Effect of Water Temperature and Time during Heating on Mass Loss and Rheology of Cheese Curds
Abstract
:1. Introduction
2. Materials and Methods
2.1. Sample Preparation and Cooking Process
2.2. Composition Analysis of Cooking Water
2.3. Rheological Properties of Cooked Curd
2.4. Thermal Analysis of Uncooked Curd by Differential Scanning Calorimetry
2.5. Statistical Analysis
3. Results and Discussion
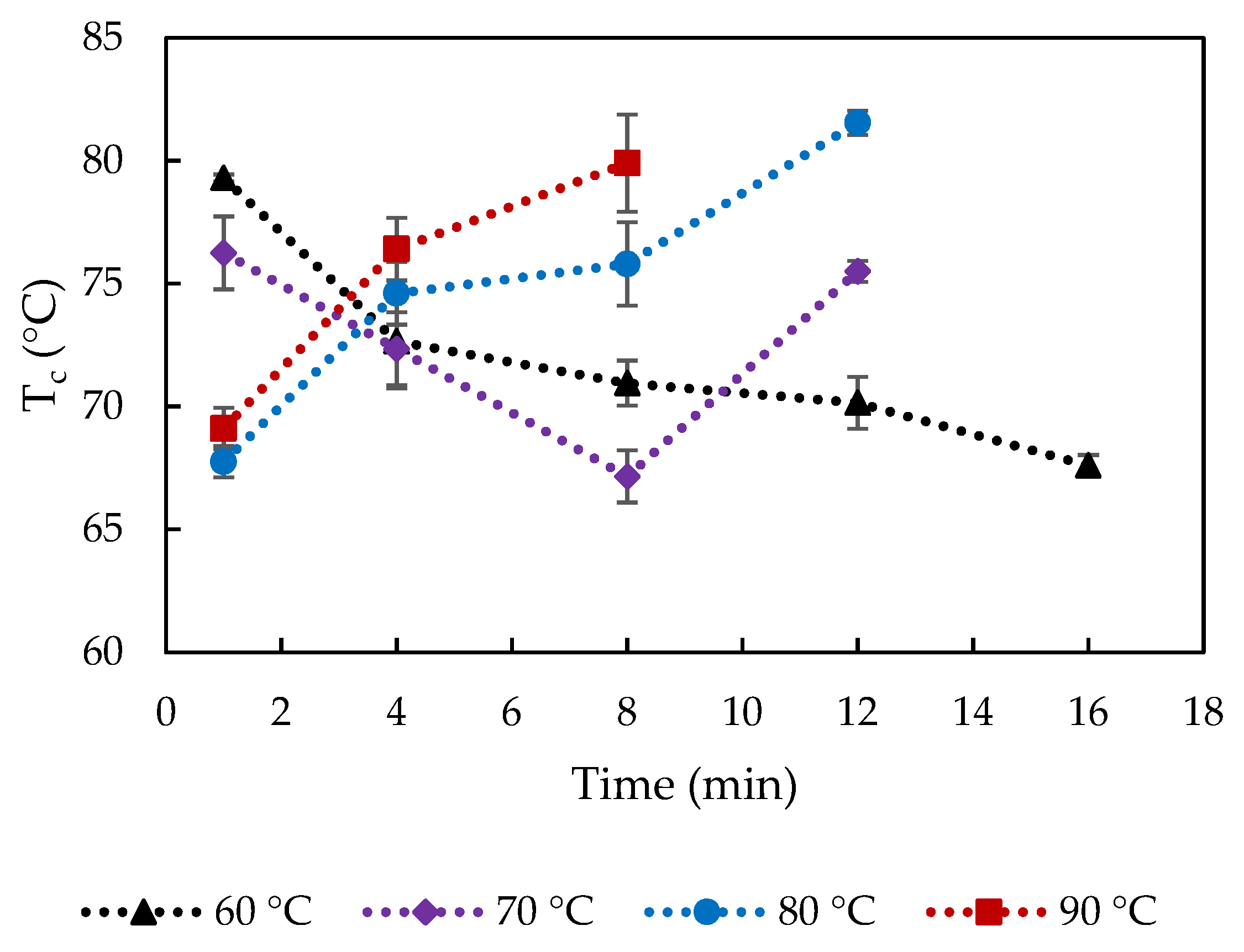
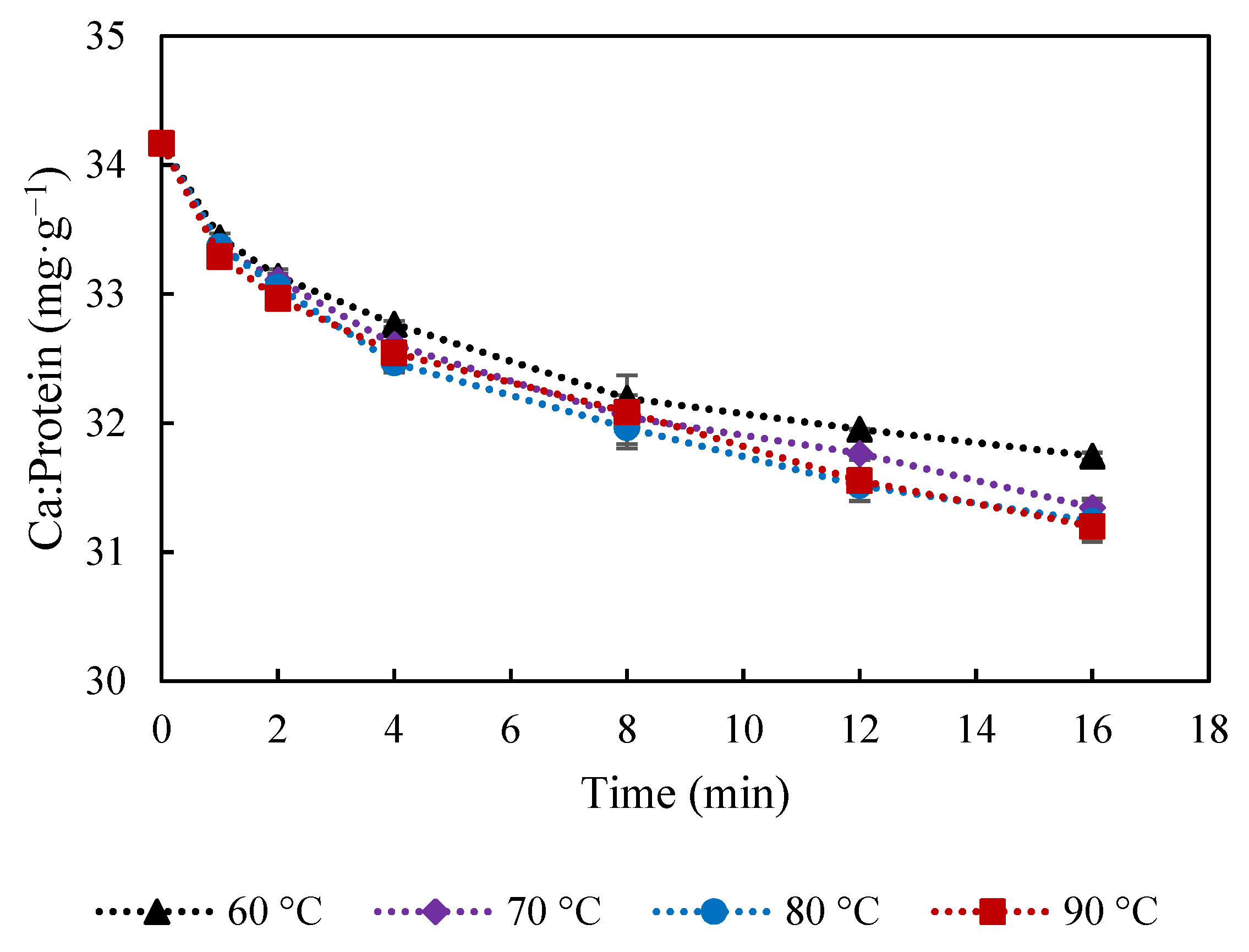
3.1. Mass Transfer from Curd to the Cooking Water
3.2. Macrostructural and Rheological Properties of Curds during Water Cooking
3.3. Schematic Description of Mass Loss and Structural Changes in Curds as a Consequence of Cooking
4. Conclusions
Author Contributions
Funding
And the Danish Dairy Rationalisation Fund (DDRF) and Arla Foods as part of the platform for Novel Gentle Processing. Data Availability Statement
Acknowledgments
Conflicts of Interest
References
- Bähler, B.; Hinrichs, J. Characterisation of mozzarella cheese curd by means of capillary rheometry. Int. J. Dairy Technol. 2013, 66, 231–235. [Google Scholar] [CrossRef]
- Guinee, T.P.; Mulholland, E.O.; Mullins, C.; Corcoran, M.O. Effect of salting method on the composition, yield and functionality of low moisture Mozzarella cheese. Milchwissenschaft 2000, 55, 135–138. [Google Scholar]
- Locci, F.; Ghiglietti, R.; Francolino, S.; Iezzi, R.; Mucchetti, G. Effect of stretching with brine on the composition and yield of high moisture Mozzarella cheese. Milchwissenschaft 2012, 67, 81–85. [Google Scholar]
- Bähler, B.; Ruf, T.; Samudrala, R.; Schenkel, P.; Hinrichs, J. Systematic approach to study temperature and time effects on yield of pasta filata cheese. Int. J. Dairy Technol. 2015, 69, 184–190. [Google Scholar] [CrossRef]
- Renda, A.; Barbano, D.M.; Yun, J.J.; Kindstedt, P.S.; Mulvaney, S.J. Influence of Screw Speeds of the Mixer at Low Temperature on Characteristics of Mozzarella Cheese. J. Dairy Sci. 1997, 80, 1901–1907. [Google Scholar] [CrossRef]
- Feng, R.; Barjon, S.; Berg, F.W.V.D.; Lillevang, S.K.; Ahrné, L. Effect of residence time in the cooker-stretcher on mozzarella cheese composition, structure and functionality. J. Food Eng. 2021, 309, 110690. [Google Scholar] [CrossRef]
- Lucey, J.; Johnson, M.; Horne, D. Invited Review: Perspectives on the Basis of the Rheology and Texture Properties of Cheese. J. Dairy Sci. 2003, 86, 2725–2743. [Google Scholar] [CrossRef] [Green Version]
- Rowney, M.; Roupas, P.; Hickey, M.; Everett, D. The Effect of Compression, Stretching, and Cooking Temperature on Free Oil Formation in Mozzarella Curd. J. Dairy Sci. 2003, 86, 449–456. [Google Scholar] [CrossRef] [Green Version]
- Banville, V.; Chabot, D.; Power, N.; Pouliot, Y.; Britten, M. Impact of thermo-mechanical treatments on composition, solids loss, microstructure, and rheological properties of pasta filata-type cheese. Int. Dairy J. 2016, 61, 155–165. [Google Scholar] [CrossRef]
- Rogers, N.; McMahon, D.; Daubert, C.; Berry, T.; Foegeding, E. Rheological properties and microstructure of Cheddar cheese made with different fat contents. J. Dairy Sci. 2010, 93, 4565–4576. [Google Scholar] [CrossRef] [Green Version]
- Kern, C.; Weiss, J.; Hinrichs, J. Additive layer manufacturing of semi-hard model cheese: Effect of calcium levels on thermo-rheological properties and shear behavior. J. Food Eng. 2018, 235, 89–97. [Google Scholar] [CrossRef]
- Schenkel, P.; Samudrala, R.; Hinrichs, J. Thermo-physical properties of semi-hard cheese made with different fat fractions: Influence of melting point and fat globule size. Int. Dairy J. 2013, 30, 79–87. [Google Scholar] [CrossRef]
- ISO. ISO 8968-1: 2014 (IDF 20-1: 2014) Milk and Milk Products: Determination of Nitrogen Content-Part 1: Kjeldahl Principle and Crude Protein Calculation; International Organization for Standardization: Geneva, Switzerland, 2014. [Google Scholar]
- IDF. Milk–Determination of Fat Content–Gerber Butyrometers; International Dairy Federation: Brussels, Belgium, 1981; p. 105. [Google Scholar]
- Horwitz, W. Official Methods of Analysis of Association of Official Analytical Chemists International; Association of Official Analytical Chemists International: Arlington, VA, USA, 2000. [Google Scholar]
- Fox, P.F.; Guinee, T.P.; Cogan, T.M.; McSweeney, P.L.H. Processed Cheese and Substitute/Imitation Cheese Products. In Fundamentals of Cheese Science; Springer: Boston, MA, USA, 2017; pp. 589–627. [Google Scholar]
- Huber, P.; Fertsch, B.; Schreiber, R.; Hinrichs, J. Dynamic model system to study the kinetics of thermally-induced syneresis of cheese curd grains. Milchwissenschaft 2001, 56, 549–552. [Google Scholar]
- Walstra, P.; Wouters, T.M.; Geurts, T.J. Dairy Science and Technology, 2nd ed.; CRC Press; Taylor & Francis Group: Boca Raton, FL, USA, 2006. [Google Scholar]
- Tamime, A.Y. Processed Cheese and Analogues: An Overview; John Wiley & Sons: Hoboken, NJ, USA, 2011; pp. 1–24. [Google Scholar] [CrossRef]
- Sharma, P.; Munro, P.A.; Dessev, T.T.; Wiles, P.G.; Buwalda, R.J. Effect of shear work input on steady shear rheology and melt functionality of model Mozzarella cheeses. Food Hydrocoll. 2016, 54, 266–277. [Google Scholar] [CrossRef]
- Dave, R.I.; McMahon, D.J.; Broadbent, J.R.; Oberg, C.J. Reversibility of the Temperature-Dependent Opacity of Nonfat Mozzarella Cheese. J. Dairy Sci. 2001, 84, 2364–2371. [Google Scholar] [CrossRef]
- Sharma, P.; Munro, P.A.; Dessev, T.T.; Wiles, P.G. Shear work induced changes in the viscoelastic properties of model Mozzarella cheese. Int. Dairy J. 2016, 56, 108–118. [Google Scholar] [CrossRef]
- Tunick, M.H.; Mackey, K.L.; Shieh, J.J.; Smith, P.W.; Cooke, P.; Malin, E.L. Rheology and microstructure of low-fat Mozzarella cheese. Int. Dairy J. 1993, 3, 649–662. [Google Scholar] [CrossRef]
- Fenelon, A.M.; Guinee, T.P. Primary proteolysis and textural changes during ripening in Cheddar cheeses manufactured to different fat contents. Int. Dairy J. 2000, 10, 151–158. [Google Scholar] [CrossRef]
- Ibáñez, R.; Govindasamy-Lucey, S.; Jaeggi, J.; Johnson, M.; McSweeney, P.; Lucey, J. Low- and reduced-fat milled curd, direct-salted Gouda cheese: Comparison of lactose standardization of cheesemilk and whey dilution techniques. J. Dairy Sci. 2020, 103, 1175–1192. [Google Scholar] [CrossRef] [PubMed] [Green Version]
- Dalgleish, D.G.; Parker, T.G. Binding of calcium ions to bovine α sl-casein and precipitability of the protein–calcium ion complexes. J. Dairy Res. 1980, 47, 113–122. [Google Scholar] [CrossRef]
- O’Mahony, J.; McSweeney, P.; Lucey, J. A Model System for Studying the Effects of Colloidal Calcium Phosphate Concentration on the Rheological Properties of Cheddar Cheese. J. Dairy Sci. 2006, 89, 892–904. [Google Scholar] [CrossRef] [Green Version]
- Gunasekaran, S.; Chang-Hwan, H.; Ko, S. Cheese melt/flow measurement methods--recent developments. Aust. J. Dairy Technol. 2002, 57, 128. [Google Scholar]
- Cais-Sokolińska, D.; Pikul, J. Cheese meltability as assessed by the Tube Test and Schreiber Test depending on fat contents and storage time, based on curd-ripened fried cheese. Czech J. Food Sci. 2009, 27, 301–308. [Google Scholar] [CrossRef] [Green Version]
- McMahon, D.J.; Oberg, C. Influence of fat, moisture and salt on functional properties of Mozzarella cheese. Aust. J. Dairy Technol. 1998, 53, 98. [Google Scholar]










| Yield (G Cooked Curd/G Initial Uncooked Curd) | ||||
|---|---|---|---|---|
| Cooking Time (Min) | Water Temperature During Cooking | |||
| 60 °C | 70 °C | 80 °C | 90 °C | |
| 1 | 1.08 ± 0.01 Aa | 1.08 ± 0.01 Aa | 1.10 ± 0.01 Aa | 1.09 ± 0.01 Aa |
| 2 | 1.05 ± 0.01 Ba | 1.07 ± 0.01 Aa | 1.06 ± 0.00 Ba | 1.08 ± 0.01 Aa |
| 4 | 1.03 ± 0.01 Ca | 1.02 ± 0.01 Ba | 1.04 ± 0.01 Ba | 1.03 ± 0.02 Ba |
| 8 | 1.01 ± 0.00 Dab | 0.99 ± 0.00 Ca | 1.00 ± 0.01 Cab | 1.02 ± 0.01 Bb |
| 12 | 0.98 ± 0.00 Ea | 0.94 ± 0.02 Da | 0.98 ± 0.02 Ca | 0.96 ± 0.01 Ba |
| 16 | 0.98 ± 0.00 Ea | 0.93 ± 0.01 Db | 0.93 ± 0.01 Db | 0.96 ± 0.01 Ba |
| Phase Transition | Water Temperature During Cooking | |||
|---|---|---|---|---|
| 60 °C | 70 °C | 80 °C | 90 °C | |
| Melting of curds | ||||
| Surface melting | 4 | 2 | 1 | 1 |
| Fully fused | -* | 4 | 2 | 2 |
| Separation of curds | ||||
| Separated | 12 | 8 | 8 | 8 |
Publisher’s Note: MDPI stays neutral with regard to jurisdictional claims in published maps and institutional affiliations. |
© 2021 by the authors. Licensee MDPI, Basel, Switzerland. This article is an open access article distributed under the terms and conditions of the Creative Commons Attribution (CC BY) license (https://creativecommons.org/licenses/by/4.0/).
Share and Cite
Feng, R.; Lillevang, S.K.; Ahrné, L. Effect of Water Temperature and Time during Heating on Mass Loss and Rheology of Cheese Curds. Foods 2021, 10, 2881. https://doi.org/10.3390/foods10112881
Feng R, Lillevang SK, Ahrné L. Effect of Water Temperature and Time during Heating on Mass Loss and Rheology of Cheese Curds. Foods. 2021; 10(11):2881. https://doi.org/10.3390/foods10112881
Chicago/Turabian StyleFeng, Ran, Søren K. Lillevang, and Lilia Ahrné. 2021. "Effect of Water Temperature and Time during Heating on Mass Loss and Rheology of Cheese Curds" Foods 10, no. 11: 2881. https://doi.org/10.3390/foods10112881
APA StyleFeng, R., Lillevang, S. K., & Ahrné, L. (2021). Effect of Water Temperature and Time during Heating on Mass Loss and Rheology of Cheese Curds. Foods, 10(11), 2881. https://doi.org/10.3390/foods10112881

