Comparative Effects of Heat Stress at Booting and Grain-Filling Stage on Yield and Grain Quality of High-Quality Hybrid Rice
Abstract
:1. Introduction
2. Materials and Methods
2.1. Plant Materials and Experimental Design
2.2. Sampling and Yield Observations
2.3. Appearance Quality
2.4. Thermal Properties Analysis
2.5. Determination of Pasting Characteristics
2.6. Starch and Protein Measurement
2.7. Statistical Analysis
3. Results
3.1. Effects of Heat Stress on Yield Parameters
3.2. Effects of Heat Stress on Appearance Quality
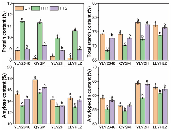
3.3. Effects of Heat Stress on Grain Nutritional Quality
3.4. Effect of Heat Stress on Thermal Properties of Grain Starch
3.5. Effects of Heat Stress on Pasting Characteristics of Grain Starch
3.6. Principal Component and Correlation Analyses of Grain Yield and Quality Traits
4. Discussion
5. Conclusions
Author Contributions
Funding
Data Availability Statement
Conflicts of Interest
References
- Dijk, M.V.; Morley, T.; Rau, M.L.; Saghai, Y. A meta-analysis of projected global food demand and population at risk of hunger for the period 2010–2050. Nat. Food 2021, 2, 494–501. [Google Scholar] [CrossRef] [PubMed]
- Fahad, S.; Adnan, M.; Noor, M.; Arif, M.; Alam, M.; Khan, I.A.; Wang, D.P. Major constraints for global rice production. In Advances in Rice Research for Abiotic Stress Tolerance; Hasanuzzaman, M., Fujita, M., Eds.; Woodhead Publishing: Cambridge, UK, 2019; pp. 1–22. [Google Scholar]
- Pervez, A.K.M.; Uddin, E.; Shah, A.A.; Prodhan, F.A.; Sheikh, M. Fuzzy-Likert scale based assessment of marketing risk faced by the hybrid rice growers of Bangladesh. Екoнoмика Пoљoпривреде 2019, 66, 9–22. [Google Scholar] [CrossRef]
- Cheng, S.H.; Cao, L.Y.; Zhuang, J.Y.; Chen, S.G.; Zhan, X.D.; Fan, Y.Y.; Zhu, D.F.; Min, S.K. Super hybrid rice breeding in China: Achievements and prospects. J. Integr. Plant Biol. 2007, 49, 805–810. [Google Scholar] [CrossRef]
- Virmani, S.S. Advances in hybrid rice research and development in the tropics. In Hybrid Rice for Food Security, Poverty Alleviation, and Environmental Protection; Virmani, S.S., Mao, C.X., Eds.; IRRI: Manila, Phillippines, 2003; pp. 1–22. [Google Scholar]
- He, G. A comparative study of economic efficiency of hybrid and conventional rice production in Jiangsu Province. Oryza 1987, 24, 285–296. [Google Scholar]
- Li, P.; Chen, Y.H.; Lu, J.; Zhang, C.Q.; Liu, Q.Q.; Li, Q.F. Genes and their molecular functions determining seed structure, components, and quality of rice. Rice 2022, 15, 1–27. [Google Scholar] [CrossRef] [PubMed]
- Liu, K.; Deng, J.; Lu, J.; Wang, X.Y.; Lu, B.L.; Tian, X.H.; Zhang, Y.B. High nitrogen levels alleviate yield loss of super hybrid rice caused by high temperatures during the flowering stage. Front. Plant Sci. 2019, 10, 357. [Google Scholar] [CrossRef]
- Xu, Y.F.; Chu, C.C.; Yao, S.G. The impact of high-temperature stress on rice: Challenges and solutions. Crop J. 2021, 9, 963–976. [Google Scholar] [CrossRef]
- Morita, S.; Wada, H.; Matsue, Y. Countermeasures for heat damage in rice grain quality under climate change. Plant Prod. Sci. 2016, 19, 1–11. [Google Scholar] [CrossRef]
- Shi, P.H.; Tang, L.; Wang, L.H.; Sun, T.; Liu, L.L.; Cao, W.X.; Zhu, Y. Post-heading heat stress in rice of South China during 1981–2010. PLoS ONE 2015, 10, e0130642. [Google Scholar] [CrossRef]
- Lyman, N.B.; Jagadish, S.V.K.; Nalley, L.L.; Dixon, B.L.; Siebenmorgen, T. Neglecting rice milling yield and quality underestimates economic losses from high-temperature stress. PLoS ONE 2013, 8, e72157. [Google Scholar] [CrossRef]
- Fu, G.F.; Zhang, C.X.; Yang, Y.J.; Xiong, J.; Yang, X.Q.; Zhang, Z.F.; Jin, Q.Y.; Tao, L.X. Male parent plays more important role in heat tolerance in three-line hybrid rice. Rice Sci. 2015, 22, 116–122. [Google Scholar]
- Tian, X.H.; Luo, H.W.; Zhou, H.D. Research on heat stress of rice in China: Progress and prospect. Chin. Agric. Sci. Bull. 2009, 25, 166–168. [Google Scholar]
- Sun, Q.; Zhao, Y.X.; Zhang, Y.; Chen, S.N.; Ying, Q.; Lv, Z.F.; Che, X.H.; Wang, D.L. Heat stress may cause a significant reduction of rice yield in China under future climate scenarios. Sci. Total Environ. 2022, 818, 151746. [Google Scholar] [CrossRef] [PubMed]
- Shimoyanagi, R.; Abo, M.; Shiotsu, F. Higher temperatures during grain filling affect grain chalkiness and rice nutrient contents. Agronomy 2021, 11, 1360. [Google Scholar] [CrossRef]
- Arshad, M.S.; Farooq, M.; Asch, F.; Krishna, J.S.; Prasad, P.V.; Siddique, K.H. Thermal stress impacts reproductive development and grain yield in rice. Plant Physiol. Biochem. 2017, 115, 57–72. [Google Scholar] [CrossRef] [PubMed]
- Chen, J.L.; Tang, L.; Shi, P.H.; Yang, B.H.; Sun, T.; Cao, W.X.; Zhu, Y. Effects of short-term high temperature on grain quality and starch granules of rice (Oryza sativa L.) at post-anthesis stage. Protoplasma 2017, 254, 935–943. [Google Scholar] [CrossRef] [PubMed]
- Hu, Y.J.; Xue, J.T.; Li, L.; Cong, S.M.; Yu, E.W.; Xu, K.; Zhang, H.C. Influence of dynamic high temperature during grain filling on starch fine structure and functional properties of semi-waxy japonica rice. J. Cereal Sci. 2021, 101, 103319. [Google Scholar] [CrossRef]
- Yao, D.P.; Wu, J.; Luo, Q.H.; Li, J.W.; Zhuang, W.; Xiao, G.; Deng, Q.Y.; Lei, D.Y.; Bai, B. Influence of high natural field temperature during grain filling stage on the morphological structure and physicochemical properties of rice (Oryza sativa L.) starch. Food Chem. 2020, 310, 125817. [Google Scholar] [CrossRef]
- Zhen, F.X.; Liu, Y.J.; Ali, I.; Liu, B.; Liu, L.L.; Cao, W.X.; Tang, L.; Zhu, Y. Short-term heat stress at booting stage inhibited nitrogen remobilization to grain in rice. J. Agric. Food Res. 2020, 2, 100066. [Google Scholar] [CrossRef]
- Wu, C.; Cui, K.H.; Wang, W.C.; Li, Q.; Fahad, S.; Hu, Q.Q.; Huang, J.L.; Nie, L.X.; Peng, S.B. Heat-induced phytohormone changes are associated with disrupted early reproductive development and reduced yield in rice. Sci. Rep. 2016, 6, 34978. [Google Scholar] [CrossRef]
- Zhen, F.X.; Wang, W.; Wang, H.; Zhou, J.; Liu, B.; Zhu, Y.; Tang, L. Effects of short-term heat stress at booting stage on rice-grain quality. Crop Pasture Sci. 2019, 70, 486–498. [Google Scholar] [CrossRef]
- Shi, W.J.; Zhang, X.Z.; Yang, J.; Impa, S.M.; Wang, D.; Lai, Y.S.; Jagadish, S.V.K. Irrigating with cooler water does not reverse high temperature impact on grain yield and quality in hybrid rice. Crop J. 2023, 11, 904–913. [Google Scholar] [CrossRef]
- Bhat, F.M.; Riar, C.S. Effect of amylose, particle size & morphology on the functionality of starches of traditional rice cultivars. Int. J. Biol. Macromol. 2016, 92, 637–644. [Google Scholar] [PubMed]
- GB/T 24852-2010; Determination of the Pasting Properties of Rice-Rapid Visco Analyzer Method. China National Standardization Administration: Beijing, China, 2010.
- GB/T 17891-2017; High Quality Paddy. China National Standardization Administration: Beijing, China, 2017.
- Lan, Y.; Sui, X.D.; Wang, J.; Duan, Q.; Wu, C.Y.; Ding, C.B.; Li, T. Effects of nitrogen application rate on protein components and yield of low-gluten rice. Agriculture 2021, 11, 302. [Google Scholar] [CrossRef]
- GB 5009.5-2016; National Food Safety Standard Determination of Protein in Foods. National Health Commission of the People’s Republic of China: Beijing, China, 2016.
- Luo, Z.Q.; Shi, C.L.; Jiang, M.; Liu, Y.; Xuan, S.L.; Jin, Z.Q. Effect of high temperature on rice dry matter partition and yield component during booting stage. Chin. J. Agrometeorol. 2016, 37, 326. [Google Scholar]
- Lawas, L.M.F.; Shi, W.J.; Yoshimoto, M.; Hasegawa, T.; Hincha, D.K.; Zuther, E.; Jagadish, S.K. Combined drought and heat stress impact during flowering and grain filling in contrasting rice cultivars grown under field conditions. Field Crops Res. 2018, 229, 66–77. [Google Scholar] [CrossRef]
- Ikeda, K.; Sunohara, H.; Nagato, Y. Developmental course of inflorescence and spikelet in rice. Breed. Sci. 2004, 54, 147–156. [Google Scholar] [CrossRef]
- Das, S.; Krishnan, P.; Nayak, M.; Ramakrishnan, B. High temperature stress effects on pollens of rice (Oryza sativa L.) genotypes. Environ. Exp. Bot. 2014, 101, 36–46. [Google Scholar] [CrossRef]
- Morita, S.; Yonemaru, J.I.; Takanashi, J.I. Grain growth and endosperm cell size under high night temperatures in rice (Oryza sativa L.). Ann. Bot. 2005, 95, 695–701. [Google Scholar] [CrossRef] [PubMed]
- Hakata, M.; Kuroda, M.; Miyashita, T.; Yamaguchi, T.; Kojima, M.; Sakakibara, H.; Mitsui, T.; Yamakawa, H. Suppression of α-amylase genes improves quality of rice grain ripened under high temperature. Plant Biotechnol. J. 2012, 10, 1110–1117. [Google Scholar] [CrossRef]
- Yamakawa, H.; Hakata, M. Atlas of rice grain filling-related metabolism under high temperature: Joint analysis of metabolome and transcriptome demonstrated inhibition of starch accumulation and induction of amino acid accumulation. Plant Cell Physiol. 2010, 51, 795–809. [Google Scholar] [CrossRef] [PubMed]
- Yamakawa, H.; Hirose, T.; Kuroda, M.; Yamaguchi, T. Comprehensive expression profiling of rice grain filling-related genes under high temperature using DNA microarray. Plant Physiol. 2007, 144, 258–277. [Google Scholar] [CrossRef] [PubMed]
- Cao, Y.Y.; Duan, H.; Yang, L.N.; Wang, Z.Q.; Zhou, S.C.; Yang, J.C. Effect of heat stress during meiosis on grain yield of rice cultivars differing in heat tolerance and its physiological mechanism. Acta Agron. Sin. 2008, 34, 2134–2142. [Google Scholar] [CrossRef]
- Wu, C.; Tang, S.; Li, G.H.; Wang, S.H.; Fahad, S.; Ding, Y.F. Roles of phytohormone changes in the grain yield of rice plants exposed to heat: A review. PeerJ 2019, 7, e7792. [Google Scholar] [CrossRef]
- Wu, C.; Cui, K.H.; Fahad, S. Heat stress decreases rice grain weight: Evidence and physiological mechanisms of heat effects prior to flowering. Int. J. Mol. Sci. 2022, 23, 10922. [Google Scholar] [CrossRef] [PubMed]
- Liang, C.G.; Chen, L.P.; Wang, Y.; Liu, J.; Xu, G.L.; Li, T. High temperature at grain-filling stage affects nitrogen metabolism enzyme activities in grains and grain nutritional quality in rice. Rice Sci. 2011, 18, 210–216. [Google Scholar] [CrossRef]
- Dou, Z.; Tang, S.; Chen, W.Z.; Zhang, H.X.; Li, G.H.; Liu, Z.F.; Ding, C.Q.; Chen, L.; Wang, S.H.; Zhang, H.C.; et al. Effects of open-field warming during grain-filling stage on grain quality of two japonica rice cultivars in lower reaches of Yangtze River delta. J. Cereal Sci. 2018, 81, 118–126. [Google Scholar] [CrossRef]
- Zhen, F.X.; Zhou, J.J.; Mahmood, A.; Wang, W.; Chang, X.N.; Liu, B.; Liu, L.L.; Cao, W.X.; Zhu, Y.; Tang, L. Quantifying the effects of short-term heat stress at booting stage on nonstructural carbohydrates remobilization in rice. Crop J. 2020, 8, 194–212. [Google Scholar] [CrossRef]
- Mahmood, A.; Wang, W.; Ali, I.; Zhen, F.X.; Osman, R.; Liu, B.; Liu, L.L.; Zhu, Y.; Cao, W.X.; Tang, L. Individual and combined effects of booting and flowering high-temperature stress on rice biomass accumulation. Plants 2021, 10, 1021. [Google Scholar] [CrossRef]
- Ahmed, N.; Tetlow, I.J.; Nawaz, S.; Iqbal, A.; Mubin, M.; Nawaz-ul-Rehman, M.S.; Butt, A.; Lightfoot, D.A.; Maekawa, M. Effect of high temperature on grain filling period, yield, amylose content and activity of starch biosynthesis enzymes in endosperm of basmati rice. J. Sci. Food Agric. 2015, 95, 2237–2243. [Google Scholar] [CrossRef]
- Yoshida, S. Fundamentals of Rice Crop Science; IRRI: Manila, Phillippines, 1981. [Google Scholar]
- Shi, J.Y.; Zhang, T.; Wang, T.T.; Liang, F.Q. Effects of interaction between rice glutelin and starch on starch gelatinization in a simulated storage system. J. Stored Prod. Res. 2020, 88, 101660. [Google Scholar] [CrossRef]
- Zhong, L.J.; Cheng, F.M.; Wen, X.; Sun, Z.X.; Zhang, G.P. The deterioration of eating and cooking quality caused by high temperature during grain filling in early-season indica rice cultivars. J. Agron. Crop Sci. 2005, 191, 218–225. [Google Scholar] [CrossRef]
- Fan, X.L.; Sun, X.S.; Yang, R.; Chen, S.; Li, R.M.; Bian, X.Y.; Xia, L.X.; Zhang, C.Q. Comparative analyses of grain quality in response to high temperature during the grain-filling stage between Wxa and Wxb under indica and japonica backgrounds. Agronomy 2023, 13, 17. [Google Scholar] [CrossRef]
- Asaoka, M.; Okuno, K.; Fuwa, H. Effect of environmental temperature at the milky stage on amylose content and fine structure of amylopectin of waxy and nonwaxy endosperm starches of rice (Oryza sativa L.). Agric. Biol. Chem. 1985, 49, 373–379. [Google Scholar]
- Liu, J.C.; Zhao, Q.; Zhou, L.J.; Cao, Z.Z.; Shi, C.H.; Cheng, F.M. Influence of environmental temperature during grain filling period on granule size distribution of rice starch and its relation to gelatinization properties. J. Cereal Sci. 2017, 76, 42–55. [Google Scholar] [CrossRef]
- Kong, X.L.; Zhu, P.; Sui, Z.Q.; Bao, J.S. Physicochemical properties of starches from diverse rice cultivars varying in apparent amylose content and gelatinisation temperature combinations. Food Chem. 2015, 172, 433–440. [Google Scholar] [CrossRef] [PubMed]
- Allahgholipour, M.; Ali, A.J.; Alinia, F.; Nagamine, T.; Kojima, Y. Relationship between rice grain amylose and pasting properties for breeding better quality rice varieties. Plant Breed. 2006, 125, 357–362. [Google Scholar] [CrossRef]
- Chen, H.; Chen, D.; He, L.H.; Wang, T.; Lu, H.; Yang, F.; Ren, W.J. Correlation of taste values with chemical compositions and Rapid Visco Analyser profiles of 36 indica rice (Oryza sativa L.) varieties. Food Chem. 2021, 349, 129176. [Google Scholar] [CrossRef] [PubMed]
- Tu, D.B.; Jiang, Y.; Salah, A.; Xi, M.; Cai, M.L.; Cheng, B.; Wu, W.G. Variation of rice starch structure and physicochemical properties in response to high natural temperature during the reproductive stage. Front. Plant Sci. 2023, 14, 1136347. [Google Scholar] [CrossRef]




| Variety | Temperature Treatments | Chalkiness (%) | Chalky Grain Rate (%) | Grain Length (mm) | Grain Width (mm) | Length/Width Ratio |
|---|---|---|---|---|---|---|
| YLY2646 | CK | 9.77 ± 2.29 c | 24.15 ± 3.53 c | 6.72 ± 0.02 a | 1.81 ± 0.00 a | 3.71 ± 0.01 a |
| HT1 | 22.56 ± 0.61 b | 44.16 ± 2.64 b | 6.40 ± 0.02 c | 1.78 ± 0.01 b | 3.59 ± 0.02 b | |
| HT2 | 31.64 ± 0.36 a | 51.51 ± 3.17 a | 6.51 ± 0.03 b | 1.79 ± 0.01 b | 3.63 ± 0.03 b | |
| QYSM | CK | 14.20 ± 0.73 c | 22.99 ± 1.67 c | 6.49 ± 0.04 a | 2.03 ± 0.00 a | 3.19 ± 0.02 a |
| HT1 | 27.88 ± 3.06 b | 39.31 ± 4.99 b | 6.32 ± 0.02 b | 2.01 ± 0.01 b | 3.15 ± 0.02 a | |
| HT2 | 36.14 ± 1.22 a | 68.04 ± 1.08 a | 6.40 ± 0.01 b | 2.01 ± 0.01 b | 3.18 ± 0.02 a | |
| YLY2H | CK | 11.63 ± 0.86 c | 29.49 ± 3.25 c | 6.43 ± 0.05 a | 2.13 ± 0.00 a | 3.02 ± 0.03 b |
| HT1 | 24.24 ± 1.72 b | 50.41 ± 2.08 b | 6.28 ± 0.04 b | 2.00 ± 0.01 c | 3.14 ± 0.02 a | |
| HT2 | 37.57 ± 1.06 a | 67.01 ± 1.74 a | 6.33 ± 0.03 ab | 2.09 ± 0.01 b | 3.02 ± 0.02 b | |
| LLYHLZ | CK | 15.65 ± 1.24 c | 29.24 ± 1.98 c | 6.68 ± 0.11 a | 1.99 ± 0.02 a | 3.36 ± 0.09 a |
| HT1 | 31.73 ± 1.57 b | 53.44 ± 1.83 b | 6.45 ± 0.03 b | 1.90 ± 0.01 b | 3.40 ± 0.02 a | |
| HT2 | 45.02 ± 1.61 a | 66.00 ± 1.07 a | 6.58 ± 0.03 ab | 1.97 ± 0.02 a | 3.33 ± 0.03 a | |
| Variety (V) | *** | *** | *** | *** | *** | |
| Temperature treatment (T) | *** | *** | *** | ns | *** | |
| V × T | ns | * | ns | * | *** | |
| Variety | Temperature Treatments | To (°C) | Tp (°C) | Tc (°C) | ∆H (J/g) | R | PHI |
|---|---|---|---|---|---|---|---|
| YLY2646 | CK | 68.73 ± 0.05 b | 73.70 ± 0.04 b | 78.13 ± 0.09 b | 4.89 ± 0.01 b | 9.36 ± 0.06 b | 0.99 ± 0.01 ab |
| HT1 | 69.30 ± 0.03 a | 74.37 ± 0.07 a | 78.64 ± 0.08 ab | 5.18 ± 0.03 a | 9.34 ± 0.08 b | 1.02 ± 0.02 a | |
| HT2 | 68.74 ± 0.11 b | 73.99 ± 0.17 a | 79.36 ± 0.21 a | 5.13 ± 0.01 a | 10.61 ± 0.10 a | 0.98 ± 0.01 b | |
| QYSM | CK | 67.27 ± 0.16 c | 72.52 ± 0.10 b | 78.93 ± 0.13 b | 5.32 ± 0.04 c | 11.66 ± 0.05 a | 1.01 ± 0.01 b |
| HT1 | 67.74 ± 0.24 b | 73.03 ± 0.24 b | 78.94 ± 0.59 b | 5.95 ± 0.04 b | 11.20 ± 0.42 a | 1.13 ± 0.01 a | |
| HT2 | 69.81 ± 0.18 a | 75.94 ± 0.23 a | 81.46 ± 0.33 a | 6.14 ± 0.05 a | 11.65 ± 0.19 a | 1.00 ± 0.02 b | |
| YLY2H | CK | 77.56 ± 0.23 c | 83.75 ± 0.27 b | 88.02 ± 0.27 a | 3.97 ± 0.01 a | 10.46 ± 0.18 a | 0.64 ± 0.00 a |
| HT1 | 78.14 ± 0.07 b | 84.08 ± 0.18 b | 88.39 ± 0.29 a | 4.03 ± 0.02 a | 10.25 ± 0.22 a | 0.68 ± 0.02 a | |
| HT2 | 78.83 ± 0.18 a | 85.07 ± 0.24 a | 88.82 ± 0.32 a | 4.02 ± 0.02 a | 9.99 ± 0.15 a | 0.64 ± 0.01 a | |
| LLYHLZ | CK | 77.83 ± 0.01 c | 83.71 ± 0.05 b | 87.08 ± 0.09 b | 3.40 ± 0.10 b | 9.25 ± 0.07 a | 0.58 ± 0.02 b |
| HT1 | 79.07 ± 0.13 a | 84.74 ± 0.20 a | 87.97 ± 0.34 a | 4.08 ± 0.07 a | 8.90 ± 0.21 a | 0.72 ± 0.00 a | |
| HT2 | 78.30 ± 0.06 b | 84.20 ± 0.03 b | 87.34 ± 0.10 ab | 3.47 ± 0.05 b | 9.04 ± 0.04 a | 0.59 ± 0.01 b | |
| Variety (V) | *** | *** | *** | *** | *** | *** | |
| Temperature treatment (T) | *** | *** | *** | *** | ns | *** | |
| V × T | *** | *** | * | *** | *** | ** | |
| Variety | Temperature Treatments | Peak Viscosity (cP) | Trough Viscosity (cP) | Final Viscosity (cP) | Breakdown (cP) | Setback (cP) |
|---|---|---|---|---|---|---|
| YLY2646 | CK | 3212.3 ± 21.9 b | 2103.7 ± 22.7 b | 2895.0 ± 6.4 b | 1108.7 ± 38.8 b | 786.5 ± 3.2 b |
| HT1 | 3222.5 ± 1.4 b | 2108.5 ± 3.2 b | 2946.7 ± 16.1 ab | 1114.0 ± 4.6 b | 843.0 ± 8.4 a | |
| HT2 | 3603.0 ± 36.5 a | 2236.3 ± 31.9 a | 3027.3 ± 43.3 a | 1366.7 ± 5.9 a | 791.0 ± 13.1 b | |
| QYSM | CK | 2983.7 ± 77.1 b | 2003.7 ± 10.4 c | 2863.3 ± 21.4 c | 1003.7 ± 6.5 b | 859.7 ± 13.9 a |
| HT1 | 3007.3 ± 10.2 b | 2115.7 ± 27.3 b | 2997.7 ± 10.2 b | 868.0 ± 99.8 c | 882.0 ± 20.1 a | |
| HT2 | 3497.7 ± 13.9 a | 2307.0 ± 20.2 a | 3076.0 ± 18.4 a | 1190.7 ± 9.2 a | 769.0 ± 3.1 b | |
| YLY2H | CK | 3255.3 ± 5.4 b | 1813.0 ± 33.8 c | 2385.7 ± 20.5 c | 1357.0 ± 9.6 b | 646.0 ± 2.6 a |
| HT1 | 3349.3 ± 4.2 a | 1898.3 ± 14.9 b | 2544.3 ± 17.4 b | 1337.3 ± 16.2 b | 650.7 ± 4.2 a | |
| HT2 | 3372.3 ± 15.0 a | 2012.0 ± 20.0 a | 2662.7 ± 21.0 a | 1559.3 ± 48.8 a | 572.7 ± 13.3 b | |
| LLYHLZ | CK | 2953.0 ± 20.8 c | 1646.7 ± 15.2 b | 2310.7 ± 16.2 a | 1436.3 ± 18.4 a | 645.3 ± 8.3 ab |
| HT1 | 3083.0 ± 3.5 b | 1729.7 ± 26.4 a | 2364.0 ± 28.1 a | 1223.3 ± 17.7 b | 664.0 ± 3.1 a | |
| HT2 | 3208.7 ± 31.4 a | 1741.7 ± 20.3 a | 2375.0 ± 27.6 a | 1467.0 ± 27.5 a | 622.3 ± 10.2 b | |
| Variety (V) | *** | *** | *** | *** | *** | |
| Temperature treatment (T) | *** | *** | *** | ** | *** | |
| V × T | *** | *** | *** | *** | * | |
Disclaimer/Publisher’s Note: The statements, opinions and data contained in all publications are solely those of the individual author(s) and contributor(s) and not of MDPI and/or the editor(s). MDPI and/or the editor(s) disclaim responsibility for any injury to people or property resulting from any ideas, methods, instructions or products referred to in the content. |
© 2023 by the authors. Licensee MDPI, Basel, Switzerland. This article is an open access article distributed under the terms and conditions of the Creative Commons Attribution (CC BY) license (https://creativecommons.org/licenses/by/4.0/).
Share and Cite
Zhang, X.; Zhang, Q.; Yang, J.; Jin, Y.; Wu, J.; Xu, H.; Xiao, Y.; Lai, Y.; Guo, Z.; Wang, J.; et al. Comparative Effects of Heat Stress at Booting and Grain-Filling Stage on Yield and Grain Quality of High-Quality Hybrid Rice. Foods 2023, 12, 4093. https://doi.org/10.3390/foods12224093
Zhang X, Zhang Q, Yang J, Jin Y, Wu J, Xu H, Xiao Y, Lai Y, Guo Z, Wang J, et al. Comparative Effects of Heat Stress at Booting and Grain-Filling Stage on Yield and Grain Quality of High-Quality Hybrid Rice. Foods. 2023; 12(22):4093. https://doi.org/10.3390/foods12224093
Chicago/Turabian StyleZhang, Xinzhen, Qiuping Zhang, Juan Yang, Yuhao Jin, Jinshui Wu, Hang Xu, Yang Xiao, Yusha Lai, Zhiqiang Guo, Jianlong Wang, and et al. 2023. "Comparative Effects of Heat Stress at Booting and Grain-Filling Stage on Yield and Grain Quality of High-Quality Hybrid Rice" Foods 12, no. 22: 4093. https://doi.org/10.3390/foods12224093
APA StyleZhang, X., Zhang, Q., Yang, J., Jin, Y., Wu, J., Xu, H., Xiao, Y., Lai, Y., Guo, Z., Wang, J., & Shi, W. (2023). Comparative Effects of Heat Stress at Booting and Grain-Filling Stage on Yield and Grain Quality of High-Quality Hybrid Rice. Foods, 12(22), 4093. https://doi.org/10.3390/foods12224093

