Alginate/Pectin Film Containing Extracts Isolated from Cranberry Pomace and Grape Seeds for the Preservation of Herring
Abstract
1. Introduction
2. Materials and Methods
2.1. Materials and Chemicals
2.2. Test Microorganisms
2.3. Preparation of Alginate/Pectin Films with Extracts
2.4. Evaluation of Antimicrobial Properties of Film via the Agar Diffusion Method
2.5. Preparation of Herring Fillets
2.6. Determination of Tested Microorganism Counts in Herring
2.7. Determination of Biogenic Amines (BAs)
2.8. Determination of the Total Volatile Basic Nitrogen (TVN)
2.9. pH Measurements
2.10. Determination of Thiobarbituric Acid-Reactive Substances (TBARS)
2.11. Statistical Analysis
3. Results and Discussion
3.1. Antimicrobial Properties of Films with CE and GE
3.2. Herring Preservation by Applying Alginate/Pectin Films with CE or GE
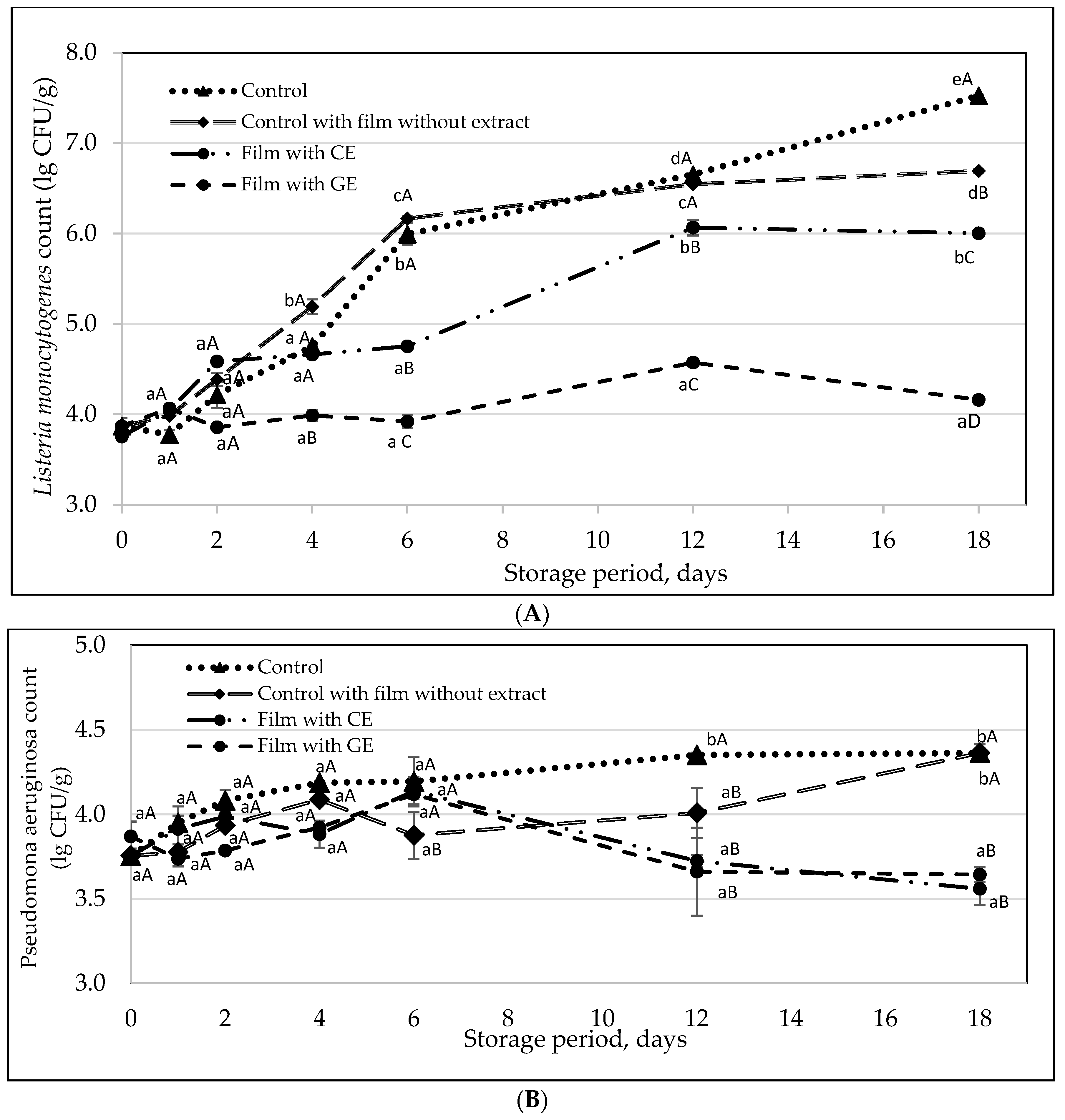
3.2.1. Viability of L. monocytogenes and P. aeruginosa
3.2.2. Biogenic Amines
3.2.3. Monitoring pH during Storage
3.2.4. Total Volatile Basic Nitrogen (TVN)
3.2.5. Thiobarbituric Acid-Reactive Substances (TBARS)
4. Conclusions
Author Contributions
Funding
Data Availability Statement
Conflicts of Interest
References
- Huss, H.H. Quality and Quality Changes in Fresh Fish; FAO Fisheries Technical Paper No. 348; Food and Agriculture Organization of the United Nations: Rome, Italy, 1995. [Google Scholar]
- Taylor, S.L.; Summer, S. Determination of histamine, putrescine and cadaverine. In Seafood Quality Determination; Kramer, B.D.T., Liston, J., Eds.; Elsevier Science Publisher: Amsterdam, The Netherlands, 1986; pp. 235–245. [Google Scholar]
- Garavand, F.; Rouhi, M.; Razavi, S.H.; Cacciotti, I.; Mohammadi, R. Improving the integrity of natural biopolymer films used in food packaging by crosslinking approach: A review. Int. J. Biol. Macromol. 2017, 104, 687–707. [Google Scholar] [CrossRef] [PubMed]
- Khanzadi, M.; Jafari, S.M.; Mirzaei, H.; Chegini, F.K.; Maghsoudlou, Y.; Dehnad, D. Physical and mechanical properties in biodegradable films of whey protein concentrate–pullulan by application of beeswax. Carbohydr. Polym. 2015, 118, 24–29. [Google Scholar] [CrossRef] [PubMed]
- Tajik, S.; Maghsoudlou, Y.; Khodaiyan, F.; Jafari, S.M.; Ghasemlou, M.; Aalami, M. Soluble soybean polysaccharide: A new carbohydrate to make a biodegradable film for sustainable green packaging. Carbohydr. Polym. 2013, 97, 817–824. [Google Scholar] [CrossRef] [PubMed]
- Ribeiro, A.M.; Estevinko, B.N.; Rocha, F. Preparation and incorporation of functional ingredients in edible films and coatings. Food Bioprocess Tech. 2021, 14, 209–231. [Google Scholar] [CrossRef]
- Gram, L.; Dalgaard, P. Fish spoilage bacteria—Problems and solutions. Curr. Opin. Biotechnol. 2002, 13, 262–266. [Google Scholar] [CrossRef] [PubMed]
- Mahajan, K.; Kumar, S.; Bhat, Z.F.; Naqvi, Z.; Jayawardena, R. Development of bioactive edible film using phytochemicals from Aloe Vera for improved microbial and lipid oxidative stability of frozen dairy products. Food Bioprocess Tech. 2021, 14, 2120–2133. [Google Scholar] [CrossRef]
- Farsanipour, A.; Khodanazary, A.; Hosseini, S.M. Effect of chitosan-whey protein isolated coatings incorporated with tarragon Artemisia dracunculus essential oil on the quality of Scomberoides commersonnianus fillets at refrigerated condition. Int. J. Biol. Macromol. 2020, 155, 766–771. [Google Scholar] [CrossRef]
- Raeisi, M.; Tajik, H.; Aliakbarlu, J.; Mirhosseini, S.H.; Hosseini, S.M.H. Effect of carboxymethyl cellulose-based coatings incorporated with Zataria multiflora Boiss. essential oil and grape seed extract on the shelf life of rainbow trout fillets. LWT-Food Sci. Technol. 2015, 64, 898–904. [Google Scholar] [CrossRef]
- Li, T.; Li, J.; Hu, W.; Li, X. Quality enhancement in refrigerated red drum (Sciaenops ocellatus) fillets using chitosan coatings containing natural preservatives. Food Chem. 2013, 138, 821–826. [Google Scholar] [CrossRef]
- Rezaei, F.; Shahbazi, Y. Shelf-life extension and quality attributes of sauced silver carp fillet: A comparison among direct addition, edible coating and biodegradable film. LWT-Food Sci. Technol. 2018, 87, 122–133. [Google Scholar] [CrossRef]
- Song, Y.; Liu, L.; Shen, H.; You, J.; Luo, Y. Effect of sodium alginate-based edible coating containing different anti-oxidants on quality and shelf life of refrigerated bream (Megalobrama amblycephala). Food Control 2011, 22, 608–615. [Google Scholar] [CrossRef]
- Jaguey-Hernández, Y.; Aguilar-Arteaga, K.; Ojeda-Ramirez, D.; Añorve-Morga, J.; González-Olivares, L.G.; Castañeda-Ovando, A. Biogenic amines levels in food processing: Efforts for their control in foodstuffs. Food Res. Int. 2021, 144, 110341. [Google Scholar] [CrossRef] [PubMed]
- Kuley, E.; Özogul, F. Synergistic and antagonistic effect of lactic acid bacteria on tyramine production by food-borne pathogenic bacteria in tyrosine decarboxylase broth. Food Chem. 2011, 127, 1163–1168. [Google Scholar] [CrossRef] [PubMed]
- Houicher, A.; Kuley, E.; Özogul, F.; Bendeddouche, B. Effect of natural extracts (Mentha spicata L. and Artemisia campestris) on biogenic amine formation of sardine vacuum-packed and refrigerated (Sardina pilchardus) fillets. J. Food Process. Preserv. 2015, 39, 2393–2403. [Google Scholar] [CrossRef]
- Jamróz, E.; Kulawik, P.; Tkaczewska, J.; Guzik, P.; Zając, M.; Juszczak, L.; Krzyściak, P.; Turek, K. The effects of active double-layered furcellaran/gelatin hydrolysate film system with Ala-Tyr peptide on fresh Atlantic mackerel stored at −18 °C. Food Chem. 2021, 338, 127867. [Google Scholar] [CrossRef]
- Hao, R.; Liu, Y.; Sun, L.; Xia, L.; Jia, H.; Li, Q.; Pan, J. Sodium alginate coating with plant extract affected microbial communities, biogenic amine formation and quality properties of abalone (Haliotis discus hannai Ino) during chill storage. LWT-Food Sci. Technol. 2017, 81, 1–9. [Google Scholar] [CrossRef]
- Tamkutė, L.; Liepuoniūtė, R.; Pukalskienė, M.; Venskutonis, P.R. Recovery of valuable lipophilic and polyphenolic fractions from cranberry pomace by consecutive supercritical CO2 and pressurized liquid extraction. J. Supercrit. Fluids 2020, 159, 104755. [Google Scholar] [CrossRef]
- Zaika, L.L. Spices and herbs: Their antimicrobial activity and its determination. J. Food Saf. 1988, 9, 97–118. [Google Scholar] [CrossRef]
- EC 2005, COMMISSION REGULATION (EC) No 2074/2005 of the Commission of the European Communities of 5 December 2005. Official Journal of the European Union. Available online: http://data.europa.eu/eli/reg/2005/2074/oj (accessed on 19 December 2022).
- Tarladgis, B.G.; Watts, B.M.; Younathan, M.T.; Dugan, L.A. Distillation method for the quantitative determination of malonaldehyde in rancid foods. J. Am. Oil Chem. Soc. 1960, 37, 44–48. [Google Scholar] [CrossRef]
- Côté, J.; Caillet, S.; Doyon, G.; Dussault, D.; Sylvain, J.-F.; Lacroix, M. Antimicrobial effect of cranberry juice and extracts. Food Control 2011, 22, 1413–1418. [Google Scholar] [CrossRef]
- Laplante, K.L.; Sarkisian, S.A.; Woodmansee, S.; Rowley, D.C.; Seeram, N.P. Effects of cranberry extracts on growth and biofilm production of Escherichia coli and Staphylococcus species. Phytother. Res. 2012, 26, 1371–1374. [Google Scholar] [CrossRef] [PubMed]
- Wu, V.C.H.; Qiu, X.; de los Reyes, B.G.; Lin, C.-S.; Pan, Y. Application of cranberry concentrate (Vaccinium macrocarpon) to control Escherichia coli O157:H7 in ground beef and its antimicrobial mechanism related to the down regulated slp, hdeA and cfa. Food Microbiol. 2009, 26, 32–38. [Google Scholar] [CrossRef] [PubMed]
- Lau, A.T.Y.; Barbut, S.; Ross, K.; Diarra, M.S.; Balamurugan, S. The effect of cranberry pomace ethanol extract on the growth of meat starter cultures, Escherichia coli O157:H7, Salmonella enterica serovar Enteritidis and Listeria monocytogenes. LWT-J. Food Sci. 2019, 115, 108452. [Google Scholar] [CrossRef]
- Severo, C.; Anjos, I.; Souza, V.G.L.; Canejo, J.P.; Bronze, M.R.; Fernando, A.L.; Coelhoso, I.; Bettencourt, A.F.; Ribeiro, I.A.C. Development of cranberry extract films for the enhancement of food packaging antimicrobial properties. Food Packag. Shelf Life 2021, 28, 100646. [Google Scholar] [CrossRef]
- Brink, I.; Šipailienė, A.; Leskauskaitė, D. Antimicrobial properties of chitosan and whey protein films applied on fresh cut turkey pieces. Int. J. Biol. Macromol. 2019, 130, 810–881. [Google Scholar] [CrossRef]
- Xiong, Y.; Chen, M.; Warner, R.D.; Fang, Z. Incorporating nisin and grape seed extract in chitosan-gelatine edible coating and its effect on cold storage of fresh pork. Food Control 2020, 110, 107018. [Google Scholar] [CrossRef]
- Sogut, E.; Seydim, A.C. The effects of chitosan and grape seed extract-based edible films on the quality of vacuum packaged chicken breast fillets. Food Packag. Shelf Life 2018, 18, 13–20. [Google Scholar] [CrossRef]
- de Oliveira Filho, J.G.; Braga, A.R.C.; de Oliveira, B.R.; Gomes, F.P.; Moreira, V.L.; Pereira, V.A.C.; Egea, M.B. The potential of anthocyanins in smart, active, and bioactive eco-friendly polymer-based films: A review. Food Res. Int. 2021, 142, 110202. [Google Scholar] [CrossRef]
- Wang, F.; Xie, C.; Tang, H.; Hao, W.; Wu, J.; Sun, Y.; Sun, J.; Liu, Y.; Jiang, L. Development, characterization and application of intelligent/active packaging of chitosan/chitin nanofibers films containing eggplant anthocyanins. Food Hydrocoll. 2023, 139, 108496. [Google Scholar] [CrossRef]
- Nešić, A.; Onjia, A.; Davidović, S.; Dimitrijević, S.; Errico, M.E.; Santagata, G.; Malinconico, M. Design of pectin-sodium alginate based films for potential healthcare application: Study of chemico-physical interactions between the components of films and assessment of their antimicrobial activity. Carbohydr. Polym. 2017, 157, 981–990. [Google Scholar] [CrossRef]
- Bierhalz, A.C.K.; da Silva, M.A.; Kieckbusch, T.G. Natamycin release from alginate/pectin films for food packaging applications. J. Food Eng. 2012, 110, 18–25. [Google Scholar] [CrossRef]
- De’Nobili, M.D.; Rojas, A.M.; Abrami, M.; Lapasin, R.; Grassi, M. Structure characterization by means of rheological and NMR experiments as a first necessary approach to study the l-(+)-ascorbic acid diffusion from pectin and pectin/alginate films to agar hydrogels that mimic food materials. J. Food Eng. 2015, 165, 82–92. [Google Scholar] [CrossRef]
- Zhu, F. Polysaccharide based films and coatings for food packaging: Effect of added polyphenols. Food Chem. 2021, 359, 129871. [Google Scholar] [CrossRef] [PubMed]
- Bi, J.; Tian, C.; Zhang, G.; Hao, H.; Hou, H. Novel procyanidins-loaded chitosan-graft-polyvinyl alcohol film with sustained antibacterial activity for food packaging. Food Chem. 2021, 365, 130534. [Google Scholar] [CrossRef] [PubMed]
- Özogul, F.; Taylor, K.D.A.; Quantick, P.; Özogul, Y. Changes in biogenic amines in herring stored under modified atmosphere and vacuum pack. J. Food Sci. 2002, 67, 2497–2501. [Google Scholar] [CrossRef]
- Houicher, A.; Bensid, A.; Regenstein, J.M.; Özogul, F. Control of biogenic amine production and bacterial growth in fish and seafood products using phytochemicals as biopreservatives: A review. Food Biosci. 2021, 39, 100807. [Google Scholar] [CrossRef]
- Kim, S.H.; Velazquez, J.B.; Gigirey, B.B.; Eun, J.B.; Jun, S.H.; Wei, C.I.; An, H.J. Identification of the main bacteria contributing to histamine formation in seafood to ensure product safety. Food Sci. Biotechnol. 2003, 12, 451–460. [Google Scholar]
- Özogul, F.; Hamed, I.; Gokdogan, S. The impact of natural clinoptilolite on ammonia, cadaverine and other polyamine formation by food-borne pathogen in lysine decarboxylase broth. LWT-Food Sci. Technol. 2016, 65, 703–710. [Google Scholar] [CrossRef]
- Özogul, F.; Kuley, E.; Kenar, M. Effects of rosemary and sage tea extract on biogenic amines formation of sardine (Sardina pilchardus) fillets. Int. J. Food Sci. Technol. 2011, 46, 761–766. [Google Scholar] [CrossRef]
- Mah, J.; Kim, Y.J.; Hwang, H. Inhibitory effects of garlic and other spices on biogenic amine production in Myeolchi-jeot, Korean salted and fermented anchovy product. Food Control 2009, 20, 449–454. [Google Scholar] [CrossRef]
- Özyurt, G.; Kuley, E.; Balikçi, E.; Kaçar, Ç.; Gökdogan, S.; Etyemez, M.; Özogul, F. Effect of the icing with rosemary extract on the oxidative stability and biogenic amine formation in sardine (Sardinella aurita) during chilled storage. Food Bioproc. Technol. 2012, 5, 2777–2786. [Google Scholar] [CrossRef]
- Wang, X.; Zhang, Y.; Ren, H. Effects of grape seed extract on lipid oxidation, biogenic amine formation and microbiological quality in Chinese traditional smoke-cured bacon during storage. J. Food Saf. 2018, 38, 12426. [Google Scholar] [CrossRef]
- Noori, S.M.A.; Khanzadi, S.; Fazlara, A.; Najafzadehvarzi, H.; Azizzadeh, M. Effect of lactic acid and ajwain (Carum copticum) on the biogenic amines and quality of refrigerated common carp (Cyprinus carpio). LWT-Food Sci. Technol. 2018, 97, 434–439. [Google Scholar] [CrossRef]
- Fan, W.; Sun, J.; Chen, Y.; Qiu, J.; Zhang, Y.; Chi, Y. Effects of chitosan coating on quality and shelf life of silver carp during frozen storage. Food Chem. 2009, 115, 66–70. [Google Scholar] [CrossRef]
- CEC. Commission of the European Community, Decision 95/149/EC of 8 March 1995 Fixing the Total Volatile Basic Nitrogen (TVB-N) Limit Values for Certain Categories of Fishery Products and Specifying the Analysis Methods to Be Used. Brussels, Belgium. 1995. Available online: https://op.europa.eu/en/publication-detail/-/publication/91dc1ed4-6450-4a3c-8cab-45009644715c (accessed on 19 September 2020).
- Giménez, B.; Roncalés, P.; Beltrán, J.A. Modified atmosphere packaging of filleted rainbow trout. J. Sci. Food Agric. 2002, 82, 1154–1159. [Google Scholar] [CrossRef]
- Masniyom, P.; Benjakul, S.; Visessanguan, W. Shelf-life extension of refrigerated seabass slices under modified atmosphere packaging. J. Sci. Food Agric. 2002, 82, 873–880. [Google Scholar] [CrossRef]
- Günlü, A.; Koyun, E. Effects of vacuum packaging and wrapping with chitosan-based edible film on the extension of the shelf life of Sea Bass (Dicentrarchus labrax) fillets in cold storage (4 °C). Food Bioprocess Technol. 2013, 6, 1713–1719. [Google Scholar] [CrossRef]
- Tolstorebrov, I.; Eikevik, T.M.; Indergård, E. The influence of long-term storage, temperature and type of packaging materials on the lipid oxidation and flesh color of frozen Atlantic herring fillets (Clupea harengus). Int. J. Refrig. 2014, 40, 122–130. [Google Scholar] [CrossRef]
- Caillet, S.; Côté, J.; Doyon, G.; Sylvain, J.-F.; Lacroix, M. Antioxidant and antiradical properties of cranberry juice and extracts. Food Res. Int. 2011, 44, 1408–1413. [Google Scholar] [CrossRef]
- Cong, J.; Cui, J.; Zhang, H.; Dzah, C.S.; He, Y.; Duan, Y. Binding affinity, antioxidative capacity and in vitro digestion of complexes of grape seed procyanidins and pork, chicken and fish protein. Food Res. Int. 2020, 136, 109530. [Google Scholar] [CrossRef]
- Sallam, K.I. Antimicrobial and antioxidant effects of sodium acetate, sodium lactate, and sodium citrate in refrigerated sliced salmon. Food Control 2007, 18, 566–575. [Google Scholar] [CrossRef] [PubMed]





| Sample | Storage Duration, Days | ||||||
|---|---|---|---|---|---|---|---|
| 1 | 2 | 4 | 6 | 12 | 18 | ||
| HIS | Control | <5 aA | 6.11 ± 0.33 bA | <5 aA | <5 aA | 58.86 ± 1.53 cA | 354.8010.32 dA |
| Control with pure film | <5 aA | <5 aB | <5 aA | <5 aA | 104.09 ± 2.70 bB | 99.35 ± 7.57 bB | |
| Film with CE | <5 aA | <5 aB | <5 aA | 18.67 ± 1.03 bB | 38.42 ± 3.42 cC | 19.52 ± 2.89 bC | |
| Film with GE | <5 aA | <5 aB | <5 aA | <5 aA | 9.30 ± 0.42 bD | 31.11 ± 2.96 cD | |
| CAD | Control | 13.02 ± 0.14 aA | 17.04 ± 0.2 bA | 19.54 ± 0.76 bA | 16.30 ± 0.42 bA | 139.03 ± 6.32 cA | 438.99 ± 9.48 dA |
| Control with pure film | <5 aB | <5 aB | <5 aB | 15.50 ± 0.71 bA | 136.54 ± 5.77 cA | 291.32 ± 18.07 dB | |
| Film with CE | <5 aB | <5 aB | <5 aB | 51.20 ± 0.28 bB | 26.46 ± 0.91 cB | 103.87 ± 6.04 dC | |
| Film with GE | 5.04 ± 0.03 aB | <5 aB | 6.23 ± 0.33 bC | <5 aC | 26.40 ± 2.97 cB | 162.26 ± 4.33 dD | |
| PUT | Control | 6.62 ± 0.26 aA | 15.53 ± 0.47 bA | <5 cA | 14.75 ± 0.64 bA | 54.37 ± 3.35 dA | 76.81 ± 5.81 eA |
| Control with pure film | <5 aB | <5 aB | <5 aA | 13.71 ± 1.54 bA | 47.73 ± 3.01 cB | 118.67 ± 3.07 dB | |
| Film with CE | <5 aB | 6.53 ± 0.75 bC | <5 aA | 6.75 ± 0.35 bB | 24.30 ± 0.42 cC | 15.08 ± 1.53 dC | |
| Film with GE | <5 aB | <5 aB | <5 aA | 8.37 ± 0.35 bC | 19.78 ± 1.70 cD | 56.65 ± 1.77 dD | |
| TY | Control | <5 aA | 5.89 ± 0.30 bA | 6.00 ± 0.00 bA | <5 aA | 6.08 ± 0.11 bA | 25.9 ± 4.24 cA |
| Control with pure film | <5 aA | <5 aB | <5 aB | <5 aA | 22.10 ± 1.41 bB | 49.43 ± 5.98 cB | |
| Film with CE | <5 aA | <5 aB | <5 aB | 5.18 ± 0.26 aA | 17.24 ± 2.89 bC | 48.02 ± 4.24 cB | |
| Film with GE | <5 aA | <5 aB | <5 aB | <5 aA | 6.71 ± 0.79 bA | 6.39 ± 0.25 bC | |
Disclaimer/Publisher’s Note: The statements, opinions and data contained in all publications are solely those of the individual author(s) and contributor(s) and not of MDPI and/or the editor(s). MDPI and/or the editor(s) disclaim responsibility for any injury to people or property resulting from any ideas, methods, instructions or products referred to in the content. |
© 2023 by the authors. Licensee MDPI, Basel, Switzerland. This article is an open access article distributed under the terms and conditions of the Creative Commons Attribution (CC BY) license (https://creativecommons.org/licenses/by/4.0/).
Share and Cite
Urbonavičiūtė, G.; Dyglė, G.; Černauskas, D.; Šipailienė, A.; Venskutonis, P.R.; Leskauskaitė, D. Alginate/Pectin Film Containing Extracts Isolated from Cranberry Pomace and Grape Seeds for the Preservation of Herring. Foods 2023, 12, 1678. https://doi.org/10.3390/foods12081678
Urbonavičiūtė G, Dyglė G, Černauskas D, Šipailienė A, Venskutonis PR, Leskauskaitė D. Alginate/Pectin Film Containing Extracts Isolated from Cranberry Pomace and Grape Seeds for the Preservation of Herring. Foods. 2023; 12(8):1678. https://doi.org/10.3390/foods12081678
Chicago/Turabian StyleUrbonavičiūtė, Gabrielė, Gintarė Dyglė, Darius Černauskas, Aušra Šipailienė, Petras Rimantas Venskutonis, and Daiva Leskauskaitė. 2023. "Alginate/Pectin Film Containing Extracts Isolated from Cranberry Pomace and Grape Seeds for the Preservation of Herring" Foods 12, no. 8: 1678. https://doi.org/10.3390/foods12081678
APA StyleUrbonavičiūtė, G., Dyglė, G., Černauskas, D., Šipailienė, A., Venskutonis, P. R., & Leskauskaitė, D. (2023). Alginate/Pectin Film Containing Extracts Isolated from Cranberry Pomace and Grape Seeds for the Preservation of Herring. Foods, 12(8), 1678. https://doi.org/10.3390/foods12081678

