Evaluation of Different Black Mulberry Fruits (Morus nigra L.) Based on Phenolic Compounds and Antioxidant Activity
Abstract
:1. Introduction
2. Materials and Methods
2.1. Plant Materials
2.2. Chemicals
2.3. The Total Soluble Solids and Titratable Acidity
2.4. Phenolic Compound Extraction
2.5. Total Phenolic Content, Flavonoid Content and Anthocyanin Content
2.6. Identification and Quantification of Polyphenols
2.7. Antioxidant Activity
2.7.1. DPPH Radical Scavenging Activity
2.7.2. ABTS Radical Scavenging Activity
2.7.3. Ferric Ion Reducing Antioxidant Power (FRAP)
2.8. Statistical Analysis
3. Results and discussion
3.1. The Total Soluble Solids and Titratable Acidity
3.2. The Total Phenolic Content, Total Flavonoid Content and Total Anthocyanin Content
3.3. Identification and Quantification of Individual Polyphenols
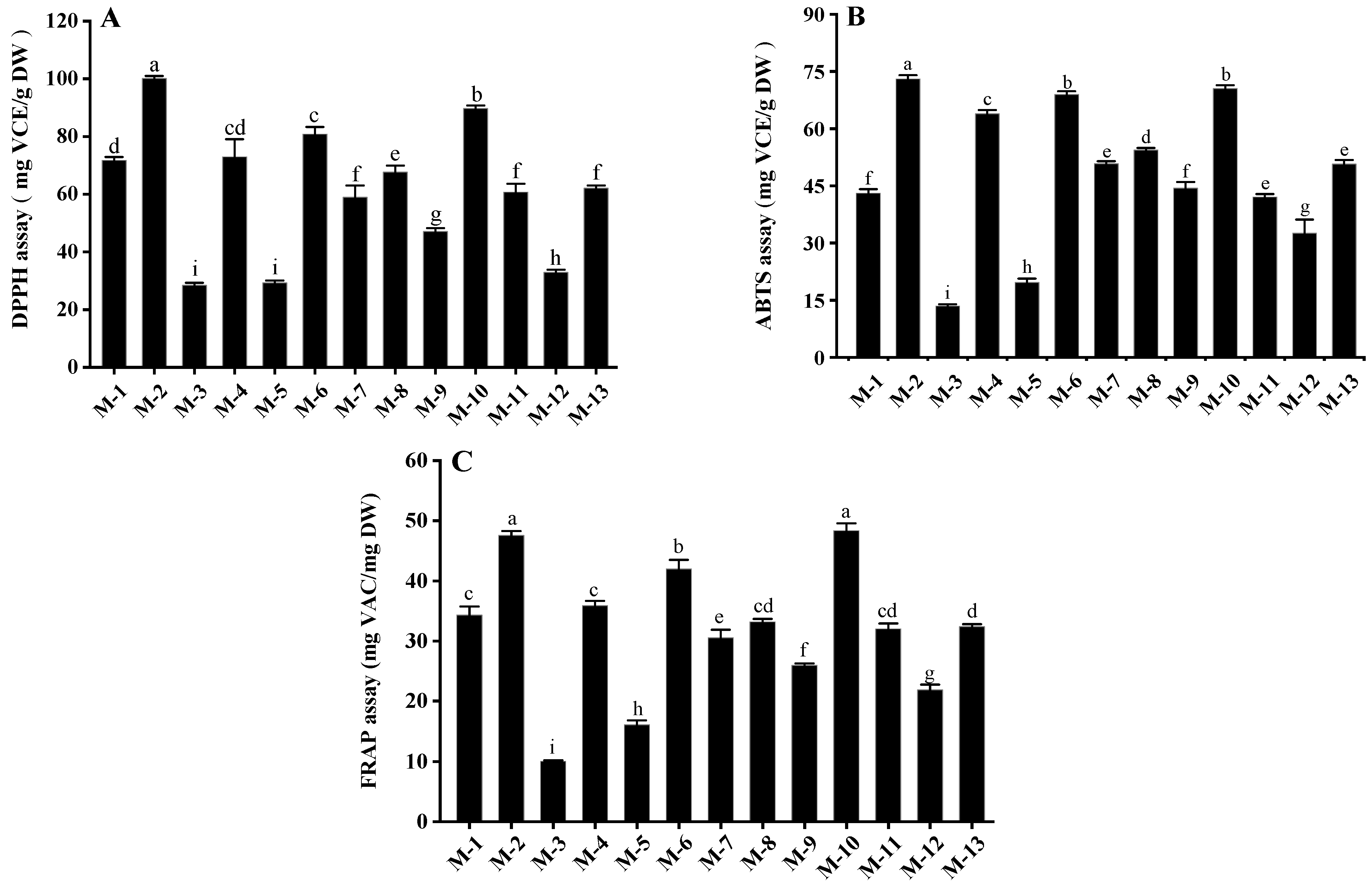
3.4. Antioxidant Capacity
3.5. Principal Components Analysis and Hierarchical Cluster Analysis
4. Conclusions
Author Contributions
Funding
Institutional Review Board Statement
Informed Consent Statement
Data Availability Statement
Acknowledgments
Conflicts of Interest
References
- Ercisli, S.; Orhan, E. Chemical composition of white (Morus alba), red (Morus rubra) and black (Morus nigra) mulberry fruits. Food Chem. 2007, 103, 1380–1384. [Google Scholar] [CrossRef]
- Chen, J.; Kan, J.; Tang, J.; Cai, Z.; Liu, J. The Profile in Polyphenols and Volatile Compounds in Alcoholic Beverages from Different Cultivars of Mulberry. J. Food Sci. 2012, 77, C430–C436. [Google Scholar]
- Chen, C.C.; Liu, L.K.; Hsu, J.D.; Huang, H.P.; Yang, M.Y.; Wang, C.J. Mulberry extract inhibits the development of atherosclerosis in cholesterol-fed rabbits. Food Chem. 2005, 91, 601–607. [Google Scholar] [CrossRef]
- Bae, S.-H.; Suh, H.-J. Antioxidant activities of five different mulberry cultivars in Korea. LWT-Food Sci. Technol. 2007, 40, 955–962. [Google Scholar] [CrossRef]
- Song, W.; Wang, H.-J.; Bucheli, P.; Zhang, P.-F.; Wei, D.-Z.; Lu, Y.-H. Phytochemical Profiles of Different Mulberry (Morus sp.) Species from China. J. Agric. Food Chem. 2009, 57, 9133–9140. [Google Scholar] [CrossRef]
- Liang, L.; Wu, X.; Zhu, M.; Zhao, W.; Li, F.; Zou, Y.; Yang, L. Chemical composition, nutritional value, and antioxidant activities of eight mulberry cultivars from China. Pharmacogn. Mag. 2012, 8, 215–224. [Google Scholar] [CrossRef] [Green Version]
- Gundogdu, M.; Muradoglu, F.; Sensoy, R.I.G.; Yilmaz, H. Determination of fruit chemical properties of Morus nigra L., Morus alba L. and Morus rubra L. by HPLC. Sci. Hortic. 2011, 132, 37–41. [Google Scholar] [CrossRef]
- Jiang, Y.; Nie, W.-J. Chemical properties in fruits of mulberry species from the Xinjiang province of China. Food Chem. 2015, 174, 460–466. [Google Scholar] [CrossRef]
- Chen, H.; Chen, J.; Yang, H.; Chen, W.; Gao, H.; Lu, W. Variation in total anthocyanin, phenolic contents, antioxidant enzyme and antioxidant capacity among different mulberry (Morus sp.) cultivars in China. Sci. Hortic. 2016, 213, 186–192. [Google Scholar] [CrossRef]
- Official Methods of Analysis of AOAC International; Association of Official Analytical Chemists: Gaithersburg, MD, USA, 2005.
- Sanchez-Salcedo, E.M.; Mena, P.; Garcia-Viguera, C.; Jose Martinez, J.; Hernandez, F. Phytochemical evaluation of white (Morus alba L.) and black (Morus nigra L.) mulberry fruits, a starting point for the assessment of their beneficial properties. J. Funct. Foods 2015, 12, 399–408. [Google Scholar] [CrossRef]
- Obanda, M.; Owuor, P.O.; Taylor, S.J. Flavanol composition and caffeine content of green leaf as quality potential indicators of Kenyan black teas. J. Sci. Food Agric. 1997, 74, 209–215. [Google Scholar] [CrossRef]
- Makris, D.P.; Boskou, G.; Andrikopoulos, N.K. Polyphenolic content and in vitro antioxidant characteristics of wine industry and other agri-food solid waste extracts. J. Food Compos. Anal. 2007, 20, 125–132. [Google Scholar] [CrossRef]
- Huang, Z.L.; Wang, B.W.; Williams, P.; Pace, R.D. Identification of anthocyanins in muscadine grapes with HPLC-ESI-MS. LWT-Food Sci. Technol. 2009, 42, 819–824. [Google Scholar] [CrossRef]
- Liu, S.-C.; Lin, J.-T.; Wang, C.-K.; Chen, H.-Y.; Yang, D.-J. Antioxidant properties of various solvent extracts from lychee (Litchi chinenesis Sonn.) flowers. Food Chem. 2009, 114, 577–581. [Google Scholar] [CrossRef]
- Mena, P.; Garcia-Viguera, C.; Navarro-Rico, J.; Moreno, D.A.; Bartual, J.; Saura, D.; Marti, N. Phytochemical characterisation for industrial use of pomegranate (Punica granatum L.) cultivars grown in Spain. J. Sci. Food Agric. 2011, 91, 1893–1906. [Google Scholar] [CrossRef]
- Benzie, I.F.F.; Strain, J.J. The ferric reducing ability of plasma (FRAP) as a measure of “antioxidant power”: The FRAP assay. Anal. Biochem. 1996, 239, 70–76. [Google Scholar] [CrossRef] [Green Version]
- Oz, A.T.; Ulukanli, Z. The Effects of Calcium Chloride and 1-Methylcyclopropene (1-MCP) on the Shelf Life of Mulberries (Morus alba L.). J. Food Processing Preserv. 2014, 38, 1279–1288. [Google Scholar] [CrossRef]
- Butkhup, L.; Samappito, W.; Samappito, S. Phenolic composition and antioxidant activity of white mulberry (Morus alba L.) fruits. Int. J. Food Sci. Technol. 2013, 48, 934–940. [Google Scholar] [CrossRef]
- Chu, Q.; Lin, M.; Tian, X.; Ye, J. Study on capillary electrophoresis-amperometric detection profiles of different parts of Morus alba L. J. Chromatogr. A 2006, 1116, 286–290. [Google Scholar] [CrossRef]
- Memon, A.A.; Memon, N.; Luthria, D.L.; Bhanger, M.I.; Pitafi, A.A. Phenolic acids profiling and antioxidant potential of mulberry (Morus laevigata W., Morus nigra L., Morus alba L.) leaves and fruits grown in pakistan. Pol. J. Food Nutr. Sci. 2010, 60, 25–32. [Google Scholar]
- Radojkovic, M.M.; Zekovic, Z.P.; Vidovic, S.S.; Kocar, D.D.; Maskovic, P.Z. Free radical scavenging activity and total phenolic and flavonoid contents of mulberry (Morus spp. L., Moraceae) extracts. Hem. Ind. 2012, 66, 545–550. [Google Scholar] [CrossRef]
- Zhang, W.; Han, F.; He, J.; Duan, C. HPLC-DAD-ESI-MS/MS analysis and antioxidant activities of nonanthocyanin phenolics in mulberry (Morus alba L.). J. Food Sci. 2008, 73, C512–C518. [Google Scholar] [CrossRef]
- Wu, T.; Tang, Q.; Gao, Z.; Yu, Z.; Song, H.; Zheng, X.; Chen, W. Blueberry and Mulberry Juice Prevent Obesity Development in C57BL/6 Mice. PLoS ONE 2013, 8, e77585. [Google Scholar] [CrossRef] [Green Version]
- Bao, T.; Xu, Y.; Gowd, V.; Zhao, J.; Xie, J.; Liang, W.; Chen, W. Systematic study on phytochemicals and antioxidant activity of some new and common mulberry cultivars in China. J. Funct. Foods 2016, 25, 537–547. [Google Scholar] [CrossRef]
- Combarros-Fuertes, P.; Estevinho, L.M.; Dias, L.G.; Castro, J.M.; Tomas-Barberan, F.A.; Eugenia Tornadijo, M.; Fresno-Baro, J.M. Bioactive Components and Antioxidant and Antibacterial Activities of Different Varieties of Honey: A Screening Prior to Clinical Application. J. Agric. Food Chem. 2019, 67, 688–698. [Google Scholar] [CrossRef] [Green Version]
- Tenore, G.C.; Ritieni, A.; Campiglia, P.; Novellino, E. Nutraceutical potential of monofloral honeys produced by the Sicilian black honeybees (Apis mellifera ssp. sicula). Food Chem. Toxicol. 2012, 50, 1955–1961. [Google Scholar] [CrossRef]
- Ozgen, M.; Serce, S.; Kaya, C. Phytochemical and antioxidant properties of anthocyanin-rich Morus nigra and Morus rubra fruits. Sci. Hortic. 2009, 119, 275–279. [Google Scholar] [CrossRef]
- Jiang, D.-Q.; Guo, Y.; Xu, D.-H.; Huang, Y.-S.; Yuan, K.; Lv, Z.-Q. Antioxidant and anti-fatigue effects of anthocyanins of mulberry juice purification (MJP) and mulberry marc purification (MMP) from different varieties mulberry fruit in China. Food Chem. Toxicol. 2013, 59, 1–7. [Google Scholar] [CrossRef]



| Cultivar | TSS (°Brix) | TA (g CA/kg FW) | TPC (mg GAE/g DW) | TFC (mg RE/g DW) | TAC (mg CE/g DW) |
|---|---|---|---|---|---|
| M-1 (Yichuanhong) | 13.60 ± 0.49 b | 10.05 ± 0.29 g | 18.74 ± 0.31 g | 1.99 ± 0.03 e | 8.33 ± 0.05 e |
| M-2 (Qiong46) | 12.30 ± 0.57 cd | 26.82 ± 0.58 c | 26.10 ± 0.06 b | 2.80 ± 0.02 ab | 11.86 ± 0.08 a |
| M-3 (Guosang8632) | 13.62 ± 0.05 b | 5.82 ± 0.41 i | 10.82 ± 0.26 j | 1.21 ± 0.07 h | 2.91 ± 0.05 j |
| M-4 (Yuebanguo) | 8.13 ± 0.61 e | 7.19 ± 0.14 i | 25.18 ± 0.17 c | 2.75 ± 0.01 b | 8.53 ± 0.14 d |
| M-5 (Yueshen28) | 13.07 ± 0.19 bc | 15.99 ± 0.73 e | 11.91 ± 0.20 j | 1.54 ± 0.03 g | 5.24 ± 0.02 j |
| M-6 (Yueshen74) | 12.90 ± 0.37 bc | 13.03 ± 0.21 f | 24.14 ± 0.56 d | 2.86 ± 0.08 a | 7.52 ± 0.04 g |
| M-7 (Da10) | 11.50 ± 0.25 d | 13.16 ± 0.52 f | 23.66 ± 0.45 d | 2.58 ± 0.07 c | 9.44 ± 0.05 c |
| M-8 (Jinqaing63) | 14.13 ± 0.46 b | 48.49 ± 1.43 a | 22.76 ± 0.13 e | 2.23 ± 0.03 d | 8.46 ± 0.05 de |
| M-9 (Yunguo1) | 12.27 ± 0.53 cd | 9.59 ± 0.91 g | 17.13 ± 0.55 i | 1.59 ± 0.01 g | 5.82 ± 0.11 h |
| M-10 (Heizhenzhu) | 6.20 ± 0.45 f | 34.79 ± 0.22 b | 27.29 ± 0.16 a | 2.75 ± 0.04 b | 11.15 ± 0.06 b |
| M-11 (Xuanguo1) | 11.17 ± 0.54 d | 47.39 ± 0.58 a | 17.42 ± 0.41 h | 1.87 ± 0.04 f | 5.75 ± 0.15 hi |
| M-12 (Guiyou12) | 15.83 ± 0.52 a | 21.97 ± 0.07 d | 18.17 ± 0.33 g | 1.83 ± 0.06 f | 5.59 ± 0.13 i |
| M-13 (Shansang) | 14.12 ± 0.46 d | 8.44 ± 0.15 gh | 20.79 ± 0.07 f | 2.18 ± 0.03 d | 7.82 ± 0.05 f |
| Peak No. | Compound Name | RT (min) | Formula | [M + H]+/[M − H]− (m/z) | MS2 (m/z) |
|---|---|---|---|---|---|
| 1 | Gallic acid | 4.55 | C7H6O5 | [−]/169.0136 | 125, 124, 97 |
| 2 | Protocatechuic acid | 7.96 | C7H6O4 | [−]/153.0197 | 109, 108, 91 |
| 3 | Cyanidin-3,5-diglucoside | 9.60 | C27H31O16 | [+]/611.1301 | 449, 287 |
| 4 | Protocatechuicaldehydea | 9.61 | C7H6O3 | [−]/137.0237 | 107 |
| 5 | p-Hydroxybenzoic acid | 9.89 | C7H6O3 | [−]/137.0254 | 93 |
| 6 | Aesculin | 9.98 | C15H16O9 | [−]/339.0794 | 177, 133 |
| 7 | Procyanidin B1 | 10.07 | C30H26O12 | [−]/577.1345 | 425, 407, 289 |
| 8 | Procyanidin B3 | 10.44 | C30H26O12 | [−]/577.1364 | 425, 407, 289 |
| 9 | Catechin | 10.78 | C15H14O6 | [−]/289.0790 | 245, 205, 179, 153 |
| 10 | Chlorogenic acid | 10.98 | C16H18O9 | [−]/353.0866 | 191, 179, 173 |
| 11 | Cryptochlorogenic acid | 11.31 | C16H18O9 | [−]/353.0877 | 191, 179, 135 |
| 12 | Aesculetin a | 11.39 | C9H6O4 | [−]/177.0266 | 133 |
| 13 | Vanillic acid | 11.42 | C8H8O4 | [−]/167.0360 | 167, 108 |
| 14 | Caffeic acid | 11.53 | C9H8O4 | [−]/179.0343 | 135, 107 |
| 15 | Fraxin a | 11.92 | C16H18O10 | [−]/369.0820 | 206, 160, 112 |
| 16 | Syringic acid | 12.29 | C9H10O5 | [−]/197.0528 | 182, 167, 153, 138, 123 |
| 17 | Pelargonidin-3-O-glucoside | 12.46 | C21H21O10 | [+]/432.9823 | 271 |
| 18 | Epicatechin | 12.63 | C15H14O6 | [−]/289.0790 | 245 |
| 19 | Dihydromyricetin a | 12.73 | C15H12O8 | [−]/319.0532 | 193 |
| 20 | 1,5-Dicaffeoylquinic acid | 13.12 | C25H24O12 | [−]/515.1428 | 353, 191, 179 |
| 21 | Vanillina | 13.46 | C8H8O3 | [−]/151.0473 | 136, 123, 108 |
| 22 | Perillyl alcohol a | 13.49 | C10H16O | [−]/151.1122 | 135 |
| 23 | P-Hydroxycinnamic acid | 13.90 | C7H6O3 | [−]/137.0254 | 93 |
| 24 | Umbelliferone a | 14.53 | C9H6O3 | [+]/162.0316 | 107 |
| 25 | Ferulic acid | 15.26 | C10H10O4 | [−]/193.0500 | 149, 178, 134 |
| 26 | trans-Piceid | 15.31 | C20H22O8 | [−]/389.1235 | 227 |
| 27 | Sinapic acid a | 15.45 | C11H12O | [−]/223.0605 | 179 |
| 28 | Ellagic acid | 15.53 | C14H6O8 | [−]/300.9983 | 283, 257, 229, 185 |
| 29 | Rutin | 15.54 | C27H30O16 | [−]/609.1485 | 301, 300 |
| 30 | Delphinidin-3-O-glucoside | 15.74 | C21H21O12 | [+]/465.1033 | 303 |
| 31 | Taxifolin | 15.81 | C15H12O7 | [−]/303.0583 | 285, 177, 125 |
| 32 | Quercetin-3-O-galactoside | 15.87 | C21H20O12 | [−]/463.0910 | 301, 300 |
| 33 | Pelargonidin | 16.09 | C15H11O5 | [+]/271.5795 | 197, 121 |
| 34 | Piceatannol | 16.48 | C14H12O4 | [−]/243.0735 | 159 |
| 35 | Cyanidin-3-O-rutinoside | 16.88 | C27H31O15 | [+]/595.1351 | 287 |
| 36 | Kaempferol-3-O-rutinoside | 16.89 | C27H30O15 | [−]/593.1532 | 327, 285, 284 |
| 37 | Coniferaldehyde a | 17.00 | C10H10O3 | [+]/179.0708 | 147 |
| 38 | Salicylic acid a | 17.06 | C7H6O3 | [−]/137.0237 | 93 |
| 39 | Narcissin a | 17.22 | C28H32O16 | [−]/623.1690 | 315 |
| 40 | Astragalin | 17.33 | C21H20O11 | [−]/447.0926 | 285, 284 |
| 41 | Prunin a | 17.55 | C21H22O10 | [−]/433.1133 | 271 |
| 42 | Isorhamnetin-3-O-glucoside | 17.69 | C22H22O12 | [−]/477.1032 | 315, 300 |
| 43 | Hesperidin a | 17.95 | C28H34O15 | [−]/609.1818 | 301, 125 |
| 44 | Aromadendrin a | 17.99 | C15H12O6 | [−]/287.0633 | 259, 243 |
| 45 | Phlorizin | 18.58 | C21H24O10 | [−]/435.1290 | 273 |
| 46 | Resveratrol | 19.10 | C14H12O3 | [−]/227.0786 | 185 |
| 47 | Trilobatin a | 19.79 | C21H24O10 | [−]/435.1290 | 273 |
| 48 | Eriodictyol | 20.64 | C15H12O6 | [−]/287.0633 | 287, 151 |
| 49 | trans-Cinnamic acid | 21.15 | C9H8O2 | [−]/147.0524 | 119, 103 |
| 50 | Quercetin | 21.22 | C15H10O7 | [−]/301.0360 | 273, 257, 178, 151 |
| 51 | Luteolin | 21.27 | C15H10O6 | [−]/285.0477 | 241, 175, 217, 199 |
| 52 | Morin | 21.28 | C15H10O7 | [−]/301.0426 | 271, 257, 193, 178 |
| 53 | Butein a | 23.10 | C15H12O5 | [−]/271.0684 | 135 |
| 54 | Phloretin | 23.56 | C15H14O5 | [−]/273.0841 | 167 |
| 55 | Kaempferol | 24.12 | C15H10O6 | [−]/284.0322 | 285, 257, 185, 169, 151 |
| Compound Name | Mulberry Sample | ||||||||||||
|---|---|---|---|---|---|---|---|---|---|---|---|---|---|
| M-1 | M-2 | M-3 | M-4 | M-5 | M-6 | M-7 | M-8 | M-9 | M-10 | M-11 | M-12 | M-13 | |
| Phenolic acids | |||||||||||||
| Gallic acid | 1.66 | 1.32 | 0.17 | 1.68 | 0.88 | 0.74 | 0.64 | 0.06 | 0.81 | 1.84 | 0.61 | 0.66 | 0.71 |
| Protocatechuic acid | 34.60 | 43.30 | 14.47 | 101.74 | 22.60 | 42.01 | 36.71 | 14.32 | 36.59 | 46.99 | 25.57 | 18.45 | 19.55 |
| p-Hydroxybenzoic acid | 0.97 | 1.44 | 0.71 | 4.71 | 0.80 | 0.93 | 1.18 | 0.53 | 1.52 | 2.24 | 0.78 | 0.89 | 0.56 |
| Chlorogenic acid | 138.35 | 192.16 | 56.94 | 306.01 | 110.01 | 206.35 | 177.28 | 74.71 | 200.16 | 160.73 | 123.69 | 78.75 | 84.47 |
| Cryptochlorogenic acid | 193.24 | 259.97 | 83.55 | 422.18 | 118.84 | 109.61 | 229.75 | 122.89 | 81.50 | 212.63 | 150.13 | 91.77 | 98.32 |
| Vanillic acid | 0.24 | 0.75 | 0.16 | 1.02 | 0.20 | 0.38 | 0.44 | 0.14 | 0.40 | 0.60 | 0.89 | 0.19 | 0.24 |
| Caffeic acid | 1.03 | 3.73 | 0.80 | 6.52 | 1.07 | 2.26 | 1.77 | 0.94 | 3.04 | 5.27 | 0.67 | 0.66 | 0.95 |
| Syringic acid | 0.16 | 0.13 | 0.04 | 0.35 | 0.04 | 0.10 | 0.08 | 0.01 | 0.05 | 0.31 | 0.06 | 0.03 | 0.02 |
| 4-Hydroxycinnamic acid | 1.32 | 3.77 | 2.33 | 3.28 | 0.98 | 3.59 | 1.29 | 0.90 | 0.52 | 3.70 | 0.40 | 0.86 | 1.77 |
| Ferulic acid | 0.20 | 0.51 | 0.32 | 0.52 | 0.20 | 0.51 | 0.37 | 0.09 | 0.24 | 0.56 | 0.24 | 0.13 | 0.35 |
| Sinapic acid | 0.34 | 0.72 | 0.27 | 0.51 | 0.27 | 1.13 | 1.03 | 0.13 | 0.44 | 1.05 | 0.78 | 0.13 | 0.24 |
| Ellagic acid | 5.15 | 1.40 | 1.15 | 2.95 | 1.72 | 2.73 | 2.77 | 1.09 | 4.19 | 6.40 | 2.69 | 1.27 | 1.90 |
| Salicylic acid | 0.20 | 0.36 | 0.16 | 0.84 | 0.25 | 0.29 | 0.27 | 0.07 | 1.17 | 0.37 | 0.58 | 0.19 | 0.30 |
| trans-Cinnamic acid | 0.12 | 0.14 | 0.19 | 0.14 | 0.25 | 0.15 | 0.22 | 0.05 | 0.11 | 0.27 | 0.08 | 0.15 | 1.28 |
| Total phenolic acids | |||||||||||||
| 377.58 | 509.7 | 161.26 | 852.45 | 258.11 | 370.78 | 453.8 | 215.93 | 330.74 | 442.96 | 307.17 | 194.13 | 210.66 | |
| Flavonols | |||||||||||||
| Dihydromyricetin | 5.10 | 7.53 | 2.09 | 14.24 | 4.68 | 6.90 | 6.46 | 2.16 | 5.36 | 5.87 | 3.93 | 4.34 | 3.44 |
| Rutin | 42.17 | 51.93 | 58.74 | 139.31 | 39.22 | 54.60 | 41.56 | 100.88 | 38.96 | 53.51 | 27.88 | 18.13 | 69.07 |
| Taxifolin | 9.84 | 18.70 | 3.11 | 34.06 | 14.70 | 13.28 | 5.86 | 8.05 | 4.67 | 30.74 | 5.27 | 4.76 | 9.49 |
| Quercetin-3-O-galactoside | 15.00 | 20.24 | 3.36 | 52.13 | 4.33 | 21.76 | 11.12 | 9.65 | 8.09 | 14.56 | 12.54 | 2.73 | 4.02 |
| Kaempferol-3-O-rutinoside | 47.07 | 52.54 | 10.02 | 107.64 | 22.80 | 47.84 | 58.24 | 21.33 | 51.20 | 55.24 | 31.14 | 18.60 | 10.39 |
| Narcissin | 1.37 | 1.02 | 0.16 | 2.18 | 0.35 | 0.62 | 0.80 | 0.07 | 0.93 | 1.58 | 0.87 | 0.24 | 0.43 |
| Astragalin | 11.72 | 26.10 | 4.95 | 29.59 | 4.53 | 22.89 | 7.76 | 2.58 | 16.46 | 12.05 | 6.11 | 3.89 | 4.40 |
| Isorhamnetin-3-O-glucoside | 0.04 | 0.07 | 0.03 | 0.16 | 0.02 | 0.07 | 0.05 | 0.02 | 0.03 | 0.04 | 0.03 | 0.02 | 0.03 |
| Aromadendrin | 2.75 | 2.35 | 0.56 | 5.06 | 2.41 | 1.59 | 1.05 | 2.18 | 1.42 | 3.68 | 0.84 | 1.53 | 1.01 |
| Quercetin | 31.06 | 36.09 | 6.89 | 56.52 | 19.93 | 33.98 | 35.14 | 5.41 | 31.93 | 32.18 | 21.35 | 16.87 | 16.75 |
| Kaempferol | 1.66 | 0.79 | 0.15 | 1.38 | 1.50 | 0.79 | 1.47 | 0.09 | 1.33 | 0.92 | 0.54 | 0.78 | 0.53 |
| Flavanones | |||||||||||||
| Prunin | 4.86 | 9.35 | 1.25 | 11.49 | 9.72 | 10.91 | 9.57 | 5.71 | 5.63 | 12.08 | 7.64 | 7.01 | 3.29 |
| Hesperidin | 1.37 | 2.07 | 0.29 | 3.84 | 0.59 | 0.83 | 1.39 | 0.40 | 1.26 | 1.44 | 0.43 | 0.44 | 0.20 |
| Eriodictyol | 10.79 | 3.30 | 0.29 | 16.65 | 3.88 | 2.88 | 3.28 | 0.96 | 1.23 | 36.68 | 0.78 | 2.18 | 3.73 |
| Butein | 1.55 | 0.20 | 0.03 | 0.52 | 0.45 | 0.25 | 0.66 | 0.06 | 0.84 | 2.21 | 0.24 | 0.35 | 0.14 |
| Flavanols | |||||||||||||
| Catechin | 0.26 | 0.19 | 0.11 | 0.37 | 0.11 | 0.15 | 0.09 | 0.11 | 0.19 | 0.45 | 0.22 | 0.11 | 0.25 |
| Epicatechin | 0.21 | 0.54 | 0.08 | 0.41 | 0.07 | 0.45 | 0.07 | 0.11 | 0.40 | 0.28 | 0.19 | 0.05 | 0.04 |
| Flavones | |||||||||||||
| Luteolin | 20.54 | 10.34 | 1.66 | 22.59 | 11.87 | 11.31 | 9.21 | 0.98 | 6.25 | 51.83 | 4.94 | 10.60 | 7.81 |
| Morin | 24.17 | 28.07 | 6.03 | 45.67 | 14.37 | 26.84 | 26.57 | 5.14 | 24.15 | 25.21 | 15.85 | 12.04 | 12.44 |
| Dihydrochalcones | |||||||||||||
| Phlorizin | 6.87 | 10.30 | 2.16 | 13.33 | 5.20 | 9.54 | 6.46 | 1.65 | 3.04 | 12.34 | 1.40 | 4.46 | 2.90 |
| Trilobatin | 7.49 | 11.96 | 2.43 | 12.08 | 2.00 | 14.16 | 5.28 | 0.34 | 2.67 | 13.70 | 1.81 | 1.54 | 1.08 |
| Phloretin | 1.02 | 0.46 | 0.04 | 0.49 | 0.28 | 0.32 | 0.24 | 0.04 | 0.27 | 3.22 | 0.14 | 0.17 | 0.17 |
| Total flavonoids | |||||||||||||
| 246.94 | 294.16 | 104.45 | 569.70 | 163.01 | 281.95 | 232.33 | 167.92 | 206.32 | 369.83 | 144.14 | 110.85 | 151.63 | |
| Anthocyanins | |||||||||||||
| Cyanidin-3,5-diglucoside | 12.83 | 9.61 | 5.87 | 72.75 | 6.04 | 7.35 | 11.59 | 6.50 | 5.46 | 23.12 | 5.07 | 5.76 | 6.39 |
| Pelargonidin-3-O-glucoside | – | – | 0.12 | – | 0.46 | – | 0.68 | – | – | – | – | – | – |
| Delphinidin-3-O-glucoside | 27.65 | 11.78 | 6.89 | 74.22 | 52.17 | 9.94 | 5.93 | 11.93 | 3.47 | 14.83 | 9.77 | 6.41 | 2.36 |
| Pelargonidin | 0.31 | 0.24 | 0.10 | 0.43 | 0.28 | 0.33 | 0.42 | – | 0.32 | 0.31 | 0.16 | 0.08 | 0.08 |
| Cyanidin-3-O-rutinoside | 47.47 | 54.41 | 10.20 | 92.06 | 34.98 | 44.94 | 66.17 | 10.01 | 56.04 | 60.59 | 30.93 | 21.80 | 12.34 |
| Total anthocyanins | |||||||||||||
| 88.26 | 76.51 | 23.17 | 239.46 | 93.93 | 62.56 | 84.79 | 28.43 | 65.30 | 98.85 | 45.94 | 34.06 | 21.17 | |
| Other phenolic compounds | |||||||||||||
| Procyanidin B1 | 0.05 | 0.09 | 0.18 | 0.34 | 0.02 | 0.03 | 0.02 | 0.09 | 0.02 | 0.05 | 0.05 | 0.02 | 0.05 |
| Procyanidin B3 | 0.04 | 0.01 | 0.10 | 0.04 | 0.01 | 0.01 | 0.01 | 0.04 | 0.03 | 0.05 | 0.01 | 0.01 | 0.02 |
| Fraxin | 0.17 | 0.45 | 0.06 | 0.36 | 0.07 | 0.48 | 0.13 | 0.02 | 0.51 | 0.29 | 0.41 | 0.06 | 0.06 |
| trans-Piceid | 1.46 | 0.73 | 0.26 | 2.65 | 0.65 | 0.84 | 1.16 | 1.16 | 2.02 | 3.01 | 1.05 | 0.46 | 0.50 |
| Resveratrol | 2.51 | 1.23 | 0.18 | 3.74 | 1.09 | 1.10 | 2.08 | 0.25 | 1.72 | 5.18 | 0.76 | 0.56 | 0.85 |
| Total individual phenolic compounds | |||||||||||||
| 717.85 | 883.89 | 292.16 | 1672.21 | 517.15 | 718.11 | 774.61 | 404.17 | 607.09 | 921.05 | 500.08 | 340.53 | 385.58 | |
| TPC | TFC | TAC | DPPH | ABTS | FRAP | |
|---|---|---|---|---|---|---|
| TPC | 1 | |||||
| TFC | 0.754 ** | 1 | ||||
| TAC | 0.824 ** | 0.952 ** | 1 | |||
| DPPH | 0.882 ** | 0.868 ** | 0.884 ** | 1 | ||
| ABTS | 0.960 ** | 0.935 ** | 0.626 * | 0.948 ** | 1 | |
| FRAP | 0.632 * | 0.626 * | 0.830 ** | 0.823 ** | 0.775 ** | 1 |
Publisher’s Note: MDPI stays neutral with regard to jurisdictional claims in published maps and institutional affiliations. |
© 2022 by the authors. Licensee MDPI, Basel, Switzerland. This article is an open access article distributed under the terms and conditions of the Creative Commons Attribution (CC BY) license (https://creativecommons.org/licenses/by/4.0/).
Share and Cite
Wang, R.-S.; Dong, P.-H.; Shuai, X.-X.; Chen, M.-S. Evaluation of Different Black Mulberry Fruits (Morus nigra L.) Based on Phenolic Compounds and Antioxidant Activity. Foods 2022, 11, 1252. https://doi.org/10.3390/foods11091252
Wang R-S, Dong P-H, Shuai X-X, Chen M-S. Evaluation of Different Black Mulberry Fruits (Morus nigra L.) Based on Phenolic Compounds and Antioxidant Activity. Foods. 2022; 11(9):1252. https://doi.org/10.3390/foods11091252
Chicago/Turabian StyleWang, Ri-Si, Pan-Hao Dong, Xi-Xiang Shuai, and Ming-Shun Chen. 2022. "Evaluation of Different Black Mulberry Fruits (Morus nigra L.) Based on Phenolic Compounds and Antioxidant Activity" Foods 11, no. 9: 1252. https://doi.org/10.3390/foods11091252
APA StyleWang, R.-S., Dong, P.-H., Shuai, X.-X., & Chen, M.-S. (2022). Evaluation of Different Black Mulberry Fruits (Morus nigra L.) Based on Phenolic Compounds and Antioxidant Activity. Foods, 11(9), 1252. https://doi.org/10.3390/foods11091252
