Production of α-Glycerylphosphorylcholine in Fermented Roots, Tubers, and Fruits
Abstract
1. Introduction
2. Materials and Methods
2.1. Materials
2.2. Gelatinization
2.3. Saccharification and Fermentation
2.4. Moisture Content Determination
2.5. Organic Solutes Determination via 1H-NMR Spectroscopy
2.6. Statistical Analysis
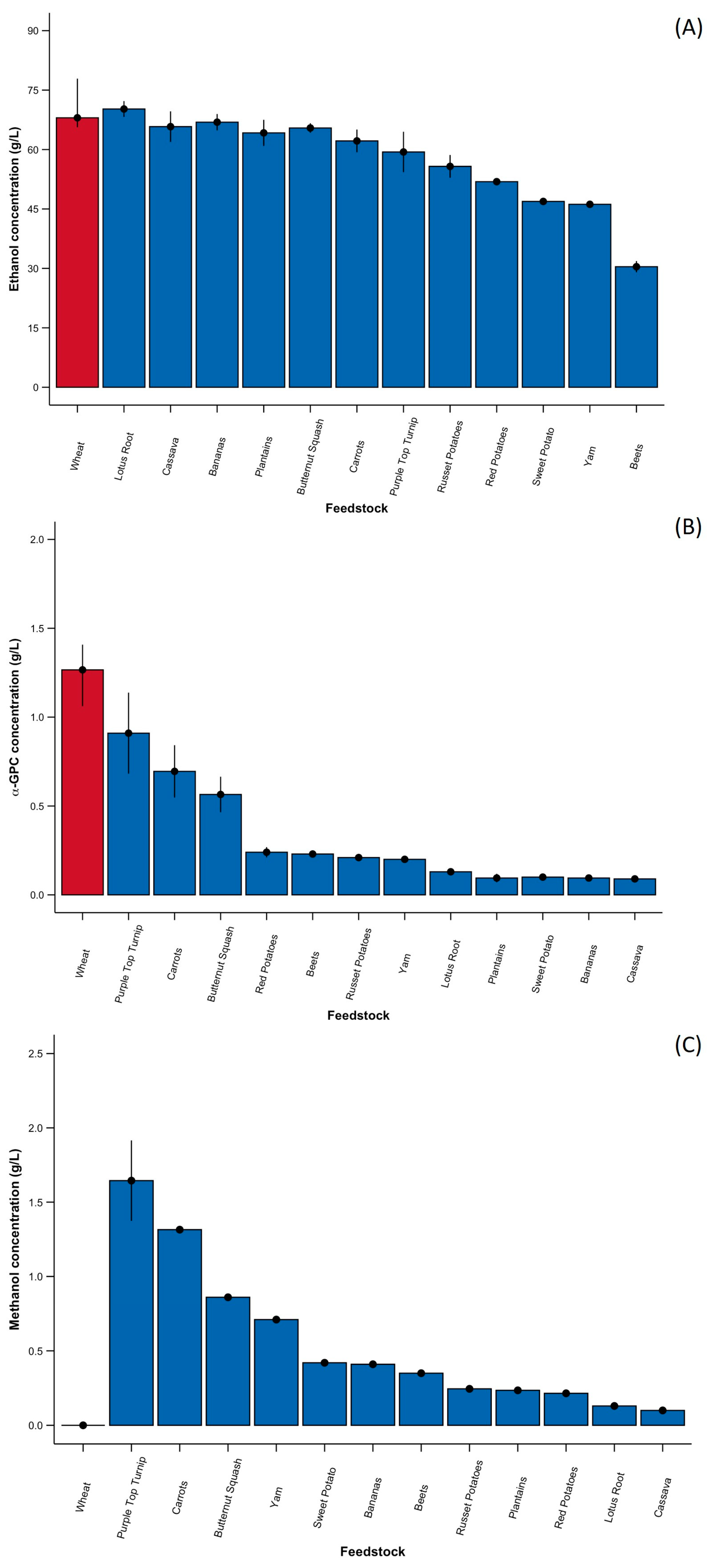
3. Results and Discussion
4. Conclusions
Supplementary Materials
Author Contributions
Funding
Institutional Review Board Statement
Informed Consent Statement
Data Availability Statement
Acknowledgments
Conflicts of Interest
References
- OECD. OCED Green Growth Studies: Energy. 2011. Available online: https://www.oecd.org/greengrowth/greening-energy/49157219.pdf (accessed on 13 March 2023).
- Tse, T.J.; Wiens, D.J.; Reaney, M.J.T. Production of bioethanol—A review of factors affecting ethanol yield. Fermentation 2021, 7, 268. [Google Scholar] [CrossRef]
- Arifin, Y.; Tanudjaja, E.; Dimyati, A.; Pinontoan, R. A second generation biofuel from cellulosic agricultural by-product fermentation using clostridium species for electricity generation. Energy Procedia 2014, 47, 310–315. [Google Scholar] [CrossRef][Green Version]
- Daryanto, S.; Wang, L.; Jacinthe, P.-A. Global synthesis of drought effects on cereal, legume, tuber, and root crops production: A review. Agric. Water Manag. 2017, 179, 18–33. [Google Scholar] [CrossRef]
- Lutaladio, N.; Castaldi, L. Potato: The hidden treasure. J. Food Compos. Anal. 2009, 22, 491–493. [Google Scholar] [CrossRef]
- Nasier, M.W.; Toth, Z. Effect of drought stress on potato production: A review. Agronomy 2022, 12, 635. [Google Scholar] [CrossRef]
- Hoover, R. Composition, Molecular Structure and Physicochemical Properties of Tuber and Root Starches—A Review. Carbohydr. Polym. 2001, 45, 53–267. [Google Scholar] [CrossRef]
- Zhang, L.; Zhao, H.; Gan, M.; Jin, Y.; Gao, X.; Chen, Q.; Guan, J.; Wang, Z. Application of Simultaneous Saccharification and Fermentation (SSF) from Viscosity Reducing of Raw Sweet Potato for Bioethanol Production at Laboratory, Pilot and Industrial Scales. Bioresour. Technol. 2011, 102, 4573–4579. [Google Scholar] [CrossRef]
- Alvarenga, R.M.; Carrara, A.G.; Silva, C.M.; Oliveira, E.S. Potential application of Saccharomyces cerevisiae strains for the fermentation of banana pulp. Afr. J. Biotechnol. 2011, 10, 3608–3615. [Google Scholar] [CrossRef]
- U.S. Department of Agriculture, Agricultural Research Service. FoodData Central. 2024. Available online: https://fdc.nal.usda.gov (accessed on 5 May 2024).
- Oyeneye, A.; Shen, J.; Shim, Y.Y.; Tse, T.J.; Reaney, M.J.T. Production of α-glycerylphosphorylcholine and other compounds from wheat fermentation. ACS Omega 2020, 5, 12486–12494. [Google Scholar] [CrossRef] [PubMed]
- Tse, T.J.; Wiens, D.J.; Shen, J.; Reaney, M.J.T. Saccharomyces cerevisiae fermentation of 28 barley and 12 oat cultivars. Fermentation 2021, 7, 59. [Google Scholar] [CrossRef]
- Vučurović, V.M.; Razmovski, R.N. Sugar beet pulp as support for Saccharomyces cerevisiae immobilization in bioethanol production. Ind. Crops Prod. 2012, 39, 128–134. [Google Scholar] [CrossRef]
- Walla, N.K.; Sekhon, K.K.; Cameotra, S.S.; Chaudhary, D.P.; Srivastava, P.; Dutta, A. Optimization of fermentation parameters for bioconversion of corn to ethanol using response surface methodology. Pet. Environ. Biotechnol. 2014, 5, 3. [Google Scholar] [CrossRef]
- Tse, T.J.; Wiens, D.J.; Chicilo, F.; Purdy, S.K.; Reaney, M.J.T. Value-added products from ethanol fermentation—A review. Fermentation 2021, 7, 267. [Google Scholar] [CrossRef]
- Ratanapariyanuch, K.; Shim, Y.Y.; Emami, S.; Reaney, M.J.T. Production of protein concentrate and 1,3-propanediol by wheat-based thin stillage fermentation. J. Agric. Food Chem. 2017, 65, 3858–3867. [Google Scholar] [CrossRef] [PubMed]
- Tse, T.J.; Shen, J.; Shim, Y.Y.; Reaney, M.J.T. Changes in bacterial populations and their metabolism over 90 sequential cultures on wheat-based thin stillage. J. Agric. Food Chem. 2020, 68, 4717–4729. [Google Scholar] [CrossRef] [PubMed]
- Amenta, F.; Parentti, L.; Gallai, V.; Wallin, A. Treatment of cognitive dysfunction associated with Alzheimer’s disease with cholinergic precursors. Ineffective treatments or inappropriate approaches? Mech. Ageing Dev. 2001, 122, 2025–2040. [Google Scholar] [CrossRef] [PubMed]
- AC Immune. Alzheimer’s Disease. 2023. Available online: https://www.acimmune.com/pipeline/therapeutic-focus/#alzheimer-disease (accessed on 15 November 2023).
- Kim, H.J.; Song, Y.S.; Song, E.S.; Kang, D.S.; Song, I.W.; Kang, P.G.; Oh, S.S.; Moon, S.C.; Lee, B.G. A Process for Preparation of I-Alpha-Glycerophosphoryl Choline. W.O. Patent 2007145476 A1, 14 June 2017. [Google Scholar]
- Zhang, K.; Liu, Y.; Wang, X. Enzymatic preparation of L-α-Glycerylphosphorylcholine in an aqueous medium. Eur. J. Lipid Sci. Technol. 2012, 114, 1254–1260. [Google Scholar] [CrossRef]
- Kim, J.; Song, Y.; Lee, S.J.; Lee, J.E.; Chung, M.-Y.; Kim, I.-H.; Kim, B.H. Enzymatic preparation of food-grade L-α-glycerylphosphorylcholine from soy phosphatidylcholine or fractionated soy lecithin. Biotechnol. Prog. 2020, 36, e2910. [Google Scholar] [CrossRef]
- Bang, H.-J.; Kim, I.-H.; Kim, B.H. Phospholipase A 1-catalyzed hydrolysis of soy phosphatidylcholine to prepare l-α-glycerylphosphorylcholine in organic-aqueous media. Food Chem. 2016, 190, 201–206. [Google Scholar] [CrossRef] [PubMed]
- Yang, Y.R.; Jang, H.-J.; Ryu, S.H.; Suh, P.-G. Phospholipases in Health and Disease. In Phospholipases in Health and Disease; Springer International Publishing: Berlin/Heidelberg, Germany, 2014; Volume 10, pp. 3–38. [Google Scholar]
- Lu, Y.; Zhang, A.; Wang, X.; Hao, N.; Chen, K.; Ouyang, P. Surfactant enhanced l-α-glycerylphosphorylcholine production from phosphatidylcholine using phospholipase A1 in the aqueous phase. Biocatal. Biotransform. 2019, 37, 361–366. [Google Scholar] [CrossRef]
- Wood, L. Global Brain Health Supplements Market, 2017 to 2025—ResearchAndMarkets.com. Available online: https://www.businesswire.com/news/home/20180404005510/en/Global-Brain-Health-Supplements-Market-2017-2025 (accessed on 27 May 2024).
- Brown, G.D.; Bauer, J.; Osborn, H.M.I.; Kuemmerle, R. A solution NMR approach to determine the chemical structures of carbohydrates using the hydroxyl groups as starting points. ACS Omega 2018, 3, 17957–17975. [Google Scholar] [CrossRef] [PubMed]
- Stolz, M.; Schlawne, C.; Hoffmann, J.; Hartman, V.; Marini, I.; Fritsche, A.; Peter, A.; Bakchoul, T.; Schick, F. Feasibility of precise and reliable glucose quantification in human whole blood samples by 1 tesla benchtop NMR. NMR Biomed. 2020, 33, e4358. [Google Scholar] [CrossRef] [PubMed]
- Rudd, T.; Skidmore, M.A.; Yates, E.A. Chapter 12—Surface-Based Studies of Heparin/Heparan Sulfate-Protein Interactions: Considerations for Surface Immobilisation of HS/Heparin Saccharides and Monitoring Their Interactions with Binding Proteins. In Chemistry and Biology of Heparin and Heparana Sulfate; Garg, H.G., Linhardt, R.J., Hales, C.A., Eds.; Elsevier Science: Amsterdam, The Netherlands, 2005; pp. 345–366. [Google Scholar]
- Wickham, H. ggplot2: Elegant Grpahics for Data Analysis; Spring: New York, NY, USA, 2016; ISBN 978-3-319-24277-4. Available online: https://ggplot2.tidyverse.org (accessed on 13 May 2024).
- Wickham, H.; François, R.; Henry, L.; Müller, K.; Vaughan, D. dplyr: A Grammar of Data Manipulation. R Package Version 1.1.4. 2023. Available online: https://dplyr.tidyverse.org (accessed on 13 May 2024).
- Komlaga, G.A.; Oduro, I.; Ellis, W.O.; Dziedzoave, N.T.; Djameh, C. Alcohol yield from various combinations of cassava and sweet potato flours. Afr. J. Food Sci. 2021, 15, 20–25. [Google Scholar] [CrossRef]
- Weihrauch, J.L.; Son, Y.S. Phospholipid content of foods. J. Am. Oil Chem. Soc. 1983, 60, 1971–1978. [Google Scholar] [CrossRef]
- Patterson, K.Y.; Bhagwat, S.A.; Williams, J.R.; Howe, J.C.; Holden, J.M. USDA Database for the Choline Content of Common Foods; United States Department of Agriculture: Washington, DC, USA, 2008. Available online: https://www.ars.usda.gov/ARSUserFiles/80400525/data/choline/choln02.pdf (accessed on 24 February 2023).
- Hashem, M.; Darwish, S.M.I. Production of bioethanol and associated by-products from potato starch residue stream by Saccharomyces cerevisiae. Biomass Bioenergy 2010, 34, 953–959. [Google Scholar] [CrossRef]
- Drapcho, C.M.; Nhuan, P.N.; Walker, T. (Eds.) Biofuels Engineering Process Technology; McGraw-Hill: New York, NY, USA, 2008. [Google Scholar]
- Lareo, C.; Ferrari, M.D.; Guigou, M.; Fajardo, L.; Larnaudie, V.; Ramírez, M.B.; Martínez-Garreiro, J. Evaluation of Sweet Potato for Fuel Bioethanol Production: Hydrolysis and Fermentation; SpringerPlus: Cham, Switzerland, 2013. [Google Scholar]
- Osuji, C.; Nwanekezi, E.C.; Amadi, E.M.; Osuji, C.A. Yield of Ethanol from Enzyme-Hydrolyzed Yam (Dioscorea rotundata) and Cocoyam (Xanthosoma sagittifolium) Flours. Niger. Food J. 2010, 28, 62644. [Google Scholar] [CrossRef]
- Koutola, H.; Pirttijärvi, T. (Eds.) Recent Applications in Bioprocess Engineering; HAMK University of Applied Sciences: Hämeenlinna, Finland, 2005. [Google Scholar]
- Thatoi, H.; Dash, P.K.; Mohapatra, S.; Swain, M.R. Bioethanol production from tuber crops using fermentation technology: A review. Int. J. Sustain. Energy 2015, 35, 443–468. [Google Scholar] [CrossRef]
- Wang, Z.; Xia, S.; Wang, C.; Cui, C.; Kang, S.; Zheng, A.; Zeng, K.; Zhao, Z. Sustainable production of methanol from one-pot catalytic conversion of cellulose over non-precious copper-based catalysts. Fuel 2022, 322, 123882. [Google Scholar] [CrossRef]
- Hayakawa, K.; Matsuda, F.; Shimizu, H. Metabolome analysis of Saccharomyces cerevisiae and optimization of culture medium for S-adenosyl-L-methionine production. AMB Express 2016, 6, 38. [Google Scholar] [CrossRef]
- Xiao, C.; Anderson, C.T. Roles of pectin in biomass yield and processing for biofuels. Front. Plant Sci. 2013, 4, 67. [Google Scholar] [CrossRef]
- Bush, M.S.; McCann, M.C. Pectic epitopes are differentially distributed in the cell walls of potato (Solanum tuberosum) tubers. Physiol. Plant. 1999, 107, 201–213. [Google Scholar] [CrossRef]
- Ross, J.K.; English, C.; Perlmutter, C.A. Dietary fiber constituents of selected fruits and vegetables. J. Am. Diet. Assoc. 1985, 85, 1111–1116. [Google Scholar] [CrossRef]
- Han, Y.; Du, J. Relationship of the methanol production, pectin and pectinase activity during apple wine fermentation and aging. Food Res. Int. 2022, 159, 111645. [Google Scholar] [CrossRef] [PubMed]
- Yang, J.-S.; Mu, T.-H.; Ma, M.-M. Extraction, structure, and emulsifying properties of pectin from potato pulp. Food Chem. 2018, 244, 197–205. [Google Scholar] [CrossRef] [PubMed]
- Beckner, M.; Ivey, M.L.; Phister, T.G. Microbial contamination of fuel ethanol fermentations. Lett. Appl. Microbiol. 2011, 53, 387–394. [Google Scholar] [CrossRef] [PubMed]
- Dorokhov, Y.L.; Shindyapina, A.V.; Sheshukova, E.V.; Komarova, T.V. Metabolic methanol: Molecular pathways and physiological roles. Physiol. Rev. 2015, 95, 603–644. [Google Scholar] [CrossRef]
- Okano, K.; Sato, Y.; Inoue, S.; Kawakami, S.; Kitani, S.; Honda, K. Enhancement of S-adenosylmethionine-dependent methylation by integrating methanol metabolism with 5-methyl-tetrahydrofolate formation in Escherichia coli. Catalysts 2020, 10, 1001. [Google Scholar] [CrossRef]
- Detich, N.; Hamm, S.; Just, G.; David Knox, J.; Szyf, M. The methyl donor S- adenosylmethionine inhibits active demethylation of DNA: A candidate novel mechanism for the pharmacological effects of S-adenosylmethionine. J. Biol. Chem. 2003, 278, 20812–20820. [Google Scholar] [CrossRef]
- Stekol, J.A.; Anderson, E.I.; Weiss, S. S-adenosyl-L-methionine in the synthesis of choline, creatine, and cysteine in vivo and in vitro. J. Biol. Chem. 1958, 233, 425–429. [Google Scholar] [CrossRef]
- Visioli, F.; Colombo, C.; Monti, S.; Giulidori, P.; Galli, C. S-adenosyl-L-methionine: Role in phosphatidylcholine synthesis and in vitro effects on the ethanol-induced alterations of lipid metabolism. Pharmacol. Res. 1998, 37, 203–206. [Google Scholar] [CrossRef]
- Widodo, Y.; Wahyuningsih, S.; Ueda, A. Sweet potato production for bio-ethanol and food related industry in Indonesia: Challenges for sustainability. Procedia Chem. 2015, 14, 493–500. [Google Scholar] [CrossRef]
- Emaga, T.H.; Bindelle, J.; Agneesens, R.; Buldgen, A.; Wathelet, B.; Paquot, M. Ripening influences banana and plantain peels composition and energy content. Trop. Anim. Health Prod. 2011, 43, 171–177. [Google Scholar] [CrossRef] [PubMed]


| Sample | Moisture Content (%) | Carbohydrate Content (per 100 g) * |
|---|---|---|
| Banana | 75.97 ± 0.65 | 22.8 |
| Beet | 83.82 ± 0.23 | 9.56 |
| Carrot | 87.02 ± 0.27 | 9.08 |
| Cassava | 57.76 ± 2.78 | 38.1 |
| Butternut Squash | 90.64 ± 0.40 | 11.7 |
| Large Sweet Potato | 71.10 ± 0.48 | 20.1 |
| Lotus Root | 85.82 ± 0.33 | 17.2 |
| Plantain | 60.44 ± 0.92 | 31.9 |
| Purple Top Turnip | 92.13 ± 0.26 | 6.43 |
| Red Potato | 82.71 ± 2.82 | 15.9 |
| Russet Potato | 78.42 ± 1.50 | 17.5 |
| Yam | 82.05 ± 0.69 | 27.9 |
| Organic Solute | Chemical Shift (ppm) |
|---|---|
| Ethanol | 1.07 |
| Lactic Acid | 1.25 |
| Acetic Acid | 1.95 |
| Succinic Acid | 2.50 |
| Methanol | 3.16 |
| α-GPC | 3.11 |
| Glycerol | 3.45 |
| Pyrazine (internal standard) | 8.5 |
| Deuterium Oxide (solvent) | 4.7 |
| RSQ | |||
|---|---|---|---|
| Ethanol | GPC | Methanol | |
| Ethanol | ------ | 0.011 | 0.002 |
| GPC | 0.011 | ------ | 0.876 |
| Methanol | 0.002 | 0.876 | ------ |
| Slope | |||
| Ethanol | ------ | 0.00 | 0.00 |
| GPC | 4.39 | ------ | 1.70 |
| Methanol | 1.15 | 0.52 | ------ |
Disclaimer/Publisher’s Note: The statements, opinions and data contained in all publications are solely those of the individual author(s) and contributor(s) and not of MDPI and/or the editor(s). MDPI and/or the editor(s) disclaim responsibility for any injury to people or property resulting from any ideas, methods, instructions or products referred to in the content. |
© 2024 by the authors. Licensee MDPI, Basel, Switzerland. This article is an open access article distributed under the terms and conditions of the Creative Commons Attribution (CC BY) license (https://creativecommons.org/licenses/by/4.0/).
Share and Cite
Tse, T.J.; Chicilo, F.; Wiens, D.J.; Shen, J.; Anleu Alegria, J.; Kim, Y.J.; Hong, J.Y.; Kim, J.K.; Shin, E.-C.; Reaney, M.J.T.; et al. Production of α-Glycerylphosphorylcholine in Fermented Roots, Tubers, and Fruits. Foods 2024, 13, 3085. https://doi.org/10.3390/foods13193085
Tse TJ, Chicilo F, Wiens DJ, Shen J, Anleu Alegria J, Kim YJ, Hong JY, Kim JK, Shin E-C, Reaney MJT, et al. Production of α-Glycerylphosphorylcholine in Fermented Roots, Tubers, and Fruits. Foods. 2024; 13(19):3085. https://doi.org/10.3390/foods13193085
Chicago/Turabian StyleTse, Timothy J., Farley Chicilo, Daniel J. Wiens, Jianheng Shen, Javier Anleu Alegria, Young Jun Kim, Ji Youn Hong, Jae Kyeom Kim, Eui-Cheol Shin, Martin J. T. Reaney, and et al. 2024. "Production of α-Glycerylphosphorylcholine in Fermented Roots, Tubers, and Fruits" Foods 13, no. 19: 3085. https://doi.org/10.3390/foods13193085
APA StyleTse, T. J., Chicilo, F., Wiens, D. J., Shen, J., Anleu Alegria, J., Kim, Y. J., Hong, J. Y., Kim, J. K., Shin, E.-C., Reaney, M. J. T., & Shim, Y. Y. (2024). Production of α-Glycerylphosphorylcholine in Fermented Roots, Tubers, and Fruits. Foods, 13(19), 3085. https://doi.org/10.3390/foods13193085

