Physicochemical, Phytochemical and Sensory Properties of Myrobalan (Prunus cerasifera L.) Fruit Leather: Effects of Sugar Concentration and Enrichment with Blackcurrant and Bilberry Pomace Powders
Abstract
1. Introduction
2. Materials and Methods
2.1. Materials
2.2. Chemicals
2.3. Preparation of Fruit Leathers
2.4. Color Analysis and Titratable Acidity
2.5. Preparation of Phenolic Extract
2.6. Total Phenolic Content
2.7. DPPH Radical Scavenging Activity
2.8. Chromatographic Analysis of Organic Acids
2.9. Chromatographic Analysis of Phenolic Compounds
2.10. Sensory Analysis
2.11. Statistical Analysis
3. Results and Discussion
3.1. Physicochemical and Phytochemical Properties of Myrobalan Fruits
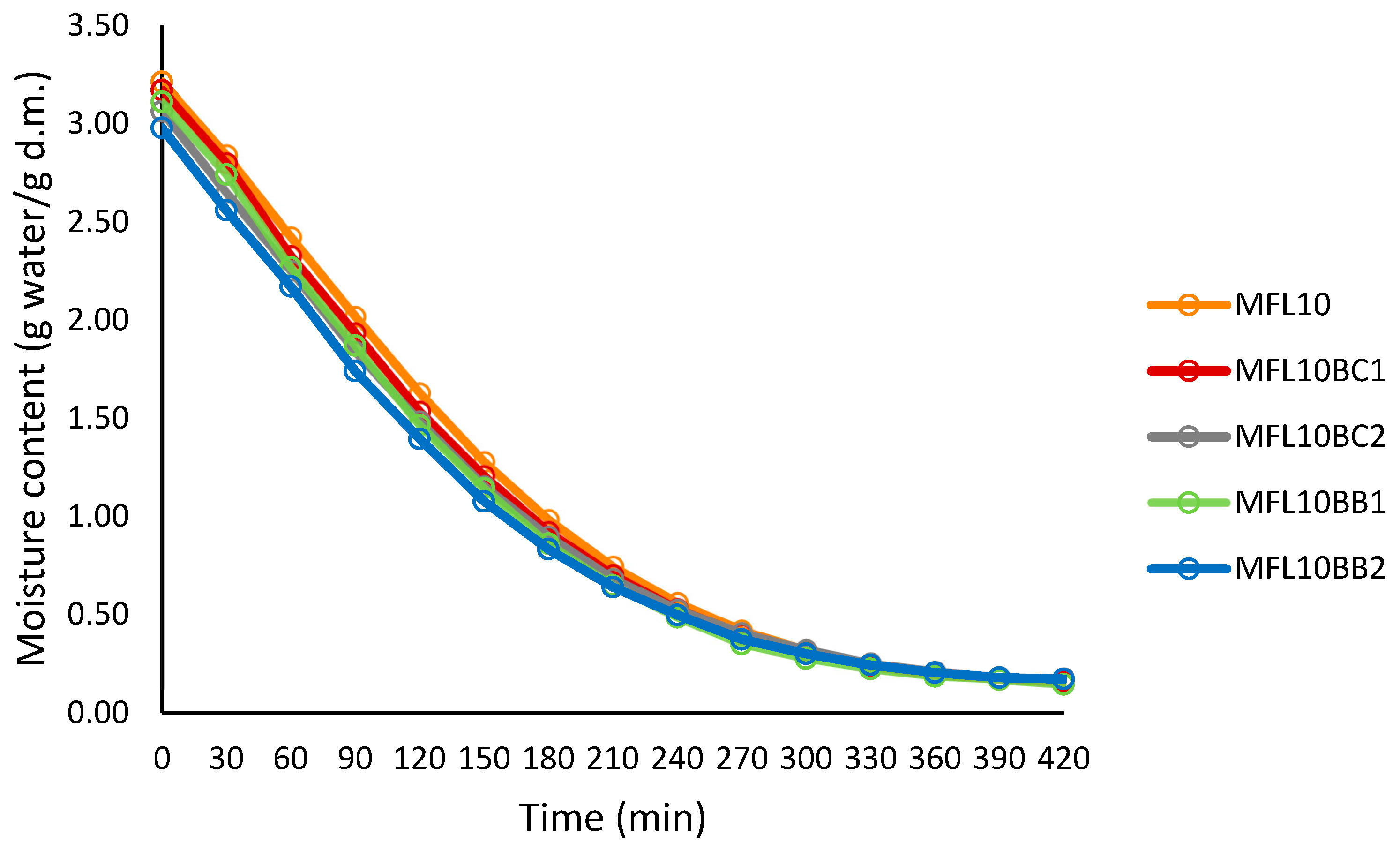
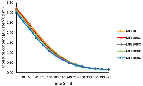
3.2. Drying Process
3.3. Color and Titratable Acidity
3.4. Total Phenolic Content and DPPH Radical Scavenging Activity
3.5. Organic Acids
3.6. Phenolic Compounds
3.7. Sensory Analysis
4. Conclusions
Supplementary Materials
Author Contributions
Funding
Institutional Review Board Statement
Informed Consent Statement
Data Availability Statement
Conflicts of Interest
References
- Petrov, D.; Ocokoljić, M.; Galečcić, N.; Skočajić, D.; Simović, I. Adaptability of Prunus cerasifera Ehrh. to Climate Changes in Multifunctional Landscape. Atmosphere 2024, 15, 335. [Google Scholar] [CrossRef]
- Popescu, I.; Caudullo, G. Prunus cerasifera in Europe: Distribution, Habitat, Usage and Threats. In European Atlas of Forest Tree Species; Publication Office of the European Union: Luxembourg, 2016; ISBN 978-92-79-36740-3. [Google Scholar]
- Ternjak, T.; Kristl, J.; Šiško, M.; Horvat, K.; Sem, V. Morphological Evaluation and Phenolic Content of Wild Prunus cerasifera Ehrh. Fruits from Slovenia. Horticulturae 2024, 10, 1057. [Google Scholar] [CrossRef]
- Iacona, C.; Cirilli, M.; Zega, A.; Frioni, E.; Silvestri, C.; Muleo, R. A somaclonal myrobalan rootstock increases waterlogging tolerance to peach cultivar in controlled conditions. Sci. Hortic. 2013, 156, 1–8. [Google Scholar] [CrossRef]
- Sottile, F.; Napolitano, A.; Badalamenti, N.; Bruno, M.; Tundis, R.; Loizzo, M.R.; Piacente, S. A New Bloody Pulp Selection of Myrobalan (Prunus cerasifera L.): Pomological Traits, Chemical Composition, and Nutraceutical Properties. Foods 2023, 12, 1107. [Google Scholar] [CrossRef]
- Gunduz, K.; Saracoglu, O. Variation in total phenolic content and antioxidant activity of Prunus cerasifera Ehrh. selections from Mediterranean region of Turkey. Sci. Hortic. 2012, 134, 88–92. [Google Scholar] [CrossRef]
- Saridas, M.A.; Kafkas, N.E.; Zarifikhosroshahi, M.; Bozhaydar, O.; Kargi, S.P. Quality traits of green plums (Prunus cerasifera Ehrh.) at different maturity stages. Turk. J. Agric. For. 2016, 40, 655–663. [Google Scholar] [CrossRef]
- Putkaradze, J.; Diasamidze, M.; Vanidze, M.; Kalandia, A. Antioxidant Activity of Prunus cerasifera products. Int. J. Life Sci. 2021, 10, 52–54. [Google Scholar]
- Cosmulescu, S.; Ionică, M.E.; Mutu, N. Evaluation on genetic diversity of phenotypic traits in myrobalan plum (Prunus cerasifera EHRH.). South West. J. Hortic. Biol. Environ. 2018, 9, 25–34. [Google Scholar]
- Dunaevskaya, E.V.; Gorina, V.M.; Melkozerova, E.A.; Khetagurov, K.M.; Kozyrev, A.K. Prunus cerasifera Ehrh. fruits are a source of biologically active substances and high-quality feedstock for Food for Specific Health Use. E3S Web Conf. 2021, 282, 04008. [Google Scholar] [CrossRef]
- Rabadán, A.; Nieto, R.; Bernabéu, R. Food Innovation as a Means of Developing Healthier and More Sustainable Foods. Foods 2021, 10, 2069. [Google Scholar] [CrossRef]
- Das, A.; Bora, B.N.; Chutia, H.; Lata Mahanta, C. Processing of Minerals and Anthocyanins-Rich Mixed-Fruit Leather from Banana (Musa acuminata) and Sohiong (Prunus nepalensis). J. Food Process Preserv. 2021, 45, e15718. [Google Scholar] [CrossRef]
- Devirgiliis, C.; Guberti, E.; Mistura, L.; Raffo, A. Effect of Fruit and Vegetable Consumption on Human Health: An Update of the Literature. Foods 2024, 13, 3149. [Google Scholar] [CrossRef] [PubMed]
- Orrego, C.E.; Salgado, N.; Botero, C.A. Developments and trends in fruit bar production and characterization. Crit. Rev. Food Sci. Nutr. 2014, 54, 84–97. [Google Scholar] [CrossRef] [PubMed]
- Fu, H.; Lee, C.H.; Nolden, A.A.; Kinchla, A.J. Nutrient density, added sugar, and fiber content of commercially available fruit snacks in the United States from 2017 to 2022. Nutrients 2024, 16, 292. [Google Scholar] [CrossRef]
- van Vliet, M.; Adasme-Berríos, C.; Schnettler, B.; Adasme Berríos, C. Acceptance of Functional Food among Chilean Consumers: Apple Leather. Nutr. Hosp. 2015, 32, 1616–1623. [Google Scholar]
- Diamante, L.M.; Bai, X.; Busch, J. Fruit Leathers: Method of Preparation and Effect of Different Conditions on Qualities. Int. J. Food Sci. 2014, 2014, 139890. [Google Scholar] [CrossRef]
- Srinivas, M.S.; Jain, S.K.; Jain, N.K.; Lakhawat, S.S.; Kumar, A.; Jain, H.K. A Review on the Preparation Method of Fruit Leathers. Int. J. Curr. Microbiol. App. Sci. 2020, 9, 773–778. [Google Scholar] [CrossRef]
- Singh, J.; Tiwari, R.B. Development of nutritious fruit leather by blending guava and papaya. Int. J. Curr. Microbiol. App. Sci. 2019, 8, 813–820. [Google Scholar] [CrossRef]
- Gautam, S.; Khadka, N.; Rai, K. Effect of fruit pulp and sugar concentration on the physicochemical, phytochemical and sensory characteristics of star fruit (Averrhoa carambola) leather. Vietnam. J. Sci. Technol. 2024, 62, 869–878. [Google Scholar] [CrossRef]
- Vatthanakul, S.; Jangchud, A.; Jangchud, K.; Therdthai, N.; Wilkinson, B. Gold kiwifruit leather product development using quality function deployment approach. Food Qual. Prefer. 2010, 21, 339–345. [Google Scholar] [CrossRef]
- Diamante, L.M.; Li, S.; Xu, Q.; Busch, J. Effects of Apple Juice Concentrate, Blackcurrant Concentrate and Pectin Levels on Selected Qualities of Apple-Blackcurrant Fruit Leather. Foods 2013, 2, 430–443. [Google Scholar] [CrossRef] [PubMed]
- Concha-Meyer, A.A.; D’Ignoti, V.; Saez, B.; Diaz, R.I.; Torres, C.A. Effect of Storage on the Physico-Chemical and Antioxidant Properties of Strawberry and Kiwi Leathers. J. Food Sci. 2016, 81, C569–C577. [Google Scholar] [CrossRef] [PubMed]
- Yılmaz, F.M.; Yüksekkaya, S.; Vardin, H.; Karaaslan, M. The effects of drying conditions on moisture transfer and quality of pomegranate fruit leather (pestil). J. Saudi Soc. Agric. Sci. 2017, 16, 33–40. [Google Scholar] [CrossRef]
- Mphaphuli, T.; Manhivi, V.E.; Slabbert, R.; Sultanbawa, Y.; Sivakumar, D. Enrichment of mango fruit leathers with natal plum (Carissa macrocarpa) improves their phytochemical content and antioxidant properties. Foods 2020, 9, 431. [Google Scholar] [CrossRef]
- Blejan, A.M.; Nour, V.; Codină, G.G. Physicochemical and functional characterization of pear leathers enriched with wild bilberry and blackcurrant pomace powders. Agronomy 2024, 14, 2048. [Google Scholar] [CrossRef]
- Momchilova, M.; Zsivanovits, G.; Milkova-Tomova, I.; Buhalova, D.; Dojkova, P. Sensory and texture characterisation of plum (Prunus domestica) fruit leather. Bulg. Chem. Commun. 2016, 48, 428–434. [Google Scholar]
- Tontul, I.; Topuz, A. Production of pomegranate fruit leather (pestil) using different hydrocolloid mixtures: An optimization study by mixture design. J. Food Process Eng. 2018, 41, e12657. [Google Scholar] [CrossRef]
- Barman, M.; Das, A.B.; Badwaik, L.S. Effect of xanthan gum, guar gum, and pectin on physicochemical, color, textural, sensory, and drying characteristics of kiwi fruit leather. J. Food Process Preserv. 2021, 45, e15478. [Google Scholar] [CrossRef]
- KC, Y.; Dangal, A.; Thapa, S.; Rayamajhi, S.; Chalise, K.; Shiwakoti, L.D.; Katuwal, N. Nutritional, phytochemicals, and sensory analysis of Lapsi (Choerospondias axillaris) fruit leather. Int. J. Food Prop. 2022, 25, 960–975. [Google Scholar] [CrossRef]
- Nayaka, V.K.; Tiwari, R.B.; Narayana, C.K.; Ranjitha, K.; Shamina, A.; Vasugi, C.; Venugopalan, R.; Bhuvaneswari, S.; Sujayasree, O.J. Comparative effect of different sugars instigating non-enzymatic browning and Maillard reaction products in guava fruit leather. J. Hortic. Sci. 2022, 17, 174–183. [Google Scholar] [CrossRef]
- Torres, C.A.; Romero, L.A.; Diaz, R.I. Quality and sensory attributes of apple and quince leathers made without preservatives and with enhanced antioxidant activity. LWT Food Sci. Technol. 2015, 62, 996–1003. [Google Scholar] [CrossRef]
- Nour, V.; Blejan, A.M.; Codina, G.G. Use of Bilberry and Blackcurrant Pomace Powders as Functional Ingredients in Cookies. Appl. Sci. 2025, 15, 5247. [Google Scholar] [CrossRef]
- Association of Official Analytical Chemists (AOAC). Official Methods of Analysis, 15th ed.; AOAC: Rockville, MD, USA, 1990. [Google Scholar]
- Singleton, V.L.; Orthofer, R.; Lamuela-Raventos, R.M. Analysis of total phenols and other oxidation substrates and antioxidants using Folin-Ciocalteau reagent. Methods Enzymol. 1999, 299, 152–178. [Google Scholar] [CrossRef]
- Oliveira, I.; Sousa, A.; Ferreira, I.C.F.R.; Bento, A.; Estevinho, L.; Pereira, J.A. Total phenols, antioxidant potential and antimicrobial activity of walnut (Juglans regia L.) green husks. Food. Chem. Toxicol. 2008, 46, 2326–2331. [Google Scholar] [CrossRef]
- Nour, V.; Trandafir, I.; Ionica, M.E. HPLC Organic Acid Analysis in Different Citrus Juices under Reversed Phase Conditions. Not. Bot. Horti Agrobot. Cluj-Napoca 2010, 38, 44–48. [Google Scholar]
- Nour, V.; Trandafir, I.; Cosmulescu, S. Bioactive Compounds, Antioxidant Activity and Nutritional Quality of Different Culinary Aromatic Herbs. Not. Bot. Horti Agrobot. Cluj-Napoca 2017, 45, 179–184. [Google Scholar] [CrossRef]
- Wang, Y.X.; Chen, X.; Zhang, Y.; Chen, X. Antioxidant activities and major anthocyanins of myrobalan plum (Prunus cerasifera Ehrh.). Food Sci. 2012, 77, 388–393. [Google Scholar] [CrossRef]
- Shi, J.; Pan, Z.; McHugh, T.H.; Wood, D.; Hirschberg, E.; Olson, D. Drying and quality characteristics of fresh and sugar-infused blueberries dried with infrared radiation heating. LWT Food Sci. Technol. 2008, 41, 1962–1972. [Google Scholar] [CrossRef]
- Amin, M.K.; Islam, M.A.; Akter, F.; Islam, M.N. Kinetics of air drying of jackfruit and mango pulp and development of mixed leather. Fundam. Appl. Agric. 2019, 4, 1089–1096. [Google Scholar] [CrossRef]
- Gujral, H.S.; Oberoi, D.P.S.; Singh, R.; Gera, M. Moisture diffusivity during drying of pineapple and mango leather as affected by sucrose, pectin, and maltodextrin. Int. J. Food Prop. 2013, 16, 359–368. [Google Scholar] [CrossRef]
- Karma, I.G.M. Determination and Measurement of Color Dissimilarity. Int. J. Eng. Emerg. Technol. 2020, 5, 67–71. [Google Scholar] [CrossRef]
- Addai, Z.; Abdullah, A.; Sahilah, A.M.; Musa, K.H. Evaluation of fruit leather made from two cultivars of papaya. Ital. J. Food Sci. 2016, 28, 73–82. [Google Scholar] [CrossRef]
- Nizamlioglu, N.M.; Yasar, S.; Bulut, Y. Chemical versus infrared spectroscopic measurements of quality attributes of sun or oven dried fruit leathers from apple, plum and apple-plum mixture. LWT-Food Sci. Technol. 2022, 153, 112420. [Google Scholar] [CrossRef]
- Phuong, H.M.K.; Hoa, N.D.H.; Ha, N.V.H. Effects of added pectin amounts and drying temperatures on antioxidant properties of mulberry fruit leather. J. Biotech. 2016, 14, 487–495. [Google Scholar]
- Kamiloglu, S.; Capanoglu, E. In vitro gastrointestinal digestion of polyphenols from different molasses (pekmez) and leather (pestil) varieties. Int. J. Food Sci. Technol. 2014, 49, 1027–1039. [Google Scholar] [CrossRef]
- Quintero Ruiz, N.A.; Demarchi, S.M.; Giner, S.A. Effect of hot air, vacuum and infrared drying methods on quality of rose hip (Rosa rubiginosa) leathers. Int. J. Food Sci. Technol. 2014, 49, 1799–1804. [Google Scholar] [CrossRef]
- Chen, Y.; Martynenko, A. Combination of hydro-thermodynamic (HTD) processing and different drying methods for natural blueberry leather. LWT Food Sci Technol. 2018, 87, 470–477. [Google Scholar] [CrossRef]
- Usenik, V.; Stampar, F.; Kastelec, D. Phytochemicals in Fruits of Two Prunus domestica L. Plum Cultivars during Ripening. J. Sci. Food Agric. 2013, 93, 681–692. [Google Scholar] [CrossRef]
- Tomić, J.; Štampar, F.; Glišić, I.; Jakopič, J. Phytochemical assessment of plum (Prunus domestica L.) cultivars selected in Serbia. Food Chem. 2019, 299, 125113. [Google Scholar] [CrossRef]
- Xiao, Q.; Ye, S.; Wang, H.; Xing, S.; Zhu, W.; Zhang, H.; Zhu, J.; Pu, C.; Zhao, D.; Zhou, Q.; et al. Soluble sugar, organic acid and phenolic composition and flavor evaluation of plum fruits. Food Chem. X 2024, 24, 101790. [Google Scholar] [CrossRef]
- Korićanac, A.; Milatović, D.; Popović, B.; Tomić, J.; Mitrović, O.; Glišić, I.; Pesaković, M.; Rusjan, D.; Veberic, R.; Smrke, T.; et al. How do plums ripen in two weather different years? A deep insight into the metabolomic profile. Postharvest Biol. Technol. 2025, 222, 113362. [Google Scholar] [CrossRef]
- Tian, Y.; Laaksonen, O.; Haikonen, H.; Vanag, A.; Ejaz, H.; Linderborg, K.; Karhu, S.; Yang, B. Compositional Diversity among Blackcurrant (Ribes nigrum) Cultivars Originating from European Countries. J. Agric. Food Chem. 2019, 67, 5621–5633. [Google Scholar] [CrossRef]
- Karaklajic-Stajic, Z.; Tomic, J.; Pesakovic, M.; Paunovic, S.M.; Stampar, F.; Mikulic-Petkovsek, M.; Grohar, M.C.; Hudina, M.; Jakopic, J. Black Queens of Fruits: Chemical Composition of Blackberry (Rubus subg. rubus Watson) and Black Currant (Ribes nigrum L.) Cultivars Selected in Serbia. Foods 2023, 12, 2775. [Google Scholar] [CrossRef] [PubMed]
- Pires, T.C.S.P.; Inês Dias, M.; Calhelha, R.C.; Alves, M.J.; Santos-Buelga, C.; Ferreira, I.C.F.R.; Barros, L. Development of new bilberry (Vaccinium myrtillus L.) based snacks: Nutritional, chemical and bioactive features. Food Chem. 2021, 334, 127511. [Google Scholar] [CrossRef]
- Može, Š.; Polak, T.; Gašperlin, L.; Koron, D.; Vanzo, A.; Ulrih, N.P.; Abram, V. Phenolics in Slovenian bilberries (Vaccinium myrtillus L.) and blueberries (Vaccinium corymbosum L.). J. Agric. Food Chem. 2011, 59, 6998–7004. [Google Scholar] [CrossRef]
- Ancillotti, C.; Ciofi, L.; Pucci, D.; Sagona, E.; Giordani, E.; Biricolti, S.; Gori, M.; Petrucci, W.A.; Giardi, F.; Bartoletti, R.; et al. Polyphenolic Profiles and Antioxidant and Antiradical Activity of Italian Berries from Vaccinium myrtillus L. and Vaccinium uliginosum L. Subsp. Gaultherioides (Bigelow) S.B. Young. Food Chem. 2016, 204, 176–184. [Google Scholar] [CrossRef]
- Tumbas Šaponjac, V.; Čanadanović-Brunet, J.; Ćetković, G.; Djilas, S.; Četojević-Simin, D. Dried bilberry (Vaccinium myrtillus L.) extract fractions as antioxidants and cancer cell growth inhibitors. LWT 2015, 61, 615–621. [Google Scholar] [CrossRef]
- Değirmencioğlu, N.; Gürbüz, O.; Karatepe, G.E.; Irkin, R. Influence of hot air drying on phenolic compounds and antioxidant capacity of blueberry (Vaccinium myrtillus) fruit and leaf. J. Appl. Bot. Food Qual. 2017, 90, 115–125. [Google Scholar] [CrossRef]
- Xiao, T.; Guo, Z.; Sun, B.; Zhao, Y. Identification of Anthocyanins from Four Kinds of Berries and Their Inhibition Activity to α-Glycosidase and Protein Tyrosine Phosphatase 1B by HPLC–FT-ICR MS/MS. J. Agric. Food Chem. 2017, 65, 6211–6221. [Google Scholar] [CrossRef]
- Mikulic-Petkovsek, M.; Slatnar, A.; Schmitzer, V.; Stampar, F.; Veberic, R.; Koron, D. Chemical profile of black currant fruit modified by different degree of infection with black currant leaf spot. Sci. Hortic. 2013, 150, 399–409. [Google Scholar] [CrossRef]
- Azman, E.M.; House, A.; Charalampopoulos, D.; Chatzifragkou, A. Effect of dehydration on phenolic compounds and antioxidant activity of blackcurrant (Ribes nigrum L.) pomace. Int. J. Food Sci. Technol. 2021, 56, 600–607. [Google Scholar] [CrossRef]
- Blejan, A.M.; Nour, V.; Păcularu-Burada, B.; Popescu, S.M. Wild Bilberry, Blackcurrant, and Blackberry by-Products as a Source of Nutritional and Bioactive Compounds. Int. J. Food Prop. 2023, 26, 1579–1595. [Google Scholar] [CrossRef]
- Untea, A.E.; Varzaru, I.; Panaite, T.D.; Gavris, T.; Lupu, A.; Ropota, M. The effects of dietary inclusion of bilberry and walnut leaves in laying hens’ diets on the antioxidant properties of eggs. Animals 2020, 10, 191. [Google Scholar] [CrossRef] [PubMed]
- Okilya, S.; Mukisa, I.M.; Kaaya, A.N. Effect of solar drying on the quality and acceptability of jackfruit leather. Electron. J. Environ. Agric. Food Chem. 2010, 9, 101–111. [Google Scholar]
- Kumar, R.; Patil, R.T.; Mondal, G. Development and evaluation of blended papaya leather. Acta Hort. 2010, 851, 565–570. [Google Scholar] [CrossRef]








| TPC (mg GAE/100 g) | RSA (mmol Trolox/100 g) | |
|---|---|---|
| Myrobalan fruit flesh | 85.64 ± 2.77 | 0.82 ± 0.01 |
| Myrobalan fruit peel | 138.36 ± 5.78 | 1.34 ± 0.02 |
| Blackcurrant pomace powder | 978.85 ± 17.37 | 2.48 ± 0.11 |
| Bilberry pomace powder | 3456.23 ± 25.65 | 10.18 ± 0.37 |
| MFLC | MFL10 | MFL20 | MFL30 | MFL40 | |
|---|---|---|---|---|---|
| L* | 39.49 ± 0.42 b | 39.95 ± 0.58 b | 42.01 ± 0.52 a | 41.50 ± 0.46 a | 40.11 ± 0.62 b |
| a* | 17.06 ± 0.22 a | 16.30 ± 0.39 b | 15.20 ± 0.57 c | 13.97 ± 0.61 d | 12.84 ± 0.19 e |
| b* | 25.89 ± 0.41 cd | 26.37 ± 0.33 c | 28.08 ± 0.56 a | 27.34 ± 0.71 b | 25.63 ± 0.57 d |
| C | 31.01 ± 0.45 b | 31.00 ± 0.36 b | 31.93 ± 0.65 a | 30.70 ± 0.90 b | 28.63 ± 0.60 c |
| h | 56.62 ± 0.24 d | 58.29 ± 0.68 c | 61.57 ± 0.83 b | 62.94 ± 0.43 a | 63.55 ± 0.37 a |
| ΔE | - | 1.28 ± 0.38 c | 3.67 ± 0.59 b | 3.88 ± 0.43 ab | 4.29 ± 0.23 a |
| BI | 35.61 ± 0.24 a | 34.49 ± 0.88 b | 31.63 ± 1.06 c | 29.88 ± 1.10 d | 28.59 ± 0.45 e |
| Titratable acidity (g MA/100 g) | 10.98 ± 0.28 a | 6.73 ± 0.05 b | 4.89 ± 0.09 c | 3.32 ± 0.05 d | 2.41 ± 0.09 e |
| Thickness (mm) | 0.95 ± 0.13 d | 1.11 ± 0.15 c | 1.33 ± 0.17 b | 1.58 ± 0.15 a | 1.69 ± 0.18 a |
| MFL10 | MFL10BC1 | MFL10BC2 | MFL10BB1 | MFL10BB2 | |
|---|---|---|---|---|---|
| L* | 39.95 ± 0.58 a | 34.15 ± 2.10 b | 30.15 ± 0.31 c | 20.90 ± 0.15 d | 19.24 ± 0.39 e |
| a* | 16.30 ± 0.39 a | 15.52 ± 0.35 b | 13.85 ± 0.09 c | 5.56 ± 0.21 d | 4.25 ± 0.25 e |
| b* | 26.37 ± 0.33 a | 18.96 ± 0.46 b | 15.60 ± 0.30 c | 9.67 ± 0.22 d | 5.91 ± 0.53 e |
| C | 31.00 ± 0.36 a | 24.50 ± 0.54 b | 20.89 ± 0.21 c | 11.16 ± 0.18 d | 7.36 ± 0.62 e |
| h | 58.29 ± 0.68 b | 50.69 ± 0.49 d | 48.46 ± 0.44 e | 60.13 ± 1.25 a | 54.60 ± 1.88 c |
| ΔE | - | 9.58 ± 0.93 d | 14.78 ± 0.60 c | 27.52 ± 0.57 b | 31.51 ± 0.69 a |
| BI | 34.49 ± 0.88 b | 36.33 ± 2.05 a | 36.13 ± 0.50 a | 23.10 ± 0.49 c | 18.46 ± 1.23 d |
| Titratable acidity (g MA/100 g) | 6.73 ± 0.15 c | 6.88 ± 0.21 bc | 7.00 ± 0.09 bc | 7.12 ± 0.14 ab | 7.33 ± 0.18 a |
| Thickness (mm) | 1.11 ± 0.15 c | 1.37 ± 0.14 a | 1.30 ± 0.13 ab | 1.26 ± 0.12 ab | 1.19 ± 0.17 bc |
| MFLC | MFL10 | MFL20 | MFL30 | MFL40 | |
|---|---|---|---|---|---|
| Malic acid (g/100 g) | 7.80 ± 0.27 a | 4.84 ± 0.19 b | 3.36 ± 0.11 c | 2.32 ± 0.08 d | 1.72 ± 0.06 e |
| Tartaric acid (g/100 g) | 1.26 ± 0.05 a | 0.75 ± 0.03 b | 0.50 ± 0.02 c | 0.30 ± 0.01 d | 0.22 ± 0.01 e |
| Citric acid (g/100 g) | 1.38 ± 0.05 a | 0.88 ± 0.03 b | 0.64 ± 0.03 c | 0.46 ± 0.02 d | 0.37 ± 0.01 e |
| Oxalic acid (g/100 g) | 2.58 ± 0.08 a | 1.89 ± 0.06 b | 1.30 ± 0.04 c | 0.99 ± 0.04 d | 0.81 ± 0.03 e |
| Ascorbic acid (mg/100 g) | 26.06 ± 0.81 a | 16.55 ± 0.63 b | 10.37 ± 0.55 c | 6.79 ± 0.33 d | 3.95 ± 0.42 e |
| MFL10 | MFL10BC1 | MFL10BC2 | MFL10BB1 | MFL10BB2 | |
|---|---|---|---|---|---|
| Malic acid (g/100 g) | 4.84 ± 0.14 a | 4.88 ± 0.12 a | 4.82 ± 0.09 a | 4.90 ± 0.15 a | 4.74 ± 0.14 a |
| Tartaric acid (g/100 g) | 0.75 ± 0.03 a | 0.73 ± 0.03 a | 0.71 ± 0.02 ab | 0.67 ± 0.02 bc | 0.65 ± 0.02 c |
| Citric acid (g/100 g) | 0.88 ± 0.04 c | 1.03 ± 0.05 ab | 1.10 ± 0.04 a | 0.85 ± 0.03 c | 0.98 ± 0.04 b |
| Oxalic acid (g/100 g) | 1.89 ± 0.06 a | 1.68 ± 0.05 b | 1.63 ± 0.07 b | 1.66 ± 0.04 b | 1.65 ± 0.05 b |
| Ascorbic acid (mg/100 g) | 16.55 ± 0.72 a | 17.90 ± 0.66 a | 19.71 ± 0.65 a | 19.88 ± 0.44 a | 22.78 ± 0.65 a |
| MFLC | MFL10 | MFL20 | MFL30 | MFL40 | |
|---|---|---|---|---|---|
| Vanillic acid | 0.27 ± 0.02 a | 0.13 ± 0.01 b | 0.08 ± 0.01 c | 0.05 ± 0.01 d | 0.02 ± 0.01 e |
| Rutin | 0.26 ± 0.02 a | 0.24 ± 0.01 a | 0.18 ± 0.01 b | 0.13 ± 0.01 c | 0.09 ± 0.01 d |
| Quercetin | 0.17 ± 0.01 a | 0.15 ± 0.01 b | 0.11 ± 0.01 c | 0.09 ± 0.01 d | 0.04 ± 0.01 e |
| Gallic acid | 0.13 ± 0.01 a | 0.09 ± 0.01 b | 0.05 ± 0.01 c | 0.03 ± 0.00 d | 0.02 ± 0.01 d |
| Catechin hydrate | 1.15 ± 0.05 a | 0.87 ± 0.04 b | 0.66 ± 0.04 c | 0.45 ± 0.01 d | 0.17 ± 0.01 e |
| Syringic acid | 0.37 ± 0.13 a | 0.19 ± 0.01 b | 0.16 ± 0.02 bc | 0.08 ± 0.01 cd | 0.03 ± 0.01 d |
| Epicatechin | 5.37 ± 0.21 a | 3.96 ± 0.16 b | 3.26 ± 0.12 c | 1.78 ± 0.07 d | 0.87 ± 0.06 e |
| Trans-cinnamic acid | 0.06 ± 0.01 a | 0.05 ± 0.01 a | 0.03 ± 0.00 b | 0.02 ± 0.01 b | nd |
| Chlorogenic acid | 0.47 ± 0.02 a | 0.36 ± 0.02 b | 0.23 ± 0.01 c | 0.18 ± 0.01 d | 0.12 ± 0.01 e |
| Caffeic acid | 0.06 ± 0.01 a | 0.06 ± 0.01 a | 0.04 ± 0.01 b | nd | nd |
| p-Coumaric acid | 0.21 ± 0.01 a | 0.17 ± 0.01 b | 0.15 ± 0.01 bc | 0.12 ± 0.01 cd | 0.09 ± 0.04 d |
| Ferulic acid | 0.11 ± 0.01 a | 0.09 ± 0.00 b | 0.07 ± 0.01 c | 0.05 ± 0.01 d | nd |
| MFL10 | MFL10BC1 | MFL10BC2 | MFL10BB1 | MFL10BB2 | |
|---|---|---|---|---|---|
| Vanillic acid | 0.13 ± 0.01 e | 0.27 ± 0.02 d | 0.36 ± 0.02 c | 0.43 ± 0.02 b | 0.76 ± 0.03 a |
| Rutin | 0.24 ± 0.01 e | 0.29 ± 0.02 d | 0.44 ± 0.02 c | 0.53 ± 0.03 b | 0.94 ± 0.03 a |
| Quercetin | 0.15 ± 0.01 e | 0.64 ± 0.03 b | 1.06 ± 0.05 a | 0.28 ± 0.02 d | 0.55 ± 0.03 c |
| Gallic acid | 0.09 ± 0.01 d | 0.12 ± 0.01 d | 0.23 ± 0.02 c | 0.31 ± 0.02 b | 0.75 ± 0.04 a |
| Catechin hydrate | 0.87 ± 0.04 ab | 0.85 ± 0.03 b | 0.93 ± 0.05 a | 0.83 ± 0.04 b | 0.93 ± 0.04 a |
| Syringic acid | 0.19 ± 0.01 e | 1.53 ± 0.08 c | 2.65 ± 0.11 a | 1.13 ± 0.05 d | 2.29 ± 0.09 b |
| Epicatechin | 3.96 ± 0.16 a | 3.23 ± 0.14 b | 3.25 ± 0.12 b | 3.58 ± 0.15 a | 3.72 ± 0.16 a |
| Trans-cinnamic acid | 0.05 ± 0.01 c | 0.30 ± 0.02 b | 0.55 ± 0.03 a | 0.05 ± 0.01 c | 0.07 ± 0.01 c |
| Chlorogenic acid | 0.36 ± 0.02 d | 0.47 ± 0.02 c | 0.68 ± 0.03 b | 0.39 ± 0.02 d | 0.83 ± 0.04 a |
| Caffeic acid | 0.06 ± 0.02 c | 0.04 ± 0.01 c | 0.06 ± 0.00 c | 0.24 ± 0.01 b | 0.42 ± 0.03 a |
| p-Coumaric acid | 0.17 ± 0.01 c | 0.14 ± 0.01 d | 0.19 ± 0.01 c | 0.22 ± 0.02 b | 0.32 ± 0.02 a |
| Ferulic acid | 0.09 ± 0.01 d | 0.26 ± 0.02 b | 0.42 ± 0.03 a | 0.16 ± 0.01 c | 0.40 ± 0.02 a |
| Rutin | Quercetin | Gallic Acid | Catechin Hydrate | Syringic Acid | Epicatechin | Trans-Cinnamic Acid | Chlorogenic Acid | Caffeic Acid | Coumaric Acid | Ferulic Acid | Malic Acid | Tartaric Acid | Citric Acid | Oxalic Acid | Ascorbic Acid | TPC | RSA | |
|---|---|---|---|---|---|---|---|---|---|---|---|---|---|---|---|---|---|---|
| Vanillic acid | 0.98 ** | 0.55 | 0.96 ** | 0.59 | 0.79 * | 0.48 | 0.23 | 0.90 ** | 0.90 ** | 0.93 ** | 0.80 ** | 0.47 | 0.37 | 0.55 | 0.32 | 0.44 | 0.95 ** | 0.94 ** |
| Rutin | 1 | 0.51 | 0.98 ** | 0.51 | 0.76 * | 0.39 | 0.17 | 0.86 ** | 0.94 ** | 0.92 ** | 0.77 * | 0.34 | 0.24 | 0.42 | 0.21 | 0.31 | 0.97 ** | 0.96 ** |
| Quercetin | 1 | 0.43 | 0.46 | 0.93 ** | 0.21 | 0.93 ** | 0.77 * | 0.22 | 0.36 | 0.93 ** | 0.29 | 0.24 | 0.52 | 0.13 | 0.36 | 0.36 | 0.30 | |
| Gallic acid | 1 | 0.43 | 0.70 * | 0.33 | 0.07 | 0.82 ** | 0.96 ** | 0.91 ** | 0.72 * | 0.28 | 0.19 | 0.35 | 0.16 | 0.24 | 0.97 ** | 0.97 ** | ||
| Catechin hydrate | 1 | 0.49 | 0.95 ** | 0.32 | 0.73 * | 0.34 | 0.70 * | 0.52 | 0.94 ** | 0.91 ** | 0.95 ** | 0.88 ** | 0.95 ** | 0.55 | 0.41 | |||
| Syringic acid | 1 | 0.25 | 0.75 * | 0.89 ** | 0.54 | 0.61 | 0.98 ** | 0.30 | 0.22 | 0.51 | 0.13 | 0.34 | 0.64 | 0.60 | ||||
| Epicatechin | 1 | 0.10 | 0.56 | 0.29 | 0.66 * | 0.29 | 0.95 ** | 0.94 ** | 0.89 ** | 0.93 ** | 0.94 ** | 0.48 | 0.35 | |||||
| Trans-cinnamic acid | 1 | 0.52 | 0.01 | 0.05 | 0.73 * | 0.21 | 0.19 | 0.44 | 0.09 | 0.31 | 0.02 | −0.05 | ||||||
| Chlorogenic acid | 1 | 0.67 * | 0.84 ** | 0.92 ** | 0.57 | 0.51 | 0.72 * | 0.45 | 0.59 | 0.81 ** | 0.73 * | |||||||
| Caffeic acid | 1 | 0.88 ** | 0.54 | 0.21 | 0.12 | 0.23 | 0.12 | 0.16 | 0.96 ** | 0.99 ** | ||||||||
| Coumaric acid | 1 | 0.64 * | 0.59 | 0.52 | 0.61 | 0.51 | 0.55 | 0.95 ** | 0.91 ** | |||||||||
| Ferulic acid | 1 | 0.32 | 0.26 | 0.54 | 0.16 | 0.37 | 0.66 | 0.61 | ||||||||||
| Malic acid | 1 | 0.99 ** | 0.96 ** | 0.97 ** | 0.99 ** | 0.44 | 0.29 | |||||||||||
| Tartaric acid | 1 | 0.94 ** | 0.98 ** | 0.98 ** | 0.35 | 0.19 | ||||||||||||
| Citric acid | 1 | 0.90 ** | 0.97 ** | 0.47 | 0.31 | |||||||||||||
| Oxalic acid | 1 | 0.96 ** | 0.33 | 0.17 | ||||||||||||||
| Ascorbic acid | 1 | 0.39 | 0.23 | |||||||||||||||
| TPC | 1 | 0.98 ** | ||||||||||||||||
| RSA | 1 |
Disclaimer/Publisher’s Note: The statements, opinions and data contained in all publications are solely those of the individual author(s) and contributor(s) and not of MDPI and/or the editor(s). MDPI and/or the editor(s) disclaim responsibility for any injury to people or property resulting from any ideas, methods, instructions or products referred to in the content. |
© 2025 by the authors. Licensee MDPI, Basel, Switzerland. This article is an open access article distributed under the terms and conditions of the Creative Commons Attribution (CC BY) license (https://creativecommons.org/licenses/by/4.0/).
Share and Cite
Săpoi, C.P.; Corbu, A.R.; Ceclu, L.; Nour, V. Physicochemical, Phytochemical and Sensory Properties of Myrobalan (Prunus cerasifera L.) Fruit Leather: Effects of Sugar Concentration and Enrichment with Blackcurrant and Bilberry Pomace Powders. Foods 2025, 14, 3457. https://doi.org/10.3390/foods14203457
Săpoi CP, Corbu AR, Ceclu L, Nour V. Physicochemical, Phytochemical and Sensory Properties of Myrobalan (Prunus cerasifera L.) Fruit Leather: Effects of Sugar Concentration and Enrichment with Blackcurrant and Bilberry Pomace Powders. Foods. 2025; 14(20):3457. https://doi.org/10.3390/foods14203457
Chicago/Turabian StyleSăpoi (Gheorghe), Cristina Paula, Alexandru Radu Corbu, Liliana Ceclu, and Violeta Nour. 2025. "Physicochemical, Phytochemical and Sensory Properties of Myrobalan (Prunus cerasifera L.) Fruit Leather: Effects of Sugar Concentration and Enrichment with Blackcurrant and Bilberry Pomace Powders" Foods 14, no. 20: 3457. https://doi.org/10.3390/foods14203457
APA StyleSăpoi, C. P., Corbu, A. R., Ceclu, L., & Nour, V. (2025). Physicochemical, Phytochemical and Sensory Properties of Myrobalan (Prunus cerasifera L.) Fruit Leather: Effects of Sugar Concentration and Enrichment with Blackcurrant and Bilberry Pomace Powders. Foods, 14(20), 3457. https://doi.org/10.3390/foods14203457

