Enhanced Bioaccessibility and Antioxidant Activity of Curcumin from Transglutaminase Cross-Linked Mulberry Leaf Protein-Stabilized High-Internal-Phase Pickering Emulsion: In Vivo and In Vitro Studies
Abstract
1. Introduction
2. Materials and Methods
2.1. Material and Reagents
2.2. Extraction of Mulberry Leaf Protein
2.3. Preparation of Mulberry Leaf Protein Cross-Linkers
2.4. Preparation of High-Internal-Phase Pickering Emulsion Loaded with Curcumin
2.5. Emulsion Droplet Size
2.6. Optical Microscope Observation
2.7. Curcumin Loading Rate
2.8. Rheological Properties
2.9. Antioxidant Properties
2.9.1. Determination of DPPH• Free Radical Clearance
2.9.2. ABTS• Determination of Free Radical Clearance
2.10. Thermal Sterilization Stability
2.11. Storage Stability
2.12. Analysis of Curcumin In Vitro Digestion
2.12.1. Simulation of In Vitro Digestion Model
2.12.2. Determination of Bioaccessibility of Curcumin
2.13. Release of Cur-HIPE in Mice
2.13.1. Animal Feeding
2.13.2. Experimental Process
2.13.3. Determination of Curcumin Content by Mass Spectrometry
2.14. Statistical Analysis
3. Results and Discussion
3.1. Emulsion Droplet Size
3.2. Rheological Characteristics
3.3. Analysis of Antioxidant Capacity
3.4. Thermal Stability
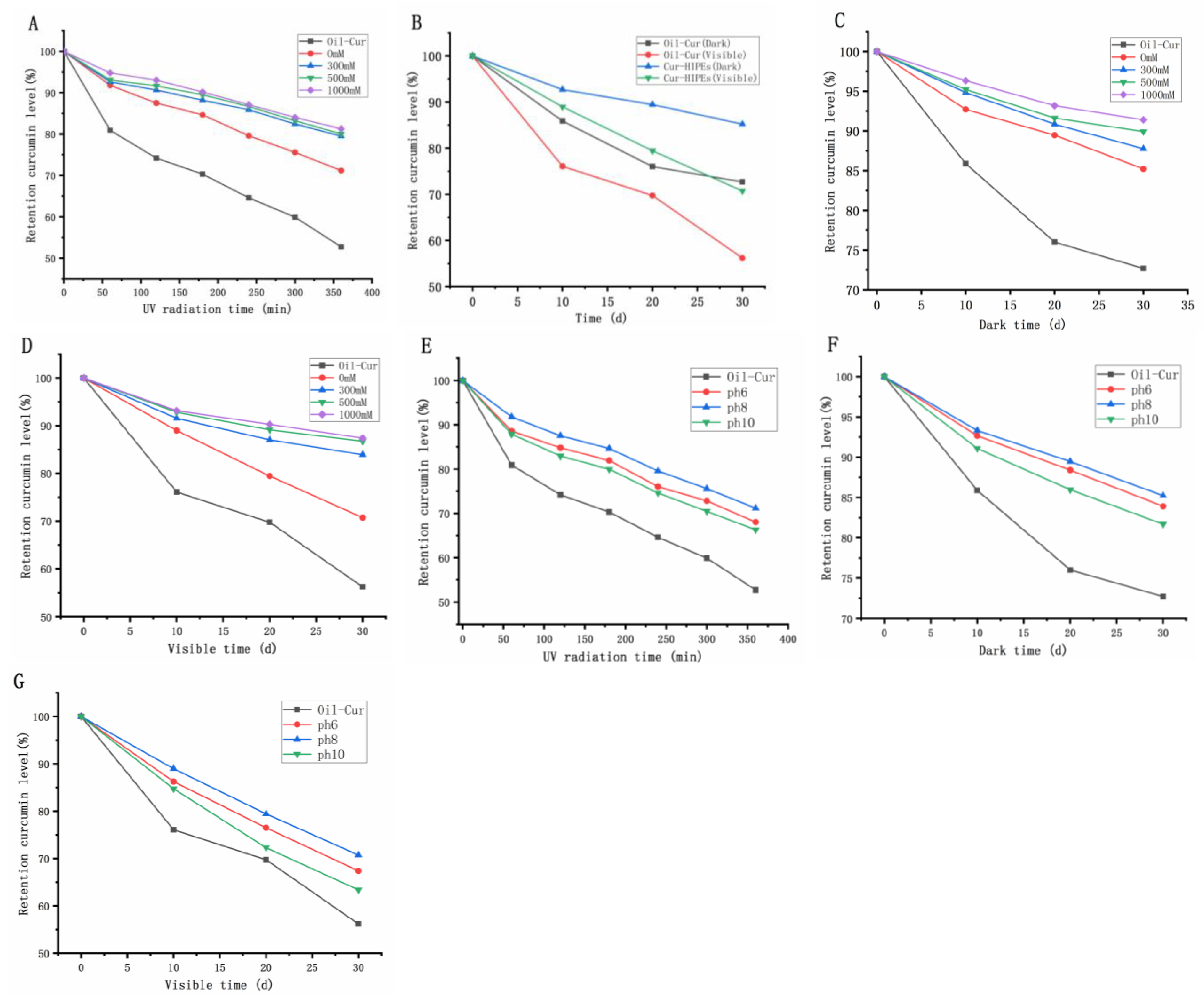
3.5. Storage Stability
3.5.1. Protective Effect of Stable Pickering Emulsion on Curcumin Under Different Ionic Strengths
3.5.2. Protective Effect of TG-MLP-Stabilized Pickering Emulsion on Curcumin at Different pH Levels
3.6. Bioaccessibility In Vitro
3.7. Bioaccessibility In Vivo
4. Conclusions
Supplementary Materials
Author Contributions
Funding
Institutional Review Board Statement
Informed Consent Statement
Data Availability Statement
Conflicts of Interest
References
- Gao, H.; Ma, L.; Cheng, C.; Liu, J.; Liang, R.; Zou, L.; Liu, W.; McClements, D.J. Review of recent advances in the preparation, properties, and applications of high internal phase emulsions. Trends Food Sci. Technol. 2021, 112, 36–49. [Google Scholar] [CrossRef]
- Sarkar, A.; Dickinson, E. Sustainable food-grade Pickering emulsions stabilized by plant-based particles. Curr. Opin. Colloid Interface Sci. 2020, 49, 69–81. [Google Scholar] [CrossRef]
- Jiao, B.; Shi, A.; Wang, Q.; Binks, B.P. High-Internal-Phase Pickering Emulsions Stabilized Solely by Peanut-Protein-Isolate Microgel Particles with Multiple Potential Applications. Angew. Chem. Int. Ed. 2018, 57, 9274–9278. [Google Scholar] [CrossRef]
- Huang, X.-N.; Zhou, F.-Z.; Yang, T.; Yin, S.-W.; Tang, C.-H.; Yang, X.-Q. Fabrication and characterization of Pickering High Internal Phase Emulsions (HIPEs) stabilized by chitosan-caseinophosphopeptides nanocomplexes as oral delivery vehicles. Food Hydrocoll. 2019, 93, 34–45. [Google Scholar] [CrossRef]
- Zhong, Y.; Song, B.; Zheng, C.; Zhang, S.; Yan, Z.; Tang, Z.; Kong, X.; Duan, Y.; Li, F. Flavonoids from Mulberry Leaves Alleviate Lipid Dysmetabolism in High Fat Diet-Fed Mice: Involvement of Gut Microbiota. Microorganisms 2020, 8, 860. [Google Scholar] [CrossRef]
- Lv, Q. Development and Application of Leaf Protein as Food. Biotechnol. Bull. 2007, 2, 6–10. [Google Scholar]
- Zhao, L.; Cheng, X.; Song, X.; Ouyang, D.; Wang, J.; Wu, Q.; Jia, J. Ultrasonic assisted extraction of mulberry leaf protein: Kinetic model, structural and functional properties, in vitro digestion. Process Biochem. 2023, 128, 12–21. [Google Scholar] [CrossRef]
- Kim, H.-B.; You, H.-S.; Ryu, S.-j.; Lee, H.-Y.; Baek, J.-S. Green synthesis of silver nanoparticles from mulberry leaf through hot melt extrusion: Enhanced antioxidant, antibacterial, anti-inflammatory, antidiabetic, and anticancer properties. Food Hydrocoll. Health 2024, 6, 100184. [Google Scholar] [CrossRef]
- Aluko, R.E.; Yada, R.Y. Effect of a microbial calcium-independent transglutaminase on functional properties of a partially purified cowpea (Vigna unguiculata) globulin. J. Sci. Food Agric. 1999, 79, 286–290. [Google Scholar] [CrossRef]
- Tang, C.-H.; Chen, Z.; Li, L.; Yang, X.-Q. Effects of transglutaminase treatment on the thermal properties of soy protein isolates. Food Res. Int. 2006, 39, 704–711. [Google Scholar] [CrossRef]
- Babiker, E.E. Effect of transglutaminase treatment on the functional properties of native and chymotrypsin-digested soy protein. Food Chem. 2000, 70, 139–145. [Google Scholar] [CrossRef]
- Wilken, R.; Veena, M.S.; Wang, M.B.; Srivatsan, E.S. Curcumin: A review of anti-cancer properties and therapeutic activity in head and neck squamous cell carcinoma. Mol. Cancer 2011, 10, 12. [Google Scholar] [CrossRef]
- Araiza-Calahorra, A.; Akhtar, M.; Sarkar, A. Recent advances in emulsion-based delivery approaches for curcumin: From encapsulation to bioaccessibility. Trends Food Sci. Technol. 2018, 71, 155–169. [Google Scholar] [CrossRef]
- Lee, Y.-K.; Chang, Y.H. Microencapsulation of a maca leaf polyphenol extract in mixture of maltodextrin and neutral polysaccharides extracted from maca roots. Int. J. Biol. Macromol. 2020, 150, 546–558. [Google Scholar] [CrossRef]
- Li, C.; Li, B.; Zhu, C.; Meng, X. Modeling and optimization of tea polyphenol-alginate/chitosan magnetic microcapsules. J. Mol. Struct. 2020, 1208, 127827. [Google Scholar] [CrossRef]
- Kak, A.; Parhi, A.; Rasco, B.A.; Tang, J.; Sablani, S.S. Improving the oxygen barrier of microcapsules using cellulose nanofibres. Int. J. Food Sci. Technol. 2021, 56, 4258–4267. [Google Scholar] [CrossRef]
- Yang, J.; Zhou, Q.; Huang, Z.; Gu, Z.; Cheng, L.; Qiu, L.; Hong, Y. Mechanisms of in vitro controlled release of astaxanthin from starch-based double emulsion carriers. Food Hydrocoll. 2021, 119, 106837. [Google Scholar] [CrossRef]
- Lu, X.; Li, C.; Huang, Q. Combining in vitro digestion model with cell culture model: Assessment of encapsulation and delivery of curcumin in milled starch particle stabilized Pickering emulsions. Int. J. Biol. Macromol. 2019, 139, 917–924. [Google Scholar] [CrossRef]
- Zhang, Y.; Chen, H.; Zhang, N.; Ma, L. Antioxidant and functional properties of tea protein as affected by the different tea processing methods. J. Food Sci. Technol.-Mysore 2015, 52, 742–752. [Google Scholar] [CrossRef]
- Zhang, L.; Xiao, Q.; Wang, Y.; Hu, J.; Xiong, H.; Zhao, Q. Effects of sequential enzymatic hydrolysis and transglutaminase crosslinking on functional, rheological, and structural properties of whey protein isolate. LWT 2022, 153, 112415. [Google Scholar] [CrossRef]
- Wei, Z.; Zhu, J.; Cheng, Y.; Huang, Q. Ovotransferrin fibril–stabilized Pickering emulsions improve protection and bioaccessibility of curcumin. Food Res. Int. 2019, 125, 108602. [Google Scholar] [CrossRef] [PubMed]
- Liu, F.; Tang, C.-H. Soy glycinin as food-grade Pickering stabilizers: Part. I. Structural characteristics, emulsifying properties and adsorption/arrangement at interface. Food Hydrocoll. 2016, 60, 606–619. [Google Scholar] [CrossRef]
- Shah, B.R.; Li, Y.; Jin, W.; An, Y.; He, L.; Li, Z.; Xu, W.; Li, B. Preparation and optimization of Pickering emulsion stabilized by chitosan-tripolyphosphate nanoparticles for curcumin encapsulation. Food Hydrocoll. 2016, 52, 369–377. [Google Scholar] [CrossRef]
- Zhou, Y.; Yang, H. Effects of calcium ion on gel properties and gelation of tilapia (Oreochromis niloticus) protein isolates processed with pH shift method. Food Chem. 2019, 277, 327–335. [Google Scholar] [CrossRef]
- Yang, H.; Dong, Y.; Du, H.; Shi, H.; Peng, Y.; Li, X. Antioxidant Compounds from Propolis Collected in Anhui, China. Molecules 2011, 16, 3444–3455. [Google Scholar] [CrossRef]
- Martynenko, A.; Chen, Y. Degradation kinetics of total anthocyanins and formation of polymeric color in blueberry hydrothermodynamic (HTD) processing. J. Food Eng. 2016, 171, 44–51. [Google Scholar] [CrossRef]
- Liu, W.; Wang, J.; McClements, D.J.; Zou, L. Encapsulation of β-carotene-loaded oil droplets in caseinate/alginate microparticles: Enhancement of carotenoid stability and bioaccessibility. J. Funct. Foods 2018, 40, 527–535. [Google Scholar] [CrossRef]
- GB/T35892-2018; Guidelines for the Ethical Review of Laboratory Animal Welfare. Standardization Administration of China: Beijing, China, 2018; ICP 09001239.
- McClements, D.J.; Li, Y. Structured emulsion-based delivery systems: Controlling the digestion and release of lipophilic food components. Adv. Colloid Interface Sci. 2010, 159, 213–228. [Google Scholar] [CrossRef]
- Borrin, T.R.; Georges, E.L.; Moraes, I.C.F.; Pinho, S.C. Curcumin-loaded nanoemulsions produced by the emulsion inversion point (EIP) method: An evaluation of process parameters and physico-chemical stability. J. Food Eng. 2016, 169, 1–9. [Google Scholar] [CrossRef]
- Wei, Z.; Cheng, J.; Huang, Q. Food-grade Pickering emulsions stabilized by ovotransferrin fibrils. Food Hydrocoll. 2019, 94, 592–602. [Google Scholar] [CrossRef]
- Dai, L.; Sun, C.; Wang, D.; Gao, Y. The Interaction between Zein and Lecithin in Ethanol-Water Solution and Characterization of Zein-Lecithin Composite Colloidal Nanoparticles. PLoS ONE 2016, 11, e0167172. [Google Scholar] [CrossRef] [PubMed]
- Hemung, B.-O.; Benjakul, S.; Yongsawatdigul, J. pH-dependent characteristics of gel-like emulsion stabilized by threadfin bream sarcoplasmic proteins. Food Hydrocoll. 2013, 30, 315–322. [Google Scholar] [CrossRef]
- Xia, T.; Gao, Y.; Liu, Y.; Wei, Z.; Xue, C. Lactoferrin particles assembled via transglutaminase-induced crosslinking: Utilization in oleogel-based Pickering emulsions with improved curcumin bioaccessibility. Food Chem. 2022, 374, 131779. [Google Scholar] [CrossRef] [PubMed]
- Chen, X.-W.; Fu, S.-Y.; Hou, J.-J.; Guo, J.; Wang, J.-M.; Yang, X.-Q. Zein based oil-in-glycerol emulgels enriched with β-carotene as margarine alternatives. Food Chem. 2016, 211, 836–844. [Google Scholar] [CrossRef] [PubMed]
- Qiu, C.; Wang, C.; Li, X.; Sang, S.; McClements, D.J.; Chen, L.; Long, J.; Jiao, A.; Wang, J.; Jin, Z. Preparation of high internal phase Pickering emulsion gels stabilized by glycyrrhizic acid-zein composite nanoparticles: Gelation mechanism and 3D printing performance. Food Hydrocoll. 2023, 135, 108128. [Google Scholar] [CrossRef]
- Hussain, Z.; Thu, H.E.; Amjad, M.W.; Hussain, F.; Ahmed, T.A.; Khan, S. Exploring recent developments to improve antioxidant, anti-inflammatory and antimicrobial efficacy of curcumin: A review of new trends and future perspectives. Mater. Sci. Eng. C 2017, 77, 1316–1326. [Google Scholar] [CrossRef]
- Kamwilaisak, K.; Rittiwut, K.; Jutakridsada, P.; Iamamorphanth, W.; Pimsawat, N.; Knijnenburg, J.T.N.; Theerakulpisut, S. Rheology, stability, antioxidant properties, and curcumin release of oil-in-water Pickering emulsions stabilized by rice starch nanoparticles. Int. J. Biol. Macromol. 2022, 214, 370–380. [Google Scholar] [CrossRef]
- Smith, I.W.M. The temperature-dependence of elementary reaction rates: Beyond Arrhenius. Chem. Soc. Rev. 2008, 37, 812–826. [Google Scholar] [CrossRef]
- Esatbeyoglu, T.; Ulbrich, K.; Rehberg, C.; Rohn, S.; Rimbach, G. Thermal stability, antioxidant, and anti-inflammatory activity of curcumin and its degradation product 4-vinyl guaiacol. Food Funct. 2015, 6, 887–893. [Google Scholar] [CrossRef]
- Young, S.; Basiana, E.; Nitin, N. Effects of interfacial composition on the stability of emulsion and encapsulated bioactives after thermal and high pressure processing. J. Food Eng. 2018, 231, 22–29. [Google Scholar] [CrossRef]
- Shao, Y.; Tang, C.-H. Gel-like pea protein Pickering emulsions at pH3.0 as a potential intestine-targeted and sustained-release delivery system for β-carotene. Food Res. Int. 2016, 79, 64–72. [Google Scholar] [CrossRef]
- Li, X.; Cheng, Y.; Yi, C.; Hua, Y.; Yang, C.; Cui, S. Effect of ionic strength on the heat-induced soy protein aggregation and the phase separation of soy protein aggregate/dextran mixtures. Food Hydrocoll. 2009, 23, 1015–1023. [Google Scholar] [CrossRef]
- Li, J.; Hwang, I.-C.; Chen, X.; Park, H.J. Effects of chitosan coating on curcumin loaded nano-emulsion: Study on stability and in vitro digestibility. Food Hydrocoll. 2016, 60, 138–147. [Google Scholar] [CrossRef]
- Johnson, D.R.; Tian, F.; Rornan, M.J.; Decker, E.A.; Goddard, J.M. Development of Iron-Chelating Poly(ethylene terephthalate) Packaging for Inhibiting Lipid Oxidation in Oil-in-Water Emulsions. J. Agric. Food Chem. 2015, 63, 5055–5060. [Google Scholar] [CrossRef]
- Calero, N.; Muñoz, J.; Cox, P.W.; Heuer, A.; Guerrero, A. Influence of chitosan concentration on the stability, microstructure and rheological properties of O/W emulsions formulated with high-oleic sunflower oil and potato protein. Food Hydrocoll. 2013, 30, 152–162. [Google Scholar] [CrossRef]
- Araiza-Calahorra, A.; Sarkar, A. Pickering emulsion stabilized by protein nanogel particles for delivery of curcumin: Effects of pH and ionic strength on curcumin retention. Food Struct. 2019, 21, 100113. [Google Scholar] [CrossRef]
- Yixuan, L.; Qaria, M.A.; Sivasamy, S.; Jianzhong, S.; Daochen, Z. Curcumin production and bioavailability: A comprehensive review of curcumin extraction, synthesis, biotransformation and delivery systems. Ind. Crops Prod. 2021, 172, 114050. [Google Scholar] [CrossRef]
- Peng, L.; Tang, C.-h. Outstanding antioxidant pickering high internal phase emulsions by co-assembled polyphenol-soy β-conglycinin nanoparticles. Food Res. Int. 2020, 136, 109509. [Google Scholar] [CrossRef]
- Yi, J.; Gan, C.; Wen, Z.; Fan, Y.; Wu, X. Development of pea protein and high methoxyl pectin colloidal particles stabilized high internal phase pickering emulsions for beta-carotene protection and delivery. Food Hydrocoll. 2021, 113, 106497. [Google Scholar] [CrossRef]
- Zhang, L.; Zaky, A.A.; Zhou, C.; Chen, Y.; Su, W.; Wang, H.; Abd El-Aty, A.M.; Tan, M. High internal phase Pickering emulsion stabilized by sea bass protein microgel particles: Food 3D printing application. Food Hydrocoll. 2022, 131, 107744. [Google Scholar] [CrossRef]
- Niu, J.; Zou, L.; Liu, W.; Liu, Z.; Liu, W.; Zhou, W.; Cao, Y.; Peng, S. Research progress of curcumin liposomes. Sci. Technol. Food Ind. 2014, 35, 352–356. [Google Scholar]
- Song, Y.; Zhou, L.; Zhang, D.; Wei, Y.; Jiang, S.; Chen, Y.; Ye, J.; Shao, X. Stability and release of peach polyphenols encapsulated by Pickering high internal phase emulsions in vitro and in vivo. Food Hydrocoll. 2023, 139, 108593. [Google Scholar] [CrossRef]






| Sample | K (min−1) | R2 | t1/2/min | ||||||
|---|---|---|---|---|---|---|---|---|---|
| UV | Dark | Vis | UV | Dark | Vis | UV | Dark | Vis | |
| Oil-Cur | 1.72 × 10−3 d | 1.25 × 10−2 e | 1.82 × 10−2 e | 0.994 | 0.993 | 0.966 | 40.3 | 55.4 | 38.1 |
| 0 mM | 0.84 × 10−3 c | 0.52 × 10−2 d | 1.06 × 10−2 d | 0.984 | 0.975 | 0.996 | 82.5 | 133.3 | 65.4 |
| 300 mM | 0.58 × 10−3 b | 0.44 × 10−2 c | 0.58 × 10−2 c | 0.971 | 0.991 | 0.960 | 119.5 | 157.5 | 119.5 |
| 500 mM | 0.57 × 10−3 b | 0.36 × 10−2 b | 0.47 × 10−2 b | 0.940 | 0.965 | 0.948 | 121.6 | 192.5 | 147.5 |
| 1000 mM | 0.55 × 10−3 a | 0.30 × 10−2 a | 0.44 × 10−2 a | 0.992 | 0.981 | 0.955 | 126.0 | 231.0 | 157.5 |
| Sample | K (min−1) | R2 | t1/2/min | ||||||
|---|---|---|---|---|---|---|---|---|---|
| UV | Dark | Vis | UV | Dark | Vis | UV | Dark | Vis | |
| Oil-Cur | 1.72 × 10−3 d | 1.25 × 10−2 d | 1.82 × 10−2 d | 0.994 | 0.993 | 0.966 | 40.3 | 55.4 | 38.1 |
| pH 6 | 0.97 × 10−3 b | 0.58 × 10−2 b | 1.30 × 10−2 b | 0.976 | 0.987 | 0.998 | 71.4 | 119.5 | 53.3 |
| pH 8 | 0.90 × 10−3 a | 0.52 × 10−2 a | 1.15 × 10−2 a | 0.991 | 0.988 | 0.999 | 77.0 | 133.3 | 60.2 |
| pH 10 | 1.06 × 10−3 c | 0.67 × 10−2 c | 1.53 × 10−2 c | 0.976 | 0.978 | 0.997 | 65.4 | 103.4 | 45.3 |
Disclaimer/Publisher’s Note: The statements, opinions and data contained in all publications are solely those of the individual author(s) and contributor(s) and not of MDPI and/or the editor(s). MDPI and/or the editor(s) disclaim responsibility for any injury to people or property resulting from any ideas, methods, instructions or products referred to in the content. |
© 2024 by the authors. Licensee MDPI, Basel, Switzerland. This article is an open access article distributed under the terms and conditions of the Creative Commons Attribution (CC BY) license (https://creativecommons.org/licenses/by/4.0/).
Share and Cite
Xie, Y.; Li, H.; Deng, Z.; Yu, Y.; Zhang, B. Enhanced Bioaccessibility and Antioxidant Activity of Curcumin from Transglutaminase Cross-Linked Mulberry Leaf Protein-Stabilized High-Internal-Phase Pickering Emulsion: In Vivo and In Vitro Studies. Foods 2024, 13, 3939. https://doi.org/10.3390/foods13233939
Xie Y, Li H, Deng Z, Yu Y, Zhang B. Enhanced Bioaccessibility and Antioxidant Activity of Curcumin from Transglutaminase Cross-Linked Mulberry Leaf Protein-Stabilized High-Internal-Phase Pickering Emulsion: In Vivo and In Vitro Studies. Foods. 2024; 13(23):3939. https://doi.org/10.3390/foods13233939
Chicago/Turabian StyleXie, Yingshan, Hongyan Li, Zeyuan Deng, Yanfang Yu, and Bing Zhang. 2024. "Enhanced Bioaccessibility and Antioxidant Activity of Curcumin from Transglutaminase Cross-Linked Mulberry Leaf Protein-Stabilized High-Internal-Phase Pickering Emulsion: In Vivo and In Vitro Studies" Foods 13, no. 23: 3939. https://doi.org/10.3390/foods13233939
APA StyleXie, Y., Li, H., Deng, Z., Yu, Y., & Zhang, B. (2024). Enhanced Bioaccessibility and Antioxidant Activity of Curcumin from Transglutaminase Cross-Linked Mulberry Leaf Protein-Stabilized High-Internal-Phase Pickering Emulsion: In Vivo and In Vitro Studies. Foods, 13(23), 3939. https://doi.org/10.3390/foods13233939

