. Biotechnol. Rep. 2020, 26, e00477. [Google Scholar] [CrossRef]
- Bridier, A.; Sanchez-Vizuete, P.; Guilbaud, M.; Piard, J.C.; Naïtali, M.; Briandet, R. Biofilm-Associated Persistence of Food-Borne Pathogens. Food Microbiol. 2015, 45, 167–178. [Google Scholar] [CrossRef]
- Öztürk, F.Y.; Darcan, C.; Kariptaş, E. The Determination, Monitoring, Molecular Mechanisms and Formation of Biofilm in E. coli. Braz. J. Microbiol. 2023, 54, 259–277. [Google Scholar] [CrossRef] [PubMed]
- Sadeghzadeh, R.; Esfandiari, Z.; Khaneghah, A.M.; Rostami, M. A Review of Challenges and Solutions of Biofilm Formation of Escherichia coli: Conventional and Novel Methods of Prevention and Control. Food Bioprocess Technol. 2024, 17, 2583–2618. [Google Scholar] [CrossRef]
- Che, J.; Shi, J.; Fang, C.; Zeng, X.; Wu, Z.; Du, Q.; Tu, M.; Pan, D. Elimination of Pathogen Biofilms via Postbiotics from Lactic Acid Bacteria: A Promising Method in Food and Biomedicine. Microorganisms 2024, 12, 704. [Google Scholar] [CrossRef]
- Neyret, C.; Herry, J.M.; Meylheuc, T.; Dubois-Brissonnet, F. Plant-Derived Compounds as Natural Antimicrobials to Control Paper Mill Biofilms. J. Ind. Microbiol. Biotechnol. 2014, 41, 87–96. [Google Scholar] [CrossRef] [PubMed]
- Carrascosa, C.; Raheem, D.; Ramos, F.; Saraiva, A.; Raposo, A. Microbial Biofilms in the Food Industry—A Comprehensive Review. Int. J. Environ. Res. Public. Health 2021, 18, 2014. [Google Scholar] [CrossRef]
- Galié, S.; García-Gutiérrez, C.; Miguélez, E.M.; Villar, C.J.; Lombó, F. Biofilms in the Food Industry: Health Aspects and Control Methods. Front. Microbiol. 2018, 9, 898. [Google Scholar] [CrossRef]
- Gopal, N.; Hill, C.; Ross, P.R.; Beresford, T.P.; Fenelon, M.A.; Cotter, P.D. The Prevalence and Control of Bacillus and Related Spore-Forming Bacteria in the Dairy Industry. Front. Microbiol. 2015, 6, 1418. [Google Scholar] [CrossRef]
- Frétin, M.; Chassard, C.; Delbès, C.; Lavigne, R.; Rifa, E.; Theil, S.; Fernandez, B.; Laforce, P.; Callon, C. Robustness and Efficacy of an Inhibitory Consortium against E. coli O26:H11 in Raw Milk Cheeses. Food Control 2020, 115, 107282. [Google Scholar] [CrossRef]
- Mahdhi, A.; Leban, N.; Chakroun, I.; Chaouch, M.A.; Hafsa, J.; Fdhila, K.; Mahdouani, K.; Majdoub, H. Extracellular Polysaccharide Derived from Potential Probiotic Strain with Antioxidant and Antibacterial Activities as a Prebiotic Agent to Control Pathogenic Bacterial Biofilm Formation. Microb. Pathog. 2017, 109, 214–220. [Google Scholar] [CrossRef]
- Sheoran, P.; Tiwari, S.K. Synergistically-Acting Enterocin LD3 and Plantaricin LD4 Against Gram-Positive and Gram-Negative Pathogenic Bacteria. Probiotics Antimicrob. Proteins 2021, 13, 542–554. [Google Scholar] [CrossRef]
- Meng, F.; Zhu, X.; Zhao, H.; Nie, T.; Lu, F.; Lu, Z.; Lu, Y. A Class Ⅲ Bacteriocin with Broad-Spectrum Antibacterial Activity from Lactobacillus acidophilus NX2-6 and Its Preservation in Milk and Cheese. Food Control 2021, 121, 107597. [Google Scholar] [CrossRef]
- Lü, X.; Yi, L.; Dang, J.; Dang, Y.; Liu, B. Purification of Novel Bacteriocin Produced by Lactobacillus coryniformis MXJ 32 for Inhibiting Bacterial Foodborne Pathogens Including Antibiotic-Resistant Microorganisms. Food Control 2014, 46, 264–271. [Google Scholar] [CrossRef]
- Gomes, L.C.; Deschamps, J.; Briandet, R.; Mergulhão, F.J. Impact of Modified Diamond-like Carbon Coatings on the Spatial Organization and Disinfection of Mixed-Biofilms Composed of Escherichia coli and Pantoea agglomerans Industrial Isolates. Int. J. Food Microbiol. 2018, 277, 74–82. [Google Scholar] [CrossRef]
- Hossain, M.I.; Mizan, M.F.R.; Ashrafudoulla, M.; Nahar, S.; Joo, H.J.; Jahid, I.K.; Park, S.H.; Kim, K.S.; Ha, S. Do Inhibitory Effects of Probiotic Potential Lactic Acid Bacteria Isolated from Kimchi against Listeria monocytogenes Biofilm on Lettuce, Stainless-Steel Surfaces, and MBECTM Biofilm Device. LWT 2020, 118, 108864. [Google Scholar] [CrossRef]
- Pérez-Ibarreche, M.; Castellano, P.; Leclercq, A.; Vignolo, G. Control of Listeria monocytogenes Biofilms on Industrial Surfaces by the Bacteriocin-Producing Lactobacillus sakei CRL1862. FEMS Microbiol. Lett. 2016, 363, fnw118. [Google Scholar] [CrossRef] [PubMed]
- Toushik, S.H.; Kim, K.; Ashrafudoulla, M.; Mizan, M.F.R.; Roy, P.K.; Nahar, S.; Kim, Y.; Ha, S. Do Korean Kimchi-Derived Lactic Acid Bacteria Inhibit Foodborne Pathogenic Biofilm Growth on Seafood and Food Processing Surface Materials. Food Control 2021, 129, 108276. [Google Scholar] [CrossRef]
- Cisneros, L.; Cattelan, N.; Villalba, M.I.; Rodriguez, C.; Serra, D.O.; Yantorno, O.; Fadda, S. Lactic Acid Bacteria Biofilms and Their Ability to Mitigate Escherichia coli O157:H7 Surface Colonization. Lett. Appl. Microbiol. 2021, 73, 247–256. [Google Scholar] [CrossRef] [PubMed]
- Cisneros, L.; Baillo, A.A.; Ploper, D.; Valacco, M.P.; Moreno, S.; Saavedra, L.; Minahk, C.; Fusco, V.; Yantorno, O.; Fadda, S. Physiological, Microscopic and Proteomic Performance of Escherichia coli O157:H7 Biofilms Challenged with Antagonistic Lactic Acid Bacteria as a Bio-Decontamination Tool for the Food Industry. Int. J. Food Microbiol. 2025, 435, 111173. [Google Scholar] [CrossRef]
- Dibb-Fuller, M.P.; Best, A.; Stagg, D.A.; Cooley, W.A.; Woodward, M.J. An In-Vitro Model for Studying the Interaction of Escherichia coli O157:H7 and Other Enteropathogens with Bovine Primary Cell Cultures. J. Med. Microbiol. 2001, 50, 759–769. [Google Scholar] [CrossRef] [PubMed]
- Best, A.; La Ragione, R.M.; Cooley, W.A.; O’Connor, C.D.; Velge, P.; Woodward, M.J. Interaction with Avian Cells and Colonisation of Specific Pathogen Free Chicks by Shiga-Toxin Negative Escherichia coli O157:H7 (NCTC 12900). Vet. Microbiol. 2003, 93, 207–222. [Google Scholar] [CrossRef] [PubMed]
- Orihuel, A. Estrategias Biológicas Destinadas a Combatir E. coli Enterohemorrágica en Carne y Productos Cárnicos: Estudios Bioquímicos y Tecnológicos. Ph.D. Thesis, Tucumán National University, San Miguel de Tucumán, Argentina, 2019. [Google Scholar]
- Fadda, S.; Vignolo, G.; Holgado, A.P.R.; Oliver, G. Proteolytic Activity of Lactobacillus Strains Isolated from Dry Fermented Sausages on Muscle Sarcoplasmic Proteins. Meat Sci. 1998, 49, 11–18. [Google Scholar] [CrossRef]
- Reinoso-Vizcaíno, N.M.; Cian, M.B.; Cortes, P.R.; Olivero, N.B.; Hernandez-Morfa, M.; Piñas, G.E.; Badapanda, C.; Rathore, A.; Perez, D.R.; Echenique, J. The Pneumococcal Two-Component System SirRH Is Linked to Enhanced Intracellular Survival of Streptococcus Pneumoniae in Influenza-Infected Pulmonary Cells. PLoS Pathog. 2020, 16, e1008761. [Google Scholar] [CrossRef]
- Huerta-Cepas, J.; Szklarczyk, D.; Forslund, K.; Cook, H.; Heller, D.; Walter, M.C.; Rattei, T.; Mende, D.R.; Sunagawa, S.; Kuhn, M.; et al. EGGNOG 4.5: A Hierarchical Orthology Framework with Improved Functional Annotations for Eukaryotic, Prokaryotic and Viral Sequences. Nucleic Acids Res. 2016, 44, D286–D293. [Google Scholar] [CrossRef]
- Szklarczyk, D.; Kirsch, R.; Koutrouli, M.; Nastou, K.; Mehryary, F.; Hachilif, R.; Gable, A.L.; Fang, T.; Doncheva, N.T.; Pyysalo, S.; et al. The STRING Database in 2023: Protein–Protein Association Networks and Functional Enrichment Analyses for Any Sequenced Genome of Interest. Nucleic Acids Res 2022, 51, D638. [Google Scholar] [CrossRef] [PubMed]
- Perez-Riverol, Y.; Xu, Q.W.; Wang, R.; Uszkoreit, J.; Griss, J.; Sanchez, A.; Reisinger, F.; Csordas, A.; Ternent, T.; Del-Toro, N.; et al. PRIDE Inspector Toolsuite: Moving toward a Universal Visualization Tool for Proteomics Data Standard Formats and Quality Assessment of Proteomex change Datasets. Mol. Cell. Proteom. 2016, 15, 305–317. [Google Scholar] [CrossRef]
- Perez-Riverol, Y.; Bandla, C.; Kundu, D.J.; Kamatchinathan, S.; Bai, J.; Hewapathirana, S.; John, N.S.; Prakash, A.; Walzer, M.; Wang, S.; et al. The PRIDE Database at 20 Years: 2025 Update. Nucleic Acids Res. 2025, 53, D543–D553. [Google Scholar] [CrossRef]
- Deutsch, E.W.; Bandeira, N.; Perez-Riverol, Y.; Sharma, V.; Carver, J.; Mendoza, L.; Kundu, D.J.; Wang, S.; Bandla, C.; Kamatchinathan, S.; et al. The ProteomeXchange Consortium at 10 years: 2023 update. Nucleic Acids Res. 2023, 51, D1539–D1548. [Google Scholar] [CrossRef]
- Mangeaud, A.; Panigo, D. R-Medic. Un Programa de Análisis Estadísticos Sencillo e Intuitivo. Methodo. Investig. Apl. Las Cienc. Biológicas 2018, 3, 18–22. [Google Scholar] [CrossRef]
- Orihuel, A.; Terán, L.; Renaut, J.; Vignolo, G.M.; De Almeida, A.M.; Saavedra, M.L.; Fadda, S. Differential Proteomic Analysis of Lactic Acid Bacteria-Escherichia coli O157:H7 Interaction and Its Contribution to Bioprotection Strategies in Meat. Front. Microbiol. 2018, 9, 1083. [Google Scholar] [CrossRef]
- Ji, Q.Y.; Wang, W.; Yan, H.; Qu, H.; Liu, Y.; Qian, Y.; Gu, R. The Effect of Different Organic Acids and Their Combination on the Cell Barrier and Biofilm of Escherichia coli. Foods 2023, 12, 3011. [Google Scholar] [CrossRef]
- Jara, J.; Pérez-Ramos, A.; del Solar, G.; Rodríguez, J.M.; Fernández, L.; Orgaz, B. Role of Lactobacillus Biofilms in Listeria monocytogenes Adhesion to Glass Surfaces. Int. J. Food Microbiol. 2020, 334. [Google Scholar] [CrossRef]
- De Angelis, M.; Siragusa, S.; Campanella, D.; Di Cagno, R.; Gobbetti, M. Comparative Proteomic Analysis of Biofilm and Planktonic Cells of Lactobacillus plantarum DB200. Proteomics 2015, 15, 2244–2257. [Google Scholar] [CrossRef]
- Gambino, M.; Cappitelli, F. Mini-Review: Biofilm Responses to Oxidative Stress. Biofouling 2016, 32, 167–178. [Google Scholar] [CrossRef] [PubMed]
- Kwoji, I.D.; Okpeku, M.; Aiyegoro, O.A.; Adeleke, M.A. Metabolic Interactions of Limosilactobacillus reuteri ZJ625 and Ligilactobacillus salivarius ZJ614 in Co-Culture: Implications for Multi-Strain Probiotics. J. Appl. Microbiol. 2024, 135, lxae264. [Google Scholar] [CrossRef] [PubMed]
- Hurtado-Rios, J.J.; Carrasco-Navarro, U.; Almanza-Pérez, J.C.; Ponce-Alquicira, E. Ribosomes: The New Role of Ribosomal Proteins as Natural Antimicrobials. Int. J. Mol. Sci. 2022, 23, 9123. [Google Scholar] [CrossRef]
- Chen, Y.; Yao, L.; Wang, Y.; Ji, X.; Gao, Z.; Zhang, S.; Ji, G. Identification of Ribosomal Protein L30 as an Uncharacterized Antimicrobial Protein. Dev. Comp. Immunol. 2021, 120, 104067. [Google Scholar] [CrossRef] [PubMed]
- Nishiyama, K.; Ochiai, A.; Tsubokawa, D.; Ishihara, K.; Yamamoto, Y.; Mukai, T. Identification and Characterization of Sulfated Carbohydrate-Binding Protein from Lactobacillus reuteri. PLoS ONE 2013, 8, e0174257. [Google Scholar] [CrossRef]
- Xiao, L.; Pu, Y.; Cui, Y.; Chen, C.; Xiao, Q.; Wang, Y.; Wei, Y.; Feng, M.; Zhang, T.; Yang, S.; et al. Elongation Factor Tu Promotes the Onset of Periodontitis through Mediating Bacteria Adhesion. NPJ Biofilms Microbiomes 2025, 11, 47. [Google Scholar] [CrossRef]









| Batches | Bacterial Count (logCFU/cm2) |
|---|---|
| Competition | |
| L. plantarum CRL 1482 | 6.755 ± 0.784 ab |
| L. plantarum CRL 1482 + E. coli | 7.141 ± 0.342 a |
| L. plantarum CRL 1075 | 6.515 ± 0.802 ab |
| L. plantarum CRL 1075 + E. coli | 7.522 ± 0.515 a |
| P. pentocaceus CRL 2145 | 5.518 ± 0.502 bc |
| P. pentocaceus CRL 2145 + E. coli | 4.940 ± 0.550 c |
| Exclusion | |
| L. plantarum CRL 1482 | 7.795 ± 0.535 a |
| L. plantarum CRL 1482 + E. coli | 8.360 ± 0.242 a |
| L. plantarum CRL 1075 | 7.144 ± 0.294 ab |
| L. plantarum CRL 1075 + E. coli | 7.357 ± 1.100 ab |
| P. pentocaceus CRL 2145 | 5.944 ± 0.138 b |
| P. pentocaceus CRL 2145 + E. coli | 6.755 ± 1.280 ab |
| Displacement | |
| L. plantarum CRL 1482 | 7.045 ± 0.634 a |
| L. plantarum CRL 1482 + E. coli | 4.940 ± 0.402 c |
| L. plantarum CRL 1075 | 6.287 ± 0.792 ab |
| L. plantarum CRL 1075 + E. coli | 5.308 ± 0.557 bc |
| P. pentocaceus CRL 2145 | 5.118 ± 0.438 bc |
| P. pentocaceus CRL 2145 + E. coli | 4.631 ± 0.313 c |
Disclaimer/Publisher’s Note: The statements, opinions and data contained in all publications are solely those of the individual author(s) and contributor(s) and not of MDPI and/or the editor(s). MDPI and/or the editor(s) disclaim responsibility for any injury to people or property resulting from any ideas, methods, instructions or products referred to in the content. |
© 2025 by the authors. Licensee MDPI, Basel, Switzerland. This article is an open access article distributed under the terms and conditions of the Creative Commons Attribution (CC BY) license (https://creativecommons.org/licenses/by/4.0/).
Share and Cite
Cisneros, L.; Baillo, A.A.; Ploper, D.; Valacco, M.P.; Moreno, S.; Yantorno, O.; Fusco, V.; Fadda, S. Foodborne Lactic Acid Bacteria Inactivate Planktonic and Sessile Escherichia coli O157:H7 in a Meat Processing Environment: A Physiological and Proteomic Study. Foods 2025, 14, 3670. https://doi.org/10.3390/foods14213670
Cisneros L, Baillo AA, Ploper D, Valacco MP, Moreno S, Yantorno O, Fusco V, Fadda S. Foodborne Lactic Acid Bacteria Inactivate Planktonic and Sessile Escherichia coli O157:H7 in a Meat Processing Environment: A Physiological and Proteomic Study. Foods. 2025; 14(21):3670. https://doi.org/10.3390/foods14213670
Chicago/Turabian StyleCisneros, Lucia, Ayelen Antonella Baillo, Diego Ploper, María Pia Valacco, Silvia Moreno, Osvaldo Yantorno, Vincenzina Fusco, and Silvina Fadda. 2025. "Foodborne Lactic Acid Bacteria Inactivate Planktonic and Sessile Escherichia coli O157:H7 in a Meat Processing Environment: A Physiological and Proteomic Study" Foods 14, no. 21: 3670. https://doi.org/10.3390/foods14213670
APA StyleCisneros, L., Baillo, A. A., Ploper, D., Valacco, M. P., Moreno, S., Yantorno, O., Fusco, V., & Fadda, S. (2025). Foodborne Lactic Acid Bacteria Inactivate Planktonic and Sessile Escherichia coli O157:H7 in a Meat Processing Environment: A Physiological and Proteomic Study. Foods, 14(21), 3670. https://doi.org/10.3390/foods14213670

