Comprehensive Evaluation of 17 Qualities of 84 Types of Rice Based on Principal Component Analysis
Abstract
:1. Introduction
2. Materials and Methods
2.1. Appearance Quality
2.2. Milling Quality
2.3. Cooking and Eating Quality
2.3.1. Protein and Amylose Contents
2.3.2. RVA Profiles
2.3.3. Taste Values
2.3.4. Data Analysis
3. Results
3.1. Appearance Quality
3.2. Milling Quality
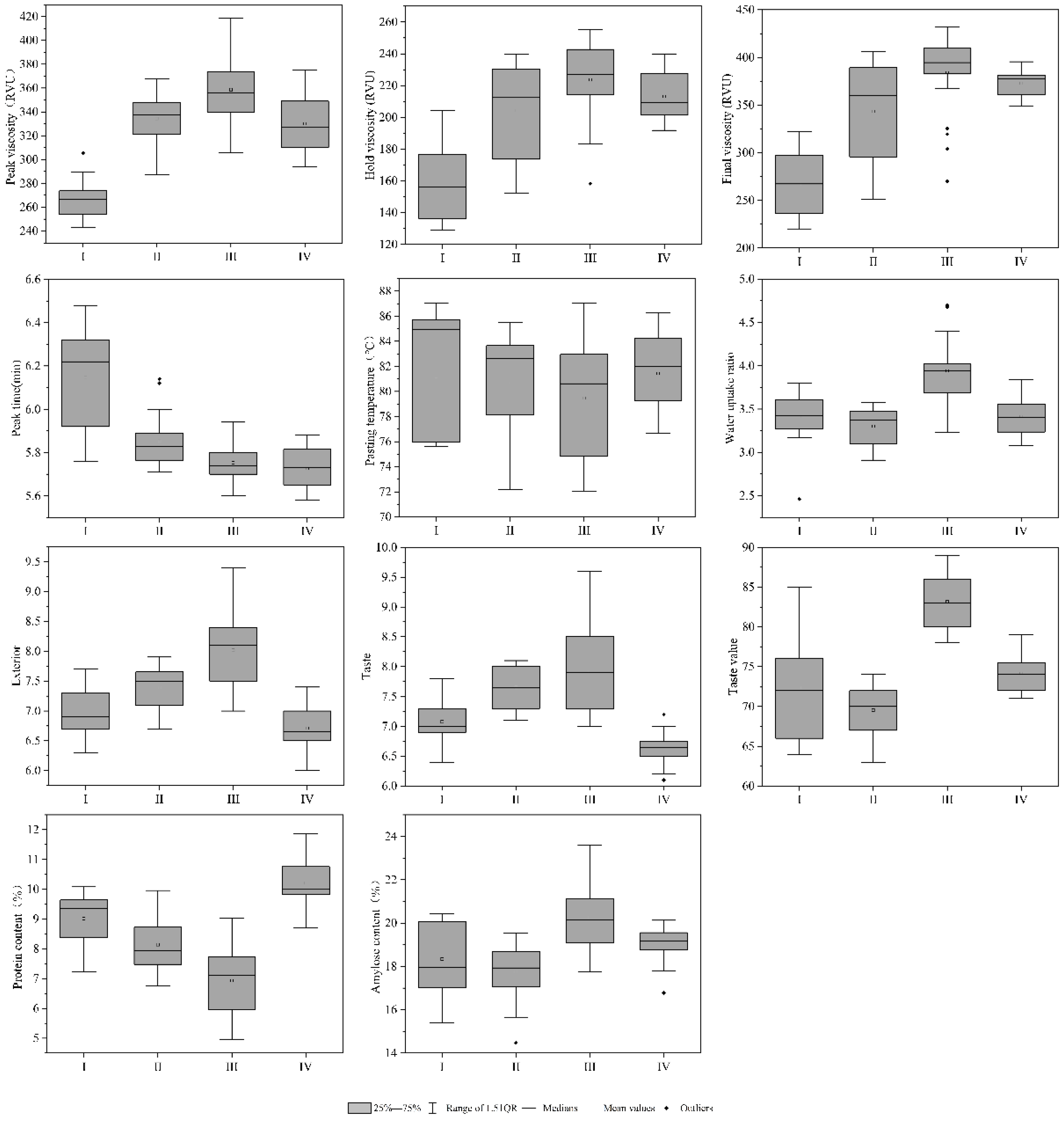
3.3. Cooking and Eating Quality
3.4. Cluster Analysis
3.5. Principal Component Analysis (PCA)
3.6. Comprehensive Evaluation of Rice Quality
4. Discussion
5. Conclusions
Supplementary Materials
Author Contributions
Funding
Data Availability Statement
Acknowledgments
Conflicts of Interest
References
- Virmani, S.S. Hybrid rice. Adv. Agron. 1996, 57, 377–462. [Google Scholar]
- Seck, P.A.; Diagne, A.; Mohanty, S.; Wopereis, M.C. Crops that feed the world 7: Rice. Food Secur. 2012, 4, 7–24. [Google Scholar] [CrossRef]
- Dhankhar, P.; Hissar, T. Rice milling. IOSR J. Eng. 2014, 4, 34–42. [Google Scholar] [CrossRef]
- Zhou, H.; Xia, D.; He, Y. Rice grain quality—Traditional traits for high quality rice and health-plus substances. Mol. Breed. 2020, 40, 1. [Google Scholar] [CrossRef]
- Suwannaporn, P.; Linnemann, A. Rice-Eating Quality among Consumers in Different Rice Grain Preference countries. J. Sens. Stud. 2008, 23, 1–13. [Google Scholar] [CrossRef]
- Webb, B. Rice quality and grades. In Rice; Springer: Berlin/Heidelberg, Germany, 1991; pp. 508–538. [Google Scholar]
- Aung, Y. Food losses in rice milling. In Crop Improvement.; Springer: Berlin/Heidelberg, Germany, 2017; pp. 287–303. [Google Scholar]
- Burlando, B.; Cornara, L. Therapeutic properties of rice constituents and derivatives (Oryza sativa L.): A review update. Trends Food Sci. Technol. 2014, 40, 82–98. [Google Scholar] [CrossRef]
- Zhang, X.; Cui, Z.; Cui, J.; Matsue, Y.; Ogata, T.; Kusutani, A. Sensory test for the palatability of Japanese rice cultivars by Chinese and Japanese panels. Jpn. J. Crop. Sci. 2015, 84, 176–181. [Google Scholar]
- Yan, Y.; Zhang, L.; Wan, C.; Cao, L.; Wu, S. Correlation analysis between taste value and RVA profile characteristics as well as physical/chemical indicator in rice. Plant Physiol. J. 2016, 52, 1884–1890. [Google Scholar]
- Chen, H.; Chen, D.; He, L.; Wang, T.; Lu, H.; Yang, F.; Deng, F.; Chen, Y.; Tao, Y.; Li, M.; et al. Correlation of taste values with chemical compositions and Rapid Visco Analyser profiles of 36 indica rice (Oryza sativa L.) varieties. Food Chem. 2021, 349, 129176. [Google Scholar] [CrossRef]
- Leesawatwong, M.; Jamjod, S.; Kuo, J.; Dell, B.; Rerkasem, B. Nitrogen Fertilizer Increases Seed Protein and Milling Quality of Rice. Cereal Chem. 2005, 82, 588–593. [Google Scholar] [CrossRef] [Green Version]
- Zhang, X.; Fu, L.; Tu, Y.; Zhao, H.; Kuang, L.; Zhang, G. The Influence of Nitrogen Application Level on Eating Quality of the Two Indica-Japonica Hybrid Rice Cultivars. Plants 2020, 9, 1663. [Google Scholar] [CrossRef]
- Sun, M.; Kang, X.; Wang, T.; Fan, L.; Wang, H.; Pan, H.; Yang, Q.; Liu, H.; Lou, Y.; Zhuge, Y. Genotypic diversity of quality traits in Chinese foxtail millet (Setaria italica L.) and the establishment of a quality evaluation system. Food Chem. 2021, 353, 129421. [Google Scholar] [CrossRef]
- Yao, D.; Wu, J.; Luo, Q.; Shen, H.; Zhuang, W.; Xiao, G.; Li, J.; Li, Y.; Deng, Q.; Lei, D.; et al. Comprehensive evaluation of high temperature tolerance of six rice varieties during grain-filling period based on key starch physicochemical indexes. LWT 2021, 148, 111804. [Google Scholar] [CrossRef]
- Fang, C.; Hu, X.; Sun, C.; Duan, B.; Xie, L.; Zhou, P. Simultaneous Determination of Multi Rice Quality Parameters Using Image Analysis Method. Food Anal. Methods 2015, 8, 70–78. [Google Scholar] [CrossRef]
- Siebenmorgen, T.J.; Matsler, A.L.; Earp, C.F. Milling Characteristics of Rice Cultivars and Hybrids. Cereal Chem. 2006, 83, 169–172. [Google Scholar] [CrossRef] [Green Version]
- Jones, D.B. Factors for Converting Percentages of Nitrogen in Foods and Feeds into Percentages of Proteins; US Department of Agriculture: Washington, DC, USA, 1931.
- Ambardekar, A.A.; Siebenmorgen, T.J.; Pereira, T. Colorimetric Method for Rapidly Predicting Rice Amylose Content. Cereal Chem. 2011, 88, 560–563. [Google Scholar] [CrossRef]
- Wei, X.; Huang, X. 1—Origin, taxonomy, and phylogenetics of rice. In Rice, 4th ed.; Bao, J., Ed.; AACC International Press: Washington, DC, USA, 2019; pp. 1–29. [Google Scholar]
- Champagne, E.T.; Richard, O.A.; Bett, K.; Grimm, C.; Vinyard, B.; Webb, B.; McClung, A.; Barton, F.; Lyon, B.; Moldenhauer, K. Quality evaluation of US medium-grain rice using a Japanese taste analyzer. Cereal Chem. (USA) 1996, 73, 290–294. [Google Scholar]
- Kim, S.S.; Lee, S.E.; Kim, O.W.; Kim, D.C. Physicochemical Characteristics of Chalky Kernels and Their Effects on Sensory Quality of Cooked Rice. Cereal Chem. 2000, 77, 376–379. [Google Scholar] [CrossRef]
- Yan, S.; Zou, G.; Li, S.; Wang, H.; Liu, H.; Zhai, G.; Guo, P.; Song, H.; Yan, C.; Tao, Y. Seed size is determined by the combinations of the genes controlling different seed characteristics in rice. Theor. Appl. Genet. 2011, 123, 1173. [Google Scholar] [CrossRef]
- Kaneko, K.; Sasaki, M.; Kuribayashi, N.; Suzuki, H.; Sasuga, Y.; Shiraya, T.; Inomata, T.; Itoh, K.; Baslam, M.; Mitsui, T. Proteomic and Glycomic Characterization of Rice Chalky Grains Produced Under Moderate and High-temperature Conditions in Field System. Rice 2016, 9, 26. [Google Scholar] [CrossRef] [Green Version]
- Bian, J.L.; Xu, F.F.; Chao, H.A.N.; Shi, Q.I.U.; Ge, J.L.; Jing, X.U.; Zhang, H.C.; Wei, H.Y. Effects of planting methods on yield and quality of different types of japonica rice in northern Jiangsu plain, China. J. Integr. Agric. 2018, 17, 2624–2635. [Google Scholar] [CrossRef]
- Zhou, Z.; Robards, K.; Helliwell, S.; Blanchard, C. Composition and functional properties of rice. Int. J. Food Sci. Tech. 2002, 37, 849–868. [Google Scholar] [CrossRef]
- Mohapatra, D.; Bal, S. Cooking quality and instrumental textural attributes of cooked rice for different milling fractions. J. Food Eng. 2006, 73, 253–259. [Google Scholar] [CrossRef]
- Bett-Garber, K.L.; Champagne, E.T.; McClung, A.M.; Moldenhauer, K.A.; Linscombe, S.D.; McKenzie, K.S. Categorizing Rice Cultivars Based on Cluster Analysis of Amylose Content, Protein Content and Sensory Attributes. Cereal Chem. 2001, 78, 551–558. [Google Scholar] [CrossRef]
- Thuithaisong, C.; Parkpian, P.; Shipin, O.V.; Shrestha, R.P.; Naklang, K.; DeLaune, R.D.; Jugsujinda, A. Soil-Quality Indicators for Predicting Sustainable Organic Rice Production. Commun. Soil Sci. Plant Anal. 2011, 42, 548–568. [Google Scholar] [CrossRef]
- Chen, C.; Huang, J.; Zhu, L.; Shah, F.; Nie, L.; Cui, K.; Peng, S. Varietal difference in the response of rice chalkiness to temperature during ripening phase across different sowing dates. Field Crop. Res. 2013, 151, 85–91. [Google Scholar] [CrossRef]
- Cheng, C.; Ali, A.; Shi, Q.; Zeng, Y.; Tan, X.; Shang, Q.; Huang, S.; Xie, X.; Zeng, Y. Response of chalkiness in high-quality rice (Oryza sativa L.) to temperature across different ecological regions. J. Cereal Sci. 2019, 87, 39–45. [Google Scholar] [CrossRef]
- Wang, Z.-M.; Li, H.-X.; Liu, X.-F.; He, Y.; Zeng, H.-L. Reduction of pyruvate orthophosphate dikinase activity is associated with high temperature-induced chalkiness in rice grains. Plant Physiol. Biochem. 2015, 89, 76–84. [Google Scholar] [CrossRef]
- Xi, M.; Wu, W.; Xu, Y.; Zhou, Y.; Chen, G.; Ji, Y.; Sun, X. Grain chalkiness traits is affected by the synthesis and dynamic accumulation of the storage protein in rice. J. Sci. Food Agric. 2021. [Google Scholar] [CrossRef]
- Gu, J.; Chen, J.; Chen, L.; Wang, Z.; Zhang, H.; Yang, J. Grain quality changes and responses to nitrogen fertilizer of japonica rice cultivars released in the Yangtze River Basin from the 1950s to 2000s. Crop. J. 2015, 3, 285–297. [Google Scholar] [CrossRef] [Green Version]
- Zhou, C.; Huang, Y.; Jia, B.; Wang, Y.; Wang, Y.; Xu, Q.; Li, R.; Wang, S.; Dou, F. Effects of Cultivar, Nitrogen Rate, and Planting Density on Rice-Grain Quality. Agronomy 2018, 8, 246. [Google Scholar] [CrossRef] [Green Version]
- Morita, S.; Yonemaru, J.-I.; Takanashi, J.-I. Grain growth and endosperm cell size under high night temperatures in rice (Oryza sativa L.). Ann. Bot. 2005, 95, 695–701. [Google Scholar] [CrossRef] [PubMed] [Green Version]
- Tabien, R.E.; Samonte, S.O.P.B.; Tiongco, E.R. Relationship of milled grain percentages and flowering-related traits in rice. J. Cereal Sci. 2009, 49, 122–127. [Google Scholar] [CrossRef]
- Zhang, L.; Zhang, C.; Yan, Y.; Hu, Z.; Wang, K.; Zhou, J.; Zhou, Y.; Cao, L.; Wu, S. Influence of starch fine structure and storage proteins on the eating quality of rice varieties with similar amylose contents. J. Sci. Food Agric. 2021, 101, 3811–3818. [Google Scholar] [CrossRef]
- Ma, Z.-H.; Wang, Y.-B.; Cheng, H.-T.; Zhang, G.-C.; Lyu, W.-Y. Biochemical composition distribution in different grain layers is associated with the edible quality of rice cultivars. Food Chem. 2020, 311, 125896. [Google Scholar] [CrossRef]
- Zhu, D.-W.; Zhang, H.-C.; Guo, B.-W.; Xu, K.; Dai, Q.-G.; Wei, H.-Y.; Gao, H.; Hu, Y.-J.; Cui, P.-Y.; Huo, Z.-Y. Effects of nitrogen level on yield and quality of japonica soft super rice. J. Integr. Agric. 2017, 16, 1018–1027. [Google Scholar] [CrossRef]
- Tsukaguchi, T.; Nitta, S.; Matsuno, Y. Cultivar differences in the grain protein accumulation ability in rice (Oryza sativa L.). Field Crop. Res. 2016, 192, 110–117. [Google Scholar] [CrossRef] [Green Version]
- Chen, M.-H.; Bergman, C.J.; Pinson, S.R.M.; Fjellstrom, R.G. Waxy gene haplotypes: Associations with pasting properties in an international rice germplasm collection. J. Cereal Sci. 2008, 48, 781–788. [Google Scholar] [CrossRef]
- Fitzgerald, M.A.; Martin, M.; Ward, R.M.; Park, W.D.; Shead, H.J. Viscosity of Rice Flour: A Rheological and Biological Study. J. Agric. Food Chem. 2003, 51, 2295–2299. [Google Scholar] [CrossRef]
- Nakamura, S.; Katsura, J.; Maruyama, Y.; Ohtsubo, K.i. Evaluation of Hardness and Retrogradation of Cooked Rice Based on Its Pasting Properties Using a Novel RVA Testing. Foods 2021, 10, 987. [Google Scholar] [CrossRef]
- Hamer, R.J.; Hoseney, R.C. Interactions—The Keys to Cereal Quality; American Association of Cereal Chemists: Eagan, MN, USA, 1998. [Google Scholar]




| Parameters | Range | Min | Max | Mean | SD | CV | Nitrogen Fertilizer | Variety |
|---|---|---|---|---|---|---|---|---|
| Length (mm) | 1.51 | 4.83 | 6.34 | 5.50 | 0.39 | 7.04% | ** | |
| Width (mm) | 0.66 | 1.69 | 2.35 | 2.05 | 0.22 | 10.96% | ** | |
| Chalkiness (%) | 7.53 | 0.81 | 8.34 | 4.27 | 1.91 | 44.62% | ** | |
| Brown rice percentage (%) | 7.76 | 76.09 | 83.85 | 80.05 | 1.82 | 2.28% | ** | ** |
| Milled rice percentage (%) | 9.88 | 64.05 | 73.93 | 69.70 | 1.82 | 2.61% | ** | ** |
| Head rice percentage (%) | 12.18 | 59.82 | 72.00 | 65.97 | 2.82 | 4.27% | ** | |
| Peak viscosity (RVU) | 175.81 | 242.86 | 418.67 | 321.95 | 43.42 | 13.49% | ** | |
| Hold viscosity (RVU) | 126.31 | 129.06 | 255.36 | 199.46 | 34.91 | 17.50% | ** | |
| Final viscosity (RVU) | 211.69 | 220.14 | 431.83 | 340.12 | 60.58 | 17.81% | ** | |
| Peak time(min) | 0.90 | 5.58 | 6.48 | 5.88 | 0.22 | 3.79% | ** | |
| Pasting temperature (°C) | 15.01 | 72.07 | 87.07 | 80.61 | 4.36 | 5.41% | ** | |
| Protein content (%) | 6.90 | 4.96 | 11.86 | 8.41 | 1.50 | 17.89% | ** | ** |
| Amylose content (%) | 9.13 | 14.48 | 23.61 | 18.91 | 1.68 | 8.88% | ** | |
| Water uptake ratio | 2.24 | 2.46 | 4.70 | 3.55 | 0.39 | 11.02% | ** | ** |
| Exterior | 3.40 | 6.00 | 9.40 | 7.33 | 0.69 | 9.34% | ** | |
| Taste | 3.50 | 6.10 | 9.60 | 7.38 | 0.67 | 9.12% | ** | |
| Taste value | 26.00 | 63.00 | 89.00 | 75.24 | 6.82 | 9.06% | ** | ** |
| Parameters | PC1 | PC2 | PC3 | PC4 |
|---|---|---|---|---|
| Length (mm) | −0.070 | −0.422 | −0.106 | 0.248 |
| Width (mm) | −0.203 | 0.327 | −0.237 | −0.055 |
| Chalkiness (%) | 0.057 | 0.055 | 0.274 | −0.459 |
| Brown rice percentage (%) | −0.283 | 0.269 | 0.238 | 0.079 |
| Milled rice percentage (%) | −0.274 | 0.300 | 0.185 | −0.013 |
| Head rice percentage (%) | −0.238 | 0.379 | 0.040 | −0.079 |
| Peak viscosity (RVU) | 0.290 | 0.202 | 0.262 | 0.108 |
| Hold viscosity (RVU) | 0.250 | 0.069 | 0.399 | 0.270 |
| Final viscosity (RVU) | 0.256 | 0.022 | 0.436 | 0.178 |
| Peak time (min) | −0.223 | −0.083 | −0.278 | 0.404 |
| Pasting temperature (°C) | −0.084 | −0.151 | 0.279 | 0.429 |
| Protein content (%) | −0.261 | −0.287 | 0.209 | −0.025 |
| Amylose content (%) | 0.257 | −0.138 | −0.007 | −0.354 |
| Water uptake ratio | 0.323 | −0.033 | −0.163 | 0.066 |
| Exterior | 0.271 | 0.287 | −0.207 | 0.217 |
| Taste | 0.196 | 0.380 | −0.213 | 0.251 |
| Taste value | 0.346 | −0.033 | −0.182 | −0.090 |
Publisher’s Note: MDPI stays neutral with regard to jurisdictional claims in published maps and institutional affiliations. |
© 2021 by the authors. Licensee MDPI, Basel, Switzerland. This article is an open access article distributed under the terms and conditions of the Creative Commons Attribution (CC BY) license (https://creativecommons.org/licenses/by/4.0/).
Share and Cite
Shi, S.; Wang, E.; Li, C.; Zhou, H.; Cai, M.; Cao, C.; Jiang, Y. Comprehensive Evaluation of 17 Qualities of 84 Types of Rice Based on Principal Component Analysis. Foods 2021, 10, 2883. https://doi.org/10.3390/foods10112883
Shi S, Wang E, Li C, Zhou H, Cai M, Cao C, Jiang Y. Comprehensive Evaluation of 17 Qualities of 84 Types of Rice Based on Principal Component Analysis. Foods. 2021; 10(11):2883. https://doi.org/10.3390/foods10112883
Chicago/Turabian StyleShi, Shijie, Enting Wang, Chengxuan Li, Hui Zhou, Mingli Cai, Cougui Cao, and Yang Jiang. 2021. "Comprehensive Evaluation of 17 Qualities of 84 Types of Rice Based on Principal Component Analysis" Foods 10, no. 11: 2883. https://doi.org/10.3390/foods10112883
APA StyleShi, S., Wang, E., Li, C., Zhou, H., Cai, M., Cao, C., & Jiang, Y. (2021). Comprehensive Evaluation of 17 Qualities of 84 Types of Rice Based on Principal Component Analysis. Foods, 10(11), 2883. https://doi.org/10.3390/foods10112883

