The Mechanism Underlying the Increase in Bread Hardness in Association with Alterations in Protein and Starch Characteristics During Room-Temperature Storage
Abstract
1. Introduction
2. Materials and Methods
2.1. Materials
2.2. Treatment of Bread
2.3. Hardness Determination of Bread
2.4. Determination of Retrogradation Rate
2.5. Determination of Disulfide Bond Content
2.6. FTIR Spectroscopy
2.7. 13C Solid-State NMR Spectroscopy
2.8. X-Ray Powder Diffraction (XRD) Analysis
2.9. Differential Scanning Calorimetry (DSC) Analysis
2.10. Statistical Analysis
3. Results and Discussion
3.1. The Influence of Different Storage Dates on the Hardness of Different Brands of Bread
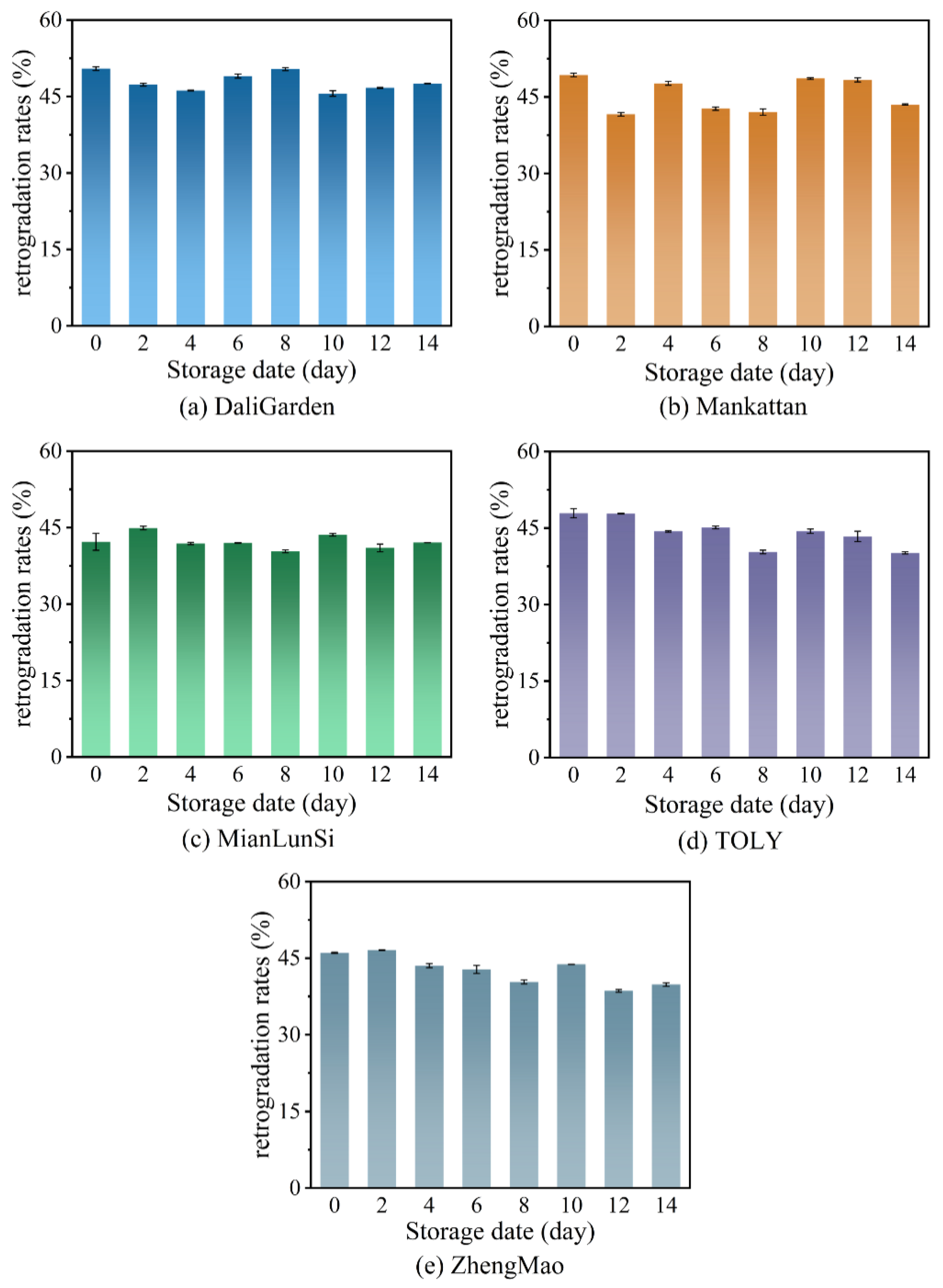
3.2. The Influence of Different Storage Dates on the Retrogradation Rates of Different Brands of Bread
3.3. FT-IR Spectra of All Breads Stored at Room Temperature for Different Durations
3.4. The 13C Solid-State NMR Spectra of All Breads Stored at Room Temperature for Different Times
3.5. X-Ray Diffraction of All Breads Stored at Room Temperature for Different Times
4. Conclusions
Supplementary Materials
Author Contributions
Funding
Data Availability Statement
Conflicts of Interest
References
- Abdelkader, A.F.; Hassanein, R.A.; Abo-Aly, M.M.; Attia, M.S.; Bakir, E.M. Screening the bio-safety of wheat produced from pretreated grains to enhance tolerance against drought using physiological and spectroscopic methods. Food Chem. Toxicol. 2010, 48, 1827–1835. [Google Scholar] [CrossRef]
- Santos, F.G.; Capriles, V.D. Relationships between dough thermomechanical parameters and physical and sensory properties of gluten-free bread texture during storage. LWT 2021, 139, 110577. [Google Scholar] [CrossRef]
- de Oliveira, L.d.L.; de Oliveira, G.T.; de Alencar, E.R.; Queiroz, V.A.V.; de Alencar Figueiredo, L.F. Physical, chemical, and antioxidant analysis of sorghum grain and flour from five hybrids to determine the drivers of liking of gluten-free sorghum breads. LWT 2022, 153, 112407. [Google Scholar] [CrossRef]
- Cingöz, A.; Akpinar, Ö.; Sayaslan, A. Effect of addition of wheat bran hydrolysate on bread properties. J. Food Sci. 2024, 89, 2567–2580. [Google Scholar] [CrossRef] [PubMed]
- Aleixandre, A.; Benavent-Gil, Y.; Velickova, E.; Rosell, C.M. Mastication of crisp bread: Role of bread texture and structure on texture perception. Food Res. Int. 2021, 147, 110477. [Google Scholar] [CrossRef]
- Carocho, M.; Morales, P.; Ciudad-Mulero, M.; Fernández-Ruiz, V.; Ferreira, E.; Heleno, S.; Rodrigues, P.; Barros, L.; Ferreira, I.C.F.R. Comparison of different bread types: Chemical and physical parameters. Food Chem. 2020, 310, 125954. [Google Scholar] [CrossRef]
- Kiumarsi, M.; Shahbazi, M.; Yeganehzad, S.; Majchrzak, D.; Lieleg, O.; Winkeljann, B. Relation between structural, mechanical and sensory properties of gluten-free bread as affected by modified dietary fibers. Food Chem. 2019, 277, 664–673. [Google Scholar] [CrossRef]
- Zhao, J.; Jin, S.; Zhang, Q.; Wang, F.; Lee, J.; Wang, D. Characterization of four chinese bread wheat varieties over five years. ACS Food Sci. Technol. 2021, 1, 770–777. [Google Scholar] [CrossRef]
- Zhang, P.; He, Z.; Zhang, Y.; Xia, X.; Liu, J.; Yan, J.; Zhang, Y. Pan bread and Chinese white salted noodle qualities of Chinese winter wheat cultivars and their relationship with gluten protein fractions. Cereal Chem. 2007, 84, 370–378. [Google Scholar] [CrossRef]
- Aoki, N.; Umemoto, T.; Okamoto, K.; Suzuki, Y.; Tanaka, J. Mutants that have shorter amylopectin chains are promising materials for slow-hardening rice bread. J. Cereal Sci. 2015, 61, 105–110. [Google Scholar] [CrossRef]
- Zhang, Y.; Liu, X.; Yu, J.; Fu, Y.; Liu, X.; Li, K.; Yan, D.; Barba, F.J.; Ferrer, E.; Wang, X.; et al. Effects of Wheat Oligopeptide on the Baking and Retrogradation Properties of Bread Rolls: Evaluation of Crumb Hardness, Moisture Content, and Starch Crystallization. Foods 2024, 13, 397. [Google Scholar] [CrossRef] [PubMed]
- Hayes, A.M.; Okoniewska, M.; Martinez, M.M.; Zhao, B.; Hamaker, B.R. Investigating the potential of slow-retrograding starches to reduce staling in soft savory bread and sweet cake model systems. Food Res. Int. 2020, 138, 109745. [Google Scholar] [CrossRef] [PubMed]
- Tran, P.L.; Park, E.-J.; Hong, J.-S.; Lee, C.-K.; Kang, T.; Park, J.-T. Mechanism of action of three different glycogen branching enzymes and their effect on bread quality. Int. J. Biol. Macromol. 2024, 256, 128471. [Google Scholar] [CrossRef]
- Iacovino, S.; Quiquero, M.; De Arcangelis, E.; Cuomo, F.; Trivisonno, M.C.; Messia, M.C.; Marconi, E. Physico-chemical and nutritional properties of different high-amylose wheat breads. J. Cereal Sci. 2024, 117, 103919. [Google Scholar] [CrossRef]
- Woo, S.-H.; Shin, Y.-J.; Jeong, H.-M.; Kim, J.-S.; Ko, D.-S.; Hong, J.S.; Choi, H.-D.; Shim, J.-H. Effects of maltogenic amylase from Lactobacillus plantarum on retrogradation of bread. J. Cereal Sci. 2020, 93, 102976. [Google Scholar] [CrossRef]
- Blazek, J.; Copeland, L. Amylolysis of wheat starches. II. Degradation patterns of native starch granules with varying functional properties. J. Cereal Sci. 2010, 52, 295–302. [Google Scholar] [CrossRef]
- Cao, H.; Wang, X.; Wang, X.; Guan, X.; Huang, K.; Zhang, Y. Effect of storage conditions on the textural properties and in vitro digestibility of wheat bread containing whole quinoa flour. Food Biosci. 2022, 49, 101921. [Google Scholar] [CrossRef]
- He, Z.; Wang, D.; Lian, X.; Guo, J.; Zhu, W. The anti-retrogradation properties of maize amylopectin treated by being co-crystallized with NaCl. Int. J. Biol. Macromol. 2022, 219, 508–518. [Google Scholar] [CrossRef]
- Zhu, J.; Li, L.; Zhao, L.; Song, L.; Li, X. Effects of freeze–thaw cycles on the structural and thermal properties of wheat gluten with variations in the high molecular weight glutenin subunit at the Glu-B1 locus. J. Cereal Sci. 2019, 87, 266–272. [Google Scholar] [CrossRef]
- Baik, M.-Y.; Dickinson, L.C.; Chinachoti, P. Solid-state 13C CP/MAS NMR studies on aging of starch in white bread. J. Agric. Food Chem. 2003, 51, 1242–1248. [Google Scholar] [CrossRef]
- Ringsted, T.; Siesler, H.W.; Engelsen, S.B. Monitoring the staling of wheat bread using 2D MIR-NIR correlation spectroscopy. J. Cereal Sci. 2017, 75, 92–99. [Google Scholar] [CrossRef]
- Golea, C.M.; Codină, G.G.; Oroian, M. Prediction of wheat flours composition using fourier transform infrared spectrometry (FT-IR). Food Control 2023, 143, 109318. [Google Scholar] [CrossRef]
- He, Z.; Wang, H.; Lian, X. Isolation and characterization of four protein fractions of gluten by conventional methods. J. Food Compos. Anal. 2024, 131, 106271. [Google Scholar] [CrossRef]
- Rincón-Aguirre, A.; de Dios Figueroa-Cárdenas, J.; Ramírez-Wong, B.; Ibba, M.I.; Cruz, E.M. Nixtamalization of durum wheat and the effect on protein secondary structure, gliadins, dough, and breadmaking quality. J. Cereal Sci. 2022, 107, 103539. [Google Scholar] [CrossRef]
- Chaudhary, N.; Virdi, A.S.; Dangi, P.; Khatkar, B.S.; Mohanty, A.K.; Singh, N. Protein, thermal and functional properties of α-, γ-and ω-gliadins of wheat and their effect on bread making characteristics. Food Hydrocoll. 2022, 124, 107212. [Google Scholar] [CrossRef]
- Rakhshi, E.; Falourd, X.; Morel, M.-H.; Lucas, T.; Rondeau-Mouro, C. Multiscale analysis of hydrated gluten structure and phase distribution under thermal treatments. Eur. Food Res. Technol. 2024, 250, 1201–1217. [Google Scholar] [CrossRef]
- Corrado, M.; Koev, T.T.; Savva, G.M.; Khimyak, Y.Z.; Hazard, B.A. Starch characteristics and baking quality of chilled ready-to-eat sandwich bread made with starch branching enzyme II mutant wheat flour. Food Hydrocoll. 2024, 147, 109390. [Google Scholar] [CrossRef]
- Sivam, A.S.; Waterhouse, G.I.; Zujovic, Z.D.; Perera, C.O.; Sun-Waterhouse, D. Structure and dynamics of wheat starch in breads fortified with polyphenols and pectin: An ESEM and solid-state CP/MAS 13 C NMR spectroscopic study. Food Bioprocess Technol. 2013, 6, 110–123. [Google Scholar] [CrossRef]
- Zhao, J.; Wang, D.; Zhang, L.; Lian, X. Study on the mechanism of structure modification of amylopectin co-crystalized by sodium chloride to promote disulfide bond formation of alkali-soluble glutenin. Food Hydrocoll. 2024, 146. [Google Scholar] [CrossRef]
- Zhao, T.; Li, X.; Zhu, R.; Ma, Z.; Liu, L.; Wang, X.; Hu, X. Effect of natural fermentation on the structure and physicochemical properties of wheat starch. Carbohydr. Polym. 2019, 218, 163–169. [Google Scholar] [CrossRef]
- Sun, X.; Sun, Z.; Saleh, A.S.; Zhao, K.; Ge, X.; Shen, H.; Zhang, Q.; Yuan, L.; Yu, X.; Li, W. Understanding the granule, growth ring, blocklets, crystalline and molecular structure of normal and waxy wheat A-and B-starch granules. Food Hydrocoll. 2021, 121, 107034. [Google Scholar] [CrossRef]
- Zhang, H.; Wang, H.; Zhang, Q.; Wang, T.; Feng, W.; Chen, Z.; Luo, X.; Wang, R.J.F.C. Fabrication and characterization of starch-lipid complexes using chain-elongated waxy corn starches as substrates. Food Chem. 2023, 398, 133847. [Google Scholar] [CrossRef] [PubMed]
- Tian, Y.; Yang, N.; Li, Y.; Xu, X.; Zhan, J.; Jin, Z. Potential interaction between β-cyclodextrin and amylose–lipid complex in retrograded rice starch. Carbohydr. Polym. 2010, 80, 581–584. [Google Scholar] [CrossRef]
- Guo, J.; Yang, L.; Wang, D.; Lian, X.; Liu, C. Research on the influences of two alcohol soluble glutenins on the retrogradation of wheat amylopectin/amylose. Int. J. Biol. Macromol. 2021, 183, 463–472. [Google Scholar] [CrossRef]
- Wang, X.; Lao, X.; Bao, Y.; Guan, X.; Li, C. Effect of whole quinoa flour substitution on the texture and in vitro starch digestibility of wheat bread. Food Hydrocoll. 2021, 119, 106840. [Google Scholar] [CrossRef]
- Yang, L.; Wen, Y.; Wang, D.; Lian, X.; Guo, J.; Zhao, Z.; Deng, J.J.S.S. Effects of αβ+ ω1, 2-Gliadin and ω5-Gliadin on Retrogradation of Wheat Amylose/Amylopectin. Starch 2021, 73, 2100001. [Google Scholar] [CrossRef]





| Sample | α-Helix | Intermolecular β-Sheet | Intra-Molecular Aggregation Extended β-Sheet | β-Turn | Random Coil |
|---|---|---|---|---|---|
| DaliGarden day 0 | 0 | 17.36 | 17.20 | 7.58 | 57.86 |
| DaliGarden day 8 | 0 | 41.05 | 46.53 | 12.41 | 0 |
| DaliGarden day 14 | 0 | 15.14 | 16.83 | 8.47 | 59.55 |
| Mankattan day 0 | 0 | 0 | 22.00 | 78.00 | 0 |
| Mankattan day 8 | 0 | 5.81 | 79.14 | 15.05 | 0 |
| Mankattan day 14 | 0 | 86.46 | 13.54 | 0 | 0 |
| MianLunSi day 0 | 81.05 | 0 | 18.95 | 0 | 0 |
| MianLunSi day 8 | 0 | 4.16 | 84.68 | 11.16 | 0 |
| MianLunSi day 14 | 0 | 43.02 | 47.53 | 9.45 | 0 |
| TOLY day 0 | 0 | 40.28 | 59.72 | 0 | 0 |
| TOLY day 8 | 0 | 35.16 | 64.84 | 0 | 0 |
| TOLY day 14 | 0 | 29.77 | 70.23 | 0 | 0 |
| ZhengMao day 0 | 83.73 | 0 | 16.27 | 0 | 0 |
| ZhengMao day 8 | 0 | 0 | 12.79 | 87.21 | 0 |
| ZhengMao day 14 | 0 | 35.62 | 64.38 | 0 | 0 |
| Sample | Storage Date (Day) | ||
|---|---|---|---|
| 0 | 8 | 14 | |
| DaliGarden | 0.61 ± 0.01 | 0.53 ± 0.00 * | 0.36 ± 0.01 ** |
| Mankattan | 0.31 ± 0.02 | 0.22 ± 0.00 * | 0.29 ± 0.01 * |
| MianLunSi | 0.16 ± 0.01 | 0.07 ± 0.01 * | 0.03 ± 0.02 |
| TOLY | 0.53 ± 0.03 | 0.12 ± 0.01 ** | 0.05 ± 0.03 |
| ZhengMao | 0.45 ± 0.02 | 0.15 ± 0.03 * | 0.13 ± 0.03 |
| Sample | Tp1 (°C) | ΔH1 (J/g) | Tp2 (°C) | ΔH2 (J/g) |
|---|---|---|---|---|
| DaliGarden day 0 | 104.40 ± 0.09 | 77.69 ± 1.82 | 216.84 ± 0.09 | 13.34 ± 1.17 |
| DaliGarden day 8 | 107.15 ± 0.17 ** | 73.17 ± 6.48 | 215.93 ± 0.34 | 13.26 ± 0.67 |
| DaliGarden day 14 | 101.30 ± 0.52 ** | 83.63 ± 0.40 | 216.27 ± 6.47 | 18.8 ± 2.12 |
| Mankattan day 0 | 101.61 ± 0.33 | 96.43 ± 2.39 | 210.49 ± 0.43 | 15.98 ± 0.60 |
| Mankattan day 8 | 100.97 ± 1.67 | 86.41 ± 0.22 | 208.08 ± 0.00 | 20.71 ± 0.70 * |
| Mankattan day 14 | 102.45 ± 0.15 | 77.10 ± 0.08 ** | 208.29 ± 0.30 | 23.23 ± 0.61 |
| MianLunSi day 0 | 99.97 ± 0.01 | 63.25 ± 2.08 | 209.72 ± 1.00 | 24.14 ± 0.10 |
| MianLunSi day 8 | 100.32 ± 1.00 | 56.89 ± 1.05 | 207.41 ± 0.16 | 27.82 ± 0.11 ** |
| MianLunSi day 14 | 97.95 ± 1.32 | 79.19 ± 9.15 | 208.29 ± 0.10 * | 28.56 ± 0.79 |
| TOLY day 0 | 106.38 ± 0.59 | 63.04 ± 0.68 | 210.46 ± 0.44 | 28.47 ± 0.13 |
| TOLY day 8 | 106.12 ± 0.20 | 60.62 ± 0.04 | 211.69 ± 0.39 | 27.68 ± 0.70 |
| TOLY day 14 | 104.24 ± 1.58 | 75.6 ± 2.40 * | 211.94 ± 0.17 | 29.6 ± 1.61 |
| ZhengMao day 0 | 100.31 ± 0.33 | 58.57 ± 0.88 | 212.49 ± 0.27 | 24.18 ± 1.57 |
| ZhengMao day 8 | 99.47 ± 1.16 | 73.88 ± 9.81 | 213.48 ± 0.08 | 19.27 ± 0.15 |
| ZhengMao day 14 | 97.63 ± 1.01 | 70.22 ± 0.37 | 214.39 ± 0.20 | 19.61 ± 3.07 |
Disclaimer/Publisher’s Note: The statements, opinions and data contained in all publications are solely those of the individual author(s) and contributor(s) and not of MDPI and/or the editor(s). MDPI and/or the editor(s) disclaim responsibility for any injury to people or property resulting from any ideas, methods, instructions or products referred to in the content. |
© 2024 by the authors. Licensee MDPI, Basel, Switzerland. This article is an open access article distributed under the terms and conditions of the Creative Commons Attribution (CC BY) license (https://creativecommons.org/licenses/by/4.0/).
Share and Cite
Wang, H.; Liu, W.; Zhang, P.; Lian, X. The Mechanism Underlying the Increase in Bread Hardness in Association with Alterations in Protein and Starch Characteristics During Room-Temperature Storage. Foods 2024, 13, 3921. https://doi.org/10.3390/foods13233921
Wang H, Liu W, Zhang P, Lian X. The Mechanism Underlying the Increase in Bread Hardness in Association with Alterations in Protein and Starch Characteristics During Room-Temperature Storage. Foods. 2024; 13(23):3921. https://doi.org/10.3390/foods13233921
Chicago/Turabian StyleWang, Huaiwen, Wei Liu, Peipei Zhang, and Xijun Lian. 2024. "The Mechanism Underlying the Increase in Bread Hardness in Association with Alterations in Protein and Starch Characteristics During Room-Temperature Storage" Foods 13, no. 23: 3921. https://doi.org/10.3390/foods13233921
APA StyleWang, H., Liu, W., Zhang, P., & Lian, X. (2024). The Mechanism Underlying the Increase in Bread Hardness in Association with Alterations in Protein and Starch Characteristics During Room-Temperature Storage. Foods, 13(23), 3921. https://doi.org/10.3390/foods13233921
