Evaluation of Storage Stability of Date Fruit (Phoenix dactylifera L.) at Two Levels of Relative Humidity Based on Selected Functional Compounds and Image Features
Abstract
1. Introduction
2. Materials and Methods
2.1. Plant Material
2.2. Prior Drying Experiments
2.3. Cold Storage
2.4. Sugar Analysis
2.5. Phenolic Compounds
2.6. Color, Hardness, and Weight Loss
2.7. Image Analysis
2.8. Statistical Analysis and Correlation Analysis
3. Results
3.1. Physicochemical Properties of Dried Date Fruit Before Storage
3.2. Sugar Profile Under Storage
3.3. Polyphenolic Compounds Under Storage
3.4. Physical Attributes
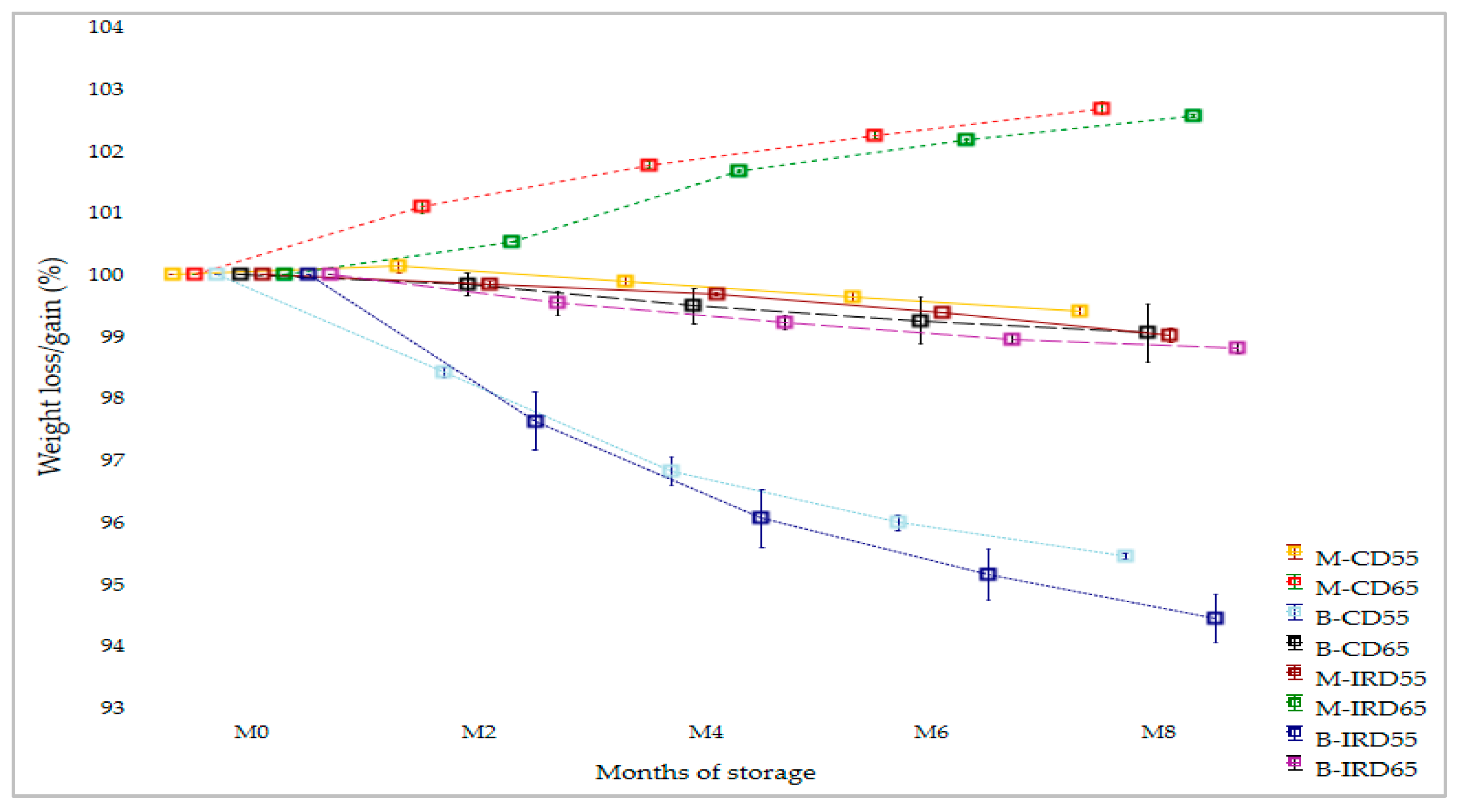
3.4.1. Weight Loss
3.4.2. Color
3.4.3. Hardness
3.5. Relationship Between Some Quality Attributes and Image Features
4. Discussion
5. Conclusions
Author Contributions
Funding

Institutional Review Board Statement
Informed Consent Statement
Data Availability Statement
Acknowledgments
Conflicts of Interest
References
- Kirci, M.; Isaksson, O.; Seifert, R. Managing perishability in the fruit and vegetable supply chains. Sustainability 2022, 14, 5378. [Google Scholar] [CrossRef]
- El Sharabasy, S.F.; Rizk, R.M. Morphological diversity of date palm (Phoenix dactylifera L.) in Egypt soft date palm cultivars. Mansoura Hortic. J. 2005, 16, 482–489. [Google Scholar] [CrossRef]
- Haider, M.S.; Khan, I.A.; Jaskani, M.J.; Naqvi, S.A.; Khan, M.M. Biochemical attributes of dates at three maturation stages. Emir. J. Food Agric. 2014, 26, 953–962. [Google Scholar] [CrossRef]
- Mohamed, S.A.; Awad, M.A.; Al-Qurashi, A.D. Antioxidant activity, antioxidant compounds, antioxidant and hydrolytic enzymes activities of ‘Barhee’ dates at harvest and during storage as affected by pre-harvest spray of some growth regulators. Sci. Hortic. 2014, 167, 91–99. [Google Scholar] [CrossRef]
- Ghazzawy, H.S.; Alqahtani, N.; Munir, M.; Alghanim, N.S.; Mohammed, M. Combined impact of irrigation, potassium fertilizer, and thinning treatments on yield, skin separation, and physicochemical properties of date palm fruits. Plants 2023, 12, 1003. [Google Scholar] [CrossRef] [PubMed]
- Alqahtani, N.K.; Ali, S.A.; Alnemr, T.M. Quality preservation of date palm (Phoenix dactylifera L.) fruits at the Khalal stage: A review on current challenges, preservation methods, and future trends. Front. Sustain. Food Syst. 2025, 9, 1558985. [Google Scholar] [CrossRef]
- Ghafoor, K.; Al-Juhaimi, F.Y.; Babiker, E.E.; Mohamed Ahmed, I.A.; Shahzad, S.A.; Alsawmahi, O.N. Quality attributes of refrigerated Barhi dates coated with edible chitosan containing natural functional ingredients. Foods 2022, 11, 1584. [Google Scholar] [CrossRef]
- Aleid, S.M.; Saikhan, M.S.A.L. Effect of permeable modified atmosphere packaging on quality and shelf life of fresh Khenaizy dates stored at low temperature. J. Food Nutr. Res. 2017, 5, 503–509. [Google Scholar]
- Noutfia, Y.; Ropelewska, E.; Szwejda-Grzybowska, J.; Jóźwiak, Z.; Mieszczakowska-Frąc, M.; Rutkowski, K.P. Impact of Prolonged Frozen Storage on ‘Mejhoul’ Date Palm Cultivar Based on Selected Qualitative Characteristics. Horticulturae 2025, 11, 731. [Google Scholar] [CrossRef]
- Mohammed, M.; Alqahtani, N.K.; Ali, S.A. Development, RSM-based modeling, and process optimization of an ultrasonic coating system for extending the storage life of fresh fruits. Front. Sustain. Food Syst. 2024, 8, 1403164. [Google Scholar] [CrossRef]
- Kader, A.A.; Hussein, A.M. Harvesting and postharvest handling of dates. ICARDA Aleppo Syr. 2009, 4, 15. [Google Scholar]
- Grierson, W.; Wardowski, W.F. Relative humidity effects on the postharvest life of fruits and vegetables1. HortScience 1978, 13, 570–574. [Google Scholar] [CrossRef]
- Noutfia, Y.; Alem, C.; Filali Zegzouti, Y. Assessment of physico-chemical and sensory properties of two date (Phoenix dactylifera L.) cultivars under commercial cold storage conditions. J. Food Process. Preserv. 2019, 43, e14228. [Google Scholar] [CrossRef]
- Cherif, S.; Le Bourvellec, C.; Bureau, S.; Benabda, J. Effect of storage conditions on ‘Deglet Nour’date palm fruit organoleptic and nutritional quality. LWT 2021, 137, 110343. [Google Scholar] [CrossRef]
- El-Nazir, S.M.; Bashab, F.A.A.; Elhasan, M.A.; Elhasan, A.M.; Abdellah, A.G.M. Cold Storage for Preservation and Maintaining Good Fruit Quality of Soft and Semi-Dry Dates. Environ. Nat. Resour. Int. J. (ENRIJ) 2019, 4, 55–60. [Google Scholar]
- Noutfia, Y.; Ropelewska, E.; Szwejda-Grzybowska, J.; Mieszczakowska-Frąc, M.; Siarkowski, S.; Rutkowski, K.P.; Konopacka, D. Effects of mild infrared and convective drying on physicochemical properties, polyphenol compounds, and image features of two date palm cultivars ‘Mejhoul’ and ‘Boufeggous’. LWT 2025, 218, 117502. [Google Scholar] [CrossRef]
- Szczypiński, P.M.; Klepaczko, A.; Kociołek, M. QMaZda—Software tools for image analysis and pattern recognition. In Proceedings of the 2017 Signal Processing: Algorithms, Architectures, Arrangements, and Applications (SPA), Poznan, Poland, 20–22 September 2017; pp. 217–221. [Google Scholar]
- Noutfia, Y.; Ropelewska, E.; Jóźwiak, Z.; Rutkowski, K. Non-Destructive Monitoring of External Quality of Date Palm Fruit (Phoenix dactylifera L.) During Frozen Storage Using Digital Camera and Flatbed Scanner. Sensors 2024, 24, 7560. [Google Scholar] [CrossRef] [PubMed]
- Noutfia, Y.; Harrak, H.; Zegzouti, Y.F. Conservation par réfrigération de la datte Marocaine: État des lieux et évaluation des critères physiques et sensoriels de la qualité. Rev. Marocaine Sci. Agron. Vet. 2018, 6, 483–488. [Google Scholar]
- Beckles, D.M.; Hong, N.; Stamova, L.; Luengwilai, K. Biochemical factors contributing to tomato fruit sugar content: A review. Fruits 2012, 67, 49–64. [Google Scholar] [CrossRef]
- Kumar, D.; Singh, B.P.; Kumar, P. An overview of the factors affecting sugar content of potatoes. Ann. Appl. Biol. 2004, 145, 247–256. [Google Scholar] [CrossRef]
- El-Gioushy, S.F.; El-Masry, A.M.; Fikry, M.; El-Kholy, M.F.; Shaban, A.E.; Sami, R.; Algarni, E.; Alshehry, G.; Aljumayi, H.; Benajiba, N.; et al. Utilization of active edible films (Chitosan, chitosan nanoparticle, and CACL2) for enhancing the quality properties and the shelf life of Date palm fruits (Barhi cultivar) during Cold storage. Coatings 2022, 12, 255. [Google Scholar] [CrossRef]
- Jemni, M.; Ramirez, J.G.; Oton, M.; Artés-Hernandez, F.; Harbaoui, K.; Namsi, A.; Ferchichi, A. Chilling and Freezing Storage for Keeping Overall Quality of “Deglet Nour” Dates. J. Agric. Sci. Technol. 2019, 21, 63–76. [Google Scholar]
- Ismail, B.; Haffar, I.; Baalbaki, R.; Henry, J. Physico-chemical characteristics and sensory quality of two date varieties under commercial and industrial storage conditions. LWT-Food Sci. Technol. 2008, 41, 896–904. [Google Scholar] [CrossRef]
- Cordenunsi, B.R.; Genovese, M.I.; do Nascimento, J.R.O.; Hassimotto, N.M.A.; dos Santos, R.J.; Lajolo, F.M. Effects of temperature on the chemical composition and antioxidant activity of three strawberry cultivars. Food Chem. 2005, 91, 113–121. [Google Scholar] [CrossRef]
- Ahmed, Z.F.; Al Shaibani, F.Y.; Kaur, N.; Maqsood, S.; Schmeda-Hirschmann, G. Improving fruit quality, bioactive compounds, and storage life of date palm (Phoenix dactylifera L., cv. Barhi) using natural elicitors. Horticulturae 2021, 7, 293. [Google Scholar] [CrossRef]
- Biglari, F.; AlKarkhi, A.F.; Easa, A.M. Cluster analysis of antioxidant compounds in dates (Phoenix dactylifera): Effect of long-term cold storage. Food Chem. 2009, 112, 998–1001. [Google Scholar] [CrossRef]
- Al-Najada, A.R.; Mohamed, S.A. Changes of antioxidant capacity and oxidoreductases of Saudi date cultivars (Phoenix dactylifera L.) during storage. Sci. Hortic. 2014, 170, 275–280. [Google Scholar] [CrossRef]
- Samad, M.A.; Hashim, S.H.; Simarani, K.; Yaacob, J.S. Antibacterial properties and effects of fruit chilling and extract storage on antioxidant activity, total phenolic and anthocyanin content of four date palm (Phoenix dactylifera) cultivars. Molecules 2016, 21, 419. [Google Scholar] [CrossRef]
- Renard, C.M.; Baron, A.; Guyot, S.; Drilleau, J.F. Interactions between apple cell walls and native apple polyphenols: Quantification and some consequences. Int. J. Biol. Macromol. 2001, 29, 115–125. [Google Scholar] [CrossRef]
- Hamauzu, Y. Role and evolution of fruit phenolic compounds during ripening and storage. Stewart Postharvest Rev. 2006, 2, 1–6. [Google Scholar]
- Karaman, S.; Ozturk, B.; Genc, N.; Celik, S.M. Effect of preharvest application of methyl jasmonate on fruit quality of plum (Prunus Salicina L indell cv.“fortune”) at harvest and during cold storage. J. Food Process. Preserv. 2013, 37, 1049–1059. [Google Scholar] [CrossRef]
- Awad, M.A.; de Jager, A. Flavonoid and chlorogenic acid concentrations in skin of ‘Jonagold’and ‘Elstar’apples during and after regular and ultra-low oxygen storage. Postharvest Biol. Technol. 2000, 20, 15–24. [Google Scholar] [CrossRef]
- Araya, V.; Gatica, M.; Uribe, E.; Román, J. In silico analysis of the molecular interaction between anthocyanase, peroxidase and polyphenol oxidase with anthocyanins found in cranberries. Int. J. Mol. Sci. 2024, 25, 10437. [Google Scholar] [CrossRef]
- Mora, J.; Pott, D.M.; Osorio, S.; Vallarino, J.G. Regulation of plant tannin synthesis in crop species. Front. Genet. 2022, 13, 870976. [Google Scholar] [CrossRef]
- Şabik, A.E.; Mohammed, F.S.; Sevindik, M.; Uysal, I.; Bal, C. Gallic acid: Derivatives and biosynthesis, pharmacological and therapeutic effect, biological activity. Bulletin of University of Agricultural Sciences and Veterinary Medicine Cluj-Napoca. Food Sci. Technol. 2024, 81, 18–27. [Google Scholar]
- Yıldız, G.; Yildiz, G. Insights into Ultrasound-Assisted Postharvest Preservation: Metabolic, Structural, and Quality Changes in Strawberries During Storage. Food Bioprocess Technol. 2025, 18, 7899–7914. [Google Scholar] [CrossRef]
- Mohammed, M.; Alqahtani, N.; El-Shafie, H. Development and evaluation of an ultrasonic humidifier to control humidity in a cold storage room for postharvest quality management of dates. Foods 2021, 10, 949. [Google Scholar] [CrossRef] [PubMed]
- Paull, R. Effect of temperature and relative humidity on fresh commodity quality. Postharvest Biol. Technol. 1999, 15, 263–277. [Google Scholar] [CrossRef]
- Matas, A.J.; López-Casado, G.; Cuartero, J.; Heredia, A. Relative humidity and temperature modify the mechanical properties of isolated tomato fruit cuticles. Am. J. Bot. 2005, 92, 462–468. [Google Scholar] [CrossRef]
- Brinson, K.; Dey, P.M.; John, M.A.; Pridham, J.B. Post-harvest changes in Mangifera indica mesocarp cell walls and cytoplasmic polysaccharides. Phytochemistry 1988, 27, 719–723. [Google Scholar] [CrossRef]
- Li, F.; Xia, X.; Li, L.; Song, L.; Ye, Y.; Jiang, Y.; Liu, H. Elucidation of pineapple softening based on cell wall polysaccharides degradation during storage. Front. Plant Sci. 2024, 15, 1492575. [Google Scholar] [CrossRef]
- Atia, A.; Abdelkarim, D.; Younis, M.; Alhamdan, A. Effects of calcium chloride and salicylic acid postharvest treatments on the quality of Khalal Barhi dates at different ripening levels during cold storage. J. Food Meas. Charact. 2018, 12, 1156–1166. [Google Scholar] [CrossRef]
- Alsawmahi, O.N.; Al-Juhaimi, F.; Alhamdan, A.M.; Ghafoor, K.; Adiamo, O.Q.; Mohamed Ahmed, I.A.; Hassan, B.H.; Ehmed, K.A.; Babiker, E.E.; Abdelkarim, D.; et al. Phenolic, tannin, antioxidant, color, and sensory attributes of Barhi date (Phoenix dactylifera) fruit stored in modified atmosphere packages. J. Food Biochem. 2018, 42, e12576. [Google Scholar] [CrossRef]
- Al-Amrani, M.; Al-Alawi, A.; Al-Marhobi, I. Assessment of enzymatic browning and evaluation of antibrowning methods on dates. Int. J. Food Sci. 2020, 2020, 8380461. [Google Scholar] [CrossRef]
- Nath, P.; Pandey, N.; Samota, M.; Sharma, K.; Kale, S.; Kannaujia, P.; Sethi, S.; Chauhan, O.P. Browning reactions in foods. In Advances in Food Chemistry: Food Components, Processing and Preservation; Springer Nature: Singapore, 2022; pp. 117–159. [Google Scholar]
- Nunes, C.N.; Emond, J.P. Relationship between weight loss and visual quality of fruits and vegetables. Proc. Fla. State Hortic. Soc. 2007, 120, 235–245. [Google Scholar]
- Al-Qurashi, A.D.; Awad, M.A. Quality characteristics of bisir ‘Barhee’dates during cold storage as affected by postharvest dipping in gibberellic acid, naphthaleneacetic acid and benzyladenine. Fruits 2011, 66, 343–352. [Google Scholar] [CrossRef]
- Lufu, R.; Ambaw, A.; Opara, U.L. Mechanisms and modelling approaches to weight loss in fresh fruit: A review. Technol. Hortic. 2024, 4, e006. [Google Scholar] [CrossRef]
- Díaz-Pérez, J.C.; Muy-Rangel, M.D.; Mascorro, A.G. Fruit size and stage of ripeness affect postharvest water loss in bell pepper fruit (Capsicum annuum L.). J. Sci. Food Agric. 2007, 87, 68–73. [Google Scholar] [CrossRef]
- Khanal, B.P.; Sangroula, B.; Bhattarai, A.; Almeida, G.K.; Knoche, M. Pathways of postharvest water loss from banana fruit. Postharvest Biol. Technol. 2022, 191, 111979. [Google Scholar] [CrossRef]
- Lufu, R.; Ambaw, A.; Opara, U.L. Functional characterisation of lenticels, micro-cracks, wax patterns, peel tissue fractions and water loss of pomegranate fruit (cv. Wonderful) during storage. Postharvest Biol. Technol. 2021, 178, 111539. [Google Scholar] [CrossRef]
- Noutfia, Y.; Ropelewska, E. What can artificial intelligence approaches bring to an improved and efficient harvesting and postharvest handling of date fruit (Phoenix dactylifera L.)? A review. Postharvest Biol. Technol. 2024, 213, 112926. [Google Scholar] [CrossRef]









| Convective Dried ‘Mejhoul’ | Infrared Dried ‘Mejhoul’ | Convective Dried ‘Boufeggous’ | Infrared Dried ‘Boufeggous’ | |
|---|---|---|---|---|
| Total polyphenols (TP) (g 100 g−1 DM) | 37.1 ± 0.56 a | 31.7 ± 1.05 b | 29.9 ± 0.77 a | 24.9 ± 0.75 b |
| Total flavonoids (TF) (g 100 g−1 DM) | 14.9 ± 0.88 a | 12.2 ± 0.32 b | 7.85 ± 0.86 a | 6.19 ± 0.45 b |
| Total phenolic acids (g 100 g−1 DM) | 22.2 ± 1.19 a | 19.4 ± 0.74 b | 22.0 ± 0.70 a | 18.7 ± 0.83 b |
| Glucose (g 100 g−1 DM) | 41.6 ± 0.52 a | 41.9 ± 0.22 a | 40.0 ± 0.14 a | 39.5 ± 0.38 b |
| Fructose (g 100 g−1 DM) | 40.1 ± 0.20 a | 40.4 ± 0.55 a | 39.3 ± 0.30 a | 38.7 ± 0.26 a |
| Water activity | 0.561 ± 0.01 a | 0.568 ± 0.01 a | 0.634 ± 0.02 a | 0.647 ± 0.02 a |
| Total Soluble Solids (°Bx) | 78.4 ± 0.36 a | 79.7 ± 0.27 b | 73.2 ± 0.19 a | 73.4 ± 1.43 a |
| Hardness (N) | 9.26 ± 3.38 a | 9.13 ± 4.07 a | 5.45 ± 2.32 a | 4.50 ± 1.42 b |
| L* | 27.3 ± 2.94 a | 26.6 ± 2.99 b | 25.7 ± 2.66 a | 25.4 ± 2.62 a |
| a* | 5.57 ± 0.17 a | 5.66 ± 0.19 a | 4.49 ± 0.21 a | 3.87 ± 0.18 b |
| b* | 4.54 ± 0.23 a | 4.85 ± 0.23 a | 4.13 ± 0.21 a | 3.79 ± 0.18 a |
| Storage Time (Months) | M-CD55 | M-CD65 | M-IRD55 | M-IRD65 | B-CD55 | B-CD65 | B-IRD55 | B-IRD65 | |
|---|---|---|---|---|---|---|---|---|---|
| Glucose (g 100 g−1 DM) | 0 | 41.6 a | 41.6 a | 41.9 a | 41.9 a | 40.0 a | 40.0 a | 39.5 a | 40.0 a |
| 4 | 40.6 b | 40.5 b | 40.7 b | 39.2 b | 40.8 b | 39.0 b | 41.0 b | 39.6 a | |
| 8 | 42.1 a | 40.4 b | 42.3 a | 40.1 b | 42.1 c | 41.0 c | 42.8 c | 41.0 a | |
| Fructose (g 100 g−1 DM) | 0 | 40.2 a | 40.2 a | 40.4 a | 40.4 a | 39.3 a | 39.3 a | 38.7 a | 39.3 a |
| 4 | 38.5 b | 37.9 b | 38.5 b | 38.4 b | 38.8 a | 39.0 a | 40.3 b | 39.6 a | |
| 8 | 39.9 a | 38.1 b | 40.2 a | 38.8 b | 41.2 b | 39.7 a | 41.7 c | 39.1 a | |
| Total Sugars (g 100 g−1 DM) | 0 | 82.8 a | 82.8 a | 83.5 a | 83.5 a | 80.2 a | 80.2 a | 78.8 a | 80.2 a |
| 4 | 80.2 b | 79.5 b | 80.4 b | 78.6 b | 80.3 a | 79.0 a | 82.2 b | 80.3 a | |
| 8 | 83.3 a | 79.8 b | 83.8 a | 80.1 b | 84.5 b | 81.7 b | 85.6 c | 81.2 a |
Disclaimer/Publisher’s Note: The statements, opinions and data contained in all publications are solely those of the individual author(s) and contributor(s) and not of MDPI and/or the editor(s). MDPI and/or the editor(s) disclaim responsibility for any injury to people or property resulting from any ideas, methods, instructions or products referred to in the content. |
© 2025 by the authors. Licensee MDPI, Basel, Switzerland. This article is an open access article distributed under the terms and conditions of the Creative Commons Attribution (CC BY) license (https://creativecommons.org/licenses/by/4.0/).
Share and Cite
Noutfia, Y.; Ropelewska, E.; Szwejda-Grzybowska, J.; Jóźwiak, Z.; Siarkowski, S.; Mieszczakowska-Frąc, M.; Rutkowski, K.P. Evaluation of Storage Stability of Date Fruit (Phoenix dactylifera L.) at Two Levels of Relative Humidity Based on Selected Functional Compounds and Image Features. Foods 2025, 14, 3189. https://doi.org/10.3390/foods14183189
Noutfia Y, Ropelewska E, Szwejda-Grzybowska J, Jóźwiak Z, Siarkowski S, Mieszczakowska-Frąc M, Rutkowski KP. Evaluation of Storage Stability of Date Fruit (Phoenix dactylifera L.) at Two Levels of Relative Humidity Based on Selected Functional Compounds and Image Features. Foods. 2025; 14(18):3189. https://doi.org/10.3390/foods14183189
Chicago/Turabian StyleNoutfia, Younes, Ewa Ropelewska, Justyna Szwejda-Grzybowska, Zbigniew Jóźwiak, Sebastian Siarkowski, Monika Mieszczakowska-Frąc, and Krzysztof P. Rutkowski. 2025. "Evaluation of Storage Stability of Date Fruit (Phoenix dactylifera L.) at Two Levels of Relative Humidity Based on Selected Functional Compounds and Image Features" Foods 14, no. 18: 3189. https://doi.org/10.3390/foods14183189
APA StyleNoutfia, Y., Ropelewska, E., Szwejda-Grzybowska, J., Jóźwiak, Z., Siarkowski, S., Mieszczakowska-Frąc, M., & Rutkowski, K. P. (2025). Evaluation of Storage Stability of Date Fruit (Phoenix dactylifera L.) at Two Levels of Relative Humidity Based on Selected Functional Compounds and Image Features. Foods, 14(18), 3189. https://doi.org/10.3390/foods14183189

