Chitosan Films Functionalized with Different Hydroxycinnamic Acids: Preparation, Characterization and Application for Pork Preservation
Abstract
1. Introduction
2. Materials and Methods
2.1. Materials and Reagents
2.2. Synthesis of Hydroxycinnamic Acid-g-CSs
2.3. Characterization of Hydroxycinnamic Acid-g-CSs
2.4. Preparation of Hydroxycinnamic Acid-g-CS Films
2.5. Characterization of Hydroxycinnamic Acid-g-CS Films
2.6. Antioxidant and Antimicrobial Activities of Hydroxycinnamic Acid-g-CS Films
2.7. Application of the Film in Pork Preservation
2.7.1. Determination of Total Volatile Basic Nitrogen (TVBN) Value
2.7.2. Determination of pH Value
2.7.3. Determination of Total Viable Counts (TVC)
2.7.4. Determination of Thiobarbituric Acid Reactive Substances (TBARS) Value
2.7.5. Sensory Evaluation
2.8. Statistical Analysis
3. Results
3.1. Synthesis of Hydroxycinnamic Acid-g-CSs
3.2. Characterization of the Hydroxycinnamic Acid-g-CSs
3.3. Characterization of Hydroxycinnamic Acid-g-CS Films
3.3.1. Color
3.3.2. Light Transmittance
3.3.3. WVP
3.3.4. Mechanical Property
3.3.5. Thermal Property
3.3.6. Microstructure
3.3.7. Antioxidant Activity
3.3.8. Antimicrobial Activity
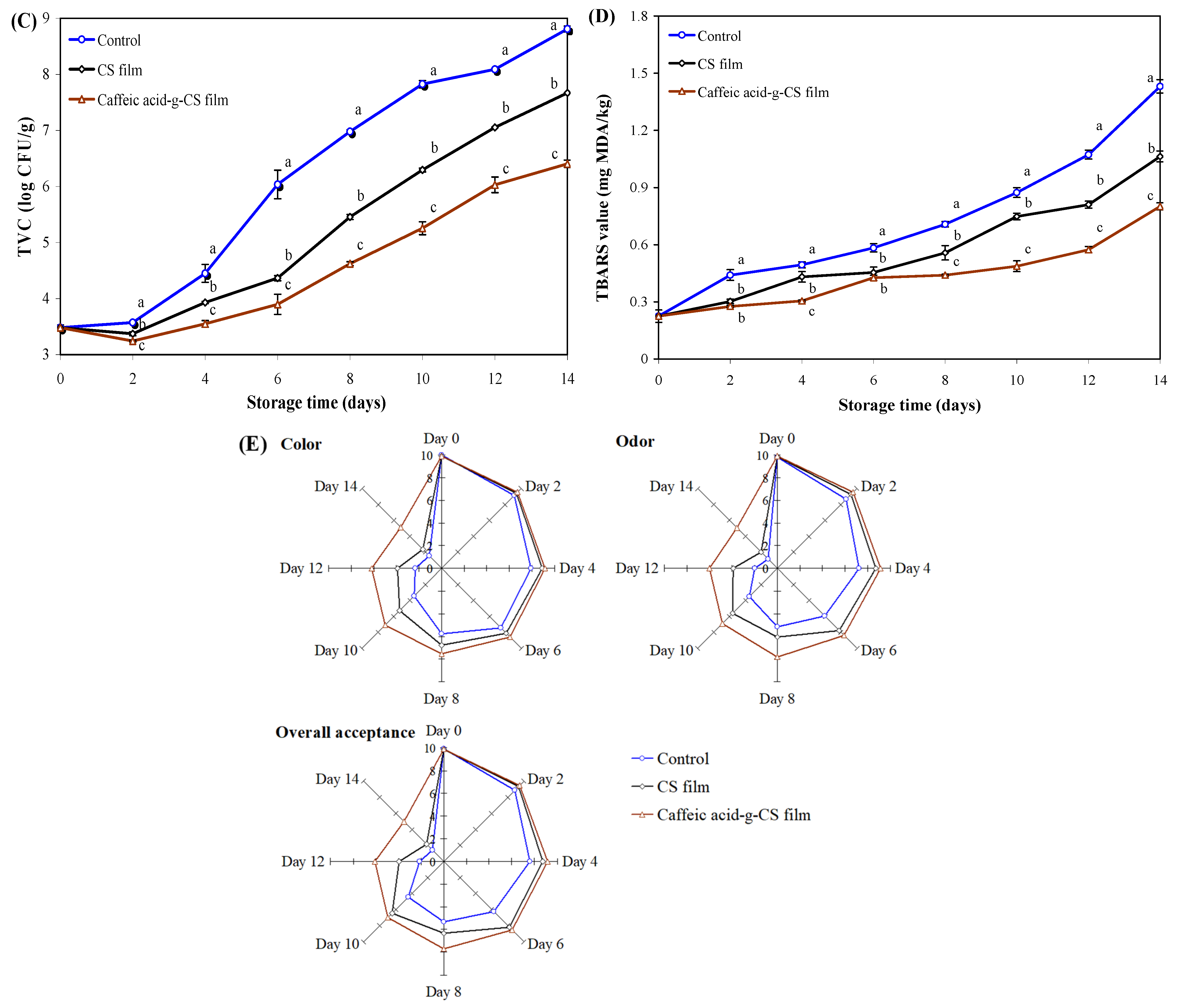
3.4. Application of Caffeic Acid-g-CS Film in Pork Packaging
4. Conclusions
Supplementary Materials
Author Contributions
Funding
Data Availability Statement
Conflicts of Interest
References
- Anukiruthika, T.; Sethupathy, P.; Wilson, A.; Kashampur, K.; Moses, J.A.; Anandharamakrishnan, C. Multilayer packaging: Advances in preparation techniques and emerging food applications. Compr. Rev. Food Sci. Food Saf. 2020, 19, 1156–1186. [Google Scholar] [CrossRef] [PubMed]
- Domínguez, R.; Barba, F.J.; Gómez, B.; Putnik, P.; Kovačević, D.B.; Pateiro, M.; Santos, E.M.; Lorenzoa, J.M. Active packaging films with natural antioxidants to be used in meat industry: A review. Food Res. Int. 2018, 113, 93–101. [Google Scholar] [CrossRef]
- Motelica, L.; Ficai, D.; Ficai, A.; Oprea, O.C.; Kaya, D.A.; Andronescu, E. Biodegradable antimicrobial food packaging: Trends and perspectives. Foods 2020, 9, 1438. [Google Scholar] [CrossRef]
- Yong, H.; Liu, J. Recent advances in the preparation, physical and functional properties, and applications of anthocyanins-based active and intelligent packaging films. Food Packag. Shelf Life 2020, 26, 100550. [Google Scholar] [CrossRef]
- Mujtaba, M.; Morsi, R.E.; Kerch, G.; Elsabee, M.Z.; Kaya, M.; Labidi, J.; Khawar, K.M. Current advancements in chitosan-based film production for food technology; a review. Int. J. Biol. Macromol. 2019, 121, 889–904. [Google Scholar] [CrossRef]
- Bakshi, P.S.; Selvakumar, D.; Kadirvelu, K.; Kumar, N.S. Chitosan as an environment friendly biomaterial—A review on recent modifications and applications. Int. J. Biol. Macromol. 2020, 150, 1072–1083. [Google Scholar] [CrossRef]
- Liu, J.; Pu, H.M.; Liu, S.; Kan, J.; Jin, C.H. Synthesis, characterization, bioactivity and potential application of phenolic acid grafted chitosan: A review. Carbohydr. Polym. 2017, 174, 999–1017. [Google Scholar] [CrossRef] [PubMed]
- Liu, X.W.; Le Bourvellec, C.; Renard, C.M.G.C. Interactions between cell wall polysaccharides and polyphenols: Effect of molecular internal structure. Compr. Rev. Food Sci. Food Saf. 2020, 19, 3574–3617. [Google Scholar] [CrossRef]
- Generalić Mekinić, I.; Skroza, D.; Ljubenkov, I.; Katalinić, V.; Šimat, V. Antioxidant and antimicrobial potential of phenolic metabolites from traditionally used Mediterranean herbs and spices. Foods 2019, 8, 579. [Google Scholar] [CrossRef]
- Martins, S.; Mussatto, S.I.; Martínez-Avila, G.; Montañez-Saenz, J.; Aguilar, C.N.; Teixeira, J.A. Bioactive phenolic compounds: Production and extraction by solid-state fermentation. a review. Biotechnol. Adv. 2011, 29, 365–373. [Google Scholar] [CrossRef] [PubMed]
- Sharma, S.; Barkauskaite, S.; Jaiswal, A.K.; Jaiswal, S. Essential oils as additives in active food packaging. Food Chem. 2020, 343, 128403. [Google Scholar] [CrossRef]
- Wu, C.H.; Tian, J.H.; Li, S.; Wu, T.T.; Hu, Y.Q.; Chen, S.G.; Sugawara, T.; Ye, X.Q. Structural properties of films and rheology of film-forming solutions of chitosan gallate for food packaging. Carbohydr. Polym. 2016, 146, 10–19. [Google Scholar] [CrossRef] [PubMed]
- Oliver, S.; Jofri, A.; Thomas, D.S.; Vittorio, O.; Kavallaris, M.; Boyer, C. Tuneable catechin functionalisation of carbohydrate polymers. Carbohydr. Polym. 2017, 169, 480–494. [Google Scholar] [CrossRef]
- Aljawish, A.; Muniglia, L.; Klouj, A.; Jasniewski, J.; Scher, J.; Desobry, S. Characterization of films based on enzymatically modified chitosan derivatives with phenol compounds. Food Hydrocolloid. 2016, 60, 551–558. [Google Scholar] [CrossRef]
- Liu, J.; Liu, S.; Chen, Y.; Zhang, L.; Kan, J.; Jin, C.H. Physical, mechanical and antioxidant properties of chitosan films grafted with different hydroxybenzoic acids. Food Hydrocolloid. 2017, 71, 176–186. [Google Scholar] [CrossRef]
- Wang, Y.Y.; Du, H.J.; Xie, M.H.; Ma, G.X.; Yang, W.J.; Hu, Q.H.; Pei, F. Characterization of the physical properties and biological activity of chitosan films grafted with gallic acid and caffeic acid: A comparison study. Food Packag. Shelf Life 2019, 22, 100401. [Google Scholar] [CrossRef]
- Zhang, X.; Liu, J.; Qian, C.L.; Kan, J.; & Jin, C.H. Effect of grafting method on the physical property and antioxidant potential of chitosan film functionalized with gallic acid. Food Hydrocolloid. 2019, 89, 1–10. [Google Scholar] [CrossRef]
- Schreiber, S.B.; Bozell, J.J.; Hayes, D.G.; Zivanovic, S. Introduction of primary antioxidant activity to chitosan for application as a multifunctional food packaging material. Food Hydrocolloid. 2013, 33, 207–214. [Google Scholar] [CrossRef]
- Rui, L.Y.; Xie, M.H.; Hu, B.; Zhou, L.; Yin, D.Y.; Zeng, X.X. A comparative study on chitosan/gelatin composite films with conjugated or incorporated gallic acid. Carbohydr. Polym. 2017, 173, 473–481. [Google Scholar] [CrossRef]
- Liu, J.; Meng, C.G.; Liu, S.; Kan, J.; Jin, C.H. Preparation and characterization of protocatechuic acid grafted chitosan films with antioxidant activity. Food Hydrocolloid. 2017, 63, 457–466. [Google Scholar] [CrossRef]
- Sova, M.; Saso, L. Natural sources, pharmacokinetics, biological activities and health benefits of hydroxycinnamic acids and their metabolites. Nutrients 2020, 12, 2190. [Google Scholar] [CrossRef] [PubMed]
- Taofiq, O.; González-Paramás, A.M.; Barreiro, M.F.; Ferreira, I.C. Hydroxycinnamic acids and their derivatives: Cosmeceutical significance, challenges and future perspectives, a review. Molecules 2017, 22, 281. [Google Scholar] [CrossRef]
- Woranuch, S.; Yoksan, R.; Akashi, M. Ferulic acid-coupled chitosan: Thermal stability and utilization as an antioxidant for biodegradable active packaging film. Carbohydr. Polym. 2015, 115, 744–751. [Google Scholar] [CrossRef]
- Xiong, Y.; Chen, M.; Warner, R.D.; Fang, Z.X. Incorporating nisin and grape seed extract in chitosan-gelatine edible coating and its effect on cold storage of fresh pork. Food Control 2020, 110, 107018. [Google Scholar] [CrossRef]
- Yildirim, S.; Röcker, B.; Pettersen, M.K.; Nilsen-Nygaard, J.; Ayhan, Z.; Rutkaite, R.; Radusin, T.; Suminska, P.; Marcos, B.; Coma, V. Active packaging applications for food. Compr. Rev. Food Sci. Food Saf. 2018, 17, 165–199. [Google Scholar] [CrossRef] [PubMed]
- Liu, T.; Liu, L.; Gong, X.M.; Chi, F.M.; Ma, Z. Fabrication and comparison of active films from chitosan incorporating different spice extracts for shelf life extension of refrigerated pork. LWT 2021, 135, 110181. [Google Scholar] [CrossRef]
- Qin, Y.Y.; Yang, J.Y.; Lu, H.B.; Wang, S.S.; Yang, J.; Yang, X.C.; Chai, M.; Lin, L.; Cao, J.X. Effect of chitosan film incorporated with tea polyphenol on quality and shelf life of pork meat patties. Int. J. Biol. Macromol. 2013, 61, 312–316. [Google Scholar] [CrossRef]
- Siripatrawan, U.; Noipha, S. Active film from chitosan incorporating green tea extract for shelf life extension of pork sausages. Food Hydrocolloid. 2012, 27, 102–108. [Google Scholar] [CrossRef]
- Venkatachalam, K.; Lekjing, S. A chitosan-based edible film with clove essential oil and nisin for improving the quality and shelf life of pork patties in cold storage. Rsc Adv. 2020, 10, 17777–17786. [Google Scholar] [CrossRef]
- Liu, J.; Pu, H.M.; Chen, C.; Liu, Y.P.; Bai, R.Y.; Kan, J.; Jin, C.H. Reaction mechanisms and structural and physicochemical properties of caffeic acid grafted chitosan synthesized in ascorbic acid and hydroxyl peroxide redox system. J. Agric. Food Chem. 2018, 66, 279–289. [Google Scholar] [CrossRef]
- Yong, H.M.; Wang, X.C.; Bai, R.Y.; Miao, Z.Q.; Zhang, X.; Liu, J. Development of antioxidant and intelligent pH-sensing packaging films by incorporating purple-fleshed sweet potato extract into chitosan matrix. Food Hydrocolloid. 2019, 90, 216–224. [Google Scholar] [CrossRef]
- Qin, Y.; Liu, Y.P.; Zhang, X.; Liu, J. Development of active and intelligent packaging by incorporating betalains from red pitaya (Hylocereus polyrhizus) peel into starch/polyvinyl alcohol films. Food Hydrocolloid. 2020, 100, 105410. [Google Scholar] [CrossRef]
- Souza, V.G.L.; Rodrigues, C.; Valente, S.; Pimenta, C.; Pires, J.R.A.; Alves, M.M.; Santos, C.F.; Coelhoso, I.N.; Fernando, A.L. Eco-friendly ZnO/Chitosan bionanocomposites films for packaging of fresh poultry meat. Coatings 2020, 10, 110. [Google Scholar] [CrossRef]
- Ruan, C.C.; Zhang, Y.M.; Sun, Y.; Gao, X.L.; Xiong, G.Y.; Liang, J. Effect of sodium alginate and carboxymethyl cellulose edible coating with epigallocatechin gallate on quality and shelf life of fresh pork. Int. J. Biol. Macromol. 2019, 141, 178–184. [Google Scholar] [CrossRef] [PubMed]
- Wang, C.J.; Chang, T.; Dong, S.; Zhang, D.L.; Ma, C.Y.; Chen, S.F.; Li, H.J. Biopolymer films based on chitosan/potato protein/linseed oil/ZnO NPs to maintain the storage quality of raw meat. Food Chem. 2020, 332, 127375. [Google Scholar] [CrossRef]
- Fan, X.J.; Liu, S.Z.; Li, H.H.; He, J.; Feng, J.T.; Zhang, X.; Yan, H. Effects of Portulaca oleracea L. extract on lipid oxidation and color of pork meat during refrigerated storage. Meat Sci. 2019, 147, 82–90. [Google Scholar] [CrossRef]
- Zhao, S.M.; Li, N.N.; Li, Z.; He, H.J.; Zhao, Y.Y.; Zhu, M.M.; Wang, Z.R. Shelf life of fresh chilled pork as affected by antimicrobial intervention with nisin, tea polyphenols, chitosan, and their combination. Int. J. Food Prop. 2019, 22, 1047–1063. [Google Scholar] [CrossRef]
- Chatterjee, N.S.; Panda, S.K.; Navitha, M.; Asha, K.K.; Anandan, R.; Mathew, S. Vanillic acid and coumaric acid grafted chitosan derivatives: Improved grafting ratio and potential application in functional food. J. Food Sci. Technol. 2015, 52, 7153–7162. [Google Scholar] [CrossRef]
- Lee, D.S.; Woo, J.Y.; Ahn, C.B.; Je, J.Y. Chitosan–hydroxycinnamic acid conjugates: Preparation, antioxidant and antimicrobial activity. Food Chem. 2014, 148, 97–104. [Google Scholar] [CrossRef]
- Liu, J.; Wen, X.Y.; Lu, J.F.; Kan, J.; Jin, C.H. Free radical mediated grafting of chitosan with caffeic and ferulic acids: Structures and antioxidant activity. Int. J. Biol. Macromol. 2014, 65, 97–106. [Google Scholar] [CrossRef]
- Yang, C.F.; Zhou, Y.; Zheng, Y.; Li, C.L.; Sheng, S.; Wang, J.; Wu, F. Enzymatic modification of chitosan by cinnamic acids: Antibacterial activity against Ralstonia solanacearum. Int. J. Biol. Macromol. 2016, 87, 577–585. [Google Scholar] [CrossRef]
- Kumar, R.; Ginell, W.S. A new technique for determining the depth of penetration of consolidants into limestone using iodine vapor. J. Am. Inst. Conserv. 1997, 36, 143–150. [Google Scholar] [CrossRef]
- Xu, C.; Guan, S.; Wang, B.; Wang, S.P.; Wang, Y.X.; Sun, C.K.; Ma, X.H.; Liu, T. Synthesis of protocatechuic acid grafted chitosan copolymer: Structure characterization and in vitro neuroprotective potential. Int. J. Biol. Macromol. 2018, 109, 1–11. [Google Scholar] [CrossRef]
- Hu, B.; Ma, F.G.; Yang, Y.K.; Xie, M.H.; Zhang, C.; Xu, Y.; Zeng, X.X. Antioxidant nanocomplexes for delivery of epigallocatechin-3-gallate. J. Agr. Food Chem. 2016, 64, 3422–3429. [Google Scholar] [CrossRef] [PubMed]
- İlyasoğlu, H.; Guo, Z. Water soluble chitosan-caffeic acid conjugates as a dual functional polymeric surfactant. Food Biosci. 2019, 29, 118–125. [Google Scholar] [CrossRef]
- Li, C.; Fang, K.; He, W.; Li, K.; Jiang, Y.; Li, J.B. Evaluation of chitosan-ferulic acid microcapsules for sustained drug delivery: Synthesis, characterizations, and release kinetics in vitro. J. Mol. Struct. 2021, 1227, 129353. [Google Scholar] [CrossRef]
- Woranuch, S.; Yoksan, R. Preparation, characterization and antioxidant property of water-soluble ferulic acid grafted chitosan. Carbohydr. Polym. 2013, 96, 495–502. [Google Scholar] [CrossRef]
- Božič, M.; Gorgieva, S.; Kokol, V. Homogeneous and heterogeneous methods for laccase-mediated functionalization of chitosan by tannic acid and quercetin. Carbohydr. Polym. 2012, 89, 854–864. [Google Scholar] [CrossRef] [PubMed]
- Wang, Y.Y.; Xie, M.H.; Ma, G.X.; Fang, Y.; Yang, W.J.; Ma, N.; Fang, D.L.; Hu, Q.H.; Pei, F. The antioxidant and antimicrobial activities of different phenolic acids grafted onto chitosan. Carbohydr. Polym. 2019, 225, 115238. [Google Scholar] [CrossRef]
- Zhang, N.F.; Bi, F.Y.; Xu, F.F.; Yong, H.M.; Bao, Y.; Jin, C.H.; Liu, J. Structure and functional properties of active packaging films prepared by incorporating different flavonols into chitosan based matrix. Int. J. Biol. Macromol. 2020, 165, 625–634. [Google Scholar] [CrossRef]
- Liu, J.; Liu, S.; Wu, Q.Q.; Gu, Y.Y.; Kan, J.; Jin, C.H. Effect of protocatechuic acid incorporation on the physical, mechanical, structural and antioxidant properties of chitosan film. Food Hydrocolloid. 2017, 73, 90–100. [Google Scholar] [CrossRef]
- Sova, M. Antioxidant and antimicrobial activities of cinnamic acid derivatives. Mini-Rev. Med. Chem. 2012, 12, 749–767. [Google Scholar] [CrossRef]
- Yu, C.H.; Liu, X.Y.; Pei, J.C.; Wang, Y.T. Grafting of laccase-catalysed oxidation of butyl paraben and p-coumaric acid onto chitosan to improve its antioxidant and antibacterial activities. React. Funct. Polym. 2020, 149, 104511. [Google Scholar] [CrossRef]
- Magnani, C.; Isaac, V.L.B.; Correa, M.A.; Salgado, H.R.N. Caffeic acid: A review of its potential use in medications and cosmetics. Anal. Methods 2014, 6, 3203–3210. [Google Scholar] [CrossRef]
- Kalogianni, A.I.; Lazou, T.; Bossis, I.; Gelasakis, A.I. Natural phenolic compounds for the control of oxidation, bacterial spoilage, and foodborne pathogens in meat. Foods 2020, 9, 794. [Google Scholar] [CrossRef] [PubMed]
- Yong, H.M.; Liu, J. Active packaging films and edible coatings based on polyphenol-rich propolis extract: A review. Compr. Rev. Food Sci. Food Saf. 2021. [Google Scholar] [CrossRef] [PubMed]








| Films | L* | a* | b* | ΔE |
|---|---|---|---|---|
| CS film | 94.43 ± 0.02 a | −1.16 ± 0.01 d | 2.12 ± 0.13 d | 3.42 ± 0.14 d |
| p-Coumaric acid-g-CS film | 92.58 ± 0.29 b | −0.86 ± 0.04 b | 4.77 ± 0.71 c | 6.12 ± 0.74 c |
| Caffeic acid-g-CS film | 63.52 ± 0.19 d | 13.58 ± 0.13 a | 43.66 ± 0.20 a | 55.58 ± 0.29 a |
| Ferulic acid-g-CS film | 90.49 ± 0.08 c | −1.00 ± 0.05 c | 11.30 ± 0.16 b | 12.90 ± 0.14 b |
| Films | WVP (10−10 g m−1 s−1 Pa−1) | TS (MPa) | EAB (%) |
|---|---|---|---|
| CS film | 10.94 ± 0.22 a | 45.72 ± 3.42 d | 66.36 ± 2.14 d |
| p-Coumaric acid-g-CS film | 9.88 ± 0.06 b | 58.58 ± 5.97 c | 76.13 ± 5.91 c |
| Caffeic acid-g-CS film | 7.49 ± 0.37 d | 71.60 ± 2.61 a | 90.27 ± 2.15 a |
| Ferulic acid-g-CS film | 8.01 ± 0.16 c | 65.08 ± 3.25 b | 80.01 ± 7.36 b |
Publisher’s Note: MDPI stays neutral with regard to jurisdictional claims in published maps and institutional affiliations. |
© 2021 by the authors. Licensee MDPI, Basel, Switzerland. This article is an open access article distributed under the terms and conditions of the Creative Commons Attribution (CC BY) license (http://creativecommons.org/licenses/by/4.0/).
Share and Cite
Yong, H.; Liu, Y.; Yun, D.; Zong, S.; Jin, C.; Liu, J. Chitosan Films Functionalized with Different Hydroxycinnamic Acids: Preparation, Characterization and Application for Pork Preservation. Foods 2021, 10, 536. https://doi.org/10.3390/foods10030536
Yong H, Liu Y, Yun D, Zong S, Jin C, Liu J. Chitosan Films Functionalized with Different Hydroxycinnamic Acids: Preparation, Characterization and Application for Pork Preservation. Foods. 2021; 10(3):536. https://doi.org/10.3390/foods10030536
Chicago/Turabian StyleYong, Huimin, Yunpeng Liu, Dawei Yun, Shuai Zong, Changhai Jin, and Jun Liu. 2021. "Chitosan Films Functionalized with Different Hydroxycinnamic Acids: Preparation, Characterization and Application for Pork Preservation" Foods 10, no. 3: 536. https://doi.org/10.3390/foods10030536
APA StyleYong, H., Liu, Y., Yun, D., Zong, S., Jin, C., & Liu, J. (2021). Chitosan Films Functionalized with Different Hydroxycinnamic Acids: Preparation, Characterization and Application for Pork Preservation. Foods, 10(3), 536. https://doi.org/10.3390/foods10030536

