Unlocking the Antioxidant Potential of White Tea and Osmanthus Flower: A Novel Polyphenol Liquid Preparation and Its Impact on KM Mice and Their Offspring
Abstract
:1. Introduction
2. Materials and Methods
2.1. Reagents and Materials
2.2. Preparation of Liquid Formulations
2.3. Particle Size and Rheological Performance
2.4. Antioxidant Performance In Vitro
2.5. Animal Experiment
2.6. Anti-Fatigue in Offspring Mice
2.7. Data Analysis
3. Results
3.1. Performance of wtofLPP
3.2. Antioxidant Activity In Vitro
3.3. Effects on Weight-Bearing Swimming and Body Weight in Mice
3.4. Changes in Antioxidant Enzyme Indexes in Mice
3.5. Changes of Nonenzymatic Antioxidant Indices in Mice
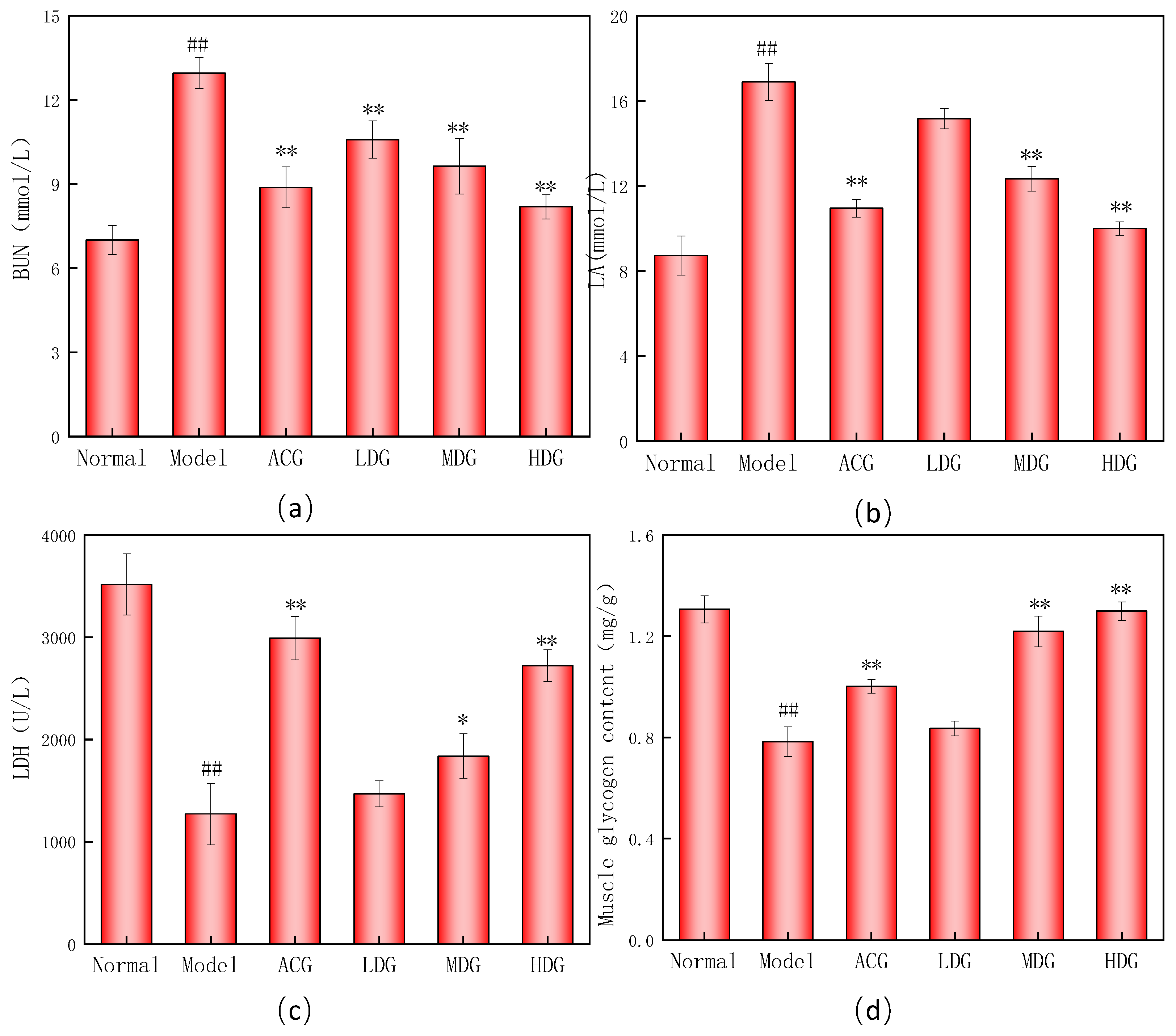
3.6. Changes in Biochemical Parameters Related to Fatigue
3.7. Histopathology
3.8. Effects on Mice Fertility and Offspring Weight
3.9. Effects on Antioxidant of Mouse Offspring
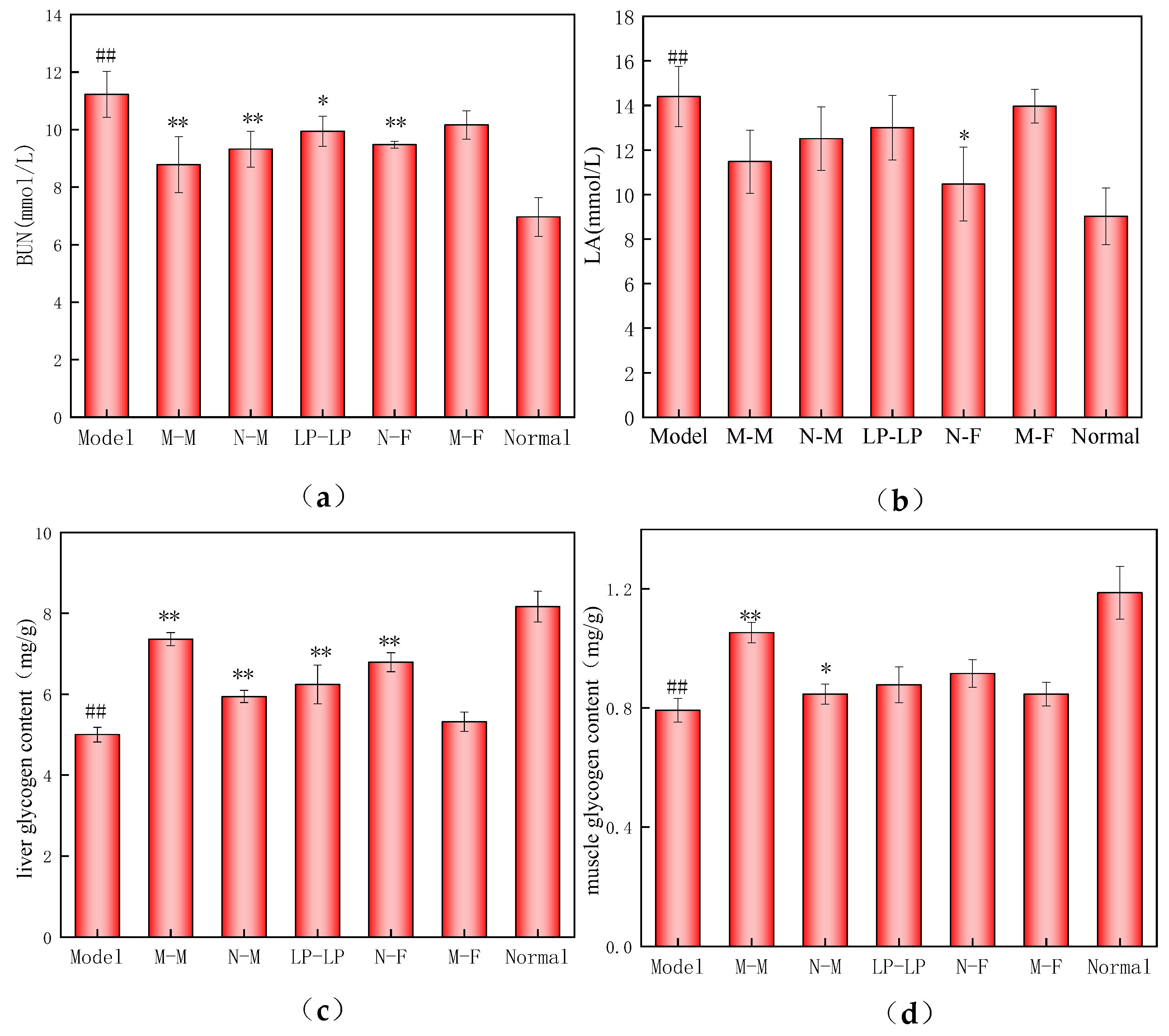
3.10. Effects on Fatigue Resistance of Mouse Offspring
4. Discussion
5. Conclusions
Author Contributions
Funding
Data Availability Statement
Acknowledgments
Conflicts of Interest
Abbreviations
| wtofLPP | liquid polyphenol preparation derived from white tea and osmanthus flower |
| ROS | reactive oxygen species |
| SOD | superoxide dismutase |
| GSH-Px | glutathione peroxidase |
| CAT | catalase |
| MDA | malondialdehyde |
| GSH | glutathione |
References
- Bloomer, R.J.; Goldfarb, A.H. Anaerobic exercise and oxidative stress: A review. Can. J. Appl. Physiol. Rev. Can. Physiol. Appl. 2004, 29, 245–263. [Google Scholar] [CrossRef] [PubMed]
- Groussard, C.; Rannou-Bekono, F.; Machefer, G.; Chevanne, M.; Vincent, S.; Sergent, O.; Cillard, J.; Gratas-Delamarche, A. Changes in blood lipid peroxidation markers and antioxidants after a single sprint anaerobic exercise. Eur. J. Appl. Physiol. 2003, 89, 14–20. [Google Scholar] [CrossRef] [PubMed]
- Scheffer, D.L.; Silva, L.A.; Tromm, C.B.; da Rosa, G.L.; Silveira, P.C.L.; de Souza, C.T.; Latini, A.; Pinho, R.A. Impact of different resistance training protocols on muscular oxidative stress parameters. Appl. Physiol. Nutr. Metab. 2012, 37, 1239–1246. [Google Scholar] [CrossRef] [PubMed]
- Bai, H.; Wang, Z.; Cui, J.; Yun, K.; Zhang, H.; Liu, R.H.; Fan, Z.; Cheng, C. Synergistic Radiation Protective Effect of Purified Auricularia auricular-judae Polysaccharide (AAP IV) with Grape Seed Procyanidins. Molecules 2014, 19, 20675–20694. [Google Scholar] [CrossRef]
- Zhang, H.; Wang, Z.-Y.; Yang, L.; Yang, X.; Wang, X.; Zhang, Z. In Vitro Antioxidant Activities of Sulfated Derivatives of Polysaccharides Extracted from Auricularia auricula. Int. J. Mol. Sci. 2011, 12, 3288–3302. [Google Scholar] [CrossRef]
- Perron, N.R.; Brumaghim, J.L. A Review of the Antioxidant Mechanisms of Polyphenol Compounds Related to Iron Binding. Cell Biochem. Biophys. 2009, 53, 75–100. [Google Scholar] [CrossRef]
- Jiang, N.; Wang, M.; Jiang, D.; Feng, X. Research progress on plant polyphenols. J. Food Saf. Qual. 2016, 7, 439–444. (In Chinese) [Google Scholar]
- He, Q.; Dong, J. Polyphenols in Fruits and Vegetables and Its Function. J. Xihua Univ. Nat. Sci. Ed. 2019, 38, 37–44. (In Chinese) [Google Scholar]
- Yahfoufi, N.; Alsadi, N.; Jambi, M.; Matar, C. The Immunomodulatory and Anti-Inflammatory Role of Polyphenols. Nutrients 2018, 10, 1618. [Google Scholar] [CrossRef]
- Saimaiti, A.; Huang, S.Y.; Xiong, R.G. Antioxidant Capacities and Polyphenol Contents of Kombucha Beverages Based on Vine Tea and Sweet Tea. Antioxidants 2022, 11, 1655. [Google Scholar] [CrossRef]
- Zheng, S.; Zhong, Z.; Wu, H.; Zhao, X.; Lu, X. Research progress on pharmacological action and health efficacy of white tea. Cereals Oils 2020, 33, 16–18. [Google Scholar]
- Pan, X.J.; Niu, G.G.; Liu, H.Z. Microwave-assisted extraction of tea polyphenols and tea caffeine from green tea leaves. Chem. Eng. Process. Process Intensif. 2003, 42, 129–133. [Google Scholar] [CrossRef]
- Wei, W.; Guo, W.-Y. Study on Ultrasonic-Surfactant Extraction of Total Flavonoids from Albizia julibrissin Flower by Response Surface Methodology. Zhong Yao Cai J. Chin. Med. Mater. 2015, 38, 606–609. [Google Scholar]
- Banerjee, S.; Chatterjee, J. Efficient extraction strategies of tea (Camellia sinensis) biomolecules. J. Food Sci. Technol. Mysore 2015, 52, 3158–3168. [Google Scholar] [CrossRef] [PubMed]
- Kaur, G.J.; Orsat, V.; Singh, A. An overview of different homogenizers, their working mechanisms and impact on processing of fruits and vegetables. Crit. Rev. Food Sci. Nutr. 2023, 63, 2004–2017. [Google Scholar] [CrossRef]
- Shanmugam, A.; Ashokkumar, M. Characterization of Ultrasonically Prepared Flaxseed oil Enriched Beverage/Carrot Juice Emulsions and Process-Induced Changes to the Functional Properties of Carrot Juice. Food Bioprocess Technol. 2015, 8, 1258–1266. [Google Scholar] [CrossRef]
- Amensour, M.; Sendra, E.; Abrini, J.; Pérez-Álvarez, J.A. Antioxidant activity and total phenolic compounds of myrtle extracts. CyTA-J. Food 2010, 8, 95–101. [Google Scholar] [CrossRef]
- Tang, K.; Zhou, J.S.; Ye, F.Y.; Wu, P. Antioxidant activity of thioesterificated alkali soluble Poria cocos polysaccharide. China Food Addit. 2020, 7, 21–26. (In Chinese) [Google Scholar]
- Wang, Q.F.; Wang, Y.F.; Hou, Y.H.; Shi, Y.L.; Han, H.; Miao, M.; Wu, Y.Y.; Liu, Y.P.; Yue, X.N.; Li, Y.J. Cloning, expression and Biochemical Characterization of Recombinant Superoxide Dismutase from Antarctic Psychrophilic Bacterium Pseudoalteromonas sp. ANT506. J. Basic Microbiol. 2016, 56, 753–761. [Google Scholar] [CrossRef]
- Du, B.; Xu, B. Oxygen radical absorbance capacity (ORAC) and ferric reducing antioxidant power (FRAP) of β-glucans from different sources with various molecular weight. Bioact. Carbohydr. Diet. Fibre 2014, 3, 11–16. [Google Scholar] [CrossRef]
- Wasserman, L. Topological Data Analysis. Annu. Rev. Stat. Appl. 2018, 5, 501–532. [Google Scholar] [CrossRef]
- Ito, F.; Sono, Y.; Ito, T. Measurement and Clinical Significance of Lipid Peroxidation as a Biomarker of Oxidative Stress: Oxidative Stress in Diabetes, Atherosclerosis, and Chronic Inflammation. Antioxidants 2019, 8, 72. [Google Scholar] [CrossRef] [PubMed]
- Davies, P.; Popplewell, J. Particle-Size Analysis of Micrometersized Particles Using Magnetic Liquids. J. Phys. D Appl. Phys. 1987, 20, 1540. [Google Scholar] [CrossRef]
- Peters, R.J.B.; Van Bemmel, G.; Herrera-Rivera, Z.; Helsper, H.P.F.G.; Marvin, H.J.P.; Weigel, S.; Tromp, P.C.; Oomen, A.G.; Rietveld, A.G.; Bouwmeester, H. Characterization of Titanium Dioxide Nanoparticles in Food Products: Analytical Methods To Define Nanoparticles. J. Agric. Food Chem. 2014, 62, 6285–6293. [Google Scholar] [CrossRef] [PubMed]
- Wu, W. Studies on the Technology of Time and Temperature Superimposition on the Application in the Stirred Yoghurt. Beverage Ind. 2019, 22, 32–36. (In Chinese) [Google Scholar]
- Denissen, W.; Droesbeke, M.; Nicolaÿ, R.; Leibler, L.; Winne, J.M.; Prez, F.E.D. Chemical control of the viscoelastic properties of vinylogous urethane vitrimers. Nat. Commun. 2017, 8, 14857. [Google Scholar] [CrossRef]
- Cena, H.; Chiovato, L.; Nappi, R.E. Obesity, Polycystic Ovary Syndrome, and Infertility: A New Avenue for GLP-1 Receptor Agonists. J. Clin. Endocrinol. Metab. 2020, 105, E2695–E2709. [Google Scholar] [CrossRef]
- Zhao, H.; Zhang, R.; Yan, X.; Fan, K. Superoxide dismutase nanozymes: An emerging star for anti-oxidation. J. Mater. Chem. B 2021, 9, 6939–6957. [Google Scholar] [CrossRef]
- Xu, Z.; Regenstein, J.M.; Xie, D.; Lu, W.; Ren, X.; Yuan, J.; Mao, L. The oxidative stress and antioxidant responses of Litopenaeus vannamei to low temperature and air exposure. Fish Shellfish Immunol. 2018, 72, 564–571. [Google Scholar] [CrossRef]
- Cheraghi, S.; Taher, M.A.; Karimi-Maleh, H.; Karimi, F.; Shabani-Nooshabadi, M.; Alizadeh, M.; Al-Othman, A.; Erk, N.; Raman, P.K.Y.; Karaman, C. Novel enzymatic graphene oxide based biosensor for the detection of glutathione in biological body fluids. Chemosphere 2022, 287, 132187. [Google Scholar] [CrossRef]
- Zhang, Z.; Lu, M.; Chen, C.; Tong, X.; Li, Y.; Yang, K.; Lv, H.; Xu, J.; Qin, L. Holo-lactoferrin: The link between ferroptosis and radiotherapy in triple-negative breast cancer. Theranostics 2021, 11, 3167–3182. [Google Scholar] [CrossRef]
- Huang, S.; Lin, H.; Deng, S.-G. Study of Anti-Fatigue Effect in Rats of Ferrous Chelates Including Hairtail Protein Hydrolysates. Nutrients 2015, 7, 9860–9871. [Google Scholar] [CrossRef] [PubMed]
- Trevisan, M.; Browne, R.; Ram, M.; Muti, P.; Freudenheim, J.; Carosella, A.M.; Armstrong, D. Correlates of markers of oxidative status in the general population. Am. J. Epidemiol. 2001, 154, 348–356. [Google Scholar] [CrossRef]
- Gu, Q.L.; Wu, W.T. Recent Advances in Pharmacological and Clinical Studies of Glutathione. Pharm. Biotechnol. 2001, 8, 47–50. (In Chinese) [Google Scholar]
- Zhu, Y.; Li, J.; Wu, Z.; Lu, Y.; You, H.; Li, R.; Li, B.; Yang, X.; Duan, L. Acute exposure of ozone induced pulmonary injury and the protective role of vitamin E through the Nrf2 pathway in Balb/c mice. Toxicol. Res. 2016, 5, 268–277. [Google Scholar] [CrossRef] [PubMed]
- Johnston, P.C.; McCance, D.R.; Holmes, V.A.; Young, I.S.; McGinty, A. Placental antioxidant enzyme status and lipid peroxidation in pregnant women with type 1 diabetes: The effect of vitamin C and E supplementation. J. Diabetes Complicat. 2016, 30, 109–114. [Google Scholar] [CrossRef]
- Wei, W.; Feng, L.; Bao, W.-R.; Ma, D.-L.; Leung, C.-H.; Nie, S.-P.; Han, Q.-B. Structure Characterization and Immunomodulating Effects of Polysaccharides Isolated from Dendrobium officinale. J. Agric. Food Chem. 2016, 64, 881–889. [Google Scholar] [CrossRef]
- Wang, J.; Sun, C.; Zheng, Y.; Pan, H.; Zhou, Y.; Fan, Y. The effective mechanism of the polysaccharides from Panax ginseng on chronic fatigue syndrome. Arch. Pharmacal Res. 2014, 37, 530–538. [Google Scholar] [CrossRef]
- Bao, L.; Cai, X.; Wang, J.; Zhang, Y.; Sun, B.; Li, Y. Anti-Fatigue Effects of Small Molecule Oligopeptides Isolated from Panax ginseng C. A. Meyer in Mice. Nutrients 2016, 8, 807. [Google Scholar] [CrossRef]
- Yun, D. The experimental study about anti-fatigue effect of the tea polyphenol on the movement of rats. J. Northwest Univ. Nat. Sci. Ed. 2012, 42, 783–786. (In Chinese) [Google Scholar]
- Dun, X.X.; Zheng, S.L.; Jiang, B.; Zhang, Q.; An, L.J. The Effect and Mechanism of Concentrated Blueberry Juice on Anti-fatigue in Mice. Prog. Mod. Biomed. 2018, 18, 826–831. [Google Scholar]
- Li, W. Anti-fatigue Effect of Polysaccharide Extract from Ganoderma atrum on Exhausted Mice. Genom. Appl. Biol. 2020, 39, 4339–4344. (In Chinese) [Google Scholar]
- Hsu, C.C.; Ho, M.C.; Lin, L.C.; Su, B.; Hsu, M.C. American ginseng supplementation attenuates creatine kinase level induced by submaximal exercise in human beings. World J. Gastroenterol. 2005, 11, 5327–5331. [Google Scholar] [CrossRef] [PubMed]
- Wilson, L.H.; Cho, J.-H.; Estrella, A.; Smyth, J.A.; Wu, R.; Chengsupanimit, T.; Brown, L.M.; Weinstein, D.A.; Lee, Y.M. Liver Glycogen Phosphorylase Deficiency Leads to Profibrogenic Phenotype in a Murine Model of Glycogen Storage Disease Type VI. Hepatol. Commun. 2019, 3, 1544–1555. [Google Scholar] [CrossRef] [PubMed]










Disclaimer/Publisher’s Note: The statements, opinions and data contained in all publications are solely those of the individual author(s) and contributor(s) and not of MDPI and/or the editor(s). MDPI and/or the editor(s) disclaim responsibility for any injury to people or property resulting from any ideas, methods, instructions or products referred to in the content. |
© 2023 by the authors. Licensee MDPI, Basel, Switzerland. This article is an open access article distributed under the terms and conditions of the Creative Commons Attribution (CC BY) license (https://creativecommons.org/licenses/by/4.0/).
Share and Cite
Wang, Y.; Xu, J.; Fan, Z.; Zhou, X.; Wang, Z.; Zhang, H. Unlocking the Antioxidant Potential of White Tea and Osmanthus Flower: A Novel Polyphenol Liquid Preparation and Its Impact on KM Mice and Their Offspring. Foods 2023, 12, 4041. https://doi.org/10.3390/foods12214041
Wang Y, Xu J, Fan Z, Zhou X, Wang Z, Zhang H. Unlocking the Antioxidant Potential of White Tea and Osmanthus Flower: A Novel Polyphenol Liquid Preparation and Its Impact on KM Mice and Their Offspring. Foods. 2023; 12(21):4041. https://doi.org/10.3390/foods12214041
Chicago/Turabian StyleWang, Yisen, Jiaqi Xu, Ziluan Fan, Xun Zhou, Zhenyu Wang, and Hua Zhang. 2023. "Unlocking the Antioxidant Potential of White Tea and Osmanthus Flower: A Novel Polyphenol Liquid Preparation and Its Impact on KM Mice and Their Offspring" Foods 12, no. 21: 4041. https://doi.org/10.3390/foods12214041
APA StyleWang, Y., Xu, J., Fan, Z., Zhou, X., Wang, Z., & Zhang, H. (2023). Unlocking the Antioxidant Potential of White Tea and Osmanthus Flower: A Novel Polyphenol Liquid Preparation and Its Impact on KM Mice and Their Offspring. Foods, 12(21), 4041. https://doi.org/10.3390/foods12214041

