A Nationwide Survey and Risk Assessment of Ethyl Carbamate Exposure Due to Daily Intake of Alcoholic Beverages in the Chinese General Population
Abstract
:1. Introduction
2. Materials and Methods
2.1. Reagents and Apparatus
2.2. Consumption Survey and Sampling of Alcoholic Beverages
2.3. Analytical Procedures
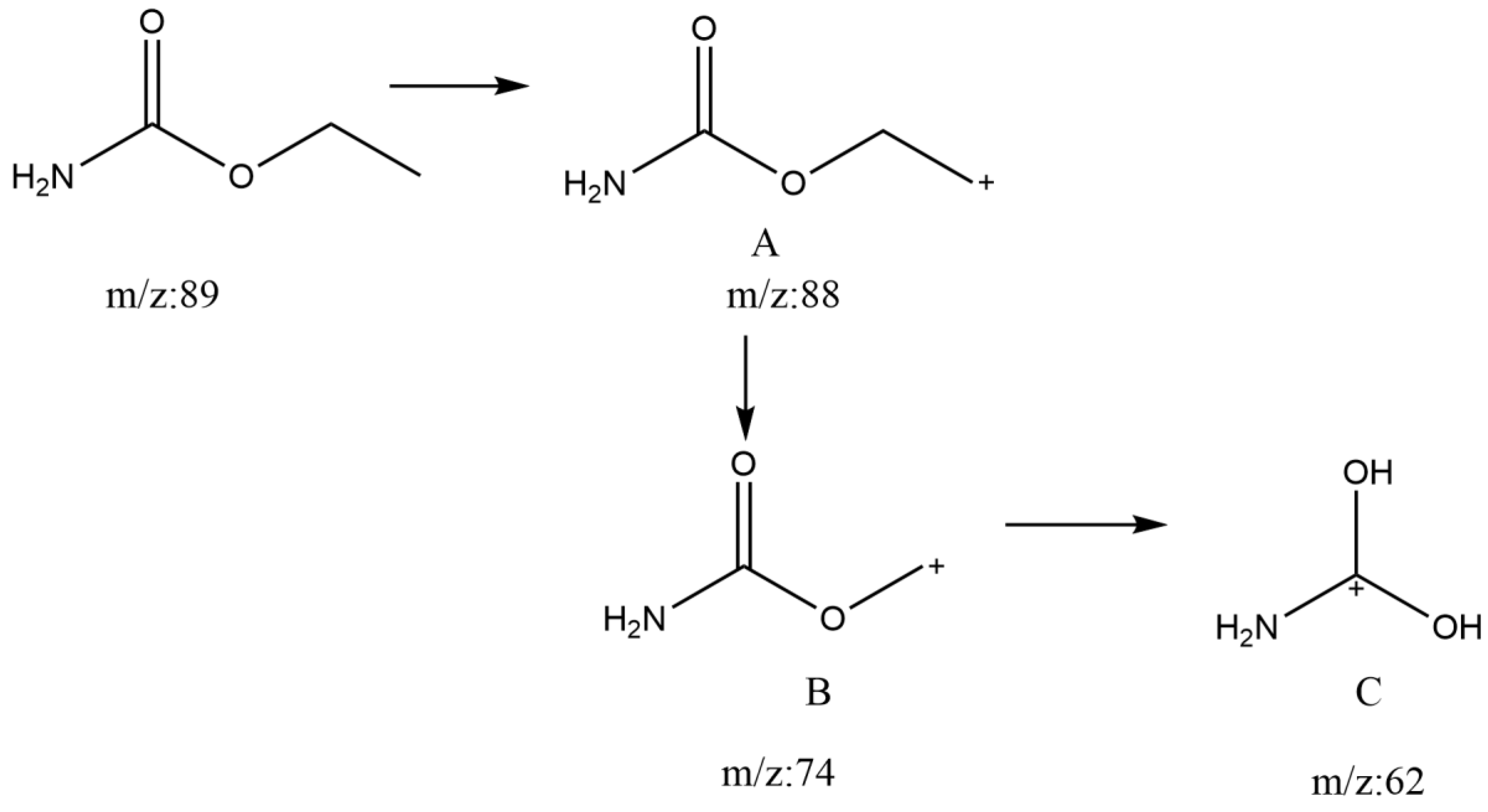
2.3.1. Preparation of Standard Solution
2.3.2. Analysis Method
2.3.3. Instrumental Analysis
2.4. Quality Control of the Analysis
2.5. Estimated Dietary Intake of Ethyl Carbamate
2.6. Margin of Exposure Approach
2.7. Cancer Risk Approach
3. Results and Discussion
3.1. Method Parameter Validation
3.2. Occurrence of EC in Chinese Dietary Alcohol Beverages
3.3. Consumption of EC from Alcoholic Beverages in the Chinese General Population
3.4. Estimated Daily Intakes of Alcoholic Beverages in the Chinese General Population
3.5. Margin of Exposure
3.6. Lifetime Cancer Risk
4. Conclusions
Author Contributions
Funding
Institutional Review Board Statement
Informed Consent Statement
Data Availability Statement
Acknowledgments
Conflicts of Interest
References
- Haddow, A.; Sexton, W.A. Influence of carbamic esters (urethanes) on experimental animal tumours. Nature 1946, 157, 500–503. [Google Scholar] [CrossRef] [PubMed]
- Sakano, K.; Oikawa, S.; Hiraku, Y.; Kawanishi, S. Metabolism of carcinogenic urethane to nitric oxide is involved in oxidative DNA damage. Free Radic. Biol. Med. 2002, 33, 703–714. [Google Scholar] [CrossRef] [PubMed]
- Miller, Y.E.; Dwyer-Nield, L.D.; Keith, R.L.; Le, M.; Franklin, W.A.; Malkinson, A.M. Induction of a high incidence of lung tumors in C57BL/6 mice with multiple ethyl carbamate injections. Cancer Lett. 2003, 198, 139–144. [Google Scholar] [CrossRef] [PubMed]
- Gowd, V.; Su, H.; Karlovsky, P.; Chen, W. Ethyl carbamate: An emerging food and environmental toxicant. Food Chem. 2018, 248, 312–321. [Google Scholar] [CrossRef] [PubMed]
- Xu, Y.; Li, Y.; Li, J.; Chen, W. Ethyl carbamate triggers ferroptosis in liver through inhibiting GSH synthesis and suppressing Nrf2 activation. Redox Biol. 2022, 53, 102349. [Google Scholar] [CrossRef]
- Cui, X.; Wang, J.; Qiu, N.; Wu, Y. In vitro toxicological evaluation of ethyl carbamate in human HepG2 cells. Toxicol. Res. 2016, 5, 697–702. [Google Scholar] [CrossRef]
- Sulukan, E.; Ghosigharehagaji, A.; Baran, A.; Yildirim, S.; Bolat, I.; Ceyhun, S.B. A versatile toxicity evaluation of ethyl carbamate (urethane) on zebrafish embryos: Morphological, physiological, histopathological, immunohistochemical, transcriptional and behavioral approaches. Toxicol. Lett. 2021, 353, 71–78. [Google Scholar] [CrossRef]
- Naomi, E.A.; Jacques, B.; Kim, B.; Pj, B. IARC Monographs on the Evaluation of Carcinogenic Risks to Humans Volume 96, Alcohol Consumption and Ethyl Carbamate; International Agency for Research on Cancer: Lyon, France, 2010; pp. 3–1383. [Google Scholar]
- Abt, E.; Incorvati, V.; Robin, L.P.; Redan, B.W. Occurrence of Ethyl Carbamate in Foods and Beverages: Review of the Formation Mechanisms, Advances in Analytical Methods, and Mitigation Strategies. J. Food Prot. 2021, 84, 2195–2212. [Google Scholar] [CrossRef]
- Zhao, X.; Du, G.; Zou, H.; Fu, J.; Zhou, J.; Chen, J. Progress in preventing the accumulation of ethyl carbamate in alcoholic beverages. Trends Food Sci. Technol. 2013, 32, 97–107. [Google Scholar] [CrossRef]
- Li, G.; Zhong, Q.; Wang, D.; Gao, H. A survey of ethyl carbamate in beer from Chinese market. Food Control 2017, 79, 254–257. [Google Scholar] [CrossRef]
- Battaglia, R.; Conacher, H.B.S.; Page, B.D. Ethyl carbamate (urethane) in alcoholic beverages and foods: A review. Food Addit. Contam. 1990, 7, 477–496. [Google Scholar] [CrossRef] [PubMed]
- Monteiro, F.F.; Trousdale, E.K.; Bisson, L.F. Ethyl Carbamate Formation in Wine: Use of Radioactively Labeled Precursors to Demonstrate the Involvement of Urea. Am. J. Enol. Vitic. 1989, 40, 1–8. [Google Scholar] [CrossRef]
- Stevens, D.F.; Ough, C.S. Ethyl Carbamate Formation: Reaction of Urea and Citrulline with Ethanol in Wine Under Low to Normal Temperature Conditions. Am. J. Enol. Vitic. 1993, 44, 309–312. [Google Scholar] [CrossRef]
- Yu, W.; Li, X.; Lu, J.; Xie, G. Citrulline production by lactic acid bacteria in Chinese rice wine. J. Inst. Brew. 2018, 124, 85–90. [Google Scholar] [CrossRef]
- Aresta, M.; Boscolo, M.; Franco, D.W. Copper (II) Catalysis in Cyanide Conversion into Ethyl Carbamate in Spirits and Relevant Reactions. J. Agric. Food Chem. 2001, 49, 2819–2824. [Google Scholar] [CrossRef] [PubMed]
- Wu, P.; Pan, X.; Wang, L.; Shen, X.; Yang, D. A survey of ethyl carbamate in fermented foods and beverages from Zhejiang, China. Food Control 2012, 23, 286–288. [Google Scholar] [CrossRef]
- Guan, T.; Tian, X.; Wu, J.; Luo, J.; Peng, Z.; Yang, H.; Zhao, X.; Zhang, J. Investigation and risk assessment of ethyl carbamate in Chinese Baijiu. LWT 2021, 152, 112340. [Google Scholar] [CrossRef]
- Chen, D.; Ren, Y.; Zhong, Q.; Shao, Y.; Zhao, Y.; Wu, Y. Ethyl carbamate in alcoholic beverages from China: Levels, dietary intake, and risk assessment. Food Control 2017, 72, 283–288. [Google Scholar] [CrossRef]
- Vahl, M. A survey of ethyl carbamate in beverages, bread and acidified milks sold in Denmark. Food Addit. Contam. 1993, 10, 585–592. [Google Scholar] [CrossRef]
- Lachenmeier, D.W.; Schehl, B.; Kuballa, T.; Frank, W.; Senn, T. Retrospective trends and current status of ethyl carbamate in German stone-fruit spirits. Food Addit. Contam. 2005, 22, 397–405. [Google Scholar] [CrossRef]
- Hasnip, S.; Crews, C.; Potter, N.; Christy, J.; Chan, D.; Bondu, T.; Matthews, W.; Walters, B.; Patel, K. Survey of Ethyl Carbamate in Fermented Foods Sold in the United Kingdom in 2004. J. Agric. Food Chem. 2007, 55, 2755–2759. [Google Scholar] [CrossRef] [PubMed]
- Ferreira, D.C.; Nicolli, K.P.; Souza-Silva, E.A.; Manfroi, V.; Zini, C.A.; Welke, J.E. Carbonyl compounds in different stages of vinification and exposure risk assessment through Merlot wine consumption. Food Addit. Contam. Part A 2018, 35, 2315–2331. [Google Scholar] [CrossRef] [PubMed]
- Lachenmeier, D.W.; Lima, M.C.P.; Nóbrega, I.C.C.; Pereira, J.A.P.; Kerr-Corrêa, F.; Kanteres, F.; Rehm, J. Cancer risk assessment of ethyl carbamate in alcoholic beverages from Brazil with special consideration to the spirits cachaça and tiquira. BMC Cancer 2010, 10, 266. [Google Scholar] [CrossRef] [PubMed]
- Riachi, L.G.; Santos, A.; Moreira, R.F.; De Maria, C.A. A review of ethyl carbamate and polycyclic aromatic hydrocarbon contamination risk in cachaca and other Brazilian sugarcane spirits. Food Chem. 2014, 149, 159–169. [Google Scholar] [CrossRef] [PubMed]
- Ryu, D.; Choi, B.; Kim, E.; Park, S.; Paeng, H.; Kim, C.I.; Lee, J.Y.; Yoon, H.J.; Koh, E. Determination of Ethyl Carbamate in Alcoholic Beverages and Fermented Foods Sold in Korea. Toxicol. Res. 2015, 31, 289–297. [Google Scholar] [CrossRef]
- Choi, B.; Jang, Y.; Koh, E. Determination of ethyl carbamate in soy sauce from Korean market. Food Control 2018, 93, 56–60. [Google Scholar] [CrossRef]
- Jung, S.; Kim, S.; Kim, I.; Chung, M.-S.; Moon, B.; Shin, S.; Lee, J. Risk assessment of ethyl carbamate in alcoholic beverages in Korea using the margin of exposure approach and cancer risk assessment. Food Control 2021, 124, 107867. [Google Scholar] [CrossRef]
- Alberts, P.; Stander, M.A.; De Villiers, A. Development of a novel solid-phase extraction, LC-MS/MS method for the analysis of ethyl carbamate in alcoholic beverages: Application to South African wine and spirits. Food Addit. Contam. Part A 2011, 28, 826–839. [Google Scholar] [CrossRef]
- Nwagbaoso, O.C.; Mazi, E.A.; Okoronkwo, K.A. A survey of levels of ethyl carbamate in beer sold in south-east Nigeria. J. Food Sci. Nutr. 2018, 2, 13–16. [Google Scholar] [CrossRef]
- Health-Canada. Health Canada’s Maximum Levels for Chemical Contaminants in Foods. Available online: https://www.canada.ca/en/health-canada/services/food-nutrition/food-safety/chemical-contaminants/maximum-levels-chemical-contaminants-foods.html (accessed on 28 December 2022).
- FSANZ. Ethyl Carbamate in Australian Foods. 2007. Available online: https://www.foodstandards.gov.au/science/surveillance/pages/ethylcarbamateinaust5520.aspx (accessed on 28 December 2022).
- EFSA. Ethyl carbamate and hydrocyanic acid in food and beverages [1]-Scientific Opinion of the Panel on Contaminants. EFSA J. 2007, 5, 551. [Google Scholar] [CrossRef]
- JECFA. Joint FAO/WHO Food Standards Programme Codex Committee on Contaminants in Foods; JECFA: Beijing, China, 2007. [Google Scholar]
- EFSA. Opinion of the scientific committee on a request from EFSA related to a harmonised approach for risk assessment of substances which are both genotoxic and carcinogenic (Request No EFSA-Q-2004-020) Adopted: 18 October 2005. EFSA J. 2005, 3, 282. [Google Scholar]
- Sanner, T.; Dybing, E.; Willems, M.I.; Kroese, E.D. A simple method for quantitative risk assessment of non-threshold carcinogens based on the dose descriptor T25. Pharmacol. Toxicol. 2001, 88, 331–341. [Google Scholar] [CrossRef] [PubMed]
- O’Brien, J.; Renwick, A.G.; Constable, A.; Dybing, E.; Muller, D.J.; Schlatter, J.; Slob, W.; Tueting, W.; van Benthem, J.; Williams, G.M.; et al. Approaches to the risk assessment of genotoxic carcinogens in food: A critical appraisal. Food Chem. Toxicol. 2006, 44, 1613–1635. [Google Scholar] [CrossRef] [PubMed]
- Schlatter, J.; Lutz, W.K. The carcinogenic potential of ethyl carbamate (urethane): Risk assessment at human dietary exposure levels. Food Chem. Toxicol. 1990, 28, 205–211. [Google Scholar] [CrossRef]
- Analytical Detection Limit Guidance & Laboratory Guide for Determining Method Detection Limits. Available online: http://www.iatl.com/content/file/LOD%20Guidance%20Document.pdf (accessed on 25 April 2023).
- Chang, J.L.; Wang, Y. Comprehensive Report on China nutrition and Health Surveillance (2010–2013); Peking University Medical Press: Beijing, China, 2016. [Google Scholar]
- GEMS/Food-EURO Second Workshop on Reliable Evaluation of Low-Level Contamination of Food Report on a Workshop in the Frame of GEMS/Food-EURO Kulmbach|Semantic Scholar. Available online: https://www.semanticscholar.org/paper/GEMS-Food-EURO-Second-Workshop-on-Reliable-of-of-on/7d5162794a407ce3361458649750a63b6bda3381 (accessed on 12 July 2023).
- WHO. Alcohol Consumption by Country 2022. Available online: https://worldpopulationreview.com/country-rankings/alcohol-consumption-by-country (accessed on 12 July 2023).
- Mo, D.; Min, K.; Gluck, R.; Jiang, F.; Tao, R.; Geng, F.; Xia, L.; Liu, T.; Liu, Y.; Liu, H.; et al. Alcohol use and misuse among Chinese psychiatrists during the early COVID-19 pandemic. Front. Psychiatry 2022, 13, 933814. [Google Scholar] [CrossRef]
- Wang, Y.; Lu, H.; Hu, M.; Wu, S.; Chen, J.; Wang, L.; Luo, T.; Wu, Z.; Liu, Y.; Tang, J.; et al. Alcohol consumption in China before and during COVID-19: Preliminary results from an online retrospective survey. Front. Psychiatry 2020, 11, 597826. [Google Scholar] [CrossRef]
- Millwood, I.Y.; Walters, R.G.; Mei, X.W.; Guo, Y.; Yang, L.; Bian, Z.; Bennett, D.A.; Chen, Y.; Dong, C.; Hu, R.; et al. Conventional and genetic evidence on alcohol and vascular disease aetiology: A prospective study of 500,000 men and women in China. Lancet 2019, 393, 1831–1842. [Google Scholar] [CrossRef]
- Dybing, E.; Sanner, T.; Roelfzema, H.; Kroese, D.; Tennant, R.W. T25: A simplified carcinogenic potency index: Description of the system and study of correlations between carcinogenic potency and species/site specificity and mutagenicity. Pharmacol. Toxicol. 1997, 80, 272–279. [Google Scholar] [CrossRef]






| Provinces | Type and Number of Sampling Sites | Sample Information for Each Sampling Site |
|---|---|---|
| Jiangsu | 4 rural + 2 urban | Gujinggong Wine; Rice Wine; Red Wine |
| Hunan | 4 rural + 2 urban | Beer; Baijiu |
| Shanghai | 2 rural + 1 urban | Rice Wine; Beer; Baijiu; Wine |
| Jiangxi | 2 rural + 2 urban | Beer; Rice Wine; Chinese Vodka |
| Zhejiang | 4 rural + 2 urban | Beer; Rice Wine; Red Wine; Chinese Vodka |
| Gansu | 2 rural + 1 urban | Beer; Baijiu |
| Guizhou | 2 rural + 1 urban | Beer; Rice Wine; Baijiu |
| Nei Mongolia | 2 rural + 1 urban | Beer; Chinese Vodka |
| Hebei | 4 rural + 2 urban | Beer; Baijiu |
| Beijing | 2 rural + 1 urban | Beer; Chinese Vodka; Red Wine |
| Fujian | 2 rural + 1 urban | Beer; Baijiu; Daqu Liquor |
| Jilin | 2 rural + 1 urban | Beer; Chinese Vodka |
| Heilongjiang | 2 rural + 1 urban | Beer; Baijiu |
| Shaanxi | 2 rural + 1 urban | Beer; Chinese Vodka |
| Liaoning | 2 rural + 1 urban | Beer; Baijiu |
| Henan | 4 rural + 2 urban | Beer; Chinese Vodka; Wine |
| Guangdong | 4 rural + 2 urban | Beer; Red Wine; Rice Wine; Brandy |
| Guangxi | 2 rural + 1 urban | Beer; Baijiu; Red Wine |
| Hubei | 4 rural + 2 urban | Beer; Baijiu |
| Qinghai | 2 rural + 1 urban | Highland Barley Wine |
| Shandong | 4 rural + 2 urban | Beer; Red Wine; Baijiu |
| Ningxia | 2 rural + 1 urban | Chinese Vodka |
| Shanxi | 2 rural + 1 urban | Baijiu |
| Sichuan | 4 rural + 2 urban | Beer; Wine; Chinese Vodka |
| Provinces | Consumption (g/d) | Estimated Daily Intake (ng/kg bw/d) | ||
|---|---|---|---|---|
| The 5th TDS | The 6th TDS | The 5th TDS | The 6th TDS | |
| Heilongjiang | 13.3 | 22.0 | 1.65 | 1.78 |
| Liaoning | 45.5 | 33.7 | 5.63 | 6.45 |
| Hebei | 45.2 | 10.7 | 5.81 | 0.001 |
| Beijing | 12.4 | 27.4 | 0.20 | 0.44 |
| Jilin | / | 9.6 | / | 0.69 |
| Shanxi | 1.9 | 0.3 | 0.14 | 0.04 |
| Shaanxi | / | 1.7 | / | 0.44 |
| Henan | 1.0 | 3.2 | 0.42 | 0.34 |
| Ningxia | 0.5 | 0.5 | 0.15 | 0.18 |
| Neimenggu | / | 20.8 | / | 1.23 |
| Qinghai | / | 4.7 | / | 0.37 |
| Gansu | / | 3.3 | / | 0.05 |
| Shanghai | 25.1 | 22.5 | 13.99 | 0.36 |
| Fujian | 45.3 | 14.3 | 7.27 | 1.48 |
| Jiangxi | 74.8 | 21.6 | 28.50 | 5.93 |
| Jiangsu | 37.5 | 37.5 | 9.46 | 6.88 |
| Zhejiang | 69.2 | 62.7 | 40.51 | 24.56 |
| Shandong | / | 113.6 | / | 6.03 |
| Hubei | 19.8 | 14.3 | 9.71 | 2.75 |
| Sichuan | 14.7 | 5.2 | 3.99 | 1.55 |
| Guangxi | 4.2 | 32.0 | 2.74 | 2.08 |
| Hunan | 11.3 | 16.7 | 5.35 | 3.73 |
| Guangdong | / | 1.3 | / | 0.08 |
| Guizhou | / | 2.2 | / | 1.17 |
| Mean | 26.4 | 20.1 | 8.30 | 3.23 |
| Media | 17.3 | 14.3 | / | / |
| P25 | 9.5 | 3.3 | / | / |
| P75 | 45.2 | 24.0 | / | / |
| P95 | 70.6 | 59.0 | / | / |
| Provinces | MOE | VSD | T25 |
|---|---|---|---|
| Heilongjiang | 1.7 × 105 | 8.9 × 10−8 | 5.0 × 10−8 |
| Liaoning | 4.7 × 104 | 3.2 × 10−7 | 1.8 × 10−7 |
| Hebei | 3.3 × 108 | 4.6 × 10−11 | 2.6 × 10−11 |
| Beijing | 6.9 × 105 | 2.2 × 10−8 | 1.2 × 10−8 |
| Jilin | 4.3 × 105 | 3.5 × 10−8 | 2.0 × 10−8 |
| Shanxi | 6.9 × 106 | 2.2 × 10−9 | 1.2 × 10−9 |
| Shaanxi | 6.9 × 105 | 2.2 × 10−8 | 1.2 × 10−8 |
| Henan | 8.8 × 105 | 1.7 × 10−8 | 9.6 × 10−9 |
| Ningxia | 1.7 × 106 | 8.8 × 10−9 | 4.9 × 10−9 |
| Neimenggu | 2.4 × 105 | 6.1 × 10−8 | 3.4 × 10−8 |
| Qinghai | 8.2 × 105 | 1.8 × 10−8 | 1.0 × 10−8 |
| Gansu | 5.7 × 106 | 2.6 × 10−9 | 1.5 × 10−9 |
| Shanghai | 8.4 × 105 | 1.8 × 10−8 | 1.0 × 10−8 |
| Fujian | 2.0 × 105 | 7.4 × 10−8 | 4.2 × 10−8 |
| Jiangxi | 5.1 × 104 | 3.0 × 10−7 | 1.7 × 10−7 |
| Jiangsu | 4.4 × 104 | 3.4 × 10−7 | 1.9 × 10−7 |
| Zhejiang | 1.2 × 104 | 1.2 × 10−6 | 6.9 × 10−7 |
| Shandong | 2.7 × 104 | 5.5 × 10−7 | 3.1 × 10−7 |
| Hubei | 1.1 × 105 | 1.4 × 10−7 | 7.7 × 10−8 |
| Sichuan | 1.9 × 105 | 7.7 × 10−8 | 4.4 × 10−8 |
| Guangxi | 1.4 × 105 | 1.0 × 10−7 | 5.9 × 10−8 |
| Hunan | 8.0 × 104 | 1.9 × 10−7 | 1.0 × 10−7 |
| Guangdong | 3.6 × 106 | 4.2 × 10−9 | 2.4 × 10−9 |
| Guizhou | 2.6 × 105 | 5.8 × 10−8 | 3.3 × 10−8 |
| mean | 9.8 × 104 | 1.5 × 10−7 | 8.6 × 10−8 |
Disclaimer/Publisher’s Note: The statements, opinions and data contained in all publications are solely those of the individual author(s) and contributor(s) and not of MDPI and/or the editor(s). MDPI and/or the editor(s) disclaim responsibility for any injury to people or property resulting from any ideas, methods, instructions or products referred to in the content. |
© 2023 by the authors. Licensee MDPI, Basel, Switzerland. This article is an open access article distributed under the terms and conditions of the Creative Commons Attribution (CC BY) license (https://creativecommons.org/licenses/by/4.0/).
Share and Cite
Wang, Z.; Qu, P.; Zhao, Y.; Wu, Y.; Lyu, B.; Miao, H. A Nationwide Survey and Risk Assessment of Ethyl Carbamate Exposure Due to Daily Intake of Alcoholic Beverages in the Chinese General Population. Foods 2023, 12, 3129. https://doi.org/10.3390/foods12163129
Wang Z, Qu P, Zhao Y, Wu Y, Lyu B, Miao H. A Nationwide Survey and Risk Assessment of Ethyl Carbamate Exposure Due to Daily Intake of Alcoholic Beverages in the Chinese General Population. Foods. 2023; 12(16):3129. https://doi.org/10.3390/foods12163129
Chicago/Turabian StyleWang, Zifei, Pengfeng Qu, Yunfeng Zhao, Yongning Wu, Bing Lyu, and Hongjian Miao. 2023. "A Nationwide Survey and Risk Assessment of Ethyl Carbamate Exposure Due to Daily Intake of Alcoholic Beverages in the Chinese General Population" Foods 12, no. 16: 3129. https://doi.org/10.3390/foods12163129
APA StyleWang, Z., Qu, P., Zhao, Y., Wu, Y., Lyu, B., & Miao, H. (2023). A Nationwide Survey and Risk Assessment of Ethyl Carbamate Exposure Due to Daily Intake of Alcoholic Beverages in the Chinese General Population. Foods, 12(16), 3129. https://doi.org/10.3390/foods12163129

