Enhancing the Antioxidant and Nutritional Profile of Gluten-Free Sourdough Bread Using Hemp Press Cake Meal
Abstract
1. Introduction
2. Materials and Methods
2.1. Materials
2.2. Methods
2.2.1. Production of Hemp Press Cake Meal (HC)
2.2.2. Production of Gluten-Free Sourdough Bread
2.2.3. Chemical Analyses
2.2.4. Antioxidant Analysis
2.2.5. Phenolic Compounds
2.2.6. Tocopherols and Carotenoids
2.2.7. Physical, Colour, Textural Characteristics and Image Analysis
- Appearance: colour of crust and crumb, uniformity, visual appeal;
- Texture: crumb structure, softness, elasticity, mouthfeel;
- Aroma: intensity and pleasantness of bread aroma, presence of hemp-related notes;
- Taste: flavour balance, intensity, presence of off-flavours;
- Overall acceptability: general impression and likelihood of consumption.
2.2.8. Statistical Analysis
3. Results and Discussion
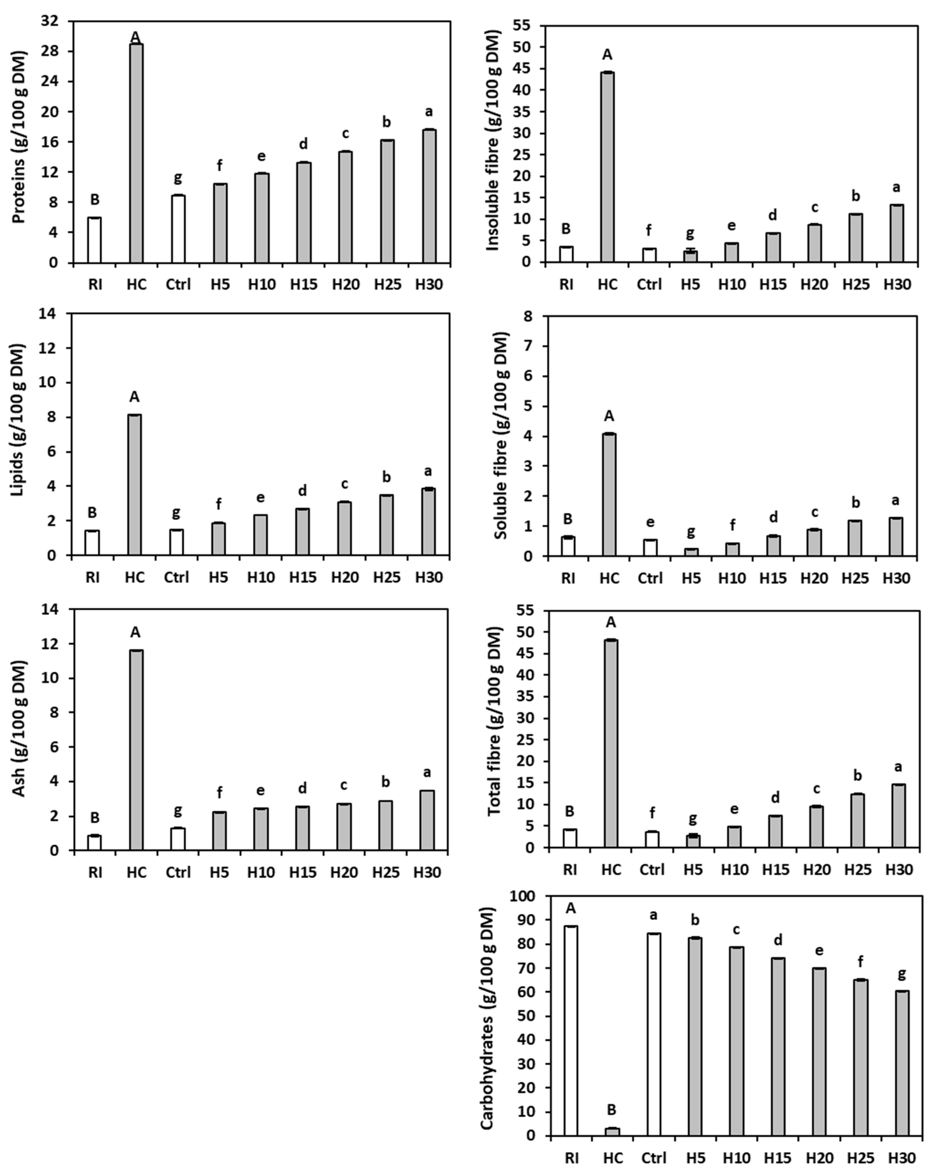
3.1. Chemical Composition of Rice Flour and Hemp Cake Meal
3.2. Chemical Composition of Breads
3.3. Phenolic Content of Rice Flour and Hemp Cake Meal
3.4. Phenolic Content of the Breads
3.4.1. Tocol and Carotenoid Content of Rice Flour and Hemp Cake Meal
3.4.2. Tocol and Carotenoid Content of the Breads
3.5. Bread Colour
3.6. Technological Quality of the Breads
3.7. Sensorial Analysis of the Breads
Supplementary Materials
Author Contributions
Funding
Institutional Review Board Statement
Informed Consent Statement
Data Availability Statement
Acknowledgments
Conflicts of Interest
References
- Pavlić, B.; Aćimović, M.; Sknepnek, A.; Miletić, D.; Mrkonjić, Ž.; Kljakić, A.C.; Jerković, J.; Mišan, A.; Pojić, M.; Stupar, A.; et al. Sustainable Raw Materials for Efficient Valorization and Recovery of Bioactive Compounds. Ind. Crop. Prod. 2023, 193, 116167. [Google Scholar] [CrossRef]
- Ahmed, A.T.M.F.; Islam, M.Z.; Mahmud, M.S.; Sarker, M.E.; Islam, M.R. Hemp as a Potential Raw Material toward a Sustainable World: A Review. Heliyon 2022, 8, e08753. [Google Scholar] [CrossRef]
- Visković, J.; Zheljazkov, V.D.; Sikora, V.; Noller, J.; Latković, D.; Ocamb, C.M.; Koren, A. Industrial Hemp (Cannabis sativa L.) Agronomy and Utilization: A Review. Agronomy 2023, 13, 931. [Google Scholar] [CrossRef]
- Costa, A.R.; Salgado, J.M.; Lopes, M.; Belo, I. Valorization of By-Products from Vegetable Oil Industries: Enzymes Production by Yarrowia lipolytica through Solid State Fermentation. Front. Sustain. Food Syst. 2022, 6, 1006467. [Google Scholar] [CrossRef]
- Butnaru, E.; Stoleru, E.; Ioniță, D.; Brebu, M. Thermal Properties of Seed Cake Biomasses and Their Valorisation by Torrefaction. Polymers 2024, 16, 2872. [Google Scholar] [CrossRef] [PubMed]
- Occhiuto, C.; Aliberto, G.; Ingegneri, M.; Trombetta, D.; Circosta, C.; Smeriglio, A. Comparative Evaluation of the Nutrients, Phytochemicals, and Antioxidant Activity of Ywo Hemp Seed Oils and Their Byproducts after Cold Pressing. Molecules 2022, 27, 3431. [Google Scholar] [CrossRef] [PubMed]
- Capcanari, T.; Covaliov, E.; Negoița, C.; Siminiuc, R.; Chirsanova, A.; Reșitca, V.; Țurcanu, D. Hemp Seed Cake Flour as a Source of Proteins, Minerals and Polyphenols and Its Impact on the Nutritional, Sensorial and Technological Quality of Bread. Foods 2023, 12, 4327. [Google Scholar] [CrossRef]
- He, Q.; Zhang, Z.; Tian, H.; Wang, H.; Lu, X.; Deng, H.; Yang, F.; Tang, X.; Wang, J.; Li, Z.; et al. Effects of Partial Replacement of Soybean Meal with Hemp Seed (Cannabis sativa L.) Cake on the Growth and Meat Quality in Female Three-Yellow Chickens. Poult. Sci. 2025, 104, 104466. [Google Scholar] [CrossRef]
- Capcanari, T.; Covaliov, E.; Negoița, C. Harnessing Hemp (Cannabis sativa L.) Seed Cake Proteins: From Concentrate Production to Enhanced Choux Pastry Quality. Foods 2025, 14, 567. [Google Scholar] [CrossRef]
- Lučan Čolić, M.; Jukić, M.; Nakov, G.; Lukinac, J.; Antunović, M. Sustainable Utilization of Hemp Press Cake Flour in Ice Cream Production: Physicochemical, Rheological, Textural, and Sensorial Properties. Sustainability 2024, 16, 8354. [Google Scholar] [CrossRef]
- Feng, X.; Sun, G.; Fang, Z. Effect of Hempseed Cake (Cannabis sativa L.) Incorporation on the Physicochemical and Antioxidant Properties of Reconstructed Potato Chips. Foods 2022, 11, 211. [Google Scholar] [CrossRef]
- Ciacci, C.; Ciclitira, P.; Hadjivassiliou, M.; Kaukinen, K.; Ludvigsson, J.F.; McGough, N.; Sanders, D.S.; Woodward, J.; Leonard, J.N.; Swift, G.L. The Gluten-Free Diet and Its Current Application in Coeliac Disease and Dermatitis Herpetiformis. United Eur. Gastroenterol. J. 2015, 3, 121. [Google Scholar] [CrossRef]
- Alvarez-Jubete, L.; Arendt, E.K.; Gallagher, E. Nutritive Value of Pseudocereals and Their Increasing Use as Functional Gluten-Free Ingredients. Trends Food Sci. Technol. 2010, 21, 106–113. [Google Scholar] [CrossRef]
- Shanina, O.; Borovikova, N.; Gavrish, T.; Dugina, K. Technological Aspects of Rice Gluten-Free Bread Production. Potravin. Slovak J. Food Sci. 2022, 16, 579–589. [Google Scholar] [CrossRef]
- Park, J.; Kim, H.-S. Rice-Based Gluten-Free Foods and Technologies: A Review. Foods 2023, 12, 4110. [Google Scholar] [CrossRef]
- Rifna, E.J.; Dwivedi, M.; Kulshrestha, R. Novel Approaches in Gluten-Free Bread Making: Case Study. In Food Engineering Series; Springer: Cham, Germany, 2022; pp. 141–155. ISBN 978-3-030-88697-4. [Google Scholar]
- Gómez, M. Gluten-Free Bakery Products: Ingredients and Processes. Adv. Food Nutr. Res. 2022, 99, 189–238. [Google Scholar] [CrossRef] [PubMed]
- Zhang, J.; Zhu, Q.; Cheng, L.; Kang, J.; Liu, H.; Zhang, L.; Li, H.; Li, Q.; Guo, Q.; Goff, H.D. Enhancing Gluten-Free Dough and Bread Properties Using Xanthan Gum and Its Trifluoroacetic Acid Hydrolytes. Food Hydrocoll. 2025, 164, 111204. [Google Scholar] [CrossRef]
- Conte, P.; Fadda, C.; Drabińska, N.; Krupa-Kozak, U. Technological and Nutritional Challenges, and Novelty in Gluten-Free Breadmaking—A Review. Pol. J. Food Nutr. Sci. 2019, 69, 5–21. [Google Scholar] [CrossRef]
- Lasa, A.; del Pilar Fernández-Gil, M.; Bustamante, M.Á.; Miranda, J. Nutritional and Sensorial Aspects of Gluten-Free Products. In Nutritional and Analytical Approaches of Gluten-Free Diet in Celiac Disease; Springer Briefs in Food, Health, and Nutrition; Springer: Cham, Germany, 2017; pp. 59–78. ISBN 978-3-319-53342-1. [Google Scholar]
- Miranda, J.; Lasa, A.; Bustamante, M.A.; Churruca, I.; Simon, E. Nutritional Differences between a Gluten-Free Diet and a Diet Containing Equivalent Products with Gluten. Plant Foods Hum. Nutr. 2014, 69, 182–187. [Google Scholar] [CrossRef]
- Dan, H.; Li, H.; Li, C.; Fang, Z.; Hu, B.; Chen, H.; Wang, C.; Chen, S.; Hui, T.; Wu, W.; et al. Application of Sourdough in Gluten-Free Bakery Products. Crit. Rev. Food Sci. Nutr. 2025, 65, 3048–3068. [Google Scholar] [CrossRef]
- Gaglio, R.; Tesoriere, L.; Maggio, A.; Viola, E.; Attanzio, A.; Frazzitta, A.; Badalamenti, N.; Bruno, M.; Franciosi, E.; Moschetti, G.; et al. Reuse of Almond By-Products: Functionalization of Traditional Semolina Sourdough Bread with Almond Skin. Int. J. Food Microbiol. 2023, 395, 110194. [Google Scholar] [CrossRef]
- Nissen, L.; Bordoni, A.; Gianotti, A. Shift of Volatile Organic Compounds (VOCs) in Gluten-Free Hemp-Enriched Sourdough Bread: A Metabolomic Approach. Nutrients 2020, 12, 1050. [Google Scholar] [CrossRef]
- Jagelaviciute, J.; Cizeikiene, D. The Influence of Non-Traditional Sourdough Made with Quinoa, Hemp and Chia Flour on the Characteristics of Gluten-Free Maize/Rice Bread. LWT 2021, 137, 110457. [Google Scholar] [CrossRef]
- Korus, J.; Witczak, M.; Ziobro, R.; Juszczak, L. Hemp (Cannabis sativa Subsp. Sativa) Flour and Protein Preparation as Natural Nutrients and Structure Forming Agents in Starch Based Gluten-Free Bread. LWT 2017, 84, 143–150. [Google Scholar] [CrossRef]
- Wiedemair, V.; Gruber, K.; Knöpfle, N.; Bach, K.E. Technological Changes in Wheat-Based Breads Enriched with Hemp Seed Press Cakes and Hemp Seed Grit. Molecules 2022, 27, 1840. [Google Scholar] [CrossRef] [PubMed]
- Zarzycki, P.; Wirkijowska, A.; Teterycz, D.; Łysakowska, P. Innovations in Wheat Bread: Using Food Industry by-Products for Better Quality and Nutrition. Appl. Sci. 2024, 14, 3976. [Google Scholar] [CrossRef]
- AACC International Approved Methods of Analysis, 11th ed.; Cereals & Grains Association: St. Paul, MN, USA, 1999.
- Mæhre, H.K.; Dalheim, L.; Edvinsen, G.K.; Elvevoll, E.O.; Jensen, I.J. Protein Determination—Method Matters. Foods 2018, 7, 5. [Google Scholar] [CrossRef]
- ISO 6492:1999; Animal Feeding Stuffs—Determination of Fat Content. International Organization for Standardization: Genève, Switzerland, 1999.
- de Menezes, E.W.; Grande, F.; Giuntini, E.B.; Lopes, T.D.V.C.; Dan, M.C.T.; do Prado, S.B.R.; Melo Franco, B.D.G.; Charrondière, U.R.; Lajolo, F.M. Impact of Dietary Fiber Energy on the Calculation of Food Total Energy Value in the Brazilian Food Composition Database. Food Chem. 2016, 193, 128–133. [Google Scholar] [CrossRef] [PubMed]
- Nakov, G.; Brandolini, A.; Estivi, L.; Bertuglia, K.; Ivanova, N.; Jukić, M.; Komlenić, D.K.; Lukinac, J.; Hidalgo, A. Effect of Tomato Pomace Addition on Chemical, Technological, Nutritional, and Sensorial Properties of Cream Crackers. Antioxidants 2022, 11, 2087. [Google Scholar] [CrossRef]
- Brandolini, A.; Glorio-Paulet, P.; Estivi, L.; Locatelli, N.; Cordova-Ramos, J.S.; Hidalgo, A. Tocopherols, Carotenoids and Phenolics Changes during Andean Lupin (Lupinus mutabilis Sweet) Seeds Processing. J. Food Comp. Anal. 2022, 106, 104335. [Google Scholar] [CrossRef]
- Hidalgo, A.; Brandolini, A.; Pompei, C. Kinetics of Tocols Degradation during the Storage of Einkorn (Triticum monococcum L. ssp. monococcum) and Breadwheat (Triticum aestivum L. ssp. aestivum) Flours. Food Chem. 2009, 116, 821–827. [Google Scholar] [CrossRef]
- Petrusha, O.; Daschynska, O.; Shulika, A. Development of the Measurement Method of Porosity of Bakery Products by Analysis of Digital Image. Chem. Eng. Food Prod. Technol. 2018, 2, 61–66. [Google Scholar] [CrossRef]
- Alfonsi, A.; Coles, D.; Hasle, C.; Koppel, J.; Ladikas, M.; Schmucker von Koch, J.; Schroeder, D.; Sprumont, D.; Verbeke, W.; Zaruk, D. Guidande Note: Ethics and Food-Related Research; European Commission Ethics Review Sector: Brussels, Belgium, 2012. [Google Scholar]
- Petraru, A.; Amariei, S. Oil Press-Cakes and Meals Valorization through Circular Economy Approaches: A Review. Appl. Sci. 2020, 10, 7432. [Google Scholar] [CrossRef]
- Rakita, S.; Kokić, B.; Manoni, M.; Mazzoleni, S.; Lin, P.; Luciano, A.; Ottoboni, M.; Cheli, F.; Pinotti, L. Cold-Pressed Oilseed Cakes as Alternative and Sustainable Feed Ingredients: A Review. Foods 2023, 12, 432. [Google Scholar] [CrossRef] [PubMed]
- Altindag, G.; Certel, M.; Erem, F.; Ilknur Konak, Ü. Quality Characteristics of Gluten-Free Cookies Made of Buckwheat, Corn, and Rice Flour with/without Transglutaminase. Food Sci. Technol. Int. 2015, 21, 213–220. [Google Scholar] [CrossRef]
- Betrouche, A.; Estivi, L.; Colombo, D.; Pasini, G.; Benatallah, L.; Brandolini, A.; Hidalgo, A. Antioxidant Properties of Gluten-Free Pasta Enriched with Vegetable by-Products. Molecules 2022, 27, 8993. [Google Scholar] [CrossRef] [PubMed]
- Ren, X.; Zhang, H.; Lv, M.; Fan, H.; Liu, L.; Wang, B.; Hu, X.; Shi, Y.; Yang, C.; Chen, F.; et al. Technology for Blending Recombined Flour: Substitution of Extruded Rice Flour, Quantity of Addition, and Impact on Dough. Foods 2024, 13, 2929. [Google Scholar] [CrossRef]
- Li, X.; Wu, L.; Geng, X.; Xia, X.; Wang, X.; Xu, Z.; Xu, Q. Deciphering the Environmental Impacts on Rice Quality for Different Rice Cultivated Areas. Rice 2018, 11, 7. [Google Scholar] [CrossRef]
- Billiris, M.A.; Siebenmorgen, T.J.; Meullenet, J.F.; Mauromoustakos, A. Rice Degree of Milling Effects on Hydration, Texture, Sensory and Energy Characteristics. Part 1. Cooking Using Excess Water. J. Food Eng. 2012, 113, 559–568. [Google Scholar] [CrossRef]
- Gu, Y.; Li, X.; Pan, J.; Li, Y.; Bao, J. Effects of Storage on the Physicochemical Characteristics of Rice with Different Starch Lysophospholipids Contents. Food Chem. 2025, 481, 144006. [Google Scholar] [CrossRef]
- Mohamed, N.; Slaski, J.J.; Shwaluk, C.; House, J.D. Chemical Characterization of Hemp (Cannabis sativa L.)-Derived Products and Potential for Animal Feed. ACS Food Sci. Technol. 2024, 4, 88–103. [Google Scholar] [CrossRef]
- Kowalski, S.; Mikulec, A.; Litwinek, D.; Mickowska, B.; Skotnicka, M.; Oracz, J.; Karwowska, K.; Wywrocka-Gurgul, A.; Sabat, R.; Platta, A. The Influence of Fermentation Technology on the Functional and Sensory Properties of Hemp Bread. Molecules 2024, 29, 5455. [Google Scholar] [CrossRef]
- House, J.D.; Neufeld, J.; Leson, G. Evaluating the Quality of Protein from Hemp Seed (Cannabis sativa L.) Products through the Use of the Protein Digestibility-Corrected Amino Acid Score Method. J. Agric. Food Chem. 2010, 58, 11801–11807. [Google Scholar] [CrossRef] [PubMed]
- Vonapartis, E.; Aubin, M.P.; Seguin, P.; Mustafa, A.F.; Charron, J.B. Seed Composition of Ten Industrial Hemp Cultivars Approved for Production in Canada. J. Food Comp. Anal. 2015, 39, 8–12. [Google Scholar] [CrossRef]
- Callaway, J.C. Hempseed as a Nutritional Resource: An Overview. Euphytica 2004, 140, 65–72. [Google Scholar] [CrossRef]
- Mohamed, N.; House, J.D. Safety and Efficacy of Hemp-Derived Products in Animal Feeds—A Narrative Review. Can. J. Anim. Sci. 2024, 104, 390–410. [Google Scholar] [CrossRef]
- Jakab, I.; Mardani, M.; Tormási, J.; Abrankó, L.; Badak-Kerti, K. Physicochemical Characteristics of Cold-Pressed Hemp, Flax, Hazelnut, and Pumpkin Seed Oils and Press Cakes. Eur. J. Lipid Sci. Technol. 2025, 127, e70017. [Google Scholar] [CrossRef]
- Vivar-Quintana, A.M.; Absi, Y.; Hernández-Jiménez, M.; Revilla, I. Nutritional Value, Mineral Composition, Fatty Acid Profile and Bercial Plant-Based Gluten-Free Flours. Appl. Sci. 2023, 13, 2309. [Google Scholar] [CrossRef]
- Abdelsalam, K.M.H.; Shaalan, A.M.; AbouEl-Soud, G.M.; El-Dalil, M.A.E.; Marei, A.M.; El-Moneim, D.A.; El-Banna, A.A.A.; Lamlom, S.F.; Abdelghany, A.M. Comprehensive Quality Profiling and Multivariate Analysis of Rice (Oryza sativa L.) Cultivars: Integrating Physical, Cooking, Nutritional, and Micronutrient Characteristics for Enhanced Varietal Selection. BMC Plant Biol. 2025, 25, 492. [Google Scholar] [CrossRef]
- Elleuch, M.; Bedigian, D.; Roiseux, O.; Besbes, S.; Blecker, C.; Attia, H. Dietary Fibre and Fibre-Rich by-Products of Food Processing: Characterisation, Technological Functionality and Commercial Applications: A Review. Food Chem. 2011, 124, 411–421. [Google Scholar] [CrossRef]
- SchleiBinger, M.; Meyer, A.L.; Afsar, N.; Gyorgy Nagy, A.; Dieker, V.; Schmitt, J.J. Impact of Dietary Fibers on Moisture and Crumb Firmness of Brown Bread. Adv. J. Food Sci. Technol. 2013, 10, 1281–1284. [Google Scholar] [CrossRef]
- Tapía, M.S.; Alzamora, S.M.; Chirife, J. Effects of Water Activity (Aw) on Microbial Stability as a Hurdle in Food Preservation. In Water Activity in Foods: Fundamentals and Applications; Barbosa-Cánovas, G.V., Fontana, A.J., Jr., Schmidt, S.J., Labuza, T.P., Eds.; John Wiley & Sons, Ltd.: Hoboken, NJ, USA, 2020; pp. 323–355. ISBN 9781118765982. [Google Scholar]
- Lewandowicz, J.; Le Thanh-Blicharz, J.; Jankowska, P.; Lewandowicz, G. Functionality of Alternative Flours as Additives Enriching Bread with Proteins. Agriculture 2025, 15, 851. [Google Scholar] [CrossRef]
- Sciacca, F.; Virzì, N.; Pecchioni, N.; Melilli, M.G.; Buzzanca, C.; Bonacci, S.; Di Stefano, V. Functional End-Use of Hemp Seed Waste: Technological, Qualitative, Nutritional, and Sensorial Characterization of Fortified Bread. Sustainability 2023, 15, 12899. [Google Scholar] [CrossRef]
- Irakli, M.N.; Samanidou, V.F.; Biliaderis, C.G.; Papadoyannis, I.N. Simultaneous Determination of Phenolic Acids and Flavonoids in Rice Using Solid-Phase Extraction and RP-HPLC with Photodiode Array Detection. J. Sep. Sci. 2012, 35, 1603–1611. [Google Scholar] [CrossRef] [PubMed]
- Mattila, P.; Pihlava, J.M.; Hellström, J. Contents of Phenolic Acids, Alkyl- and Alkenylresorcinols, and Avenanthramides in Commercial Grain Products. J. Agric. Food Chem. 2005, 53, 8290–8295. [Google Scholar] [CrossRef] [PubMed]
- Švarc-Gajić, J.; Rodrigues, F.; Moreira, M.M.; Delerue-Matos, C.; Morais, S.; Dorosh, O.; Silva, A.M.; Bassani, A.; Dzedik, V.; Spigno, G. Chemical Composition and Bioactivity of Oilseed Cake Extracts Obtained by Subcritical and Modified Subcritical Water. Bioresour. Bioprocess. 2022, 9, 114. [Google Scholar] [CrossRef]
- Sundar, S.; Singh, B.; Kaur, A. Infrared Pretreatment for Improving Oxidative Stability, Physiochemical Properties, Phenolic, Phytosterol and Tocopherol Profile of Hemp (Cannabis sativa L.) Seed Oil. Ind. Crop. Prod. 2023, 206, 117705. [Google Scholar] [CrossRef]
- Babiker, E.E.; Uslu, N.; Al Juhaimi, F.; Mohamed Ahmed, I.A.; Ghafoor, K.; Özcan, M.M.; Almusallam, I.A. Effect of Roasting on Antioxidative Properties, Polyphenol Profile and Fatty Acids Composition of Hemp (Cannabis sativa L.) Seeds. LWT 2021, 139, 110537. [Google Scholar] [CrossRef]
- Montero, L.; Meckelmann, S.W.; Kim, H.; Ayala-Cabrera, J.F.; Schmitz, O.J. Differentiation of Industrial Hemp Strains by Their Cannabinoid and Phenolic Compounds Using LC × LC-HRMS. Anal. Bioanal. Chem. 2022, 414, 5445–5459. [Google Scholar] [CrossRef] [PubMed]
- Bonacci, S.; Di Stefano, V.; Sciacca, F.; Buzzanca, C.; Virzì, N.; Argento, S.; Melilli, M.G. Hemp Flour Particle Size Affects the Quality and Nutritional Profile of the Enriched Functional Pasta. Foods 2023, 12, 774. [Google Scholar] [CrossRef]
- Alonso-Esteban, J.I.; Pinela, J.; Ćirić, A.; Calhelha, R.C.; Soković, M.; Ferreira, I.C.F.R.; Barros, L.; Torija-Isasa, E.; Sánchez-Mata, M.d.C. Chemical Composition and Biological Activities of Whole and Dehulled Hemp (Cannabis sativa L.) Seeds. Food Chem. 2022, 374, 131754. [Google Scholar] [CrossRef]
- Özcan, M.M.; Köse, N. Monitoring of Changes in Physico-Chemical Properties, Fatty Acids and Phenolic Compounds of Unroasted and Roasted Sunflower Oils Obtained by Enzyme and Ultrasonic Extraction Systems. J. Food Meas. Charact. 2023, 17, 849–862. [Google Scholar] [CrossRef]
- Ko, S.N.; Kim, C.J.; Kim, H.; Kim, C.T.; Chung, S.H.; Tae, B.S.; Kim, I.H. Tocol Levels in Milling Fractions of Some Cereal Grains and Soybean. J. Am. Oil Chem. Soc. 2003, 80, 585–589. [Google Scholar] [CrossRef]
- Sundar, S.; Singh, B.; Kaur, A. Microwave Roasting Effects on Phenolic, Tocopherol, Fatty Acid and Phytosterol Profiles, Physiochemical, Oxidative and Antioxidant Properties of Hemp Seed Oil. Food Chem. Adv. 2024, 4, 100596. [Google Scholar] [CrossRef]
- Siano, F.; Moccia, S.; Picariello, G.; Russo, G.L.; Sorrentino, G.; Di Stasio, M.; La Cara, F.; Volpe, M.G. Comparative Study of Chemical, Biochemical Characteristic and ATR-FTIR Analysis of Seeds, Oil and Flour of the Edible Fedora Cultivar Hemp (Cannabis sativa L.). Molecules 2019, 24, 83. [Google Scholar] [CrossRef]
- Menga, V.; Garofalo, C.; Suriano, S.; Beleggia, R.; Colecchia, S.A.; Perrone, D.; Montanari, M.; Pecchioni, N.; Fares, C. Phenolic Acid Composition and Antioxidant Activity of Whole and Defatted Seeds of Italian Hemp Cultivars: A Two-Year Case Study. Agriculture 2022, 12, 759. [Google Scholar] [CrossRef]
- Banskota, A.H.; Jones, A.; Hui, J.P.M.; Stefanova, R. Triacylglycerols and Other Lipids Profiling of Hemp By-Products. Molecules 2022, 27, 2339. [Google Scholar] [CrossRef]
- Wen, Y.; Xu, L.; Xue, C.; Jiang, X.; Wei, Z. Assessing the Impact of Oil Types and Grades on Tocopherol and Tocotrienol Contents in Vegetable Oils with Chemometric Methods. Molecules 2020, 25, 5076. [Google Scholar] [CrossRef]
- Arias-Santé, M.F.; López-Puebla, S.; de Camargo, A.C.; Guil-Guerrero, J.L.; Rincón-Cervera, M.Á. Development and Validation of a Simple Analytical Method to Quantify Tocopherol Isoforms in Food Matrices by HPLC–UV–Vis. Appl. Sci. 2024, 14, 8750. [Google Scholar] [CrossRef]
- Pointner, T.; Rauh, K.; Auñon-Lopez, A.; Kostadinović Veličkovska, S.; Mitrev, S.; Arsov, E.; Pignitter, M. Comprehensive Analysis of Oxidative Stability and Nutritional Values of Germinated Linseed and Sunflower Seed Oil. Food Chem. 2024, 454, 139790. [Google Scholar] [CrossRef]
- Ferruzzi, M.G.; Blakeslee, J. Digestion, Absorption, and Cancer Preventative Activity of Dietary Chlorophyll Derivatives. Nutr. Res. 2007, 27, 1–12. [Google Scholar] [CrossRef]
- Pojić, M.; Dapčević Hadnadev, T.; Hadnadev, M.; Rakita, S.; Brlek, T. Bread Supplementation with Hemp Seed Cake: A by-Product of Hemp Oil Processing. J. Food Qual. 2015, 38, 431–440. [Google Scholar] [CrossRef]
- Purlis, E. Browning Development in Bakery Products—A Review. J. Food Eng. 2010, 99, 239–249. [Google Scholar] [CrossRef]
- Clarke, C.I.; Arendt, E.K. A Review of the Application of Sourdough Technology to Wheat Breads. Adv. Food Nutr. Res. 2005, 49, 137–161. [Google Scholar] [CrossRef]
- Keramari, S.; Nouska, C.; Hatzikamari, M.; Biliaderis, C.G.; Lazaridou, A. Impact of Sourdough from a Commercial Starter Culture on Quality Characteristics and Shelf Life of Gluten-Free Rice Breads Supplemented with Chickpea Flour. Foods 2024, 13, 2300. [Google Scholar] [CrossRef] [PubMed]
- Kulathunga, J.; Whitney, K.; Simsek, S. Impact of Starter Culture on Biochemical Properties of Sourdough Bread Related to Composition and Macronutrient Digestibility. Food Biosci. 2023, 53, 102640. [Google Scholar] [CrossRef]
- Atfaoui, K.; Lebrazi, S.; Raffak, A.; Chafai, Y.; El Kabous, K.; Fadil, M.; Ouhssine, M. Impact of Selected Starter-Based Sourdough Types on Fermentation Performance and Bio-Preservation of Bread. Fermentation 2025, 11, 449. [Google Scholar] [CrossRef]
- Marinopoulou, A.; Sevastopoulou, N.; Farmouzi, K.; Konstantinidou, E.; Alexandri, A.; Papageorgiou, M. Impact of Hemp (Cannabis sativa L.) Protein Addition on the Rheological Properties of Wheat Flour Dough and Bread Quality. Appl. Sci. 2024, 14, 11633. [Google Scholar] [CrossRef]
- Mikulec, A.; Kowalski, S.; Sabat, R.; Skoczylas, Ł.; Tabaszewska, M.; Wywrocka-Gurgul, A. Hemp Flour as a Valuable Component for Enriching Physicochemical and Antioxidant Properties of Wheat Bread. LWT 2019, 102, 164–172. [Google Scholar] [CrossRef]
- Del Vecchio, L.; Chiodetti, M.; Cirlini, M.; Ricci, S.; Di Fazio, A.; Caligiani, A.; Carini, E. Hemp Flour in Breadmaking: Circularity and Opportunities for Bread Quality and Stability during Storage. Eur. Food Res. Technol. 2025, 251, 1047–1060. [Google Scholar] [CrossRef]
- Wang, J.; Rosell, C.M.; Benedito de Barber, C. Effect of the Addition of Different Fibres on Wheat Dough Performance and Bread Quality. Food Chem. 2002, 79, 221–226. [Google Scholar] [CrossRef]
- Merker, A.A.; Reva, E.N.; Serdyuk, V.A. The Influence of Gluten-Free Flour on Bakery Dough Quality. Eng. Technol. Sys 2022, 32, 313–323. [Google Scholar] [CrossRef]
- Švec, I.; Hrušková, M. Crumb Evaluation of Bread with Hemp Products Addition by Means of Image Analysis. Acta Univ. Agric. Silvic. Mendel. Brun 2013, 61, 1867–1872. [Google Scholar] [CrossRef]
- Silva, T.H.L.; Monteiro, R.L.; Salvador, A.A.; Laurindo, J.B.; Carciofi, B.A.M. Kinetics of Bread Physical Properties in Baking Depending on Actual Finely Controlled Temperature. Food Control 2022, 137, 108898. [Google Scholar] [CrossRef]
- Papasidero, D.; Manenti, F.; Pierucci, S. Bread Baking Modeling: Coupling Heat Transfer and Weight Loss by the Introduction of an Explicit Vaporization Term. J. Food Eng. 2015, 147, 79–88. [Google Scholar] [CrossRef]
- Hayward, L.; McSweeney, M.B. Acceptability of Bread Made with Hemp (Cannabis sativa subsp. sativa) Flour Evaluated Fresh and Following a Partial Bake Method. J. Food Sci. 2020, 85, 2915–2922. [Google Scholar] [CrossRef]
- Sandvik, P.; Nydahl, M.; Kihlberg, I.; Marklinder, I. Consumers’ Health-Related Perceptions of Bread—Implications for Labeling and Health Communication. Appetite 2018, 121, 285–293. [Google Scholar] [CrossRef]



| RI | HC | Control | H10 | H20 | H30 | |
|---|---|---|---|---|---|---|
| Phenolic acids | ||||||
| Caffeic | 3.77 ± 0.34 | 0.26 c ± 0.02 | 0.62 b ± 0.01 | 1.19 a ± 0.08 | ||
| Caffeic der. | 132.4 ± 3.6 | 13.98 c ± 0.57 | 20.99 b ± 0.17 | 33.20 a ± 1.75 | ||
| Chlorogenic | 29.78 ± 0.47 | 3.89 c ± 0.01 | 6.80 b ± 0.11 | 10.10 a ± 0.15 | ||
| Ellagic der. | 83.30 ± 0.78 | 13.75 c ± 0.41 | 21.50 b ± 0.19 | 33.15 a ± 0.06 | ||
| Ferulic | 3.50 ± 0.26 | 3.30 b ± 0.03 | 4.15 a ± 0.14 | 3.79 ab ± 0.11 | 3.66 ab ± 0.04 | |
| p-coumaric | 0.89 ± 0.12 | 2.27 b ± 0.11 | 3.28 a ± 0.06 | 3.33 a ± 0.00 | 3.54 a ± 0.04 | |
| p-coumaric der. | 2.86 a ± 0.29 | 3.04 a ± 0.04 | 2.51 ab ± 0.02 | 2.45 b ± 0.00 | ||
| Protocatechuic | 79.62 ± 3.80 | 3.72 c ± 0.21 | 4.05 b ± 0.02 | 5.95 a ± 0.11 | ||
| Rosmarinic | 170.9 ± 6.3 | 27.21 c ± 2.16 | 42.47 b ± 1.08 | 65.02 a ± 2.62 | ||
| Syringic | 33.95 ± 0.06 | 2.13 c ± 0.04 | 2.39 b ± 0.03 | 4.01 a ± 0.08 | ||
| Vanillic | 2.39 ± 0.22 | |||||
| Flavonoids | ||||||
| Apigenin der. | 6.78 ± 0.49 | 0.64 b ± 0.03 | 1.05 a ± 0.00 | 1.29 a ± 0.08 | ||
| Naringenin der. | 32.63 ± 1.82 | 7.87 b ± 0.01 | 11.24 a ± 0.48 | |||
| Tocols | ||||||
| α-T | 7.38 ± 0.58 | 3.68 c ± 0.39 | 4.69 b ± 0.40 | 5.24 a ± 0.05 | 6.45 a ± 0.55 | |
| β-T | 4.84 ± 0.38 | 3.73 a ± 0.27 | 4.53 a ± 0.40 | 3.92 a ± 0.30 | 3.67 a ± 0.47 | |
| γ-T | 81.66 ± 3.37 | 2.40 c ± 0.07 | 7.14 b ± 0.02 | 11.79 a ± 0.48 | ||
| γ-T3 | 6.44 ± 0.07 | 4.48 a ± 0.31 | 1.75 c ± 0.07 | 2.02 b ± 0.19 | 2.20 b ± 0.15 | |
| δ-T | 2.45 ± 0.05 | |||||
| Carotenoids | ||||||
| β-carotene | 0.26 ± 0.02 | |||||
| β-cryptoxanthin | 0.15 ± 0.03 | |||||
| Lutein | 13.72 ± 0.31 | 0.46 c ± 0.01 | 1.32 b ± 0.06 | 1.80 a ± 0.05 | ||
| Zeaxanthin | 0.15 ± 0.00 | 0.03 ± 0.00 | 0.04 ± 0.01 | 0.03 ± 0.00 |
| Sample | L* | a* | b* | C | h | |
|---|---|---|---|---|---|---|
| Crust | Control | 60.1 ± 3.0 a | 8.7 ± 0.8 a | 31.7 ± 1.4 a | 32.9 ± 1.5 a | 74.7 ± 0.9 c |
| H5 | 54.0 ± 1.6 b | 6.8 ± 0.4 b | 28.5 ± 1.0 b | 29.3 ± 1.0 b | 76.6 ± 0.9 b | |
| H10 | 50.4 ± 1.9 bc | 5.9 ± 0.5 c | 27.0 ± 1.1 bc | 27.6 ± 1.1 c | 77.7 ± 1.2 ab | |
| H15 | 46.9 ± 3.7 cd | 5.4 ± 0.7 cd | 25.4 ± 1.2 cd | 25.9 ± 1.2 d | 78.0 ± 1.7 ab | |
| H20 | 44.9 ± 2.2 de | 5.0 ± 0.3 de | 25.0 ± 1.2 d | 25.5 ± 1.2 d | 78.7 ± 0.8 a | |
| H25 | 42.7 ± 2.0 ef | 4.6 ± 0.7 de | 23.3 ± 0.8 e | 23.8 ± 0.7 e | 78.7 ± 1.9 a | |
| H30 | 39.9 ± 3.2 f | 4.5 ± 0.5 e | 22.7 ± 1.3 e | 23.2 ± 1.3 e | 78.9 ± 1.3 a | |
| Crumb | Control | 75.4 ± 1.2 a | 0.2 ± 0.1 c | 13.9 ± 0.5 d | 13.9 ± 0.5 d | 89.0 ± 0.4 a |
| H5 | 61.8 ± 1.9 b | 0.3 ± 0.2 c | 18.0 ± 0.3 c | 18.0 ± 0.3 c | 89.0 ± 0.6 a | |
| H10 | 55.9 ± 1.0 c | 0.7 ± 0.2 b | 18.6 ± 0.8 bc | 18.6 ± 0.8 bc | 87.9 ± 0.5 b | |
| H15 | 49.7 ± 1.2 d | 1.3 ± 0.1 a | 18.7 ± 0.5 bc | 18.7 ± 0.5 b | 86.0 ± 0.4 c | |
| H20 | 47.3 ± 0.7 e | 1.3 ± 0.1 a | 18.8 ± 0.7 ab | 18.9 ± 0.7 ab | 86.0 ± 0.4 c | |
| H25 | 45.0 ± 1.6 f | 1.5 ± 0.2 a | 19.0 ± 0.4 ab | 19.1 ± 0.4 ab | 85.6 ± 0.7 c | |
| H30 | 43.2 ± 1.6 f | 1.5 ± 0.2 a | 19.5 ± 0.3 a | 19.5 ± 0.3 a | 85.5 ± 0.5 c | |
| Volume (cm3) | Hardness (N) | Adhesiveness (N/s) | Springiness | Cohesiveness | Chewiness (N) | |
|---|---|---|---|---|---|---|
| Control | 622.1 ± 6.2 a | 17.1 ± 1.4 d | 0.11 ± 0.01 e | 0.89 ± 0.01 bc | 0.63 ± 0.02 a | 9.8 ± 1.1 e |
| H5 | 569.1 ± 2.2 b | 18.5 ± 1.1 d | 0.19 ± 0.04 d | 0.90 ± 0.01 ab | 0.66 ± 0.02 a | 11.4 ± 1.6 de |
| H10 | 556.2 ± 7.9 bc | 19.7 ± 1.4 cd | 0.24 ± 0.01 cd | 0.90 ± 0.00 abc | 0.65 ± 0.02 a | 12.5 ± 1.7 cd |
| H15 | 544.8 ± 19.9 bc | 21.8 ± 1.2 bc | 0.26 ± 0.03 bcd | 0.91 ± 0.00 a | 0.67 ± 0.03 a | 13.5 ± 0.3 bcd |
| H20 | 537.4 ± 12.8 bc | 23.9 ± 1.0 ab | 0.29 ± 0.03 abc | 0.88 ± 0.01 c | 0.63 ± 0.03 a | 14.7 ± 0.4 abc |
| H25 | 527.8 ± 1.7 c | 25.9 ± 1.3 a | 0.31 ± 0.01 ab | 0.88 ± 0.00 c | 0.63 ± 0.01 a | 15.8 ± 1.3 ab |
| H30 | 526.6 ± 5.1 c | 26.5 ± 1.2 a | 0.33 ± 0.02 a | 0.88 ± 0.01 c | 0.61 ± 0.04 a | 16.9 ± 0.5 a |
| Sample | Pore Count (n/cm2) | Average Pore Size (mm2) | Porosity (%) |
|---|---|---|---|
| Control | 12.78 ± 2.20 c | 1.20 ± 0.14 a | 20.62 ± 2.69 a |
| H5 | 16.03 ± 0.82 c | 1.14 ± 0.06 ab | 21.59 ± 1.15 a |
| H10 | 20.99 ± 0.80 b | 1.03 ± 0.11 ab | 20.97 ± 2.10 a |
| H15 | 22.81 ± 0.85 ab | 0.96 ± 0.06 ab | 20.74 ± 1.82 a |
| H20 | 24.24 ± 2.95 ab | 0.97 ± 0.18 ab | 21.90 ± 2.17 a |
| H25 | 24.30 ± 3.11 ab | 0.96 ± 0.19 ab | 21.93 ± 2.04 a |
| H30 | 26.60 ± 0.61 a | 0.86 ± 0.05 b | 22.80 ± 1.28 a |
| Appearance | Texture | Aroma | Taste | Overall | |
|---|---|---|---|---|---|
| Control | 4.45 ± 0.76 a | 4.15 ± 0.81 a | 4.40 ± 0.88 a | 4.20 ± 0.89 a | 4.30 ± 0.67 a |
| H5 | 4.40 ± 0.60 a | 4.10 ± 0.55 a | 4.45 ± 0.60 a | 4.15 ± 0.59 ab | 4.28 ± 0.37 a |
| H10 | 4.05 ± 0.76 ab | 4.05 ± 0.76 a | 4.05 ± 0.69 ab | 4.05 ± 0.76 ab | 4.05 ± 0.54 a |
| H15 | 3.65 ± 0.59 bc | 3.55 ± 0.60 b | 3.65 ± 0.75 bc | 3.70 ± 0.73 bc | 3.64 ± 0.36 b |
| H20 | 3.30 ± 0.73 cd | 3.30 ± 0.73 c | 3.35 ± 0.88 c | 3.35 ± 0.99 c | 3.33 ± 0.69 b |
| H25 | 3.00 ± 0.73 d | 2.95 ± 0.69 c | 2.85 ± 0.67 d | 2.65 ± 0.67 d | 2.86 ± 0.50 c |
| H30 | 2.50 ± 1.00 e | 2.30 ± 0.86 d | 2.15 ± 0.81 e | 1.65 ± 0.67 e | 2.15 ± 0.69 d |
Disclaimer/Publisher’s Note: The statements, opinions and data contained in all publications are solely those of the individual author(s) and contributor(s) and not of MDPI and/or the editor(s). MDPI and/or the editor(s) disclaim responsibility for any injury to people or property resulting from any ideas, methods, instructions or products referred to in the content. |
© 2025 by the authors. Licensee MDPI, Basel, Switzerland. This article is an open access article distributed under the terms and conditions of the Creative Commons Attribution (CC BY) license (https://creativecommons.org/licenses/by/4.0/).
Share and Cite
Nakov, G.; Jukić, M.; Soler, F.; Syleimanova, S.; Lukinac, J.; Estivi, L.; Brandolini, A.; Hidalgo, A. Enhancing the Antioxidant and Nutritional Profile of Gluten-Free Sourdough Bread Using Hemp Press Cake Meal. Foods 2025, 14, 3571. https://doi.org/10.3390/foods14203571
Nakov G, Jukić M, Soler F, Syleimanova S, Lukinac J, Estivi L, Brandolini A, Hidalgo A. Enhancing the Antioxidant and Nutritional Profile of Gluten-Free Sourdough Bread Using Hemp Press Cake Meal. Foods. 2025; 14(20):3571. https://doi.org/10.3390/foods14203571
Chicago/Turabian StyleNakov, Gjore, Marko Jukić, Francesca Soler, Semiha Syleimanova, Jasmina Lukinac, Lorenzo Estivi, Andrea Brandolini, and Alyssa Hidalgo. 2025. "Enhancing the Antioxidant and Nutritional Profile of Gluten-Free Sourdough Bread Using Hemp Press Cake Meal" Foods 14, no. 20: 3571. https://doi.org/10.3390/foods14203571
APA StyleNakov, G., Jukić, M., Soler, F., Syleimanova, S., Lukinac, J., Estivi, L., Brandolini, A., & Hidalgo, A. (2025). Enhancing the Antioxidant and Nutritional Profile of Gluten-Free Sourdough Bread Using Hemp Press Cake Meal. Foods, 14(20), 3571. https://doi.org/10.3390/foods14203571

