The Effect of Pre-Drying Treatment and Drying Conditions on Quality and Energy Consumption of Hot Air-Dried Celeriac Slices: Optimisation
Abstract
1. Introduction
2. Materials and Methods
2.1. Plant Material
2.2. Design of Experiment
2.3. Sample Preparation and Pre-Drying Treatment
2.4. Drying Time (Dt), Drying Rate (DR), Moisture Content (MC), and Moisture Ratio (MR)
2.5. Drying Kinetics Model Fitting
2.6. Chromaticity
2.7. Rehydration Ratio (RR)
2.8. Antioxidant Activity (AA)
2.9. Total Phenolic Compound (TPC)
2.10. Specific Energy Consumption (Es)
2.11. Optimisation
3. Results and Discussion
3.1. Effect of Drying Factors on Hot Air-Dried Celeriac Slices Drying Kinetic
3.2. Effect of Drying Factors on Hot Air-Dried Celeriac Slices Quality
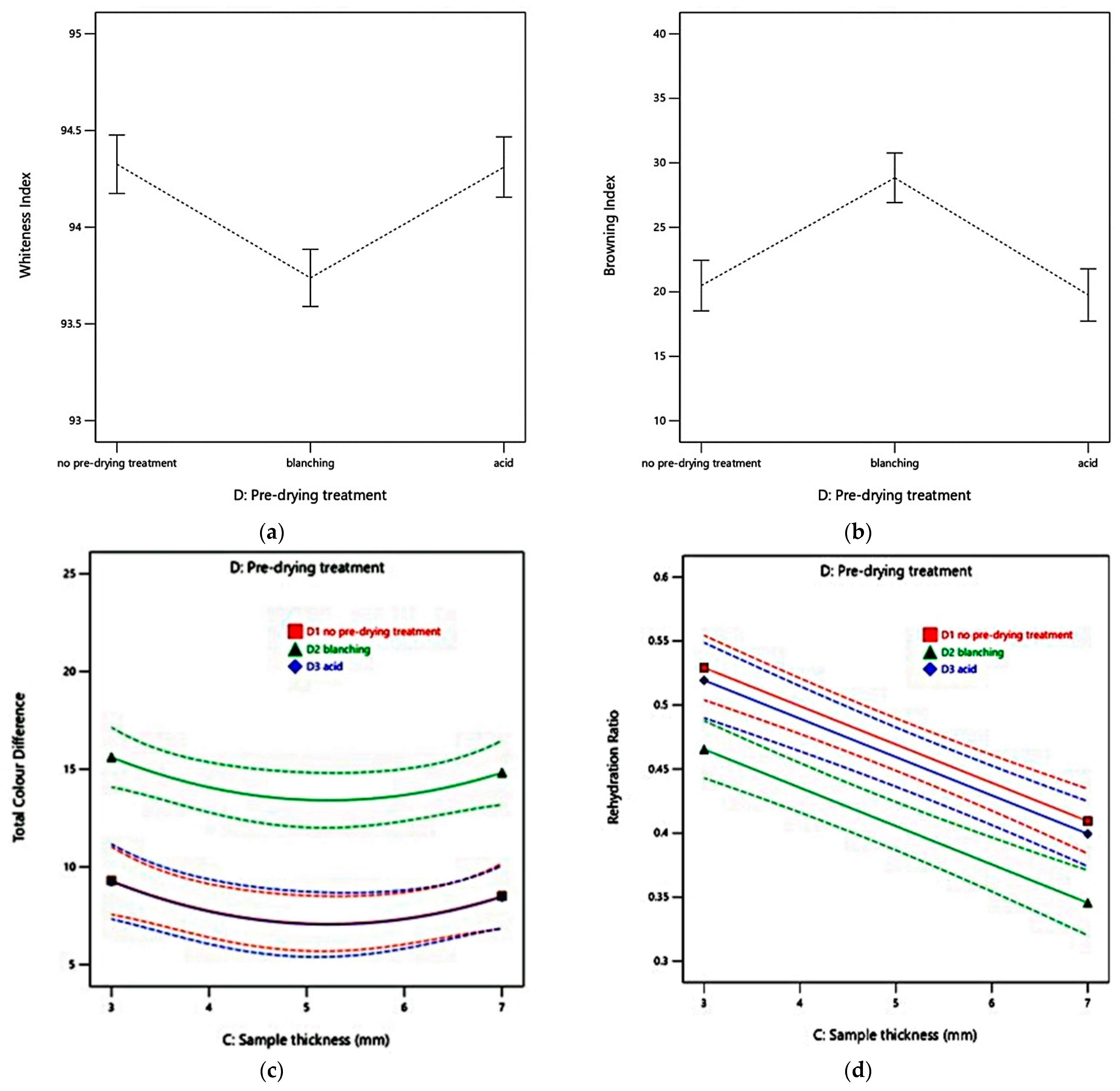
3.2.1. Chromaticity and Rehydration Ratio (RR)
3.2.2. Antioxidant Activity (AA) and Total Phenolic Compound (TPC)
3.3. Effect of Drying Factors on Hot Air-Dried Celeriac Slices Energy Consumption (Es)
3.4. Optimisation
4. Conclusions
Author Contributions
Funding
Institutional Review Board Statement
Informed Consent Statement
Data Availability Statement
Acknowledgments
Conflicts of Interest
References
- Vega-Gálvez, A.; Ah-Hen, K.; Chacana, M.; Vergara, J.; Martínez-Monzó, J.; García-Segovia, P.; Lemus-Mondaca, R.; Di Scala, K. Effect of temperature and air velocity on drying kinetics, antioxidant capacity, total phenolic content, colour, texture and microstructure of apple (var. Granny Smith) slices. Food Chem. 2012, 132, 51–59. [Google Scholar] [CrossRef] [PubMed]
- Bonazzi, C.; Dumoulin, E.; Quality Changes in Food Materials as Influenced by Drying Processes. Wiley-VCH Verlag GmbH & Co. Wiley-VCH Verlag GmbH & Co. KGaA., 2011; Volume 3, pp. 1–20. Available online: https://application.wiley-vch.de/books/sample/3527315586_c01.pdf (accessed on 25 May 2021).
- Menon, A.; Stojceska, V.; Tassou, S. A systematic review on the recent advances of the energy efficiency improvements in non-conventional food drying technologies. Trends Food Sci. Technol. 2020, 100, 67–76. [Google Scholar] [CrossRef]
- Aghbashlo, M.; Hosseinpour, S.; Mujumdar, A.S. Application of Artificial Neural Networks (ANNs) in Drying Technology: A Comprehensive Review. Dry. Technol. 2015, 33, 1397–1462. [Google Scholar] [CrossRef]
- Ertekin, C.; Gozlekci, S.; Heybeli, N.; Gencer, A.; Adak, N.; Sengul, B. Drying of Strawberries with Infrared Dryer. In Proceedings of the International Conference of Agricultural Engineering, Zürich, Switzerland, 6–10 July 2014; pp. 1–7. [Google Scholar]
- Amjad, W.; Hensel, O.; Munir, A. Batch drying of potato slices: Kinetic changes of colour and shrinkage in response of uniformly distributed drying temperature. Int. Agric. Eng. J. 2015, 17, 296–308. [Google Scholar]
- Moreno, G.D.C.; Díaz-Moreno, A.C. Effect of air drying process on the physicochemical, antioxidant, and microstructural characteristics of tomato cv. Chonto. Agron. Colomb. 2017, 35, 100–106. [Google Scholar] [CrossRef]
- Silva, B.G.; Fileti, A.M.F.; Foglio, M.A.; Rosa, P.D.T.V.; Taranto, O.P. Effects of Different Drying Conditions on Key Quality Parameters of Pink Peppercorns (Schinus terebinthifolius Raddi). J. Food Qual. 2017, 2017, 1–12. [Google Scholar] [CrossRef]
- Cui, L.; Niu, L.; Li, D.; Liu, C.; Liu, Y.; Liu, C.; Song, J. Effects of different drying methods on quality, bacterial viability and storage stability of probiotic enriched apple snacks. J. Integr. Agric. 2018, 17, 247–255. [Google Scholar] [CrossRef]
- Ismail, O.; Kipcak, A.S.; Doymaz, I. Drying of Okra by Different Drying Methods: Comparison of Drying time, Product Color Quality, Energy Consumption and Rehydration. Athens J. Sci. 2019, 6, 155–168. [Google Scholar] [CrossRef]
- Hafezi, N.; Sheikhdavoodi, M.J.; Sajadiye, S.M. The Effect of Drying Kinetic on Shrinkage of Potato Slices. Int. J. Adv. Biol. Biomed. Res. J. 2014, 2, 2779–2782. [Google Scholar] [CrossRef]
- Macias, M.A. Comparatives Studies of Different Drying Process of Strawberry Hot Air Drying Freeze-Drying and Swell-Drying: Application on the Biological Compounds Preservation; Université de La Rochelle: La Rochelle, France, 2013. [Google Scholar]
- Valdenegro, M.; Almonacid, S.; Henríquez, C.; Lutz, M.; Fuentes, L.; Simpson, R. The Effects of Drying Processes on Organoleptic Characteristics and the Health Quality of Food Ingredients Obtained from Goldenberry Fruits (Physalis peruviana). Open Acess Sci. Rep. 2013, 2, 1–7. [Google Scholar] [CrossRef]
- Ruttarattanamongkol, K.; Chittrakorn, S.; Weerawatanakorn, M.; Dangpium, N. Effect of drying conditions on properties, pigments and antioxidant activity retentions of pre-treated orange and purple-fleshed sweet potato flours. J. Food Sci. Technol. 2016, 53, 1811–1822. [Google Scholar] [CrossRef]
- Bruznican, S.; De Clercq, H.; Eeckhaut, T.; Van Huylenbroeck, J.; Geelen, D. Celery and Celeriac: A Critical View on Present and Future Breeding. Front. Plant Sci. 2020, 10, 1699. [Google Scholar] [CrossRef] [PubMed]
- Eurostat. Crop Production in EU Standard Humidity; Eurostat: Luxembourg, 2020. [Google Scholar]
- Krešić, G.; Lelas, V.; Šimundić, B. Effects of processing on nutritional composition and quality evaluation of candied celeriac. Sadhana-Acad. Proc. Eng. Sci. 2004, 29, 1–12. [Google Scholar] [CrossRef]
- Katarzyna, C. The effect of pre-treatment of shredded celeriac using solutions of enzymatic browning inhibitors on the quality of minimally processed product. J. Food Qual. 2007, 30, 594–608. [Google Scholar]
- U.S. Department of Agriculture. Food Data Central Search Results; U.S. Department of Agriculture: Washington, DC, USA, 2019.
- Silva International Celery Root. Available online: https://silva-intl.com/products/celery-root (accessed on 20 November 2020).
- Minarovičová, L.; Lauková, M.; Kohajdová, Z.; Karovičová, J.; Dobrovická, D.; Kuchtová, V. Qualitative properties of pasta enriched with celery root and sugar beet by-products. Czech J. Food Sci. 2018, 36, 66–72. [Google Scholar] [CrossRef]
- Białobrzewski, I. Determination of the mass transfer coefficient during hot-air-drying of celery root. J. Food Eng. 2007, 78, 1388–1396. [Google Scholar] [CrossRef]
- Beigi, M. Mass transfer parameters of celeriac during vacuum drying. Heat Mass Transf. 2017, 53, 1327–1334. [Google Scholar] [CrossRef]
- Wei, X.; Fan, K.; He, J.; Yan, F. Characterization of thin layer hot air drying of celery root. Adv. J. Food Sci. Technol. 2015, 9, 412–421. [Google Scholar] [CrossRef]
- Białobrzewski, I. Determination of the heat transfer coefficient by inverse problem formulation during celery root drying. J. Food Eng. 2006, 74, 383–391. [Google Scholar] [CrossRef]
- Alibaş, İ. Determination of Vacuum and Air Drying Characteristics of Celeriac Slices. J. Biol. Environ. Sci. 2012, 6, 1–13. [Google Scholar]
- Ježek, D.; Tripalo, B.; Brnĉić, M.; Karlović, D.; Brnčić, S.R.; Vikić-Topić, D.; Karlović, S. Dehydration of celery by infrared drying. Croat. Chem. Acta 2008, 81, 325–331. [Google Scholar]
- Velić, D.; Bilić, M.; Tomas, S.; Planinić, M.; Bucić, A.; Svoboda, Z. The effect of temperatures and pre-treatments on the quality of celery root drying in fluid bed drier the effect of temperatures and pre-treatments on the quality of celery. In Proceedings of the 4th International Conference SIPA’05, Timişoara, Romania, 24–26 November 2005; pp. 173–180. [Google Scholar]
- Priecina, L.; Karklina, D. Natural Antioxidant Changes in Fresh and Dried Spices and Vegetables. Int. J. Biol. Biomol. Agric. Food Biotechnol. Eng. 2014, 8, 492–496. [Google Scholar]
- Jin, W.; Mujumdar, A.S.; Zhang, M.; Shi, W. Novel Drying Techniques for Spices and Herbs: A Review. Food Eng. Rev. 2018, 10, 34–45. [Google Scholar] [CrossRef]
- Akkermans, W.G.M.; Coppenolle, H.; Goos, P. Optimal design of experiments for excipient compatibility studies. Chemom. Intell. Lab. Syst. 2017, 171, 125–139. [Google Scholar] [CrossRef]
- Nooraziah, A.; Tiagrajah, V.J. A study on regression model using response surface methodology. Appl. Mech. Mater. 2014, 666, 235–239. [Google Scholar] [CrossRef]
- Response Surface. Available online: https://www.statease.com/docs/v11/tutorials/multifactor-rsm/ (accessed on 23 June 2021).
- Otwell, W.S.; Iyengar, R. Inhibition of Enzymatic Browning in Foods and Beverages. Crit. Rev. Food Sci. Nutr. 1992, 32, 253–273. [Google Scholar] [CrossRef]
- The Commission of the European Communities. Commission Regulation (EC) No 889/2008; The Commission of the European Communities: Luxembourg, 2008; Volume 16, pp. 1–9. [Google Scholar]
- Guimarães, R.M.; de Oliveira, D.E.C.; Resende, O.; Silva, J.; de S. Silva, J.; de Rezende, T.A.M.; Egea, M.B. Thermodynamic properties and drying kinetics of ‘okara’. Rev. Bras. Eng. Agrícola e Ambient. 2018, 22, 418–423. [Google Scholar] [CrossRef]
- Correia, A.F.K.; Loro, A.C.; Zanatta, S.; Spoto, M.H.F.; Vieira, T.M.F.S. Effect of temperature, time, and material thickness on the dehydration process of tomato. Int. J. Food Sci. 2015, 2015, 1–7. [Google Scholar] [CrossRef]
- Karabacak, A.Ö.; Suna, S.; Tamer, C.E.; Çopur, U. Effects of oven, microwave and vacuum drying on drying characteristics, colour, total phenolic content and antioxidant capacity of celery slices. Qual. Assur. Saf. Crop. Foods 2018, 10, 193–205. [Google Scholar] [CrossRef]
- Afolabi, I.S. Moisture Migration and Bulk Nutrients Interaction in a Drying Food Systems: A Review. Food Nutr. Sci. 2014, 05, 692–714. [Google Scholar] [CrossRef]
- Nielsen, S.S. Food Analysis Laboratory Manual, 2nd ed.; Nielsen, S.S., Ed.; Springer: New York, NY, USA, 2010; ISBN 978-1-4419-1462-0. [Google Scholar]
- Faal, S.; Tavakoli, T.; Ghobadian, B. Mathematical modelling of thin layer hot air drying of apricot with combined heat and power dryer. J. Food Sci. Technol. 2015, 52, 2950–2957. [Google Scholar] [CrossRef][Green Version]
- Aral, S.; Beşe, A.V. Convective drying of hawthorn fruit (Crataegus spp.): Effect of experimental parameters on drying kinetics, color, shrinkage, and rehydration capacity. Food Chem. 2016, 210, 577–584. [Google Scholar] [CrossRef] [PubMed]
- Wang, J. A single-layer model for far-infrared radiation dying of onion slices. Dry. Technol. 2002, 20, 1941–1953. [Google Scholar] [CrossRef]
- Hunter, J.D. Matplotlib: A 2D Graphics Environment. Comput. Sci. Eng. 2007, 9, 90–95. [Google Scholar] [CrossRef]
- CHROMA METER CR-400/410. Available online: https://www.konicaminolta.com/instruments/download/instruction_manual/color/pdf/cr-400-410_instruction_eng.pdf (accessed on 23 June 2021).
- Pathare, P.B.; Opara, U.L.; Al-Said, F.A.J. Colour Measurement and Analysis in Fresh and Processed Foods: A Review. Food Bioprocess Technol. 2013, 6, 36–60. [Google Scholar] [CrossRef]
- Boun, H.R.; Huxsoll, C.C. Control of Minimally Processed Carrot (Daucus carota) Surface Discoloration Caused by Abrasion Peeling. J. Food Sci. 1991, 56, 416–418. [Google Scholar] [CrossRef]
- Palou, E.; López-Malo, A.; Barbosa-Cánovas, G.; Welti-Chanes, J.; Swanson, B.G. Polyphenoloxidase activity and color of blanched and high hydrostatic pressure treated banana puree. J. Food Sci. 1999, 64, 42–45. [Google Scholar] [CrossRef]
- Konica Minolta Identifying Color Differences Using L*a*b* or L*C*H* Coordinates. Available online: https://sensing.konicaminolta.us/us/blog/identifying-color-differences-using-l-a-b-or-l-c-h-coordinates/ (accessed on 16 March 2021).
- Akhtar, J.; Kumar, J.; Malik, S. Optimization of Quality Parameters of Dehydrated Potato under Combined Microwave-Fluidized Bed Drying. J. Food Res. Technol. 2015, 3, 71–82. [Google Scholar]
- Brand-Williams, W.; Cuvelier, M.E.; Berset, C. Use of a Free Radical Method to Evaluate Antioxidant Activity. LWT-Food Sci. Technol. 1995, 28, 25–30. [Google Scholar] [CrossRef]
- Raponi, F.; Moscetti, R.; Monarca, D.; Colantoni, A.; Massantini, R. Monitoring and optimization of the process of drying fruits and vegetables using computer vision: A review. Sustainability 2017, 9, 2009. [Google Scholar] [CrossRef]
- Odeh, I.; Al-Rimawi, F.; Abbadi, J.; Obeyat, L.; Qabbajeh, M.H.A. Effect of Harvesting Date and Variety of Date Palm on Antioxidant Capacity, Phenolic and Flavonoid Content of Date Palm (Phoenix Dactylifera). J. Food Nutr. Res. 2014, 2, 499–505. [Google Scholar] [CrossRef]
- Aghbashlo, M.; kianmehr, M.H.; Samimi-Akhijahani, H. Influence of drying conditions on the effective moisture diffusivity, energy of activation and energy consumption during the thin-layer drying of berberis fruit (Berberidaceae). Energy Convers. Manag. 2008, 49, 2865–2871. [Google Scholar] [CrossRef]
- Response Surface (pt 3). Available online: https://www.statease.com/docs/latest/tutorials/multifactor-rsm-pt3/ (accessed on 22 June 2021).
- Mixture Design (pt 2). Available online: https://www.statease.com/docs/v11/tutorials/mixture-designs-2/ (accessed on 22 June 2021).
- He, Z.; Zhu, P.F.; Park, S.H. A robust desirability function method for multi-response surface optimization considering model uncertainty. Eur. J. Oper. Res. 2012, 221, 241–247. [Google Scholar] [CrossRef]
- Optimizing Formulation Performance with Desirability Functions. Available online: https://cdnm.statease.com/pubs/optimizing_formulation_performance_with_desirability_functions.pdf (accessed on 20 June 2021).
- Derringer, G.; Suich, R. Simultaneous Optimization of Several Response Variables. J. Qual. Technol. 1980, 12, 214–219. [Google Scholar] [CrossRef]
- Harrington, E.C.J. The desirability function. Ind. Qual. Control 1965, 21, 494–498. [Google Scholar]
- Md Saleh, R.; Kulig, B.; Hensel, O.; Sturm, B. Investigation of dynamic quality changes and optimization of drying parameters of carrots (Daucus carota var. laguna). J. Food Process. Eng. 2019, 43, 1–17. [Google Scholar] [CrossRef]
- Doymaz, İ. Drying kinetics, rehydration and colour characteristics of convective hot-air drying of carrot slices. Heat Mass Transf. 2017, 53, 25–35. [Google Scholar] [CrossRef]
- Taye, A.H. Optimization of Drying Process for Better Quality Retention of Dried Potato; Universität Kassel: Witzenhausen, Germany, 2018. [Google Scholar]
- Tzempelikos, D.A.; Vouros, A.P.; Bardakas, A.V.; Filios, A.E.; Margaris, D.P. Case studies on the effect of the air drying conditions on the convective drying of quinces. Case Stud. Therm. Eng. 2014, 3, 79–85. [Google Scholar] [CrossRef]
- Limpaiboon, K.; Technology, A.; Thammarat, N.S. Effects of Temperature and Slice Thickness on Drying Kinetics of Pumpkin Slices. Walailak J. Sci Technol. 2011, 8, 159–166. [Google Scholar] [CrossRef]
- Doymaz, I.; Özdemir, Ö. Effect of air temperature, slice thickness and pre-treatment on drying and rehydration of tomato. Int. J. Food Sci. Technol. 2014, 49, 558–564. [Google Scholar] [CrossRef]
- Velić, D.; Planinić, M.; Tomas, S.; Bilić, M. Influence of airflow velocity on kinetics of convection apple drying. J. Food Eng. 2004, 64, 97–102. [Google Scholar] [CrossRef]
- Ndisya, J.; Mbuge, D.; Kulig, B.; Gitau, A.; Hensel, O.; Sturm, B. Hot air drying of purple-speckled Cocoyam (Colocasia esculenta (L.) Schott) slices: Optimisation of drying conditions for improved product quality and energy savings. Therm. Sci. Eng. Prog. 2020, 18, 100557. [Google Scholar] [CrossRef]
- Ertekin, C.; Firat, M.Z. A comprehensive review of thin-layer drying models used in agricultural products. Crit. Rev. Food Sci. Nutr. 2017, 57, 701–717. [Google Scholar] [CrossRef]
- Midilli, A.; Kucuk, H.; Yapar, Z. A new model for single-layer drying. Dry. Technol. 2002, 20, 1503–1513. [Google Scholar] [CrossRef]
- Yağcıoğlu, A.K.; Değirmencioğlu, A.; Çağatay, F. Drying Characteristics of Laurel Leaves Under Different Drying Conditions. In Proceedings of the 7th Int Congress Agricultural Mechanisation and Energy, Adana, Türkiye, 26–27 May 1999; pp. 565–569. [Google Scholar]
- Erbay, Z.; Icier, F. A review of thin layer drying of foods: Theory, modeling, and experimental results. Crit. Rev. Food Sci. Nutr. 2010, 50, 441–464. [Google Scholar] [CrossRef]
- Shin, S.; Bhowmik, S.R. Thermal kinetics of color changes in pea puree. J. Food Eng. 1995, 24, 77–86. [Google Scholar] [CrossRef]
- Lozano, J.E.; Ibarz, A. Colour changes in concentrated fruit pulp during heating at high temperatures. J. Food Eng. 1997, 31, 365–373. [Google Scholar] [CrossRef]
- Adekunte, A.O.; Tiwari, B.K.; Cullen, P.J.; Scannell, A.G.M.; O’Donnell, C.P. Effect of sonication on colour, ascorbic acid and yeast inactivation in tomato juice. Food Chem. 2010, 122, 500–507. [Google Scholar] [CrossRef]
- Severini, C.; Giuliani, R.; De Filippis, A.; Derossi, A.; De Pilli, T. Influence of different blanching methods on colour, ascorbic acid and phenolics content of broccoli. J. Food Sci. Technol. 2016, 53, 501–510. [Google Scholar] [CrossRef]
- Ben Zid, M.; Dhuique-Mayer, C.; Bellagha, S.; Sanier, C.; Collignan, A.; Servent, A.; Dornier, M. Effects of Blanching on Flavanones and Microstructure of Citrus aurantium Peels. Food Bioprocess Technol. 2015, 8, 2246–2255. [Google Scholar] [CrossRef]
- Doymaz, I. Drying of Potato Slices: Effect of Pretreatments and Mathematical Modeling. J. Food Process. Preserv. 2012, 36, 310–319. [Google Scholar] [CrossRef]
- Krokida, M.K.; Philippopoulos, C. Rehydration of Dehydrated Foods. Dry. Technol. 2005, 23, 37–41. [Google Scholar] [CrossRef]
- Markowski, M.; Bondaruk, J.; Błaszczak, W. Rehydration behavior of vacuum-microwave-dried potato cubes. Dry. Technol. 2009, 27, 296–305. [Google Scholar] [CrossRef]
- Krokida, M.K.; Marinos-Kouris, D. Rehydration kinetics of dehydrated products. J. Food Eng. 2003, 57, 1–7. [Google Scholar] [CrossRef]
- Özkan, M.; Kirca, A.; Cemeroğlu, B. Effect of moisture content on CIE color values in dried apricots. Eur. Food Res. Technol. 2003, 216, 217–219. [Google Scholar] [CrossRef]
- Shrestha, L.; Kulig, B.; Moscetti, R.; Massantini, R.; Pawelzik, E.; Hensel, O.; Sturm, B. Optimisation of physical and chemical treatments to control browning development and enzymatic activity on fresh-cut apple slices. Foods 2020, 9, 76. [Google Scholar] [CrossRef] [PubMed]
- Madrau, M.A.; Piscopo, A.; Sanguinetti, A.M.; Del Caro, A.; Poiana, M.; Romeo, F.V.; Piga, A. Effect of drying temperature on polyphenolic content and antioxidant activity of apricots. Eur. Food Res. Technol. 2009, 228, 441–448. [Google Scholar] [CrossRef]
- Manzocco, L.; Calligaris, S.; Mastrocola, D.; Nicoli, M.C.; Lerici, C.R. Review of non-enzymatic browning and antioxidant capacity in processed foods. Trends Food Sci. Technol. 2000, 11, 340–346. [Google Scholar] [CrossRef]
- Lourenço, S.C.; Campos, D.A.; Ricardo, G.; Pintado, M.; Conceiç, M.; Santos, D.I.; Corr, L.C.; Mold, M. Optimization of Natural Antioxidants Extraction from Pineapple Peel and Their Stabilization by Spray Drying. Foods 2021, 10, 1255. [Google Scholar] [CrossRef]
- Ismail, A.; Marjan, Z.M.; Foong, C.W. Total antioxidant activity and phenolic content in selected vegetables. Food Chem. 2004, 87, 581–586. [Google Scholar] [CrossRef]
- Setyawan, N.; Maninang, J.S.; Suzuki, S.; Fujii, Y. Variation in the Physical and Functional Properties of Yam (Dioscorea spp.) Flour Produced by Different Processing Techniques. Foods 2021, 10, 1341. [Google Scholar] [CrossRef] [PubMed]
- Motevali, A.; Abbaszadeh, A.; Minaei, S.; Khoshtaghaza, M.H.; Ghobadian, B. Effective Moisture diffusivity, activation energy and energy consumption in thin-layer drying of jujube (Zizyphus jujube Mill). J. Agric. Sci. Technol. 2012, 14, 523–532. [Google Scholar]
- Pederson, S.J. Design of Experiments for Food Engineering; National Food Institute, Technical University of Denmark: Søborg, Denmark, 2015. [Google Scholar]
- López, V.C. Innovations in Nnon-Destructive Techniques for Fruit Quality Control Applied to Manipulation and Inspection Lines; Universitat Politècnica de València: València, Spain, 2018. [Google Scholar]
- Stat-Ease Inc Interpreting the Categoric Model. Available online: https://www.statease.com/docs/v11/contents/hints-and-faqs/interpreting-the-categoric-model/ (accessed on 15 February 2021).








| Factors | Coded Factors | Level | ||
|---|---|---|---|---|
| - | - | −1 | 0 | +1 |
| Drying temperature (°C) | x1 | 50 | 60 | 70 |
| Air velocity (m/s) | x2 | 1.5 | 2.2 | 2.9 |
| Sample thickness (mm) | x3 | 3 | 5 | 7 |
| Pre-drying treatment | x4 | N | B | A |
| Model | Frequency | Model Formula | Reference |
|---|---|---|---|
| Midilli and others | 24 | [70] | |
| Logarithmic | 6 | [71] |
| - | Dt (min) | WI(-) | BI(-) | ΔE*ab(-) | RR(-) | Es (kJ/kg) | %AA (%) | %TPC (%) |
|---|---|---|---|---|---|---|---|---|
| Intercept | 281.570 | 94.125 | 23.025 | 9.093 | 0.4447 | 5,590,060.360 | 186.909 | 66.633 |
| x1 | −101.174 1 | - | - | - | - | −310,381.836 2 | −28.629 2 | 2.760 2 |
| x2 | −34.327 2 | - | - | - | - | 1,076,236.090 1 | - | −3.152 3 |
| x3 | 127.946 1 | - | - | −0.395 4 | −0.0600 1 | 359,674.738 2 | - | −2.548 4 |
| x4 (1) | −33.874 1 | 0.201 2 | −2.544 1 | −2.086 1 | 0.0245 1 | −358,525.812 1 | - | −2.496 2 |
| x4 (2) | 73.962 1 | −0.387 2 | 5.814 1 | 4.224 1 | −0.0392 1 | 1,104,370.500 1 | - | −4.054 2 |
| x1 x2 | - | - | - | - | - | - | - | −7.348 2 |
| x1 x3 | −44.081 2 | - | - | - | - | - | - | 8.812 2 |
| x1 x4 (1) | - | - | - | - | - | - | - | 7.972 2 |
| x1 x4 (2) | - | - | - | - | - | - | - | 2.118 2 |
| x2 x3 | −37.198 2 | - | - | - | - | - | - | - |
| x2 x4 (1) | - | - | - | - | - | - | - | 4.624 2 |
| x2 x4 (2) | - | - | - | - | - | - | - | −12.379 2 |
| x3 x4 (1) | - | - | - | - | - | - | - | −10.827 2 |
| x3 x4 (2) | - | - | - | - | - | - | - | 12.038 2 |
| x1 ² | - | - | - | - | - | −539,553.369 2 | - | - |
| x2 ² | - | - | - | - | - | −680,688.662 2 | - | - |
| x3 ² | - | - | - | 1.788 2 | - | - | - | - |
| Model F value | 31.189 1 | 11.454 2 | 15.160 1 | 26.740 1 | 36.810 1 | 17.742 1 | 9.339 2 | 8.833 1 |
| Lack of Fit F value | 3.035 4 | 1.368 4 | 1.836 4 | 1.650 4 | 2.210 4 | 1.7224 | 2.276 4 | 0.497 4 |
| R 2 adj | 0.879 | 0.419 | 0.494 | 0.780 | 0.787 | 0.802 | 0.223 | 0.778 |
Publisher’s Note: MDPI stays neutral with regard to jurisdictional claims in published maps and institutional affiliations. |
© 2021 by the authors. Licensee MDPI, Basel, Switzerland. This article is an open access article distributed under the terms and conditions of the Creative Commons Attribution (CC BY) license (https://creativecommons.org/licenses/by/4.0/).
Share and Cite
Nurkhoeriyati, T.; Kulig, B.; Sturm, B.; Hensel, O. The Effect of Pre-Drying Treatment and Drying Conditions on Quality and Energy Consumption of Hot Air-Dried Celeriac Slices: Optimisation. Foods 2021, 10, 1758. https://doi.org/10.3390/foods10081758
Nurkhoeriyati T, Kulig B, Sturm B, Hensel O. The Effect of Pre-Drying Treatment and Drying Conditions on Quality and Energy Consumption of Hot Air-Dried Celeriac Slices: Optimisation. Foods. 2021; 10(8):1758. https://doi.org/10.3390/foods10081758
Chicago/Turabian StyleNurkhoeriyati, Tina, Boris Kulig, Barbara Sturm, and Oliver Hensel. 2021. "The Effect of Pre-Drying Treatment and Drying Conditions on Quality and Energy Consumption of Hot Air-Dried Celeriac Slices: Optimisation" Foods 10, no. 8: 1758. https://doi.org/10.3390/foods10081758
APA StyleNurkhoeriyati, T., Kulig, B., Sturm, B., & Hensel, O. (2021). The Effect of Pre-Drying Treatment and Drying Conditions on Quality and Energy Consumption of Hot Air-Dried Celeriac Slices: Optimisation. Foods, 10(8), 1758. https://doi.org/10.3390/foods10081758

