In Vitro Antibacterial and Antioxidative Activity and Polyphenolic Profile of the Extracts of Chokeberry, Blackcurrant, and Rowan Berries and Their Pomaces
Abstract
1. Introduction
2. Materials and Methods
2.1. Plant Material and Preparation of Extracts
2.2. Chromatographic Analyses
2.3. Determination of Antioxidative Properties
2.4. Determination of Antimicrobial Activity
2.5. Statistical Analyses
3. Results and Discussion
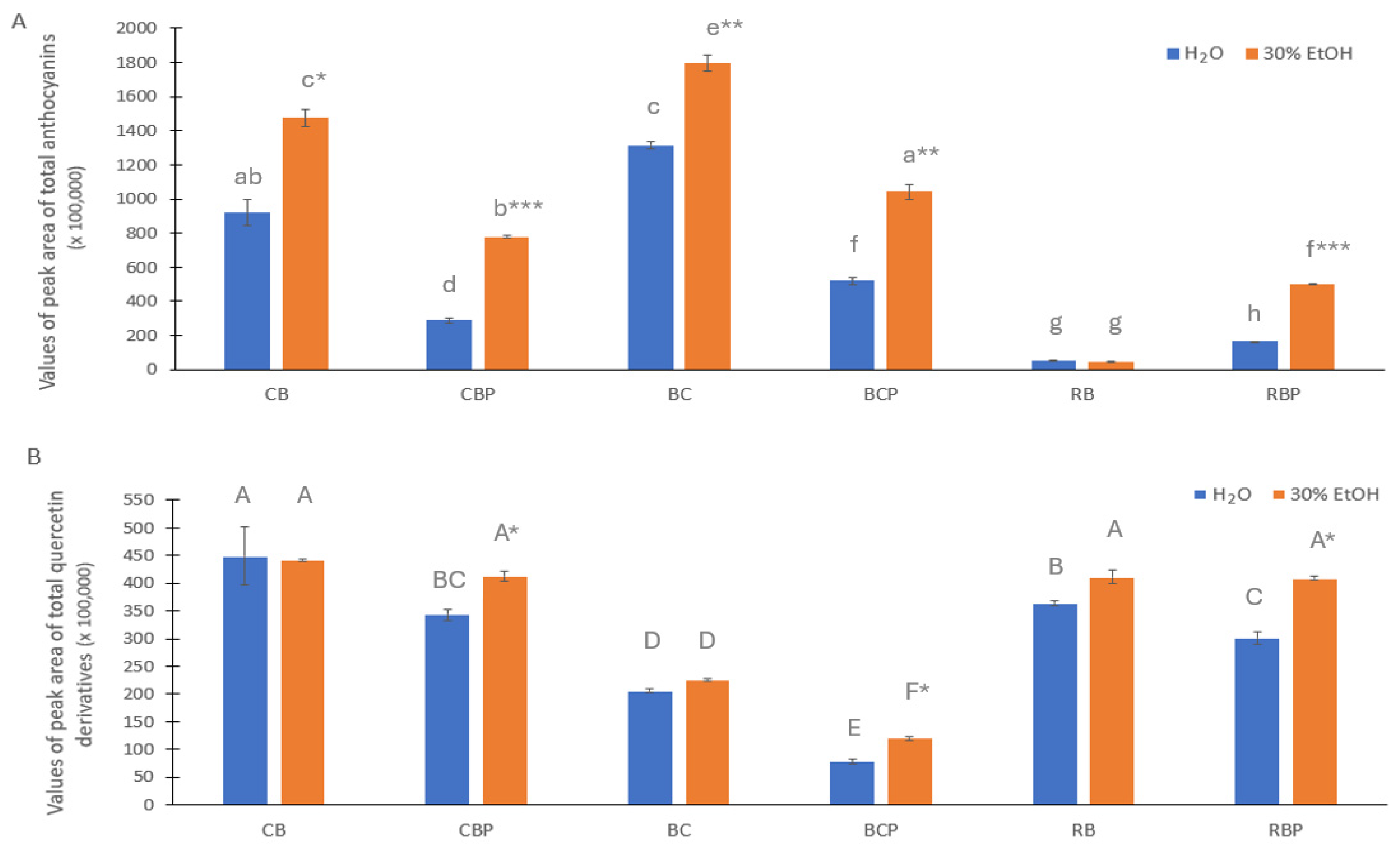
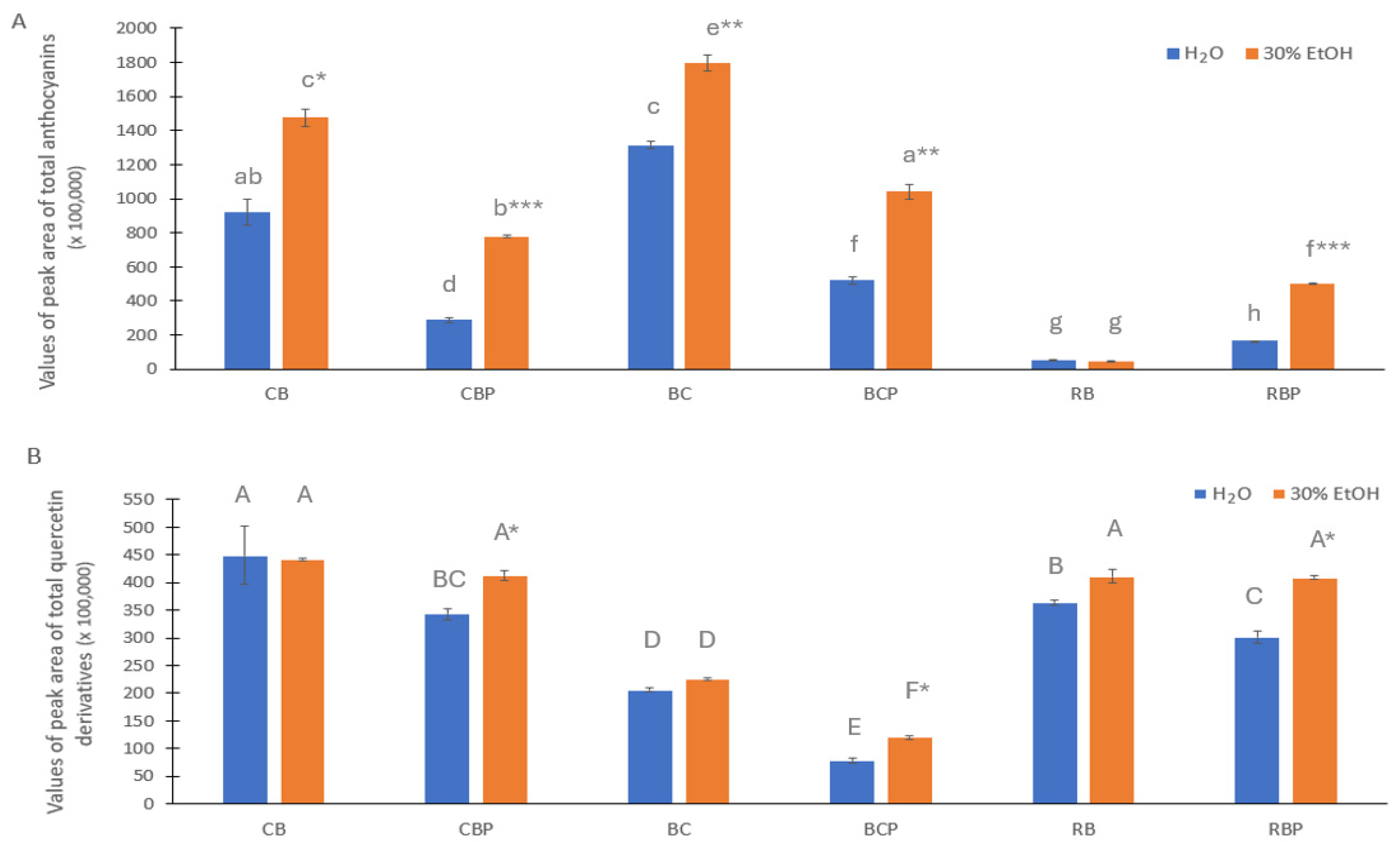
3.1. Identification and Quantification of Phenolic Compounds
3.2. Antioxidative Properties
3.3. Minimal Inhibitory Concentrations
4. Discussion
5. Conclusions
Author Contributions
Funding
Institutional Review Board Statement
Informed Consent Statement
Data Availability Statement
Conflicts of Interest
References
- Koskar, J.; Meremäe, K.; Püssa, T.; Anton, D.; Elias, T.; Rätsep, R.; Mäesaar, M.; Kapp, K.; Roasto, M. Microbial growth dynamics in minced meat enriched with plant powders. Appl. Sci. 2022, 12, 11292. [Google Scholar] [CrossRef]
- Kerner, K.; Kazernavičiūtė, R.; Jõudu, I.; Rocchetti, G.; Lucini, L.; Tänavots, A.; Hussain, S.; Venskutonis, P.R. Evaluation of different blackcurrant seed ingredients in meatballs by using conventional quality assessment and untargeted metabolomics. Meat Sci. 2023, 200, 109160. [Google Scholar] [CrossRef] [PubMed]
- Roasto, M.; Mäesaar, M.; Püssa, T.; Anton, D.; Rätsep, R.; Elias, T.; Jortikka, S.; Pärna, M.; Kapp, K.; Tepper, M.; et al. The effect of fruit and berry pomaces on the growth dynamics of microorganisms and sensory properties of marinated rainbow trout. Microorganisms 2023, 11, 2960. [Google Scholar] [CrossRef] [PubMed]
- Samtiya, M.; Aluko, R.E.; Dhewa, T.; Moreno-Rojas, J.M. Potential health benefits of plant food-derived bioactive components: An overview. Foods 2021, 10, 839. [Google Scholar] [CrossRef] [PubMed]
- Liu, H.; Qin, S.; Sirohi, R.; Ahluwalia, V.; Zhou, Y.; Sindhu, R.; Binod, P.; Singhnia, R.R.; Patel, A.K.; Juneja, A.; et al. Sustainable blueberry waste recycling towards biorefinery strategy and circular bioeconomy: A review. Bioresour. Technol. 2021, 332, 125181. [Google Scholar] [CrossRef] [PubMed]
- Borowska, S.; Brzóska, M. Chokeberries (Aronia melanocarpa) and their products as a possible means for the prevention and treatment of noncommunicable diseases and unfavorable health effects due to exposure to xenobiotics. Compr. Rev. Food Sci. Food Saf. 2016, 15, 982–1017. [Google Scholar] [CrossRef] [PubMed]
- Raudsepp, P.; Koskar, J.; Anton, D.; Meremäe, K.; Kapp, K.; Laurson, P.; Bleive, U.; Kaldmäe, H.; Roasto, M.; Püssa, T. Antibacterial and antioxidative properties of different parts of garden rhubarb, blackcurrant, chokeberry and blue honeysuckle. J. Sci. Food Agric. 2018, 99, 2311–2320. [Google Scholar] [CrossRef]
- Sarv, V.; Venskutonis, P.R.; Rätsep, R.; Aluvee, A.; Kazernavičiūtė, R.; Bhat, R. Antioxidants characterization of the fruit, juice, and pomace of sweet rowanberry (Sorbus aucuparia L.) cultivated in Estonia. Antioxidants 2021, 10, 1779. [Google Scholar] [CrossRef]
- Zhang, H.; Tsao, R. Dietary polyphenols, oxidative stress and antioxidant and anti-inflammatory effects. Curr. Opin. Food Sci. 2016, 8, 33–42. [Google Scholar] [CrossRef]
- Paunović, S.M.; Mašković, P.; Milinković, M. Phytochemical and antimicrobial profile of black currant berries and leaves. Acta Agric. Serbica 2022, 27, 25–29. [Google Scholar] [CrossRef]
- Daglia, M. Polyphenols as antimicrobial agents. Curr. Opin. Biotechnol. 2012, 23, 174–181. [Google Scholar] [CrossRef]
- Yahfoufi, N.; Alsadi, N.; Jambi, M.; Matar, C. The immunomodulatory and anti-inflammatory role of polyphenols. Nutrients 2018, 10, 1618. [Google Scholar] [CrossRef]
- Skrovankova, S.; Sumczynski, D.; Mlcek, J.; Jurikova, T.; Sochor, J. Bioactive compounds and antioxidant activity in different types of berries. Int. J. Mol. Sci. 2015, 16, 24673–24706. [Google Scholar] [CrossRef] [PubMed]
- Klavins, L.; Kviesis, J.; Nakurte, I.; Klavins, M. Berry press residues as a valuable source of polyphenolics: Extraction optimisation and analysis. LWT Food Sci. Technol. 2018, 93, 583–591. [Google Scholar] [CrossRef]
- Fierascu, R.C.; Sieniawska, E.; Ortan, A.; Fierascu, I.; Xiao, J. Fruits by-products—A source of valuable active principles. A short review. Front. Bioeng. Biotechnol. 2020, 8, 319. [Google Scholar] [CrossRef] [PubMed]
- Heinonen, M. Antioxidant activity and antimicrobial effect of berry phenolics—A Finnish perspective. Mol. Nutr. Food Res. 2007, 51, 684–691. [Google Scholar] [CrossRef] [PubMed]
- Bobinaitė, R.; Grootaert, C.; Van Camp, J.; Šarkinas, A.; Liaudanskas, M.; Žvikas, V.; Viškelis, P.; Venskutonis, P.R. Chemical composition, antioxidant, antimicrobial and antiproliferative activities of the extracts isolated from the pomace of rowanberry (Sorbus aucuparia L.). Food Res. Int. 2020, 136, 109310. [Google Scholar] [CrossRef] [PubMed]
- Garzón, G.A.; Soto, C.Y.; López-R, M.; Riedl, K.M.; Browmiller, C.R.; Howard, L. Phenolic profile, in vitro antimicrobial activity and antioxidant capacity of Vaccinium meridionale Swartz pomace. Heliyon 2020, 6, e03845. [Google Scholar] [CrossRef] [PubMed]
- Salaheen, S.; Nguyen, C.; Hewes, D.; Biswas, D. Cheap extraction of antibacterial compounds of berry pomace and their mode of action against the pathogen Campylobacter jejuni. Food Control 2014, 46, 174–181. [Google Scholar] [CrossRef]
- Georgescu, C.; Frum, A.; Virchea, L.-I.; Sumacheva, A.; Shamtsyan, M.; Gligor, F.-G.; Olah, N.K.; Mathe, E.; Mironescu, M. Geographic variability of berry phytochemicals with antioxidant and antimicrobial properties. Molecules 2022, 27, 4986. [Google Scholar] [CrossRef]
- EVS-EN ISO 20776-1:2020; Susceptibility Testing of Infectious Agents and Evaluation of Performance of Antimicrobial Susceptibility Test Devices—Part 1: Broth Micro-Dilution Reference Method for Testing the In Vitro Activity of Antimicrobial Agents against Rapidly Growing Aerobic Bacteria Involved in Infectious Diseases. ISO: Tallinn, Estonia, 2020.
- Akoglu, H. User’s guide to correlation coefficients. Turk. J. Emerg. Med. 2018, 18, 91–93. [Google Scholar] [CrossRef] [PubMed]
- Ratner, B. The correlation coefficient: Its values range between +1/−1, or do they? J. Target. Meas. Anal. Mark. 2009, 17, 139–142. [Google Scholar] [CrossRef]
- LaPlante, K.L.; Sarkisian, S.A.; Woodmansee, S.; Rowley, D.C.; Seeram, N.B. Effects of cranberry extracts on growth and biofilm production of Escherichia coli and Staphylococcus species. Phytother. Res. 2012, 26, 1371–1374. [Google Scholar] [CrossRef] [PubMed]
- Määttä-Riihinen, K.R.; Kamal-Eldin, A.; Mattila, P.H.; González-Paramás, A.M.; Törrönen, A.R. Distribution and contents of phenolic compounds in eighteen Scandinavian berry species. J. Agric. Food Chem. 2004, 52, 4477–4486. [Google Scholar] [CrossRef] [PubMed]
- Jurikova, T.; Mlcek, J.; Skrovankova, S.; Sumczynski, D.; Sochor, J.; Hlavacova, I.; Snopek, L.; Orsavova, J. Fruits of black chokeberry Aronia melanocarpa in the prevention of chronic diseases. Molecules 2017, 22, 944. [Google Scholar] [CrossRef] [PubMed]
- Khanal, R.C.; Howard, L.R.; Brownmiller, C.R.; Prior, R.L. Influence of extrusion processing on procyanidin composition and total anthocyanin contents of blueberry pomace. J. Food Sci. 2009, 74, 52–58. [Google Scholar] [CrossRef]
- Lesjak, M.; Beara, I.; Simin, N.; Pintać, D.; Majkić, T.; Bekvalac, K.; Orčić, D.; Mimica-Dukić, N. Antioxidant and anti-inflammatory activities of quercetin and its derivatives. J. Funct. Foods 2018, 40, 68–75. [Google Scholar] [CrossRef]
- Adamczak, A.; Ożarowski, M.; Karpiński, T.M. Antibacterial activity of some flavonoids and organic acids widely distributed in plants. J. Clin. Med. 2020, 9, 109. [Google Scholar] [CrossRef]
- Shirzadi Karamolah, K.; Mousavi, F.; Mahmoudi, H. Antimicrobial inhibitory activity of aqueous, hydroalcoholic and alcoholic extracts of leaves and stem of Daphne mucronata on growth of oral bacteria. GMS Hyg. Infect. Control 2017, 12, Doc16. [Google Scholar] [CrossRef]
- Anton, D.; Koskar, J.; Raudsepp, P.; Meremäe, K.; Kaart, T.; Püssa, T.; Roasto, M. Antimicrobial and antioxidative effects of plant powders in raw and cooked minced pork. Foods 2019, 8, 661. [Google Scholar] [CrossRef]
- Leitão, D.P.; Polizello, A.C.; Ito, I.Y.; Spadaro, A.C. Antibacterial screening of anthocyanic and proanthocyanic fractions from cranberry juice. J. Med. Food 2005, 8, 36–40. [Google Scholar] [CrossRef] [PubMed]
- Perumal, S.; Mahmud, R.; Ismail, S. Mechanism of action of isolated caffeic acid and epicatechin 3-gallate from Euphorbia hirta against Pseudomonas aeruginosa. Pharmacogn. Mag. 2017, 13, 311–315. [Google Scholar] [CrossRef] [PubMed]
- Osonga, F.J.; Akgul, A.; Miller, R.M.; Eshun, G.B.; Yazgan, I.; Akgul, A.; Sadik, O.A. Antimicrobial activity of a new class of phosphorylated and modified flavonoids. ACS Omega 2019, 4, 12865–12871. [Google Scholar] [CrossRef]
- Yuan, G.; Guan, Y.; Yi, H.; Lai, S.; Sun, Y.; Cao, S. Antibacterial activity and mechanism of plant flavonoids to gram-positive bacteria predicted from their lipophilicities. Sci. Rep. 2021, 11, 10471. [Google Scholar] [CrossRef] [PubMed]
- Kovanda, L.; Zhang, W.; Wei, X.; Luo, J.; Wu, X.; Atwill, E.R.; Vaessen, S.; Li, X.; Liu, Y. In vitro antimicrobial activities of organic acids and their derivatives on several species of gram-negative and gram-positive bacteria. Molecules 2019, 24, 3770. [Google Scholar] [CrossRef]
- Ma, Y.; Ding, S.; Fei, Y.; Liu, G.; Jang, H.; Fang, J. Antimicrobial activity of anthocyanins and catechins against foodborne pathogens Escherichia coli and Salmonella. Food Control 2019, 106, 106712. [Google Scholar] [CrossRef]




| Pseudomolecular ion Mass-to-Charge Ratio (m/z) | Compound | Detected in Aqueous Extracts | Detected in Ethanolic Extracts |
|---|---|---|---|
| 191.0556 | Quinic acid | + | + |
| Hydroxycinnamic acids: | |||
| 153.0193 | Protocatechuic acid | + | CB, CBP, BC, BCP, RBP |
| 337.0929 | Coumaroylquinic acids | + | + |
| 341.0878 | Caffeic acid | BC, BCP | BC, BCP |
| 353.0873 | Chlorogenic acids | + | + |
| Flavanols: | |||
| 289.0718 | Catechins | + | + |
| 305.0700 | (Epi)gallocatechins | BC, BCP | BC, BCP |
| 577.1352 | Procyanidin B type | + | + |
| Flavonols: | |||
| 301.0354 | Quercetin | CB, CBP, BC, BCP, RB | + |
| 433.0776 | Quercetin pentosides | + | + |
| 463.0882 | Quercetin hexosides | + | + |
| 595.1305 | Quercetin pentosyl-hexosides | + | + |
| 609.1461 | Quercetin rhamnosyl hexoside | + | + |
| 625.1410 | Quercetin dihexosides | + | + |
| Dihydrochalcones: | |||
| 435.1297 | Phloridzin | + | + |
| 597.1825 | Phloretin-di-C-hexoside | CB, CBP, BCP, RB, RBP | CB, CBP, BCP, RB, RBP |
| Anthocyanins: | |||
| 417.0827 | Cyanidin pentosides | CB, CBP, RBP | CB, CBP, RBP |
| 447.0928 | Cyanidin hexoside 1 | CB, CBP, RB, RBP | CB, CBP, RB, RBP |
| 447.0928 | Cyanidin hexoside 2 | BC, BCP | BC, BCP |
| 593.1506 | Cyanidin rutinoside | BC, BCP | BC, BCP |
| 609.1461 | Delphinidin rutinoside | BC, BCP | BC, BCP |
| Extracts | AO in Trolox eq mM (A) | AO in GAE mM (A) | AO in Trolox eq mM (B) | AO in GAE eq mM (B) |
|---|---|---|---|---|
| CB | 9.08 ± 0.10 a | 0.004 ± 0.0000 A | 21.4 ± 0.16 b,*** | 0.009 ± 0.0001 B,** |
| CBP | 5.55 ± 0.17 c | 0.003 ± 0.0001 C | 17.5 ± 0.48 d,*** | 0.007 ± 0.0002 D,** |
| BC | 8.73 ± 0.19 a | 0.004 ± 0.0001 A | 16.0 ± 0.11 d,** | 0.007 ± 0.0000 E,** |
| BCP | 4.57 ± 0.34 c | 0.002 ± 0.0001 C | 13.0 ± 1.21 e,* | 0.005 ± 0.0005 F,* |
| RB | 3.61 ± 0.83 c | 0.002 ± 0.0004 C | 13.2 ± 1.57 e,* | 0.006 ± 0.0006 F,* |
| RBP | 0.57 ± 0.05 f | 0.001 ± 0.0000 G | 6.09 ± 2.56 c,* | 0.003 ± 0.0010 C,* |
| Extracts | L. monocytogenes G+ | S. aureus G+ | E. coli G− | C. jejuni G− | Min and Max MIC Values * | |
|---|---|---|---|---|---|---|
| CB | A | 0.41 | 0.21 | - | - | 0.001–0.82 |
| B | 0.37 | 0.19 | 0.75 | 0.75 | 0.003–1.49 | |
| CBP | A | - | 0.32 | - | - | 0.001–0.63 |
| B | 0.28 | 0.28 | 0.57 | 0.57 | 0.002–1.13 | |
| BC | A | 0.34 | 0.17 | - | - | 0.001–0.68 |
| B | 0.22 | 0.22 | 0.22 | 0.22 | 0.002–0.87 | |
| BCP | A | 0.16 | 0.16 | - | - | 0.001–0.31 |
| B | 0.14 | 0.27 | 0.14 | 0.27 | 0.001–0.54 | |
| RB | A | 0.22 | 0.11 | - | - | 0.001–0.44 |
| B | 0.13 | 0.13 | 0.13 | 0.13 | 0.001–0.50 | |
| RBC | A | - | 0.10 | - | - | 0.001–0.20 |
| B | 0.15 | 0.15 | 0.15 | 0.15 | 0.001–0.29 | |
Disclaimer/Publisher’s Note: The statements, opinions and data contained in all publications are solely those of the individual author(s) and contributor(s) and not of MDPI and/or the editor(s). MDPI and/or the editor(s) disclaim responsibility for any injury to people or property resulting from any ideas, methods, instructions or products referred to in the content. |
© 2024 by the authors. Licensee MDPI, Basel, Switzerland. This article is an open access article distributed under the terms and conditions of the Creative Commons Attribution (CC BY) license (https://creativecommons.org/licenses/by/4.0/).
Share and Cite
Meremäe, K.; Raudsepp, P.; Rusalepp, L.; Anton, D.; Bleive, U.; Roasto, M. In Vitro Antibacterial and Antioxidative Activity and Polyphenolic Profile of the Extracts of Chokeberry, Blackcurrant, and Rowan Berries and Their Pomaces. Foods 2024, 13, 421. https://doi.org/10.3390/foods13030421
Meremäe K, Raudsepp P, Rusalepp L, Anton D, Bleive U, Roasto M. In Vitro Antibacterial and Antioxidative Activity and Polyphenolic Profile of the Extracts of Chokeberry, Blackcurrant, and Rowan Berries and Their Pomaces. Foods. 2024; 13(3):421. https://doi.org/10.3390/foods13030421
Chicago/Turabian StyleMeremäe, Kadrin, Piret Raudsepp, Linda Rusalepp, Dea Anton, Uko Bleive, and Mati Roasto. 2024. "In Vitro Antibacterial and Antioxidative Activity and Polyphenolic Profile of the Extracts of Chokeberry, Blackcurrant, and Rowan Berries and Their Pomaces" Foods 13, no. 3: 421. https://doi.org/10.3390/foods13030421
APA StyleMeremäe, K., Raudsepp, P., Rusalepp, L., Anton, D., Bleive, U., & Roasto, M. (2024). In Vitro Antibacterial and Antioxidative Activity and Polyphenolic Profile of the Extracts of Chokeberry, Blackcurrant, and Rowan Berries and Their Pomaces. Foods, 13(3), 421. https://doi.org/10.3390/foods13030421

