Extrusion Processing Modifications of a Dog Kibble at Large Scale Alter Levels of Starch Available to Animal Enzymatic Digestion
Abstract
:1. Introduction
2. Materials and Methods
2.1. Treatments and Extruder Settings
2.2. Data Collection
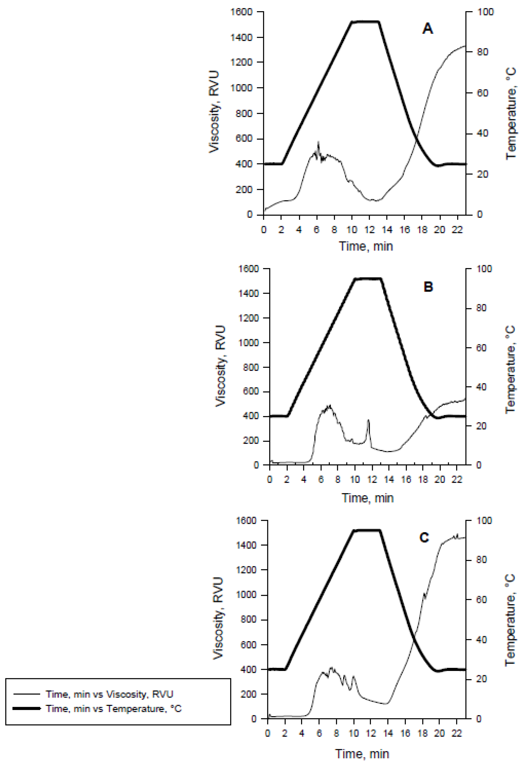
2.3. Sample Analyses
2.4. Statistical Analysis
3. Results
4. Discussion
5. Conclusions
Author Contributions
Funding
Data Availability Statement
Acknowledgments
Conflicts of Interest
Abbreviations
Appendix A
| Item | HS | MS | LS |
|---|---|---|---|
| Temp 1 before bed: C | 132 ± 8.5 | 141 ± 2.5 | 135 ± 12.1 |
| Temp 1 after bed, C | 90.3 ± 5.64 | 97.6 ± 5.55 | 93.1 ± 8.20 |
| Bed depth 1, in | 1.60 ± 0.327 | 1.24 ± 0.429 | 1.40 ± 0.362 |
| RT 1 | 0:00 | 3:55 ± 0:00 | 3:56 ± 0:01 |
| Damper open 1, % | 0.00 ± 0.00 | 0.00 ± 0.00 | 0.00 ± 0.00 |
| Temp 2 before bed | 132 ± 10.1 | 142 ± 0.6 | 134 ± 10.9 |
| Temp 2 after bed | 114 ± 7.1 | 119 ± 2.0 | 115 ± 7.0 |
| Bed depth 2, in | 13.8 ± 4.71 | 16.3 ± 0.43 | 16.5 ± 0.00 |
| RT 2 | 4:03 ± 0:07 | 4:02 ± 0:06 | 3:58 ± 0:01 |
| Damper open 2, % | 2.58 ± 0.037 | 2.58 ± 0.040 | 2.59 ± 0.031 |
| Temp 3 before bed | 132 ± 10.4 | 142 ± 1.3 | 134 ± 11.2 |
| Temp 3 after bed | 113 ± 8.5 | 118 ± 1.7 | 114 ± 8.7 |
| Bed depth 3, in | 1.10 ± 0.245 | 1.08 ± 0.189 | 1.10 ± 0.254 |
| RT 3 | 3:56 ± 0:02 | 3:57 ± 0:03 | 3:58 ± 0:03 |
| Damper open 3, % | 1.67 ± 1.179 | 1.75 ± 1.146 | 2.49 ± 0.031 |
| Total RT | 11:54 ± 0:05 | 11:54 ± 0:03 | 11:52 ± 0.02 |
| Dry flow rate | 1101 ± 59.6 | 1101 ± 47.3 | 1136 ± 0.0 |
| Moisture lost in drier | 6.99 ± 0.080 | 13.05 ± 0.169 | 13.18 ± 0.037 |
References
- Markets and Markets. Pet Food Extrusion Market by Extruded Pet Food Products (Type (Complete Diets and Treats), Animal Type (Dogs, Cats, Fish, and Birds), and Ingredient), by Pet Food Extruder Equipment (Type (Single and Twin Screw)) & Region—Global Forecast to 2022; Markets and Markets: Northbrook, IL, USA, 2017. [Google Scholar]
- Lai, L.S.; Kokini, J.L. Physicochemical changes and rheological properties of starch during extrusion. (A review). Biotechnol. Prog. 1991, 7, 251–266. [Google Scholar] [CrossRef]
- Wootton, M.; Bamunuarachchi, A. Application of Differential Scanning Calorimetry to Starch Gelatinization. I. Commercial Native and Modified Starches. Starch Starke 1979, 31, 201–204. [Google Scholar] [CrossRef]
- Becker, A.; Hill, S.E.; Mitchell, J.R. Milling—A Further Parameter Affecting the Rapid Visco Analyser (RVA) Profile. Cereal Chem. J. 2001, 78, 166–172. [Google Scholar] [CrossRef]
- Peixoto, M.C.; Ribeiro, É.; Maria, A.P.J.; Loureiro, B.A.; Di Santo, L.G.; Putarov, T.; Yoshitoshi, F.N.; Pereira, G.T.; Sá, L.R.M.; Carciofi, A.C. Effect of resistant starch on the intestinal health of old dogs: Fermentation products and histological features of the intestinal mucosa. J. Anim. Physiol. Anim. Nutr. 2017, 102, e111–e121. [Google Scholar] [CrossRef]
- Jackson, M.I.; Waldy, C.; Cochrane, C.; Jewell, D.E. Consumption of identically formulated foods extruded under low and high shear force reveals that microbiome redox ratios accompany canine immunoglobulin A production. J. Anim. Physiol. Anim. Nutr. 2020, 104, 1551–1567. [Google Scholar] [CrossRef] [PubMed]
- Ribeiro, É.D.M.; Peixoto, M.C.; Putarov, T.C.; Monti, M.; Pacheco, P.D.G.; Loureiro, B.A.; Pereira, G.T.; Carciofi, A.C. The effects of age and dietary resistant starch on digestibility, fermentation end products in faeces and postprandial glucose and insulin responses of dogs. Arch. Anim. Nutr. 2019, 73, 485–504. [Google Scholar] [CrossRef] [PubMed]
- Kimura, T. The regulatory effects of resistant starch on glycaemic response in obese dogs. Arch. Anim. Nutr. 2013, 67, 503–509. [Google Scholar] [CrossRef]
- Alvarenga, I.C.; Dainton, A.N.; Aldrich, C.G. A review: Nutrition and process attributes of corn in pet foods. Crit. Rev. Food Sci. Nutr. 2021, 1–10. [Google Scholar] [CrossRef]
- Koppel, K.; Suwonsichon, S.; Chambers, D.; Iv, E.C. Determination of Intrinsic Appearance Properties that Drive Dry Dog Food Acceptance by Pet Owners in Thailand. J. Food Prod. Mark. 2018, 24, 830–845. [Google Scholar] [CrossRef]
- Corsato Alvarenga, I.; Waldy, C.; Keller, L.C.; Aldrich, C.G. Part I: A Model that predicts Resistant Starch in a Dog Kibble using a Small-Scale Twin-Screw Extruder. In Extrusion Process to Retain Resistant Starch in a Pet Food for the Purpose of Altering Colonic Fermentation End Products that Benefit Dog Health; Kansas State University: Manhattan, KS, USA, 2021. [Google Scholar]
- Association of American Feed Control Officials. Champaign, IL, USA, 2021, 2021th ed. Available online: https://www.aafco.org/Meetings/Annual/2021 (accessed on 10 October 2021).
- Mason, M.R.G.; Gleason, B. A New Method for Determining Degree of Cook. In Proceedings of the American Association of Cereal Chemists 67th Annual Meeting, San Antonio, TX, USA, 24–28 October 1982; pp. 123–124. [Google Scholar]
- Alvarez-Martinez, L.; Kondury, K.; Harper, J. A General Model for Expansion of Extruded Products. J. Food Sci. 1988, 53, 609–615. [Google Scholar] [CrossRef]
- Levine, L. Estimating Moisture Flash Upon Discharge from an Extrusion Die. Engineering 1997, 42, 1997. [Google Scholar]
- Singh, P. Appendix A.2, Table A.2.9. In Introduction to Food Engineering, 4th ed.; Singh, R.P., Heldman, D.R., Eds.; Elsevier: Amsterdam, The Netherlands, 2009. [Google Scholar]
- Baller, M.A.; Pacheco, P.D.; Peres, F.M.; Monti, M.; Carciofi, A.C. The effects of in-barrel moisture on extrusion parameters, kibble macrostructure, starch gelatinization, and palatability of a cat food. Anim. Feed. Sci. Technol. 2018, 246, 82–90. [Google Scholar] [CrossRef]
- Tran, Q.; Hendriks, W.; van der Poel, A. Effects of drying temperature and time of a canine diet extruded with a 4 or 8mm die on physical and nutritional quality indicators. Anim. Feed. Sci. Technol. 2011, 165, 258–264. [Google Scholar] [CrossRef]
- Alonso, R.; Grant, G.; Dewey, P.; Marzo, F. Nutritional Assessment in Vitro and in Vivo of Raw and Extruded Peas (Pisum sativum L.). J. Agric. Food Chem. 2000, 48, 2286–2290. [Google Scholar] [CrossRef]
- Tran, Q.D.; Hendriks, W.H.; van der Poel, A.F. Effects of extrusion processing on nutrients in dry pet food. J. Sci. Food Agric. 2008, 88, 1487–1493. [Google Scholar] [CrossRef]
- Williams, P.A.; Hodgkinson, S.M.; Rutherfurd, S.M.; Hendriks, W.H. Lysine Content in Canine Diets Can Be Severely Heat Damaged. J. Nutr. 2006, 136, 1998S–2000S. [Google Scholar] [CrossRef] [Green Version]
- Lankhorst, C.; Tran, Q.D.; Havenaar, R.; Hendriks, W.H.; van der Poel, A.F.B. The effect of extrusion on the nutritional value of canine diets as assessed by in vitro indicators. Anim. Feed Sci. Technol. 2007, 138, 285–297. [Google Scholar] [CrossRef]
- Tran, Q. Extrusion Processing: Effects on Dry Canine Diets; Wageningen Institute of Animal Sciences: Wageningen, The Netherlands, 2008. [Google Scholar]
- Murray, S.M.; Flickinger, E.A.; Patil, A.R.; Merchen, N.R.; Brent, J.L.; Fahey, G.C. In vitro fermentation characteristics of native and processed cereal grains and potato starch using ileal chyme from dogs. J. Anim. Sci. 2001, 79, 435–444. [Google Scholar] [CrossRef] [Green Version]
- Jackson, M.I.; Waldy, C.; Jewell, D.E. Dietary resistant starch preserved through mild extrusion of grain alters fecal microbiome metabolism of dietary macronutrients while increasing immunoglobulin A in the cat. PLoS ONE 2020, 15, e0241037. [Google Scholar] [CrossRef]
- Ye, J.; Hu, X.; Luo, S.; Liu, W.; Chen, J.; Zeng, Z.; Liu, C. Properties of Starch after Extrusion: A Review. Starch Starke 2018, 70, 1–8. [Google Scholar] [CrossRef]
- Brnčić, M.; Tripalo, B.; Jezek, D.; Semenski, D.; Drvar, N.; Ukrainczyk, M. Effect of twin-screw extrusion parameters on mechanical hardness of direct-expanded extrudates. Sadhana 2006, 31, 527–536. [Google Scholar] [CrossRef] [Green Version]
- Fannon, J.E.; Shull, J.M.; BeMiller, J.N. NOTE: Interior Channels of Starch Granules. Cereal Chem. 1993, 70, 611–613. Available online: http://www.aaccnet.org/publications/cc/backissues/1993/Documents/CC1993a146.html (accessed on 14 June 2021).
- Fannon, J.E.; Hauber, J.R.; Bemiller, J.N. Surface pores of starch granules. Cereal Chem. 1992, 69, 284–288. [Google Scholar]
- Remsen, C.H.; Clark, J.P. Mechanism for starch gelatinization. Food Proc. Eng. 1978, 2, 39. [Google Scholar] [CrossRef]
- Whalen, P.J. Extruded products and degree of cook. In The RVA Handbook; AACC International: St. Paul, MN, USA, 2015; pp. 75–84. [Google Scholar]
- McCleary, B.V.; DeVries, J.W.; Rader, J.; Cohen, G.; Prosky, L.; Mugford, D.C.; Champ, M.; Okuma, K. Determination of Insoluble, Soluble, and Total Dietary Fiber (CODEX Definition) by Enzymatic-Gravimetric Method and Liquid Chromatography: Collaborative Study. J. AOAC Int. 2012, 95, 824–844. [Google Scholar] [CrossRef] [PubMed]


| Ingredient | Inclusion, % |
|---|---|
| Dry mix | |
| Whole yellow corn | 65.4 |
| Chicken meal | 20.0 |
| Potassium chloride | 0.400 |
| Vitamin premix | 0.100 |
| Lysine | 0.100 |
| Sodium chloride | 0.100 |
| Taurine | 0.050 |
| Mineral premix | 0.100 |
| Preconditioner | |
| Choline chloride, liquid, 70% | 0.200 |
| Lactic acid, blend 84% | 1.50 |
| Coating | |
| Choice white grease | 8.40 |
| Chicken, viscera and liver digest | 3.00 |
| Pork liver digest | 0.500 |
| Vitamin E, oil, 29% | 0.100 |
| Mineral premix | 0.042 |
| Treatment | Production Sequence | Shaft Speed, rpm | Dry Feed Rate, kg/h | Estimated 2 PC, 3 RT, Min:Sec | PC Shaft Speed, rpm | PC Water, % | PC Water, kg/h | PC Steam, % | PC Steam, kg/h |
|---|---|---|---|---|---|---|---|---|---|
| MS | 1 | 375 | 817 | 2:29 | 338 | 22 | 180 | 5.8 | 48 |
| HS | 2 | 458 | 817 | 2:34 | 337 | 14 | 110 | 5.6 | 46 |
| LS | 3 | 251 | 898 | 2:15 | 338 | 23 | 207 | 5.6 | 50 |
| HS | 4 | 457 | 898 | 2:20 | 339 | 14 | 121 | 5.6 | 50 |
| MS | 5 | 375 | 898 | 2:15 | 338 | 23 | 207 | 5.6 | 51 |
| LS | 6 | 251 | 898 | 2:15 | 338 | 23 | 207 | 5.6 | 50 |
| MS | 7 | 375 | 898 | 2:15 | 338 | 23 | 207 | 5.6 | 51 |
| HS | 8 | 457 | 898 | 2:20 | 338 | 14 | 121 | 5.6 | 51 |
| LS | 9 | 278 | 898 | 2:15 | 339 | 23 | 207 | 5.6 | 50 |
| Item | HS | MS | LS | SEM | L | Q |
|---|---|---|---|---|---|---|
| 1 PC load, % | 33.8 | 32.7 | 32.3 | 0.47 | 0.0729 | 0.5996 |
| PC moisture, % | 20.0 | 25.2 | 25.3 | 0.06 | <0.0001 | <0.0001 |
| PC temperature, °C | 88.9 | 88.0 | 87.2 | 0.35 | 0.0244 | 0.7549 |
| Mass flow rate, kg/h | 1184 | 1266 | 1308 | 31.7 | 0.0326 | 0.6142 |
| Motor load, % | 62.8 | 47.2 | 41.3 | 0.61 | <0.0001 | 0.0017 |
| 2 SME, Wh/kg | 39.5 | 27.9 | 23.6 | 0.85 | <0.0001 | 0.0128 |
| 3 STE, Wh/kg | 32.8 | 33.5 | 32.7 | 0.60 | 0.9748 | 0.3669 |
| 4 TSE, Wh/kg | 72.2 | 61.3 | 56.3 | 1.36 | 0.0002 | 0.1194 |
| 5 IBM, % | 25.8 | 31.2 | 31.3 | 0.09 | <0.0001 | <0.0001 |
| Wet Bulk density, g/L | 386 | 428 | 435 | 7.6 | 0.0039 | 0.1117 |
| Dry Bulk density, g/L | 296 | 324 | 338 | 6.2 | 0.0029 | 0.3615 |
| Dry flow rate, kg/h | 1101 | 1101 | 1136 | 28.1 | 0.4198 | 0.6349 |
| Moisture loss at drier, % | 6.98 | 13.04 | 13.16 | 0.078 | <0.0001 | <0.0001 |
| Item | HS | MS | LS | SEM | p |
|---|---|---|---|---|---|
| Wet kibble | |||||
| Volume, cm3 | 1.541 | 1.257 | 1.260 | 0.0718 | 0.0497 |
| Density, g/cm3 | 0.683 b | 0.866 a | 0.848 a | 0.0263 | 0.0049 |
| VEI, cm3kibble/cm3die | 1.097 a | 0.720 b | 0.728 b | 0.0291 | 0.0001 |
| LEI, cmkibble/cmdie | 0.823 a | 0.611 b | 0.601 b | 0.0304 | 0.0034 |
| SEI, cm2kibble/cm2die | 1.353 | 1.188 | 1.232 | 0.0739 | 0.3336 |
| Dry kibble | |||||
| Volume, cm3 | 1.56 | 1.57 | 1.55 | 0.061 | 0.9691 |
| Density, g/cm3 | 0.527 | 0.540 | 0.554 | 0.0109 | 0.2770 |
| Hardness, kg | 8.37 | 8.13 | 9.96 | 0.534 | 0.0996 |
| Toughness, kg × mm | 1063 | 1101 | 1449 | 105.2 | 0.0758 |
| Item | HS | MS | LS | SEM | L | Q |
|---|---|---|---|---|---|---|
| Viscosity (RVA) | ||||||
| Cold swollen starch AUC, RVU | 1120 | 402 | 330 | 72.61 | 0.0003 | 0.0109 |
| Raw starch AUC, RVU | 2206 | 1988 | 1996 | 110.2 | 0.2269 | 0.4327 |
| 1 Raw:cooked ratio | 2.02 | 4.98 | 6.24 | 0.485 | 0.0009 | 0.2029 |
| High Mw starch AUC, RVU | 7281 | 3170 | 8411 | 1182.7 | 0.5243 | 0.0179 |
| Starch analyses | ||||||
| Rapidly digested starch, % | 45.9 | 42.2 | 41.1 | 1.53 | 0.0686 | 0.5079 |
| Slowly digested starch, % | 2.02 | 2.98 | 6.41 | 1.072 | 0.0276 | 0.3832 |
| Total digested starch, % | 53.7 | 51.7 | 51.1 | 0.898 | 0.0909 | 0.5417 |
| Resistant starch, % | 0.650 | 0.940 | 1.057 | 0.0926 | 0.0210 | 0.4739 |
| Total starch, % | 54.3 | 52.6 | 52.2 | 0.94 | 0.1567 | 0.6050 |
| Cooked starch, % | 99.6 | 91.9 | 88.8 | 1.168 | 0.0006 | 0.1615 |
| Fiber analysis | ||||||
| TDF, % | 2.51 | 2.64 | 3.03 | 0.159 | 0.0621 | 0.5410 |
| IDF, % | 1.46 | 1.67 | 1.70 | 0.197 | 0.4227 | 0.7102 |
| SDF, % | 1.052 | 0.969 | 1.326 | 0.1211 | 0.1598 | 0.1885 |
Publisher’s Note: MDPI stays neutral with regard to jurisdictional claims in published maps and institutional affiliations. |
© 2021 by the authors. Licensee MDPI, Basel, Switzerland. This article is an open access article distributed under the terms and conditions of the Creative Commons Attribution (CC BY) license (https://creativecommons.org/licenses/by/4.0/).
Share and Cite
Corsato Alvarenga, I.; Keller, L.C.; Waldy, C.; Aldrich, C.G. Extrusion Processing Modifications of a Dog Kibble at Large Scale Alter Levels of Starch Available to Animal Enzymatic Digestion. Foods 2021, 10, 2526. https://doi.org/10.3390/foods10112526
Corsato Alvarenga I, Keller LC, Waldy C, Aldrich CG. Extrusion Processing Modifications of a Dog Kibble at Large Scale Alter Levels of Starch Available to Animal Enzymatic Digestion. Foods. 2021; 10(11):2526. https://doi.org/10.3390/foods10112526
Chicago/Turabian StyleCorsato Alvarenga, Isabella, Lewis C. Keller, Christopher Waldy, and Charles G. Aldrich. 2021. "Extrusion Processing Modifications of a Dog Kibble at Large Scale Alter Levels of Starch Available to Animal Enzymatic Digestion" Foods 10, no. 11: 2526. https://doi.org/10.3390/foods10112526
APA StyleCorsato Alvarenga, I., Keller, L. C., Waldy, C., & Aldrich, C. G. (2021). Extrusion Processing Modifications of a Dog Kibble at Large Scale Alter Levels of Starch Available to Animal Enzymatic Digestion. Foods, 10(11), 2526. https://doi.org/10.3390/foods10112526

