Soluble Soybean Polysaccharide Improves Quality and Shelf Life of Peanut Butter
Abstract
1. Introduction
2. Materials and Methods
2.1. Peanut Seeds and Chemicals
2.2. Optimization of Peanut Butter Processing with SSPSs
2.2.1. Preparation Process
2.2.2. Determination of the Centrifugal Emulsification Rate of Peanut Butter
2.2.3. Single-Factor Experimental Design for Peanut Butter Processing with SSPS
2.2.4. Response Surface Methodology
2.3. Peanut Butter Quality Determination
2.3.1. Color Analysis of Peanut Butter
2.3.2. Texture Analysis
2.3.3. Nutritional Analysis
2.3.4. Microstructure Analysis
2.4. Effect of SSPS on Shelf Life
2.4.1. Sample Preparation
2.4.2. Determination of Storage Indices
2.4.3. Determining Kinetics of Oxidative Rancidity of Fats and Oils
2.4.4. Determining the Shelf Life at Different Temperatures
2.5. Data Analysis
3. Results and Discussions
3.1. Single-Factor Experiments
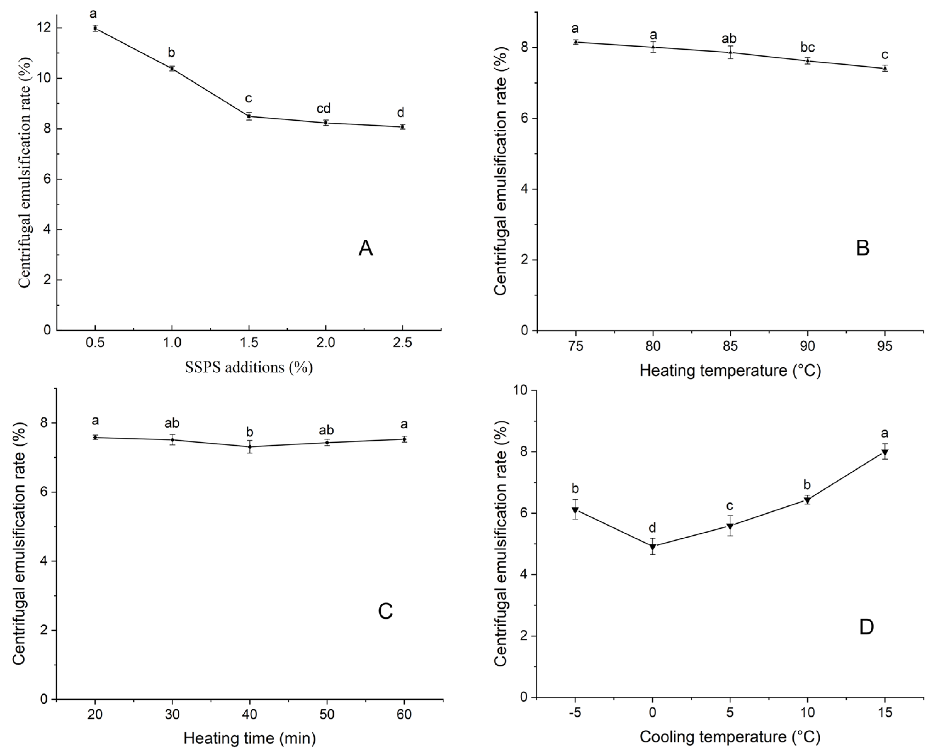
3.1.1. Effect of SSPS Content on the Centrifugal Emulsification Rate
3.1.2. Effect of Heating Temperature on the Centrifugal Emulsification Rate
3.1.3. Effect of Heating Time on the Centrifugal Emulsification Rate of Peanut Butter
3.1.4. Effect of Cooling Temperature on the Centrifugal Emulsification Rate
3.2. Response Surface Optimization of Peanut Butter Processed with SSPS
3.2.1. Response Surface Methodology and Analysis
3.2.2. Developing and Validating the Response Surface Model
3.3. Effect of SSPS on the Palatability of Peanut Butter
3.3.1. Effect of SSPS on Color
3.3.2. Effect of SSPS on Texture and Physicochemical Qualities
3.3.3. Effect of SSPS on the Microstructure of Peanut Butter
3.4. Effect of SSPS on the Shelf Life of Peanut Butter
3.4.1. AV and POV at Different Storage Temperatures and Times
3.4.2. Kinetic Analysis of Oxidative Rancidity
3.4.3. Shelf Life Validation Test
4. Conclusions
Supplementary Materials
Author Contributions
Funding
Institutional Review Board Statement
Informed Consent Statement
Data Availability Statement
Acknowledgments
Conflicts of Interest
References
- Liu, X.; Zhu, X.; Han, Z.; Liu, H. Recent Advances in the Mechanisms of Quality Degradation and Control Technologies for Peanut Butter: A Literature Review. Foods 2025, 14, 105. [Google Scholar] [CrossRef]
- Alqahtani, N.K.; Alnemr, T.M.; Makki, H.M.M.; Ali, D.O.M.; Mohamed, H.A.; Saleh, F.A.; Tami, S.H.; Darrag, H.M.; Taha, A.A.; Salih, Z.A.; et al. Date syrup (dibs) as healthy natural sweetener ingredient in peanut butter processing: Impact on physico-chemical, sensory, textural profile and microstructure properties. LWT 2025, 221, 117590. [Google Scholar] [CrossRef]
- Ding, S.; Chen, X.; Ouyang, B.; Yang, B.; Wang, W.; Wang, Y. Exploring Diacylglycerol Oil-Based Oleogels as Effective Stabilizers in Peanut Butter: Performance, Structural Insights, and Sensory Evaluation. J. Oleo Sci. 2024, 73, 135–145. [Google Scholar] [CrossRef]
- Praveen, A.; Hitlamani, V.; Nagarajan, S.; Matche, R.S.; Chaudhari, S.R. Enrichment of Peanut butter using Curcuma Longa (turmeric) industrial byproducts and its impact on shelf life. Food Chem. 2024, 461, 140839. [Google Scholar] [CrossRef]
- Shahidi, F.; Zhong, Y. Measurement of antioxidant activity. J. Funct. Foods 2015, 18, 757–781. [Google Scholar] [CrossRef]
- Yu, H.; Liu, H.; Erasmus, S.W.; Zhao, S.; Wang, Q.; van Ruth, S.M. An explorative study on the relationships between the quality traits of peanut varieties and their peanut butters. LWT 2021, 151, 112068. [Google Scholar] [CrossRef]
- Degon, J.G.; Zheng, C.; Elkhedir, A.; Yang, B.; Zhou, Q.; Li, W. Effect of microwave pre-treatment on physical quality, bioactive compounds, safety risk factor, and storage stability of peanut butter. Oil Crop Sci. 2021, 6, 137–144. [Google Scholar] [CrossRef]
- Rozalli, N.H.M.; Chin, N.L.; Yusof, Y.A.; Mahyudin, N. Quality changes of stabilizer-free natural peanut butter during storage. J. Food Sci. Technol.-Mysore 2016, 53, 694–702. [Google Scholar] [CrossRef]
- Huang, Z.H.; Guo, B.Z.; Deng, C.; Luo, S.J.; Liu, C.M.; Hu, X.T. Stabilization of peanut butter by rice bran wax. J. Food Sci. 2020, 85, 1793–1798. [Google Scholar] [CrossRef]
- Ferdaus, M.J.; Blount, R.J.S.; Silva, R.C.d. Assessment of Natural Waxes as Stabilizers in Peanut Butter. Foods 2022, 11, 3127. [Google Scholar] [CrossRef]
- Tanti, R.; Barbut, S.; Marangoni, A.G. Oil stabilization of natural peanut butter using food grade polymers. Food Hydrocoll. 2016, 61, 399–408. [Google Scholar] [CrossRef]
- Minemoto, Y.; Fang, X.; Hakamata, K.; Watanabe, Y.; Adachi, S.; Kometani, T.; Matsuno, R. Oxidation of Linoleic Acid Encapsulated with Soluble Soybean Polysaccharide by Spray-drying. Biosci. Biotechnol. Biochem. 2002, 66, 1829–1834. [Google Scholar] [CrossRef] [PubMed]
- Hong, T.; Wang, L.; Xu, Y.; Jin, Y.; Xu, D.; Wu, F.; Xu, X. Comparative study of soluble soybean polysaccharides on bread staling under acidic conditions. Food Chem. 2023, 400, 133950. [Google Scholar] [CrossRef]
- Yang, Y.; Xiang, D. Effect of Coconut Protein and Xanthan Gum, Soybean Polysaccharide and Gelatin Interactions in Oil-Water Interface. Molecules 2022, 27, 2879. [Google Scholar] [CrossRef]
- Qin, W.Y.; Sun, L.J.; Miao, M.; Zhang, G.Y. Plant-sourced intrinsic dietary fiber: Physical structure and health function. Trends Food Sci. Technol. 2021, 118, 341–355. [Google Scholar] [CrossRef]
- Matsumura, Y.; Egami, M.; Satake, C.; Maeda, Y.; Takahashi, T.; Nakamura, A.; Mori, T. Inhibitory effects of peptide-bound polysaccharides on lipid oxidation in emulsions. Food Chem. 2003, 83, 107–119. [Google Scholar] [CrossRef]
- Nakamura, A.; Ohboshi, H.; Sakai, M.; Nomura, K.; Nishiyama, S.; Ashida, H. Extraction of water-soluble polysaccharides from kidney beans and examination of their protein dispersion and stabilization properties under acidic conditions. Food Res. Int. 2021, 144, 110357. [Google Scholar] [CrossRef]
- Peng, X.Q.; Xu, Y.T.; Liu, T.X.; Tang, C.H. Molecular Mechanism for Improving Emulsification Efficiency of Soy Glycinin by Glycation with Soy Soluble Polysaccharide. J. Agric. Food Chem. 2018, 66, 12316–12326. [Google Scholar] [CrossRef]
- Furuta, H.; Nakamura, A.; Ashida, H.; Asano, H.; Maeda, H.; Mori, T. Properties of rice cooked with commercial water-soluble soybean polysaccharides extracted under weakly acidic conditions from soybean cotyledons. Biosci. Biotechnol. Biochem. 2003, 67, 677–683. [Google Scholar] [CrossRef]
- Salarbashi, D.; Tajik, S.; Ghasemlou, M.; Shojaee-Aliabadi, S.; Shahidi Noghabi, M.; Khaksar, R. Characterization of soluble soybean polysaccharide film incorporated essential oil intended for food packaging. Carbohydr. Polym. 2013, 98, 1127–1136. [Google Scholar] [CrossRef]
- Nakamura, A. Development of Soybean Soluble Polysaccharide Derived from “Okara”, and Application as a Functional Food Ingredient. J. Jpn. Soc. Food Sci. Technol.-Nippon Shokuhin Kagaku Kogaku Kaishi 2011, 58, 559–566. [Google Scholar] [CrossRef]
- Tao, X.; Hu, Y.; Liu, Z.; Jiang, K.; Liang, Y.; Li, J.; Guo, X.; Zhu, B. Marine sulfated polysaccharide affects the characteristics of astaxanthin-loaded oleogels prepared from gelatin emulsions. Food Hydrocoll. 2025, 160, 110805. [Google Scholar] [CrossRef]
- Yao, Y.; Zhang, M.; Yuan, Y.; Zhang, B.; Li, C. Improved stability of sesame paste by peanut protein-flaxseed gum conjugation. J. Food Eng. 2024, 382, 112196. [Google Scholar] [CrossRef]
- GB 5009.5-2025; Method for Determination of Protein in Foods. State Administration for Market Regulation: Beijing, China, 2025.
- GB 5009.6-2016; Method for Determination of Lipid in Foods. State Administration for Market Regulation: Beijing, China, 2016.
- GB 5009.268-2016; Method for Determination of Sodium in Foods. State Administration for Market Regulation: Beijing, China, 2016.
- GB/Z 21922-2008; Method for Determination of Energy in Foods. State Administration for Market Regulation: Beijing, China, 2008.
- GB 28050-2011; Method for Determination of Carbohydrate in Foods. State Administration for Market Regulation: Beijing, China, 2011.
- Xu, X.Y.; Cao, Y.; Zhang, H.; Yaqoob, S.; Zheng, M.Z.; Wu, Y.Z.; Zhao, C.B.; Liu, J.S. Effects of cornstarch on the gel properties of black bean protein isolate. J. Texture Stud. 2018, 49, 548–555. [Google Scholar] [CrossRef] [PubMed]
- GB/T 5009.37-2003; Analytical Methods for Hygienic Standards of Edible Vegetable Oils. State Administration for Market Regulation: Beijing, China, 2003.
- GB 16565-2003; Hygienic Standard for Fried Food. State Administration for Market Regulation: Beijing, China, 2003.
- Zhu, Y.; Zhu, Y.; Yang, J.; Wang, Y.; Tan, C. Stabilization of high internal phase emulsions by combination of polysaccharide and protein: Synergistic efficiency, mechanism, and application. Int. J. Biol. Macromol. 2025, 310, 143544. [Google Scholar] [CrossRef]
- Ma, Y.; Xu, M.; Wang, W.; Li, X.; Ding, X. Ultrasound assisted complexation of soybean peptide aggregates and soluble soybean polysaccharide: pH optimization, structure characterization, and emulsifying behavior. Food Res. Int. 2025, 201, 115546. [Google Scholar] [CrossRef]
- Sun, L.; Ye, X.; Liu, S.; Safdar, B.; Li, J.; Liu, X.; Li, H. Study on the mechanism of protein-polysaccharide complex high viscosity gel and its adhesion in plant meat substitute. Int. J. Biol. Macromol. 2025, 311, 143547. [Google Scholar] [CrossRef]
- Patel, A.R.; Cludts, N.; Bin Sintang, M.D.; Lewille, B.; Lesaffer, A.; Dewettinck, K. Polysaccharide-based oleogels prepared with an emulsion-templated approach. ChemPhysChem 2014, 15, 3435–3439. [Google Scholar] [CrossRef]
- Sithole, T.R.; Ma, Y.-X.; Qin, Z.; Liu, H.-M.; Wang, X.-D. Influence of Peanut Varieties on the Sensory Quality of Peanut Butter. Foods 2022, 11, 3499. [Google Scholar] [CrossRef]
- McClements, D.J.; Gumus, C.E. Natural emulsifiers—Biosurfactants, phospholipids, biopolymers, and colloidal particles: Molecular and physicochemical basis of functional performance. Adv. Colloid Interface Sci. 2016, 234, 3–26. [Google Scholar] [CrossRef]
- Tang, C.-H. Nanostructured soy proteins: Fabrication and applications as delivery systems for bioactives (a review). Food Hydrocoll. 2019, 91, 92–116. [Google Scholar] [CrossRef]
- Le, X.T.; Rioux, L.E.; Turgeon, S.L. Formation and functional properties of protein-polysaccharide electrostatic hydrogels in comparison to protein or polysaccharide hydrogels. Adv. Colloid Interface Sci. 2017, 239, 127–135. [Google Scholar] [CrossRef] [PubMed]
- Cao, J.; Jiang, X.; Chen, Q.; Zhang, H.; Sun, H.; Zhang, W.-M.; Li, C. Oxidative stabilities of olive and camellia oils: Possible mechanism of aldehydes formation in oleic acid triglyceride at high temperature. LWT 2020, 118, 108858. [Google Scholar] [CrossRef]





| Code | SSPS Content A/(%) | Heating Temperature B/(°C) | Heating Time C/(min) | Cooling Temperature D/(°C) |
|---|---|---|---|---|
| −1 | 1.0 | 80 | 30 | −5 |
| 0 | 1.5 | 85 | 40 | 0 |
| 1 | 2.0 | 90 | 50 | 5 |
| No. | SSPS Content A/(%) | Heating Temperature B/(°C) | Heating Time C/(min) | Cooling Temperature D/(°C) | Centrifugal Emulsification Rate (%) |
|---|---|---|---|---|---|
| 1 | 0 | −1 | 1 | 0 | 8.58 |
| 2 | 0 | 1 | −1 | 0 | 8.09 |
| 3 | 1 | 0 | 0 | −1 | 8.45 |
| 4 | 1 | 1 | 0 | 0 | 7.42 |
| 5 | 0 | 1 | 0 | 1 | 7.09 |
| 6 | −1 | 1 | 0 | 0 | 8.91 |
| 7 | −1 | 0 | 0 | 1 | 10.31 |
| 8 | −1 | 0 | 0 | −1 | 10.15 |
| 9 | 1 | 0 | 0 | 1 | 6.14 |
| 10 | 0 | 0 | 1 | 1 | 8.13 |
| 11 | 1 | 0 | 1 | 0 | 6.05 |
| 12 | 0 | −1 | −1 | 0 | 7.36 |
| 13 | 0 | 0 | −1 | 1 | 7.43 |
| 14 | 0 | 0 | 0 | 0 | 4.22 |
| 15 | 0 | 0 | 0 | 0 | 4.11 |
| 16 | 0 | 0 | 0 | 0 | 4.41 |
| 17 | 0 | −1 | 0 | 1 | 8.18 |
| 18 | −1 | 0 | 1 | 0 | 9.65 |
| 19 | 0 | 0 | 0 | 0 | 4.51 |
| 20 | 0 | 1 | 1 | 0 | 6.29 |
| 21 | 0 | −1 | 0 | −1 | 7.38 |
| 22 | 0 | 0 | 0 | 0 | 4.72 |
| 23 | 1 | 0 | −1 | 0 | 6.26 |
| 24 | −1 | −1 | 0 | 0 | 10.91 |
| 25 | 1 | −1 | 0 | 0 | 7.33 |
| 26 | 0 | 0 | 1 | −1 | 7.54 |
| 27 | −1 | 0 | −1 | 0 | 10.34 |
| 28 | 0 | 1 | 0 | −1 | 8.16 |
| 29 | 0 | 0 | −1 | −1 | 8.45 |
| Source of Variance | Sum of Squares | Degrees of Freedom | Variance | F-Value | p-Value | Significance |
|---|---|---|---|---|---|---|
| Regression model | 98.78 | 14 | 7.06 | 36.65 | <0.0001 | ** |
| A | 28.89 | 1 | 28.89 | 150.07 | <0.0001 | ** |
| B | 1.19 | 1 | 1.19 | 6.18 | 0.0261 | * |
| C | 0.24 | 1 | 0.24 | 1.24 | 0.2849 | |
| D | 0.68 | 1 | 0.68 | 3.52 | 0.0818 | |
| AB | 1.09 | 1 | 1.09 | 5.67 | 0.0320 | * |
| AC | 0.058 | 1 | 0.058 | 0.30 | 0.5930 | |
| AD | 1.53 | 1 | 1.53 | 7.92 | 0.0138 | * |
| BC | 2.28 | 1 | 2.28 | 11.84 | 0.0040 | ** |
| BD | 0.87 | 1 | 0.87 | 4.54 | 0.0513 | |
| CD | 0.65 | 1 | 0.65 | 3.37 | 0.0879 | |
| A2 | 38.45 | 1 | 38.45 | 199.72 | <0.0001 | ** |
| B2 | 17.81 | 1 | 17.81 | 92.53 | <0.0001 | ** |
| C2 | 13.94 | 1 | 13.94 | 72.40 | <0.0001 | ** |
| D2 | 22.70 | 1 | 22.70 | 117.94 | <0.0001 | ** |
| Residual | 2.70 | 14 | 0.19 | |||
| Lost proposal | 2.46 | 10 | 0.25 | 4.27 | 0.0873 | |
| Pure error | 0.23 | 4 | 0.058 | |||
| Total | 101.47 | 28 |
| Sample Name | L* | a* | b* |
|---|---|---|---|
| BSPB | 63.99 ± 0.30 a | 10.79 ± 0.20 b | 32.01 ± 2.06 a |
| SSPS-BSPB | 58.93 ± 1.91 b | 10.37 ± 0.44 b | 28.77 ± 1.01 b |
| GPB | 58.81 ± 0.09 b | 13.74 ± 0.03 a | 32.23 ± 0.21 a |
| SSPS-GPB | 55.91 ± 0.33 c | 13.97 ± 0.12 a | 31.70 ± 0.09 a |
| Indexes | Sample Names | |||
|---|---|---|---|---|
| BSPB | SSPS-BSPB | GPB | SSPS-GPB | |
| Hardness (g) | 58.33 ± 6.65 ab | 67.12 ± 6.08 a | 48.56 ± 6.92 c | 58.41 ± 14.42 ab |
| Viscosity (g) | 21.44 ± 3.61 a | 20.79 ± 0.00 a | 23.18 ± 1.00 ab | 38.67 ± 35.81 b |
| Gumminess (mJ) | 4.55 ± 1.05 ab | 4.95 ± 0.70 ab | 2.74 ± 0.95 c | 4.37 ± 0.21 a |
| Elasticity | 0.04 ± 0.01 a | 0.04 ± 0.01 a | 0.05 ± 0.01 a | 0.04 ± 0.01 a |
| Springiness (mm) | 6.03 ± 0.05 ab | 6.42 ± 0.18 a | 5.64 ± 0.18 bc | 5.23 ± 0.71 c |
| Elastic length (mm) | 0.93 ± 0.11 b | 6.67 ± 0.54 a | 5.65 ± 4.24 ab | 4.71 ± 3.25 ab |
| Cohesion | 1.12 ± 0.02 ab | 1.27 ± 0.02 a | 1.09 ± 0.01 ab | 1.31 ± 0.12 ab |
| Adhesiveness (g) | 70.66 ± 8.72 ab | 74.33 ± 7.37 a | 52.67 ± 7.23 c | 60.67 ± 16.62 ab |
| Chewiness (mJ) | 4.07 ± 0.42 a | 4.37 ± 0.56 a | 3.09 ± 0.36 ab | 3.13 ± 1.06 ab |
| Indexes | Standard Content | Sample Names | |||
|---|---|---|---|---|---|
| BSPB | SSPS-BSPB | GPB | SSPS-GPB | ||
| Moisture (%) | ≤1.0 | 0.72 | 0.83 | 0.69 | 0.79 |
| Ash (%) | ≤3.0 | 2.4 | 2.5 | 2.4 | 2.6 |
| Protein (%) | ≥23.0 | 28.3 | 27.8 | 23.0 | 22.2 |
| Fat (%) | ≥40.0 | 50.9 | 48.2 | 48.8 | 51.1 |
| Carbohydrate (%) | 15.8 | 17.6 | 22.8 | 20.3 | |
| Sodium (mg/100 g) | 276 | 331 | 273 | 316 | |
| Energy (kJ) | 2633 | 2555 | 2584 | 2613 | |
| Acid value (mg KOH/g oil) | ≤3.0 | 0.573 | 0.561 | 0.482 | 0.475 |
| Peroxide value (g/100 g) | ≤0.25 | 0.024 | 0.023 | 0.023 | 0.021 |
| Temperature (°C) | Regression Equation | R2 | Formula | |
|---|---|---|---|---|
| BSPB | 25 | Ln(AV) = 0.0116 t − 0.7036 | 0.9585 | 6 |
| 35 | Ln(AV) = 0.0131 t − 0.4798 | 0.9426 | 7 | |
| 45 | Ln(AV) = 0.0141 t − 0.3236 | 0.9058 | 9 | |
| SSPS-BSPB | 25 | Ln(AV) = 0.0102 t − 0.7155 | 0.9214 | 10 |
| 35 | Ln(AV) = 0.0127 t − 0.5125 | 0.9565 | 11 | |
| 45 | Ln(AV) = 0.0137 t − 0.3398 | 0.9228 | 13 | |
| GPB | 25 | Ln(AV) = 0.0109 t − 0.7907 | 0.9746 | 14 |
| 35 | Ln(AV) = 0.0145 t − 0.6806 | 0.9589 | 15 | |
| 45 | Ln(AV) = 0.0156 t − 0.5382 | 0.9416 | 17 | |
| SSPB-GPB | 25 | Ln(AV) = 0.0098 t − 0.8037 | 0.9655 | 18 |
| 35 | Ln(AV) = 0.0144 t − 0.8153 | 0.9789 | 19 | |
| 45 | Ln(AV) = 0.0156 t − 0.5843 | 0.9618 | 20 |
| Temperature (°C) | Regression Equation | R2 | Formula | |
|---|---|---|---|---|
| BSPB | 25 | Ln(POV) = 0.0151 t − 3.6374 | 0.9889 | 21 |
| 35 | Ln(POV) = 0.0183 t − 3.4307 | 0.9401 | 22 | |
| 45 | Ln(POV) = 0.0205 t − 3.3316 | 0.9276 | 23 | |
| SSPS-BSPB | 25 | Ln(POV) = 0.0153 t − 3.7275 | 0.9970 | 25 |
| 35 | Ln(POV) = 0.0182 t − 3.5301 | 0.9525 | 26 | |
| 45 | Ln(POV) = 0.0201 t − 3.4438 | 0.9440 | 27 | |
| GPB | 25 | Ln(POV) = 0.013 t − 3.7137 | 0.9947 | 29 |
| 35 | Ln(POV) = 0.016 t − 3.4834 | 0.9655 | 30 | |
| 45 | Ln(POV) = 0.019 t − 3.3610 | 0.9410 | 31 | |
| SSPS-GPB | 25 | Ln(POV) = 0.0128 t − 3.7482 | 0.9610 | 33 |
| 35 | Ln(POV) = 0.0161 t − 3.6031 | 0.9413 | 34 | |
| 45 | Ln(POV) = 0.0188 t − 3.4984 | 0.9393 | 35 |
| Sample Type | Storage Temperature (°C) | Acid Value Model | Peroxide Value Model | ||||
|---|---|---|---|---|---|---|---|
| Shelf Life Prediction (d) | Shelf Life Actual (d) | Relative Error (%) | Shelf Life Prediction (d) | Shelf Life Actual (d) | Relative Error (%) | ||
| BSPB | 20 | 177.2 | 170 | 4.23 | 168.7 | 163 | 3.50 |
| SSPS-BSPB | 20 | 204.7 | 200 | 2.35 | 172.1 | 169 | 1.83 |
| GPB | 20 | 198.9 | 194 | 2.52 | 207.7 | 203 | 1.97 |
| SSPS-GPB | 20 | 225.2 | 219 | 2.73 | 213.0 | 207 | 2.89 |
Disclaimer/Publisher’s Note: The statements, opinions and data contained in all publications are solely those of the individual author(s) and contributor(s) and not of MDPI and/or the editor(s). MDPI and/or the editor(s) disclaim responsibility for any injury to people or property resulting from any ideas, methods, instructions or products referred to in the content. |
© 2025 by the authors. Licensee MDPI, Basel, Switzerland. This article is an open access article distributed under the terms and conditions of the Creative Commons Attribution (CC BY) license (https://creativecommons.org/licenses/by/4.0/).
Share and Cite
Zhang, L.; Zheng, L.; Sun, J.; Korma, S.A.; Al-Asmari, F.; Xie, M.; Yu, M. Soluble Soybean Polysaccharide Improves Quality and Shelf Life of Peanut Butter. Foods 2025, 14, 2180. https://doi.org/10.3390/foods14132180
Zhang L, Zheng L, Sun J, Korma SA, Al-Asmari F, Xie M, Yu M. Soluble Soybean Polysaccharide Improves Quality and Shelf Life of Peanut Butter. Foods. 2025; 14(13):2180. https://doi.org/10.3390/foods14132180
Chicago/Turabian StyleZhang, Liangchen, Liyou Zheng, Jian Sun, Sameh A. Korma, Fahad Al-Asmari, Mengxi Xie, and Miao Yu. 2025. "Soluble Soybean Polysaccharide Improves Quality and Shelf Life of Peanut Butter" Foods 14, no. 13: 2180. https://doi.org/10.3390/foods14132180
APA StyleZhang, L., Zheng, L., Sun, J., Korma, S. A., Al-Asmari, F., Xie, M., & Yu, M. (2025). Soluble Soybean Polysaccharide Improves Quality and Shelf Life of Peanut Butter. Foods, 14(13), 2180. https://doi.org/10.3390/foods14132180

