Preparation, Characterization, and Application of pH-Response Color-Changeable Films Based on Pullulan, Cooked Amaranth (Amaranthus tricolor L.) Juice, and Bergamot Essential Oil
Abstract
:1. Introduction
2. Materials and Methods
2.1. Material and Reagents
2.2. Preparation of Cooked Amaranth Juice (CAJ)
2.3. Preparation of Films
2.4. Characterization of Films
2.4.1. Color-Related Properties
2.4.2. Structural Characterization
2.4.3. Barrier Properties
2.4.4. Antioxidant Activity
2.4.5. Mechanical Properties
2.4.6. Thermal Properties
2.5. Application of Films in Intelligent Packaging
2.6. Statistical Analysis
3. Results and Discussion
3.1. Characterization of CAJ
3.2. Color-Related Properties of Films
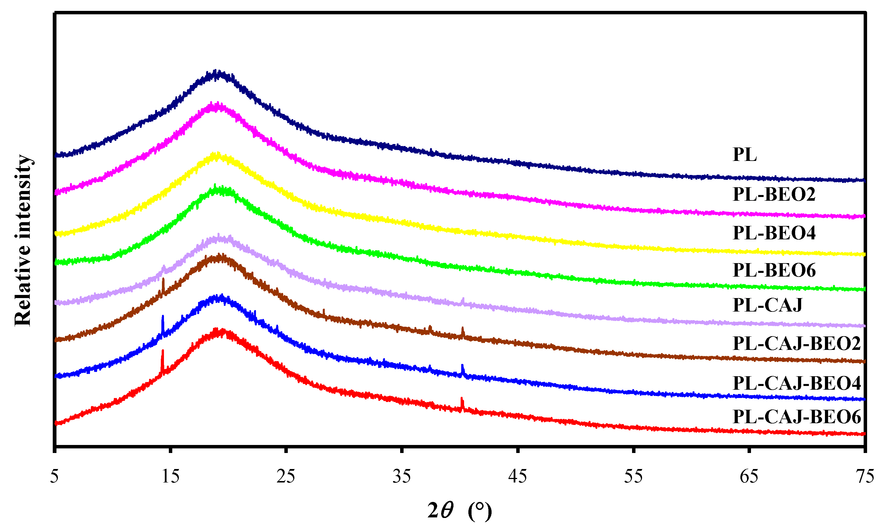
3.3. Structural Characterization of Films
3.4. Barrier Property of Films
3.5. Antioxidant Activity of Films
3.6. Mechanical Property of Films
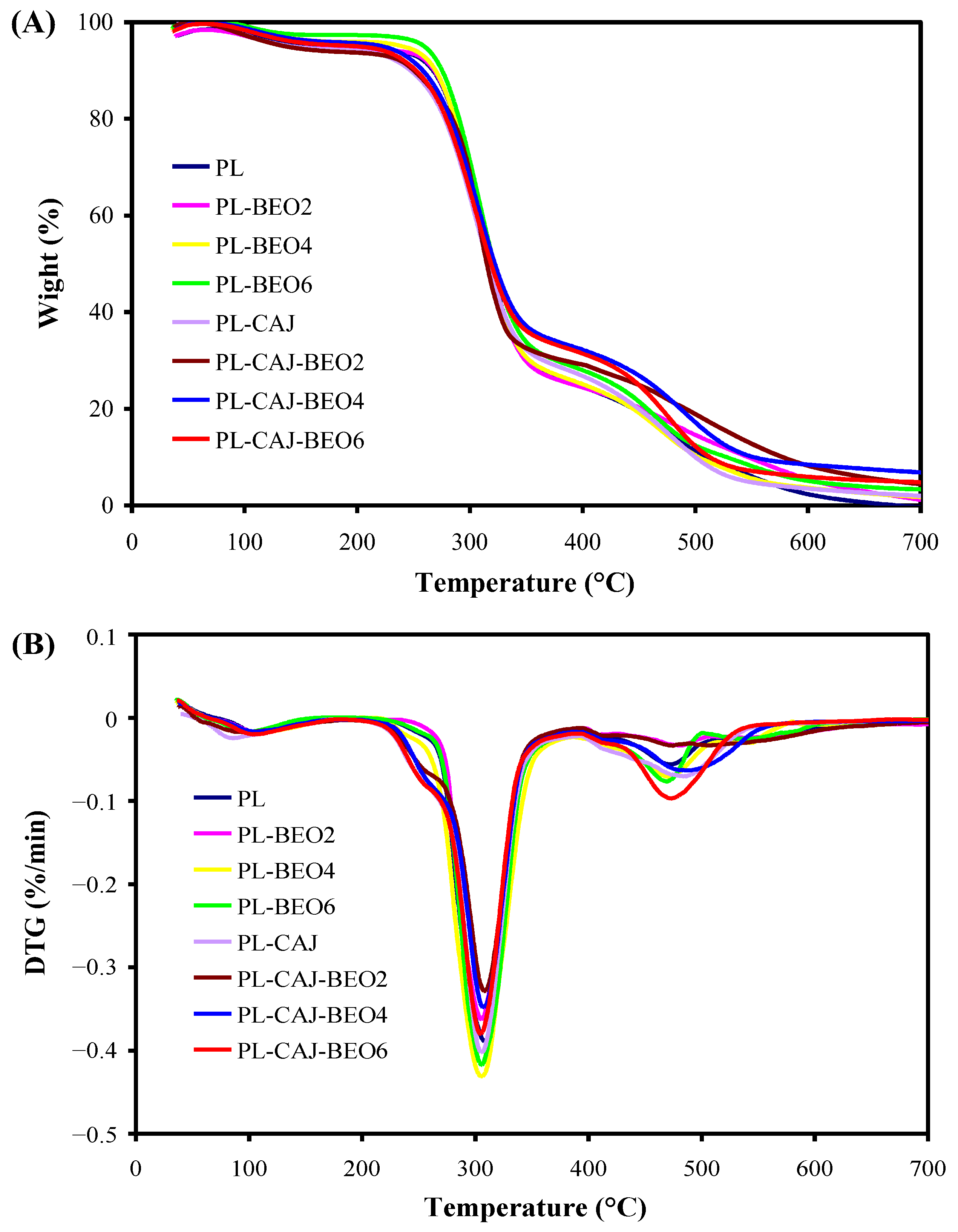
3.7. Thermal Property of Films
3.8. Application of Films
4. Conclusions
Supplementary Materials
Author Contributions
Funding
Data Availability Statement
Conflicts of Interest
References
- Atta, O.M.; Manan, S.; Shahzad, A.; Ul-Islam, M.; Ullah, M.W.; Yang, G. Biobased materials for active food packaging: A review. Food Hydrocoll. 2022, 125, 107419. [Google Scholar] [CrossRef]
- Avila, L.B.; Schnorr, C.; Silva, L.F.; Morais, M.M.; Moraes, C.C.; da Rosa, G.S.; Dotto, G.L.; Lima, É.C.; Naushad, M. Trends in bioactive multilayer films: Perspectives in the use of polysaccharides, proteins, and carbohydrates with natural additives for application in food packaging. Foods 2023, 12, 1692. [Google Scholar] [CrossRef] [PubMed]
- Khalid, M.Y.; Arif, Z.U. Novel biopolymer-based sustainable composites for food packaging applications: A narrative review. Food Packag. Shelf Life 2022, 33, 100892. [Google Scholar] [CrossRef]
- Ghosh, T.; Priyadarshi, R.; de Souza, C.K.; Angioletti, B.L.; Rhim, J.W. Advances in pullulan utilization for sustainable applications in food packaging and preservation: A mini-review. Trends Food Sci. Technol. 2022, 125, 43–53. [Google Scholar] [CrossRef]
- Tabasum, S.; Noreen, A.; Maqsood, M.F.; Umar, H.; Akram, N.; Chatha, S.A.S.; Zia, K.M. A review on versatile applications of blends and composites of pullulan with natural and synthetic polymers. Int. J. Biol. Macromol. 2018, 120, 603–632. [Google Scholar] [CrossRef] [PubMed]
- Ezati, P.; Roy, S.; Rhim, J.W. Effect of saffron on the functional property of edible films for active packaging applications. ACS Food Sci. Technol. 2022, 2, 1318–1325. [Google Scholar] [CrossRef]
- Luís, Â.; Ramos, A.; Domingues, F. Pullulan films containing rockrose essential oil for potential food packaging applications. Antibiotics 2020, 9, 681. [Google Scholar] [CrossRef]
- Ahmed, M.; Bose, I.; Goksen, G.; Roy, S. Himalayan sources of anthocyanins and its multifunctional applications: A Review. Foods 2023, 12, 2203. [Google Scholar] [CrossRef]
- Liu, D.; Zhao, P.; Chen, J.; Yan, Y.; Wu, Z. Recent advances and applications in starch for intelligent active food packaging: A review. Foods 2022, 11, 2879. [Google Scholar] [CrossRef]
- Shaik, M.I.; Azhari, M.F.; Sarbon, N.M. Gelatin-based film as a color indicator in food-spoilage observation: A Review. Foods 2022, 11, 3797. [Google Scholar] [CrossRef]
- Khan, M.I.; Liu, J. Plant betalains: Recent applications in food freshness monitoring films. Food Packag. Shelf Life 2022, 34, 100921. [Google Scholar] [CrossRef]
- Qin, Y.; Liu, Y.; Zhang, X.; Liu, J. Development of active and intelligent packaging by incorporating betalains from red pitaya (Hylocereus polyrhizus) peel into starch/polyvinyl alcohol films. Food Hydrocoll. 2020, 100, 105410. [Google Scholar] [CrossRef]
- Yao, X.; Qin, Y.; Zhang, M.; Zhang, J.; Qian, C.; Liu, J. Development of active and smart packaging films based on starch, polyvinyl alcohol and betacyanins from different plant sources. Int. J. Biol. Macromol. 2021, 183, 358–368. [Google Scholar] [CrossRef] [PubMed]
- Wu, Y.; Tang, P.; Quan, S.; Zhang, H.; Wang, K.; Liu, J. Preparation, characterization and application of smart packaging films based on locust bean gum/polyvinyl alcohol blend and betacyanins from cockscomb (Celosia cristata L.) flower. Int. J. Biol. Macromol. 2021, 191, 679–688. [Google Scholar] [CrossRef]
- Yao, X.; Liu, J.; Hu, H.; Yun, D.; Liu, J. Development and comparison of different polysaccharide/PVA-based active/intelligent packaging films containing red pitaya betacyanins. Food Hydrocolloid. 2022, 124, 107305. [Google Scholar] [CrossRef]
- Khanam, U.K.S.; Oba, S. Bioactive substances in leaves of two amaranth species, Amaranthus tricolor and A. hypochondriacus. Can. J. Plant Sci. 2013, 93, 47–58. [Google Scholar] [CrossRef]
- Sarker, U.; Hossain, M.N.; Iqbal, M.A.; Oba, S. Bioactive components and radical scavenging activity in selected advance lines of salt-tolerant vegetable amaranth. Front. Nutr. 2020, 7, 587257. [Google Scholar] [CrossRef]
- Hu, H.; Yao, X.; Qin, Y.; Yong, H.; Liu, J. Development of multifunctional food packaging by incorporating betalains from vegetable amaranth (Amaranthus tricolor L.) into quaternary ammonium chitosan/fish gelatin blend films. Int. J. Biol. Macromol. 2020, 159, 675–684. [Google Scholar] [CrossRef]
- Kanatt, S.R. Development of active/intelligent food packaging film containing Amaranthus leaf extract for shelf life extension of chicken/fish during chilled storage. Food Packag. Shelf Life 2020, 24, 100506. [Google Scholar] [CrossRef]
- Fu, Y.; Shi, J.; Xie, S.Y.; Zhang, T.Y.; Soladoye, O.P.; Aluko, R.E. Red beetroot betalains: Perspectives on extraction, processing, and potential health benefits. J. Agric. Food Chem. 2020, 68, 11595–11611. [Google Scholar] [CrossRef]
- Sarker, U.; Oba, S.; Ercisli, S.; Assouguem, A.; Alotaibi, A.; Ullah, R. Bioactive phytochemicals and quenching activity of radicals in selected drought-resistant Amaranthus tricolor vegetable amaranth. Antioxidants 2022, 11, 578. [Google Scholar] [CrossRef]
- Çakmak, H.; Özselek, Y.; Turan, O.Y.; Fıratlıgil, E.; Karbancioğlu-Güler, F. Whey protein isolate edible films incorporated with essential oils: Antimicrobial activity and barrier properties. Polym. Degrad. Stabil. 2020, 179, 109285. [Google Scholar] [CrossRef]
- Chi, H.; Song, S.; Luo, M.; Zhang, C.; Li, W.; Li, L.; Qin, Y. Effect of PLA nanocomposite films containing bergamot essential oil, TiO2 nanoparticles, and Ag nanoparticles on shelf life of mangoes. Sci. Hortic. 2019, 249, 192–198. [Google Scholar] [CrossRef]
- Jiang, H.; Zhang, W.; Pu, Y.; Chen, L.; Cao, J.; Jiang, W. Development and characterization of a novel active and intelligent film based on pectin and betacyanins from peel waste of pitaya (Hylocereus undatus). Food Chem. 2023, 404, 134444. [Google Scholar] [CrossRef]
- Xu, F.; Yan, Y.; Huang, X.; Yun, D.; Tang, C.; Liu, J. Modulating the functionality of black wolfberry anthocyanins-based freshness indicators by adjusting the pH value of film-forming solution. Food Biosci. 2023, 53, 102764. [Google Scholar] [CrossRef]
- Gao, L.; Liu, P.; Liu, L.; Li, S.; Zhao, Y.; Xie, J.; Xu, H. κ-carrageenan-based pH-sensing films incorporated with anthocyanins or/and betacyanins extracted from purple sweet potatoes and peels of dragon fruits. Process Biochem. 2022, 121, 463–480. [Google Scholar] [CrossRef]
- Ebrahimi, V.; Nafchi, A.M.; Bolandi, M.; Baghaei, H. Fabrication and characterization of a pH-sensitive indicator film by purple basil leaves extract to monitor the freshness of chicken fillets. Food Packag. Shelf Life 2022, 34, 100946. [Google Scholar] [CrossRef]
- Zhang, L.; Xu, L.; Ma, J.K.; Ye, Y.Y.; Chen, Y.; Qian, J.Y. Introduction of curdlan optimizes the comprehensive properties of methyl cellulose films. Foods 2023, 12, 547. [Google Scholar] [CrossRef]
- Kumar, H.; Ahuja, A.; Kadam, A.A.; Rastogi, V.K.; Negi, Y.S. Antioxidant film based on chitosan and tulsi essential oil for food packaging. Food Bioprocess Technol. 2023, 16, 342–355. [Google Scholar] [CrossRef]
- Yong, H.; Liu, Y.; Yun, D.; Zong, S.; Jin, C.; Liu, J. Chitosan films functionalized with different hydroxycinnamic acids: Preparation, characterization and application for pork preservation. Foods 2021, 10, 536. [Google Scholar] [CrossRef]
- Kumar, L.; Deshmukh, R.K.; Gaikwad, K.K. Antimicrobial packaging film from cactus (Cylindropuntia fulgida) mucilage and gelatine. Int. J. Biol. Macromol. 2022, 215, 596–605. [Google Scholar] [CrossRef] [PubMed]
- Silva, N.H.; Vilela, C.; Almeida, A.; Marrucho, I.M.; Freire, C.S. Pullulan-based nanocomposite films for functional food packaging: Exploiting lysozyme nanofibers as antibacterial and antioxidant reinforcing additives. Food Hydrocoll. 2018, 77, 921–930. [Google Scholar] [CrossRef]
- Chu, Y.; Xu, T.; Gao, C.; Liu, X.; Zhang, N.I.; Feng, X.; Liu, X.; Shen, X.; Tang, X. Evaluations of physicochemical and biological properties of pullulan-based films incorporated with cinnamon essential oil and Tween 80. Int. J. Biol. Macromol. 2019, 122, 388–394. [Google Scholar] [CrossRef]
- Haghighatpanah, N.; Omar-Aziz, M.; Gharaghani, M.; Khodaiyan, F.; Hosseini, S.S.; Kennedy, J.F. Effect of mung bean protein isolate/pullulan films containing marjoram (Origanum majorana L.) essential oil on chemical and microbial properties of minced beef meat. Int. J. Biol. Macromol. 2022, 201, 318–329. [Google Scholar] [CrossRef]
- Cao, G.; Bu, N.; Zeng, T.; Sun, R.; Mu, R.; Pang, J.; Wang, L. Development of pH-responsive konjac glucomannan/pullulan films incorporated with acai berry extract to monitor fish freshness. Int. J. Biol. Macromol. 2022, 219, 897–906. [Google Scholar] [CrossRef] [PubMed]
- Chen, W.; Liu, H.; Chai, Y.; Guo, C.; Luo, C.; Chen, D.; Cheng, X.; Wang, F.; Huang, C. Chitosan–pullulan films enriched with Artemisia annua essential oil: Characterization and application in grape preservation. Int. J. Biol. Macromol. 2023, 243, 125216. [Google Scholar] [CrossRef]
- Shen, Y.; Ni, Z.J.; Thakur, K.; Zhang, J.G.; Hu, F.; Wei, Z.J. Preparation and characterization of clove essential oil loaded nanoemulsion and pickering emulsion activated pullulan-gelatin based edible film. Int. J. Biol. Macromol. 2021, 181, 528–539. [Google Scholar] [CrossRef]
- Jiang, Y.; Lan, W.; Sameen, D.E.; Ahmed, S.; Qin, W.; Zhang, Q.; Chen, H.; Dai, J.; Liu, Y. Preparation and characterization of grass carp collagen-chitosan-lemon essential oil composite films for application as food packaging. Int. J. Biol. Macromol. 2020, 160, 340–351. [Google Scholar] [CrossRef]
- Acosta, S.; Chiralt, A.; Santamarina, P.; Rosello, J.; González-Martínez, C.; Cháfer, M. Antifungal films based on starch-gelatin blend, containing essential oils. Food Hydrocoll. 2016, 61, 233–240. [Google Scholar] [CrossRef]
- Wang, Z.; Li, C.; Yun, D.; Khan, M.I.; Tang, C.; Liu, J. Development of shrimp freshness monitoring labels based on betacyanins-rich red pitaya peel and cassava starch. J. Food Meas. Charact. 2023, 17, 1714–1727. [Google Scholar] [CrossRef]
- Jin, B.; Liu, X.; Liang, W.; Li, Q.; Yan, J.; Han, Z. Preparation, physicochemical characteristics and bioactivity evaluation of pitaya peel extract/soy protein nanocomposite film containing zinc oxide nanoparticles by photocatalysis. J. Food Process. Pres. 2022, 46, e16584. [Google Scholar] [CrossRef]
- Guo, Z.; Ge, X.; Li, W.; Yang, L.; Han, L.; Yu, Q.L. Active-intelligent film based on pectin from watermelon peel containing beetroot extract to monitor the freshness of packaged chilled beef. Food Hydrocolloid. 2021, 119, 106751. [Google Scholar] [CrossRef]
- Perumal, A.B.; Huang, L.; Nambiar, R.B.; He, Y.; Li, X.; Sellamuthu, P.S. Application of essential oils in packaging films for the preservation of fruits and vegetables: A review. Food Chem. 2022, 375, 131810. [Google Scholar] [CrossRef]
- Li, Y.; Tang, C.; He, Q. Effect of orange (Citrus sinensis L.) peel essential oil on characteristics of blend films based on chitosan and fish skin gelatin. Food Biosci. 2021, 41, 100927. [Google Scholar] [CrossRef]
- Bu, N.; Huang, L.; Cao, G.; Lin, H.; Pang, J.; Wang, L.; Mu, R. Konjac glucomannan/Pullulan films incorporated with cellulose nanofibrils-stabilized tea tree essential oil pickering emulsions. Colloids Surf. A 2022, 650, 129553. [Google Scholar] [CrossRef]
- Yao, X.; Yun, D.; Xu, F.; Chen, D.; Liu, J. Development of shrimp freshness indicating films by immobilizing red pitaya betacyanins and titanium dioxide nanoparticles in polysaccharide-based double-layer matrix. Food Packag. Shelf Life 2022, 33, 100871. [Google Scholar] [CrossRef]
- Bailore, N.N.; Balladka, S.K.; Doddapaneni, S.J.D.; Mudiyaru, M.S. Fabrication of environmentally compatible biopolymer films of pullulan/piscean collagen/ZnO nanocomposite and their antifungal activity. J. Polym. Environ. 2021, 29, 1192–1201. [Google Scholar] [CrossRef]
- Zhou, W.; He, Y.; Liu, F.; Liao, L.; Huang, X.; Li, R.; Zou, Y.; Zhou, L.; Zou, L.; Liu, Y.; et al. Carboxymethyl chitosan-pullulan edible films enriched with galangal essential oil: Characterization and application in mango preservation. Carbohyd. Polym. 2021, 256, 117579. [Google Scholar] [CrossRef]
- Shao, P.; Liu, L.; Yu, J.; Lin, Y.; Gao, H.; Chen, H.; Sun, P. An overview of intelligent freshness indicator packaging for food quality and safety monitoring. Trends Food Sci. Technol. 2021, 118, 285–296. [Google Scholar] [CrossRef]
- Ma, Y.; Yang, W.; Xia, Y.; Xue, W.; Wu, H.; Li, Z.; Zhang, F.; Qiu, B.; Fu, C. Properties and applications of intelligent packaging indicators for food spoilage. Membranes 2022, 12, 477. [Google Scholar] [CrossRef]











| Films | Pullulan (g) | Glycerol (wt% on Pullulan) | CAJ (mL) | BEO Emulsions (wt% on Pullulan) | Distilled Water (mL) |
|---|---|---|---|---|---|
| PL | 6.8 | 15 | 0 | 0 | 140 |
| PL-BEO2 | 6.8 | 15 | 0 | 2 | 140 |
| PL-BEO4 | 6.8 | 15 | 0 | 4 | 140 |
| PL-BEO6 | 6.8 | 15 | 0 | 6 | 140 |
| PL-CAJ | 6.8 | 15 | 1 | 0 | 140 |
| PL-CAJ-BEO2 | 6.8 | 15 | 1 | 2 | 140 |
| PL-CAJ-BEO4 | 6.8 | 15 | 1 | 4 | 140 |
| PL-CAJ-BEO6 | 6.8 | 15 | 1 | 6 | 140 |
| Films | L* | a* | b* | ΔE |
|---|---|---|---|---|
| PL | 89.44 ± 0.03 a | 0.34 ± 0.01 d | −2.94 ± 0.01 a | 4.98 ± 0.02 e |
| PL-BEO2 | 89.46 ± 0.01 a | 0.26 ± 0.02 d | −2.97 ± 0.01 ab | 4.98 ± 0.01 e |
| PL-BEO4 | 89.52 ± 0.05 a | 0.33 ± 0.06 d | −2.97 ± 0.01 ab | 4.94± 0.04 e |
| PL-BEO6 | 89.53 ± 0.08 a | 0.37 ± 0.02 d | −3.04 ± 0.04 b | 4.98 ± 0.04 e |
| PL-CAJ | 72.87 ± 0.07 b | 22.90 ± 0.06 c | −10.04 ± 0.08 d | 32.56 ± 0.06 d |
| PL-CAJ-BEO2 | 69.30 ± 0.03 e | 25.74 ± 0.07 a | −10.73 ± 0.07 f | 38.49 ± 0.05 a |
| PL-CAJ-BEO4 | 72.40 ± 0.22 c | 23.00 ± 0.20 c | −9.68 ± 0.17 c | 32.83 ± 0.05 c |
| PL-CAJ-BEO6 | 70.30 ± 0.01 d | 25.86 ± 0.08 b | −10.40 ± 0.08 e | 36.42 ± 0.02 b |
| Time (day) | 0 | 1 | 2 | 3 | 4 | 5 | 6 | 7 |
|---|---|---|---|---|---|---|---|---|
| TVB-N level (mg/100 g) | 4.68 ± 0.18 h | 9.07 ± 0.22 g | 14.85 ± 0.28 f | 21.53 ± 0.17 e | 26.11 ± 0.17 d | 35.24 ± 0.47 c | 44.57 ± 1.05 b | 57.51± 0.97 a |
| PL-CAJ | ![]() | ![]() | ![]() | ![]() | ![]() | ![]() | ![]() | ![]() |
| PL-CAJ-BEO2 | ![]() | ![]() | ![]() | ![]() | ![]() | ![]() | ![]() | ![]() |
| PL-CAJ-BEO4 | ![]() | ![]() | ![]() | ![]() | ![]() | ![]() | ![]() | ![]() |
| PL-CAJ-BEO6 | ![]() | ![]() | ![]() | ![]() | ![]() | ![]() | ![]() | ![]() |
Disclaimer/Publisher’s Note: The statements, opinions and data contained in all publications are solely those of the individual author(s) and contributor(s) and not of MDPI and/or the editor(s). MDPI and/or the editor(s) disclaim responsibility for any injury to people or property resulting from any ideas, methods, instructions or products referred to in the content. |
© 2023 by the authors. Licensee MDPI, Basel, Switzerland. This article is an open access article distributed under the terms and conditions of the Creative Commons Attribution (CC BY) license (https://creativecommons.org/licenses/by/4.0/).
Share and Cite
Xu, F.; Yun, D.; Huang, X.; Sun, B.; Tang, C.; Liu, J. Preparation, Characterization, and Application of pH-Response Color-Changeable Films Based on Pullulan, Cooked Amaranth (Amaranthus tricolor L.) Juice, and Bergamot Essential Oil. Foods 2023, 12, 2779. https://doi.org/10.3390/foods12142779
Xu F, Yun D, Huang X, Sun B, Tang C, Liu J. Preparation, Characterization, and Application of pH-Response Color-Changeable Films Based on Pullulan, Cooked Amaranth (Amaranthus tricolor L.) Juice, and Bergamot Essential Oil. Foods. 2023; 12(14):2779. https://doi.org/10.3390/foods12142779
Chicago/Turabian StyleXu, Fengfeng, Dawei Yun, Xiaoqian Huang, Bixue Sun, Chao Tang, and Jun Liu. 2023. "Preparation, Characterization, and Application of pH-Response Color-Changeable Films Based on Pullulan, Cooked Amaranth (Amaranthus tricolor L.) Juice, and Bergamot Essential Oil" Foods 12, no. 14: 2779. https://doi.org/10.3390/foods12142779
APA StyleXu, F., Yun, D., Huang, X., Sun, B., Tang, C., & Liu, J. (2023). Preparation, Characterization, and Application of pH-Response Color-Changeable Films Based on Pullulan, Cooked Amaranth (Amaranthus tricolor L.) Juice, and Bergamot Essential Oil. Foods, 12(14), 2779. https://doi.org/10.3390/foods12142779

































