High-Pressure Homogenized Seaweed Cellulose Nanofibrils-Based Emulsion Gel: An Innovative Platform for Fucoxanthin Encapsulation and Stability Improvement
Abstract
1. Introduction
2. Materials and Methods
2.1. Materials
2.2. Brown Seaweed Cellulose Extraction
2.3. Preparation of CNFs
2.4. Determination of Particle Size of CNFs
2.5. Fourier Transform Infrared Spectroscopy (FTIR) Analysis of CNFs
2.6. Crystal Structure Analysis
2.7. Effect of the CNFs Concentration on the Stability of Emulsion Gels
2.8. Effect of the Homogenized Time on the Stability of the Emulsion Gel
2.9. Effect of the Oil-Phase Volume Fraction on the Stability of the Emulsion Gel
2.10. Orthogonal Experiment
2.11. Preparation of CNFs-Stabilized Fucoxanthin Emulsion
2.12. Storage Stability of Emulsions
2.13. Determining the Interfacial Adsorption Capacity of CNFs
2.14. Determination of Fucoxanthin Release Rate in the Emulsion Gel
2.15. Formulating Fucoxanthin Emulsions at Different pH Levels
2.16. Influence of Salinity on the Liberation Kinetics of Fucoxanthin
2.17. Effect of Temperature on the Release Rate of Fucoxanthin
2.18. DPPH Free Radical Scavenging Activity of Fucoxanthin Within the Emulsion Gel System
2.19. Ferric Ion Reducing Capacity (FIRC) of the Fucoxanthin in Emulsion Gel
2.20. Statistical Analysis
3. Results and Discussion
3.1. Characterization of CNFs
3.1.1. Effect of Homogenization Cycles on Particle Size of Cellulose Nanofibers
3.1.2. Effect of Homogenization Times on the Chemical Structure of the CNFs
3.1.3. Effect of Homogenization Cycles on Crystalline Structure of Brown Seaweed Cellulose
3.1.4. Contact Angle of Cellulose Nanofibers as a Function of Homogenization Pressure
3.2. Optimization of Emulsion Gel Formulation with the CNFs
3.2.1. Effect of the CNF Concentrations on Emulsion Gel Stability
3.2.2. Effect of Oil-Phase Volume Fraction on Emulsion Stability
3.2.3. Effect of Homogenization Time on Emulsion Gel Stability
3.2.4. Optimal Emulsion Gel Formulation
3.3. Storage Stability of Fucoxanthin Emulsion Gels
3.4. Interfacial Adsorption Capacity of Cellulose Nanofibrils Within the Fucoxanthin-Loaded Emulsion Gel System
3.5. Effect of Environmental Factors on Fucoxanthin Release Rate
3.5.1. Effect of pH Value on Release Rate of the Fucoxanthin
3.5.2. Effect of Salinity on Release Rate of the Fucoxanthin
3.5.3. Effect of Temperature on Release Rate of the Fucoxanthin
3.6. Evaluating the Antioxidant Activity of Fucoxanthin Within the Emulsion Gel System
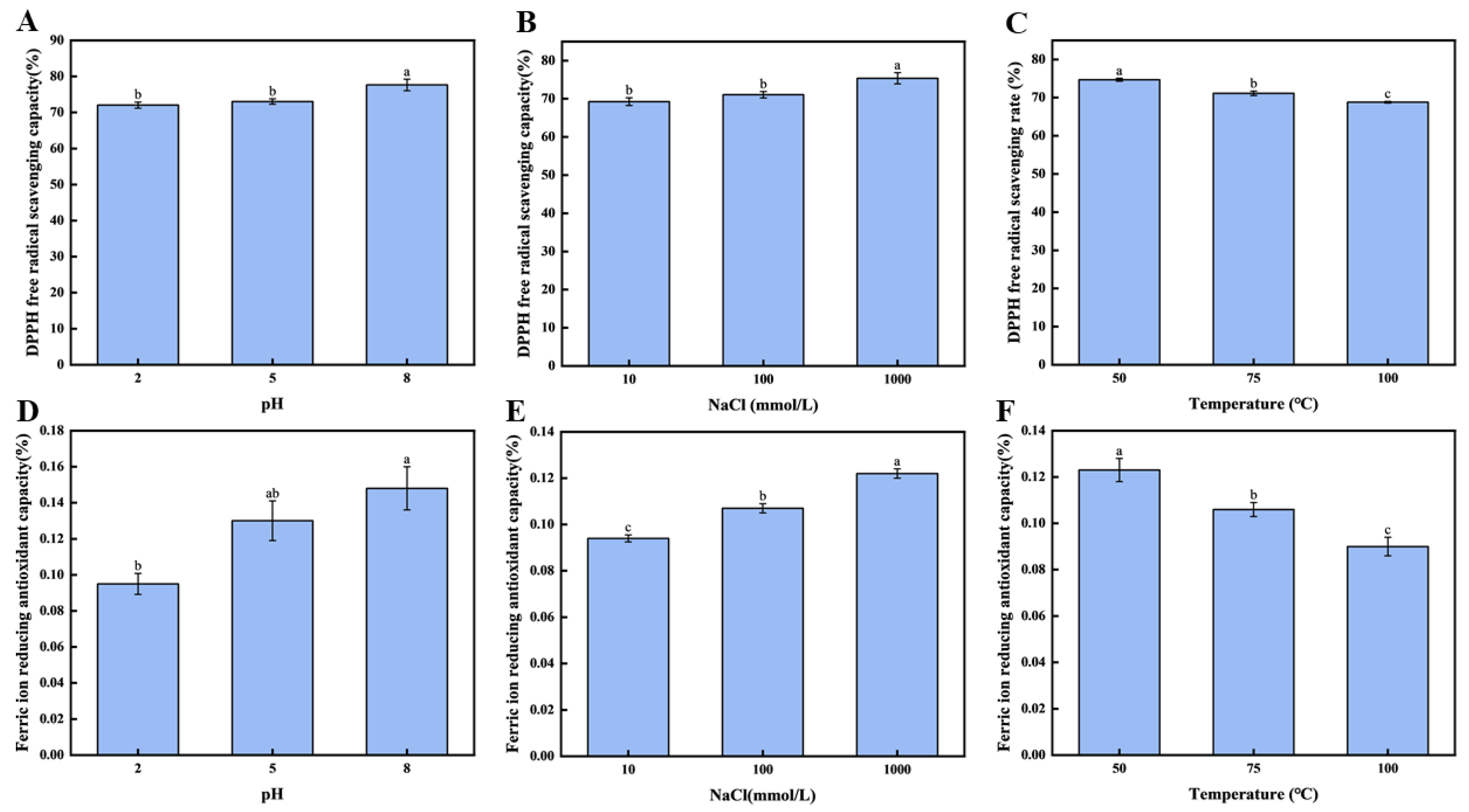
3.6.1. The DPPH Free Radical Scavenging Activity of the Fucoxanthin in Emulsion Gels
3.6.2. The FIRC of the Fucoxanthin in Emulsion Gels
4. Conclusions
Author Contributions
Funding
Institutional Review Board Statement
Informed Consent Statement
Data Availability Statement
Conflicts of Interest
References
- Din, N.A.S.; Mohd Alayudin, A.S.; Sofian-Seng, N.-S.; Rahman, H.A.; Mohd Razali, N.S.; Lim, S.J.; Wan Mustapha, W.A. Brown Algae as Functional Food Source of Fucoxanthin: A Review. Foods 2022, 11, 2235. [Google Scholar] [CrossRef] [PubMed]
- Anjana, K.; Arunkumar, K. Brown Algae Biomass for Fucoxanthin, Fucoidan and Alginate; Update Review on Structure, Biosynthesis, Biological Activities and Extraction Valorisation. Int. J. Biol. Macromol. 2024, 280, 135632. [Google Scholar] [CrossRef] [PubMed]
- Lourenço-Lopes, C.; Fraga-Corral, M.; Jimenez-Lopez, C.; Carpena, M.; Pereira, A.G.; Garcia-Oliveira, P.; Prieto, M.A.; Simal-Gandara, J. Biological Action Mechanisms of Fucoxanthin Extracted from Algae for Application in Food and Cosmetic Industries. Trends Food Sci. Technol. 2021, 117, 163–181. [Google Scholar] [CrossRef]
- Li, J.; Li, Y.; Su, W.; Zhang, X.; Liang, D.; Tan, M. In Vivo Anti-Obesity Efficacy of Fucoxanthin/HP-β-CD Nanofibers in High-Fat Diet Induced Obese Mice. Food Chem. 2023, 429, 136790. [Google Scholar] [CrossRef]
- Koshak, M.F.; El-Readi, M.Z.; Elzubier, M.E.; Refaat, B.; Almaimani, R.A.; Idris, S.; Althubiti, M.; Al-Amodi, H.S.; Eid, S.Y. Antioxidative and Anti-Inflammatory Protective Effects of Fucoxanthin against Paracetamol-Induced Hepatotoxicity in Rats. Mar. Drugs 2023, 21, 592. [Google Scholar] [CrossRef]
- Méresse, S.; Fodil, M.; Fleury, F.; Chénais, B. Fucoxanthin, a Marine-Derived Carotenoid from Brown Seaweeds and Microalgae: A Promising Bioactive Compound for Cancer Therapy. Int. J. Mol. Sci. 2020, 21, 9273. [Google Scholar] [CrossRef]
- Gomez-Zavaglia, A.; Barros, L.; Prieto, M.A.; Cassani, L. Recent Progress in Understanding the Impact of Food Processing and Storage on the Structure–Activity Relationship of Fucoxanthin. Foods 2023, 12, 3167. [Google Scholar] [CrossRef]
- Yuan, Y.; Ma, M.; Zhang, S. Recent Advances in Delivery Systems of Fucoxanthin. Food Chem. 2023, 404, 134685. [Google Scholar] [CrossRef]
- Boostani, S.; Sarabandi, K.; Tarhan, O.; Rezaei, A.; Assadpour, E.; Rostamabadi, H.; Falsafi, S.R.; Tan, C.; Zhang, F.; Jafari, S.M. Multiple Pickering Emulsions Stabilized by Food-Grade Particles as Innovative Delivery Systems for Bioactive Compounds. Adv. Colloid Interface Sci. 2024, 328, 103174. [Google Scholar] [CrossRef]
- Klojdová, I.; Stathopoulos, C. The Potential Application of Pickering Multiple Emulsions in Food. Foods 2022, 11, 1558. [Google Scholar] [CrossRef]
- De Carvalho-Guimarães, F.B.; Correa, K.L.; De Souza, T.P.; Rodríguez Amado, J.R.; Ribeiro-Costa, R.M.; Silva-Júnior, J.O.C. A Review of Pickering Emulsions: Perspectives and Applications. Pharmaceuticals 2022, 15, 1413. [Google Scholar] [CrossRef] [PubMed]
- Nsairat, H.; Lafi, Z.; Al-Sulaibi, M.; Gharaibeh, L.; Alshaer, W. Impact of Nanotechnology on the Oral Delivery of Phyto-Bioactive Compounds. Food Chem. 2023, 424, 136438. [Google Scholar] [CrossRef] [PubMed]
- Maji, I.; Mahajan, S.; Sriram, A.; Medtiya, P.; Vasave, R.; Khatri, D.K.; Kumar, R.; Singh, S.B.; Madan, J.; Singh, P.K. Solid Self Emulsifying Drug Delivery System: Superior Mode for Oral Delivery of Hydrophobic Cargos. J. Control. Release 2021, 337, 646–660. [Google Scholar] [CrossRef]
- Yu, W.; Luo, L.; Yi, Y.; Xing, C.; Yang, Y.; Tang, Z.; Guo, X.; Tan, Z.; Tam, K.C. Active Food Packaging Composite Films from Bast Fibers-Derived Cellulose Nanofibrils. ACS Sustain. Chem. Eng. 2024, 12, 9511–9521. [Google Scholar] [CrossRef]
- Han, Y.; Chen, R.; Ma, Z.; Wang, Q.; Wang, X.; Li, Y.; Sun, G. Stabilization of Pickering Emulsions via Synergistic Interfacial Interactions between Cellulose Nanofibrils and Nanocrystals. Food Chem. 2022, 395, 133603. [Google Scholar] [CrossRef]
- Baghel, R.S.; Reddy, C.R.K.; Singh, R.P. Seaweed-Based Cellulose: Applications, and Future Perspectives. Carbohydr. Polym. 2021, 267, 118241. [Google Scholar] [CrossRef]
- Guan, Y.; Wu, J.; Zhong, Q. Eugenol Improves Physical and Chemical Stabilities of Nanoemulsions Loaded with β-Carotene. Food Chem. 2016, 194, 787–796. [Google Scholar] [CrossRef]
- Najahi, A.; Delgado-Aguilar, M.; Putaux, J.-L.; Boufi, S. High-Yield Cellulose Nanocrystals from Bleached Eucalyptus Fibers via Maleic Acid Hydrothermal Treatment and High Pressure Homogenization. Biomacromolecules 2025, 26, 1372–1385. [Google Scholar] [CrossRef]
- Ng, S.-W.; Chong, W.-T.; Soo, Y.-T.; Tang, T.-K.; Ab Karim, N.A.; Phuah, E.-T.; Lee, Y.-Y. Pickering Emulsion Stabilized by Palm-Pressed Fiber Cellulose Nanocrystal Extracted by Acid Hydrolysis-Assisted High Pressure Homogenization. PLoS ONE 2022, 17, e0271512. [Google Scholar] [CrossRef]
- Gan, M.; Cao, A.; Cai, L.; Xiang, X.; Li, J.; Luan, Q. Preparation of Cellulose-Based Nanoparticles via Electrostatic Self-Assembly for the pH-Responsive Delivery of Astaxanthin. Food Chem. 2025, 463, 141324. [Google Scholar] [CrossRef]
- Lourenço-Lopes, C.; Garcia-Oliveira, P.; Carpena, M.; Fraga-Corral, M.; Jimenez-Lopez, C.; Pereira, A.G.; Prieto, M.A.; Simal-Gandara, J. Scientific Approaches on Extraction, Purification and Stability for the Commercialization of Fucoxanthin Recovered from Brown Algae. Foods 2020, 9, 1113. [Google Scholar] [CrossRef]
- Samsalee, N.; Meerasri, J.; Sothornvit, R. Rice Husk Nanocellulose: Extraction by High Pressure Homogenization, Chemical Treatments and Characterization. Carbohydr. Polym. Technol. Appl. 2023, 6, 100353. [Google Scholar] [CrossRef]
- Wang, L.; Li, K.; Copenhaver, K.; Mackay, S.; Lamm, M.E.; Zhao, X.; Dixon, B.; Wang, J.; Han, Y.; Neivandt, D.; et al. Review on Nonconventional Fibrillation Methods of Producing Cellulose Nanofibrils and Their Applications. Biomacromolecules 2021, 22, 4037–4059. [Google Scholar] [CrossRef] [PubMed]
- Pirozzi, A.; Ferrari, G.; Donsì, F. Cellulose Isolation from Tomato Pomace Pretreated by High Pressure Homogenization. Foods 2022, 11, 266. [Google Scholar] [CrossRef]
- You, L.; Marcolini, B.; Bour, J.; Grysan, P.; Fleming, Y.; Fischer, P.; Soukoulis, C. Physicochemical, Morphological, and Rheological Properties of Cellulose Nanofibrils Produced via Ultra-High Pressure Homogenization. Carbohydr. Polym. Technol. Appl. 2025, 9, 100635. [Google Scholar] [CrossRef]
- Kalla-Bertholdt, A.-M.; Baier, A.K.; Rauh, C. Potential of Modification of Techno-Functional Properties and Structural Characteristics of Citrus, Apple, Oat, and Pea Dietary Fiber by High-Intensity Ultrasound. Foods 2023, 12, 3663. [Google Scholar] [CrossRef]
- Albornoz-Palma, G.; Ching, D.; Andrade, A.; Henríquez-Gallegos, S.; Teixeira Mendonça, R.; Pereira, M. Relationships between Size Distribution, Morphological Characteristics, and Viscosity of Cellulose Nanofibril Dispersions. Polymers 2022, 14, 3843. [Google Scholar] [CrossRef]
- Zeng, J.; Zeng, Z.; Cheng, Z.; Wang, Y.; Wang, X.; Wang, B.; Gao, W. Cellulose nanofibrils manufactured by various methods with application as paper strength additives. Sci. Rep. 2021, 11, 11918. [Google Scholar] [CrossRef]
- Chen, W.; Yu, H.; Liu, Y.; Jiang, N.; Chen, P. A Method for Isolatingcellulose Nanofibrils from Wood and Their Morphological Characteristics. Acta Polym. Sin. 2010, 11, 1320–1326. [Google Scholar] [CrossRef]
- Fang, L.; Chang, G.; Xiang, J.; Lv, M.; Wei, X. Effects of high pressure homogenization technology on properties of pineapple leaf fiber membrane structure. J. South. Agric. 2017, 48, 2234–2239. [Google Scholar]
- Wang, F.; Nestler, B. Wetting and Contact-Angle Hysteresis: Density Asymmetry and van Der Waals Force. Phys. Rev. Lett. 2024, 132, 126202. [Google Scholar] [CrossRef] [PubMed]
- Shi, R.; Shang, L.; Zhou, C.; Zhao, Y.; Zhang, T. Interfacial Wettability and Mass Transfer Characterizations for Gas–Liquid–Solid Triple-phase Catalysis. Exploration 2022, 2, 20210046. [Google Scholar] [CrossRef] [PubMed]
- Li, C.; Zhang, J.; Han, J.; Yao, B. A Numerical Solution to the Effects of Surface Roughness on Water–Coal Contact Angle. Sci. Rep. 2021, 11, 459. [Google Scholar] [CrossRef]
- Hong, X.; Zhao, Q.; Liu, Y.; Li, J. Recent Advances on Food-Grade Water-in-Oil Emulsions: Instability Mechanism, Fabrication, Characterization, Application, and Research Trends. Crit. Rev. Food Sci. Nutr. 2023, 63, 1406–1436. [Google Scholar] [CrossRef]
- Etale, A.; Onyianta, A.J.; Turner, S.R.; Eichhorn, S.J. Cellulose: A Review of Water Interactions, Applications in Composites, and Water Treatment. Chem. Rev. 2023, 123, 2016–2048. [Google Scholar] [CrossRef]
- Hu, Z.; Ballinger, S.; Pelton, R.; Cranston, E.D. Surfactant-Enhanced Cellulose Nanocrystal Pickering Emulsions. J. Colloid Interface Sci. 2015, 439, 139–148. [Google Scholar] [CrossRef]
- Pan, Y.; Xu, Y.; Zhu, L.; Liu, X.; Zhao, G.; Wang, S.; Yang, L.; Ma, T.; Liu, H. Stability and Rheological Properties of Water-in-Oil (W/O) Emulsions Prepared with a Soyasaponin-PGPR System. Future Foods 2021, 4, 100096. [Google Scholar] [CrossRef]
- Sun, F.; Ba, G.; Dong, C.; Fan, Z.; Zhang, H.; Shen, L.; Jiang, L.; Wang, Z.; Guo, Z. Regulation of Protein Flexibility and Promoting the Formation of High Internal Phase Emulsions in Peanut Protein Isolate Using Dual Succinylation and Ultrasonication Modifications. Food Chem. X 2025, 29, 102727. [Google Scholar] [CrossRef]
- Grumbach, C.; Krüger, V.; Czermak, P. A New Control Strategy for High Pressure Homogenization to Improve the Safety of Injectable Lipid Emulsions. Pharmaceutics 2022, 14, 1603. [Google Scholar] [CrossRef]
- Zhang, M.; Fan, L.; Liu, Y.; Li, J. Effects of Interface Generation, Droplet Size and Antioxidant Partitioning on the Oxidation Rate and Oxidative Stability of Water–in–Oil Emulsions: A Comparison of Coarse Emulsions and Nanoemulsions. Food Hydrocoll. 2023, 136, 108227. [Google Scholar] [CrossRef]
- Feng, X.; Tan, X.; Li, L.; Liu, C.; Teng, F.; Li, Y. Utilizing Carboxymethyl Cellulose to Assist Soy Protein Isolate in the Formation of Emulsion to Deliver β-Carotene: Exploring the Correlation between Interfacial Behavior and Emulsion Stability. Int. J. Biol. Macromol. 2025, 303, 140650. [Google Scholar] [CrossRef]
- Zhang, Z.; Wei, Z.; Xue, C. Delivery Systems for Fucoxanthin: Research Progress, Applications and Future Prospects. Crit. Rev. Food Sci. Nutr. 2024, 64, 4643–4659. [Google Scholar] [CrossRef]
- Rodriguez-Loya, J.; Lerma, M.; Gardea-Torresdey, J.L. Dynamic Light Scattering and Its Application to Control Nanoparticle Aggregation in Colloidal Systems: A Review. Micromachines 2023, 15, 24. [Google Scholar] [CrossRef] [PubMed]
- Dhamodharan, P.; Bakthavatsalam, A.K. Experimental Investigation on Thermophysical Properties of Coconut Oil and Lauryl Alcohol for Energy Recovery from Cold Condensate. J. Energy Storage 2020, 31, 101639. [Google Scholar] [CrossRef]
- Bhat, I.; Jose, N.M.; Mamatha, B.S. Oxidative Stability of Lutein on Exposure to Varied Extrinsic Factors. J. Food Sci. Technol. 2023, 60, 987–995. [Google Scholar] [CrossRef]





| Level | Mass Fraction of CNFs (mg/mL) | Homogenization Time(s) | Oil-Phase Volume Fraction (%) |
|---|---|---|---|
| 1 | 12.5 | 45 | 47.5 |
| 2 | 15 | 60 | 50 |
| 3 | 17.5 | 75 | 52.5 |
| Homogenization Cycles | BC | C5 | C10 | C15 |
|---|---|---|---|---|
| PDI | 0.64 ± 0.01 a | 0.63 ± 0.03 a | 0.62 ± 0.02 a | 0.57 ± 0.02 b |
| CrI/% | 60.21 ± 4.32 a | 53.22 ± 0.67 b | 52.93 ± 2.93 b | 52.91 ± 2.13 b |
| Homogenization cycles | BC | C5 | C10 | C15 |
| Interfacial contact angle (°) | 44.3 ± 8.5 a | 44.5 ± 2.5 a | 48.0 ± 1.8 a | 45.7 ± 4.4 a |
| Experiment Number | A Oil-Phase Volume Fraction (%) | B Mass Fraction of CNFs (%) | C Homogenization Time(s) | D Creaming Index (%) |
|---|---|---|---|---|
| 1 | 1 | 1 | 1 | 0.56 |
| 2 | 1 | 2 | 2 | 0.61 |
| 3 | 1 | 3 | 3 | 0.63 |
| 4 | 2 | 1 | 3 | 0.66 |
| 5 | 2 | 2 | 1 | 0.70 |
| 6 | 2 | 3 | 2 | 0.68 |
| 7 | 3 | 1 | 2 | 0.65 |
| 8 | 3 | 2 | 3 | 0.64 |
| 9 | 3 | 3 | 1 | 0.68 |
| K1 | 1.80 | 1.87 | 1.94 | |
| K2 | 2.04 | 1.95 | 1.94 | |
| K3 | 1.97 | 1.99 | 1.93 | |
| k1 | 0.60 | 0.62 | 0.65 | |
| k2 | 0.68 | 0.65 | 0.65 | |
| k3 | 0.66 | 0.66 | 0.64 | |
| R | 0.08 | 0.04 | 0.01 | |
| Optimal Level | A2 | B3 | C1 |
Disclaimer/Publisher’s Note: The statements, opinions and data contained in all publications are solely those of the individual author(s) and contributor(s) and not of MDPI and/or the editor(s). MDPI and/or the editor(s) disclaim responsibility for any injury to people or property resulting from any ideas, methods, instructions or products referred to in the content. |
© 2025 by the authors. Licensee MDPI, Basel, Switzerland. This article is an open access article distributed under the terms and conditions of the Creative Commons Attribution (CC BY) license (https://creativecommons.org/licenses/by/4.0/).
Share and Cite
Wang, M.; Tuo, Y.; Li, Y.; Xiao, Q.; Liu, Y.; Wu, L.; Zhou, H.; Cai, Y.; Zhang, Y.; Li, X. High-Pressure Homogenized Seaweed Cellulose Nanofibrils-Based Emulsion Gel: An Innovative Platform for Fucoxanthin Encapsulation and Stability Improvement. Foods 2025, 14, 3338. https://doi.org/10.3390/foods14193338
Wang M, Tuo Y, Li Y, Xiao Q, Liu Y, Wu L, Zhou H, Cai Y, Zhang Y, Li X. High-Pressure Homogenized Seaweed Cellulose Nanofibrils-Based Emulsion Gel: An Innovative Platform for Fucoxanthin Encapsulation and Stability Improvement. Foods. 2025; 14(19):3338. https://doi.org/10.3390/foods14193338
Chicago/Turabian StyleWang, Mingrui, Ying Tuo, Yixiao Li, Qianhui Xiao, Yue Liu, Long Wu, Hui Zhou, Yidi Cai, Yuqing Zhang, and Xiang Li. 2025. "High-Pressure Homogenized Seaweed Cellulose Nanofibrils-Based Emulsion Gel: An Innovative Platform for Fucoxanthin Encapsulation and Stability Improvement" Foods 14, no. 19: 3338. https://doi.org/10.3390/foods14193338
APA StyleWang, M., Tuo, Y., Li, Y., Xiao, Q., Liu, Y., Wu, L., Zhou, H., Cai, Y., Zhang, Y., & Li, X. (2025). High-Pressure Homogenized Seaweed Cellulose Nanofibrils-Based Emulsion Gel: An Innovative Platform for Fucoxanthin Encapsulation and Stability Improvement. Foods, 14(19), 3338. https://doi.org/10.3390/foods14193338

