Effects of Endodontic Irrigants on Material and Surface Properties of Biocompatible Thermoplastics
Abstract
1. Introduction
2. Materials and Methods
2.1. Specimen Preparation
2.2. Experimental Procedures
| A- | Very good resistance: only slight changes in weight, dimensions and properties, no irreversible damage caused by the medium |
| B- | Conditionally resistant: noticeable changes in properties, irreversible damage on prolonged exposure |
| C- | Not resistant: within short time strong attack and/or stress cracking, irreversible damage |
2.2.1. Determination of Absorption
2.2.2. Analysis of Mechanical Properties of Polymers
2.2.3. Determination of Surface Roughness
2.3. Test Protocol
3. Results
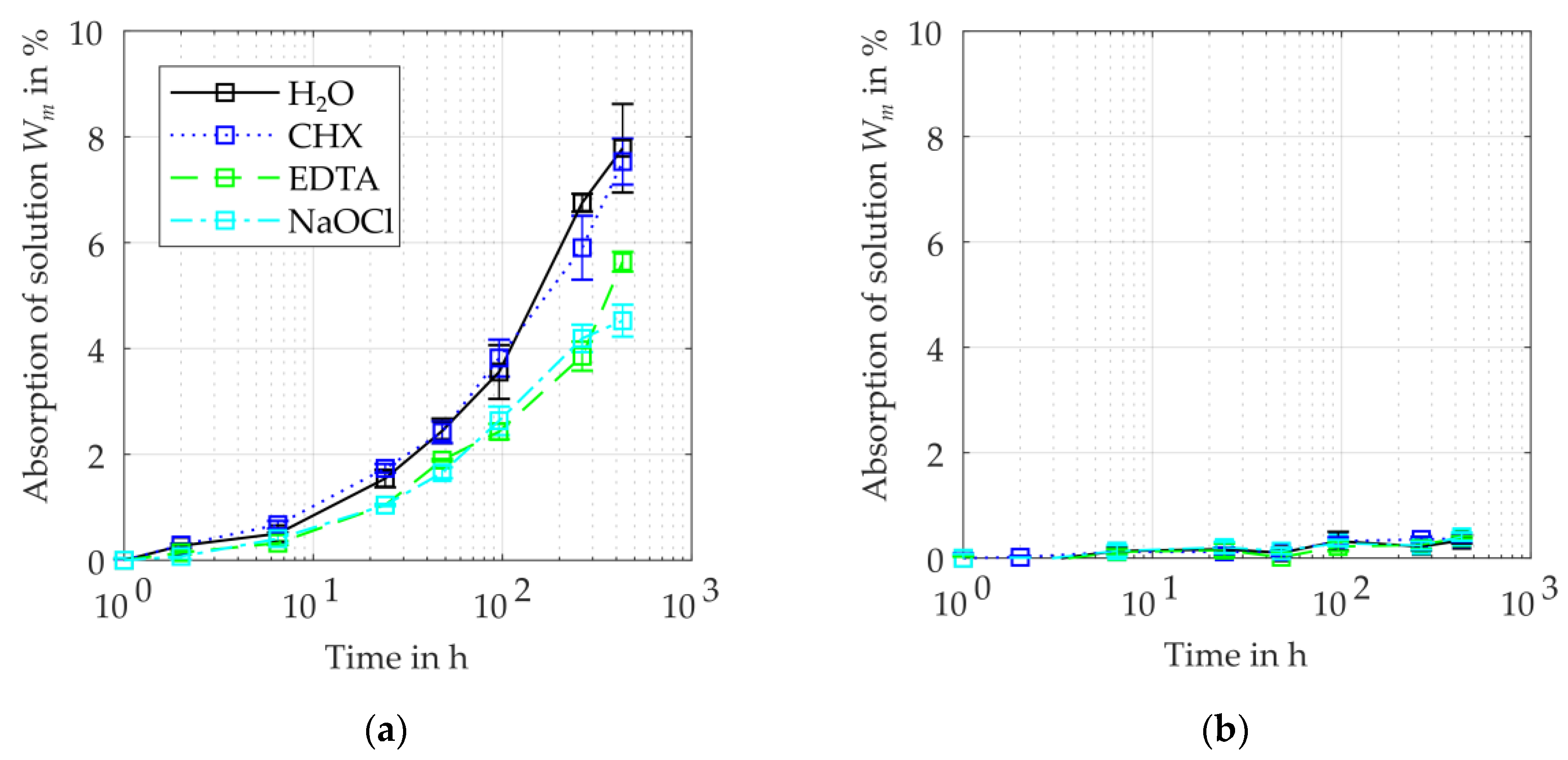
3.1. Absorption Behaviour of Polymers
3.2. Alteration of Mechanical Properties
3.3. Surface Alteration
3.4. Chemical Resistance Chart of PA6 and PEEK
4. Discussion
5. Conclusions
Author Contributions
Funding
Acknowledgments
Conflicts of Interest
References
- Siqueira, J.F.; Rôças, I.N. Polymerase chain reaction-based analysis of microorganisms associated with failed endodontic treatment. Oral Surg. Oral Med. Oral Pathol. Oral Radiol. Endod. 2004, 97, 85–94. [Google Scholar] [CrossRef]
- Wong, R. Conventional endodontic failure and retreatment. Dent. Clin. N. Am. 2004, 48, 265–289. [Google Scholar] [CrossRef] [PubMed]
- Basmadjian-Charles, C.L.; Farge, P.; Bourgeois, D.M.; Lebrun, T. Factors influencing the long-term results of endodontic treatment: A review of the literature. Int. Dent. J. 2002, 52, 81–86. [Google Scholar] [CrossRef] [PubMed]
- Kirsch, J.; Basche, S.; Neunzehn, J.; Dede, M.; Dannemann, M.; Hannig, C.; Weber, M.-T. Is it really penetration? Locomotion of devitalized Enterococcus faecalis cells within dentinal tubules of bovine teeth. Arch. Oral Biol. 2017, 83, 289–296. [Google Scholar] [CrossRef] [PubMed]
- Plotino, G.; Pameijer, C.H.; Grande, N.M.; Somma, F. Ultrasonics in endodontics: A review of the literature. J. Endod. 2007, 33, 81–95. [Google Scholar] [CrossRef] [PubMed]
- Al-Jadaa, A.; Paqué, F.; Attin, T.; Zehnder, M. Necrotic pulp tissue dissolution by passive ultrasonic irrigation in simulated accessory canals: Impact of canal location and angulation. Int. Endod. J. 2009, 42, 59–65. [Google Scholar] [CrossRef] [PubMed]
- Al-Jadaa, A.; Paqué, F.; Attin, T.; Zehnder, M. Acoustic hypochlorite activation in simulated curved canals. J. Endod. 2009, 35, 1408–1411. [Google Scholar] [CrossRef] [PubMed]
- Johal, S.; Baumgartner, J.C.; Marshall, J.G. Comparison of the antimicrobial efficacy of 1.3% NaOCl/BioPure MTAD to 5.25% NaOCl/15% EDTA for root canal irrigation. J. Endod. 2007, 33, 48–51. [Google Scholar] [CrossRef] [PubMed]
- Williamson, A.E.; Cardon, J.W.; Drake, D.R. Antimicrobial susceptibility of monoculture biofilms of a clinical isolate of Enterococcus faecalis. J. Endod. 2009, 35, 95–97. [Google Scholar] [CrossRef] [PubMed]
- Lottanti, S.; Gautschi, H.; Sener, B.; Zehnder, M. Effects of ethylenediaminetetraacetic, etidronic and peracetic acid irrigation on human root dentine and the smear layer. Int. Endod. J. 2009, 42, 335–343. [Google Scholar] [CrossRef] [PubMed]
- Ghorbanzadeh, A.; Aminsobhani, M.; Sohrabi, K.; Chiniforush, N.; Ghafari, S.; Shamshiri, A.R.; Noroozi, N. Penetration depth of sodium hypochlorite in dentinal tubules after conventional irrigation, passive ultrasonic agitation and Nd: YAG laser activated irrigation. J. Lasers Med. Sci. 2016, 7, 105–111. [Google Scholar] [CrossRef] [PubMed]
- Zehnder, M. Root canal irrigants. J. Endod. 2006, 32, 389–398. [Google Scholar] [CrossRef] [PubMed]
- Mehdipour, O.; Kleier, D.J.; Averbach, R.E. Anatomy of sodium hypochlorite accidents. Compend. Contin. Educ. Dent. 2007, 28, 544–546, 548–550. [Google Scholar] [PubMed]
- Torabinejad, M.; Handysides, R.; Khademi, A.A.; Bakland, L.K. Clinical implications of the smear layer in endodontics: A review. Oral Surg. Oral Med. Oral Pathol. Oral Radiol. Endod. 2002, 94, 658–666. [Google Scholar] [CrossRef] [PubMed]
- Newberry, B.M.; Shabahang, S.; Johnson, N.; Aprecio, R.M.; Torabinejad, M. The antimicrobial effect of biopure MTAD on eight strains of Enterococcus faecalis: An in vitro investigation. J. Endod. 2007, 33, 1352–1354. [Google Scholar] [CrossRef] [PubMed]
- Zhang, R.; Chen, M.; Lu, Y.; Guo, X.; Qiao, F.; Wu, L. Antibacterial and residual antimicrobial activities against Enterococcus faecalis biofilm: A comparison between EDTA, chlorhexidine, cetrimide, MTAD and QMix. Sci. Rep. 2015, 5, 12944. [Google Scholar] [CrossRef] [PubMed]
- Mahendra, A.; Koul, M.; Upadhyay, V.; Dwivedi, R. Comparative evaluation of antimicrobial substantivity of different concentrations of chlorhexidine as a root canal irrigant: An in vitro study. J. Oral Biol. Craniofac. Res. 2014, 4, 181–185. [Google Scholar] [CrossRef] [PubMed]
- Estrela, C.; Silva, J.A.; Alencar, A.H.; Leles, C.R.; Decurcio, D.A. Effiacy of sodium hypochlorite and chlorhexidine against Enterococcus faecalis—A systematic review. J. Appl. Oral Sci. 2008, 16, 364–368. [Google Scholar] [CrossRef] [PubMed]
- Van der Sluis, L.W.M.; Versluis, M.; Wu, M.K.; Wesselink, P.R. Passive ultrasonic irrigation of the root canal: A review of the literature. Int. Endod. J. 2007, 40, 415–426. [Google Scholar] [CrossRef] [PubMed]
- Dannemann, M.; Kucher, M.; Kirsch, J.; Binkowski, A.; Modler, N.; Hannig, C.; Weber, M.-T. An approach for a mathematical description of human root canals by means of elementary parameters. J. Endod. 2017, 43, 536–543. [Google Scholar] [CrossRef] [PubMed]
- Hartmann, R.C.; Fensterseifer, M.; Peters, O.A.; de Figueiredo, J.A.; Gomes, M.S.; Rossi-Fedele, G. Methods for measurement of root canal curvature: A systematic and critical review. J. Endod. 2018. [Google Scholar] [CrossRef] [PubMed]
- Neuhaus, K.W.; Liebi, M.; Stauffacher, S.; Eick, S.; Lussi, A. Antibacterial efficacy of a new sonic irrigation device for root canal disinfection. J. Endod. 2016, 42, 1799–1803. [Google Scholar] [CrossRef] [PubMed]
- Zhang, M.; Matinlinna, J.P. E-glass fiber reinforced composites in dental applications. Silicon 2012, 4, 73–78. [Google Scholar] [CrossRef]
- CanalBrush—The Electric Toothbrush for Root Canals. Available online: https://www.coltene.com/pim/DOC/USR/docusr000191-awb-en-canalbrush-beseksenaindv1.pdf (accessed on 26 October 2018).
- Garip, Y.; Sazak, H.; Gunday, M.; Hatipoglu, S. Evaluation of smear layer removal after use of a canal brush: An SEM study. Oral Surg. Oral Med. Oral Pathol. Oral Radiol. Endod. 2010, 110, 62–66. [Google Scholar] [CrossRef] [PubMed]
- Chaudhry, S.; Yadav, S.; Talwar, S.; Verma, M. Effect of EndoActivator and Er,Cr:YSGG laser activation of Qmix, as final endodontic irrigant, on sealer penetration: A confocal microscopic study. J. Clin. Exp. Dent. 2017, 9, e218–e222. [Google Scholar] [CrossRef] [PubMed]
- Suman, S.; Verma, P.; Prakash-Tikku, A.; Bains, R.; Kumar-Shakya, V. A comparative evaluation of smear layer removal using apical negative pressure (EndoVac), sonic irrigation (EndoActivator) and Er:YAG laser—An in vitro SEM study. J. Clin. Exp. Dent. 2017, 9, 981–987. [Google Scholar] [CrossRef] [PubMed]
- El Hachem, R.; Le Brun, G.; Le Jeune, B.; Pellen, F.; Khalil, I.; Abboud, M. Influence of the EndoActivator irrigation system on dentinal tubule penetration of a novel tricalcium silicate-based sealer. Dent. J. 2018, 6. [Google Scholar] [CrossRef] [PubMed]
- Urban, K.; Donnermeyer, D.; Schäfer, E.; Bürklein, S. Canal cleanliness using different irrigation activation systems: A SEM evaluation. Clin. Oral Investig. 2017, 21, 2681–2687. [Google Scholar] [CrossRef] [PubMed]
- Alewelt, W.; Bottenbruch, L.; Becker, G.W. Polyamide, 1st ed.; Hanser: Munich, Germany, 1998; ISBN 3446164863. [Google Scholar]
- Gao, S.; Tsoi, J.; Cheung, G.; Matinlinna, J. An in vitro evaluation on a novel root canal cleansing method by using Nylon fibers. Fibers 2015, 3, 197–205. [Google Scholar] [CrossRef]
- Modler, N.; Hufenbach, W.A.; Gäbler, S.; Gottwald, R.; Schubert, F.; Dannemann, M. Endodontic instruments made of fibre-reinforced polymer composites—Preliminary FEM and experimental investigations. Compos. Theory Pract. 2015, 15, 95–100. [Google Scholar]
- Van der Vegt, A.K. Polymeren: Van Keten tot Kunststof, 4th ed.; Delft University Press: Delft, The Netherlands, 1999; ISBN 9789040712838. [Google Scholar]
- Mano, J.F.; Sousa, R.A.; Boesel, L.F.; Neves, N.M.; Reis, R.L. Bioinert, biodegradable and injectable polymeric matrix composites for hard tissue replacement: State of the art and recent developments. Compos. Sci. Technol. 2004, 64, 789–817. [Google Scholar] [CrossRef]
- Corvelli, A.A.; Roberts, J.C.; Biermann, P.J.; Cranmer, J.H. Characterization of a peek composite segmental bone replacement implant. J. Mater. Sci. 1999, 34, 2421–2431. [Google Scholar] [CrossRef]
- Hufenbach, W.; Gottwald, R.; Markwardt, J.; Eckelt, U.; Modler, N.; Reitemeier, B. Berechnung und experimentelle Prüfung einer Implantatstruktur in Faserverbundbauweise für die Überbrückung von Kontinuitätsdefekten des Unterkiefers. Biomed. Tech. 2008, 53, 306–313. [Google Scholar] [CrossRef] [PubMed]
- Girard, J.; Joset, N.; Crochet, A.; Tan, M.; Holzheu, A.; Brunetto, P.; Fromm, K. Synthesis of new polyether ether ketone derivatives with silver binding site and coordination compounds of their monomers with different silver salts. Polymers 2016, 8, 208. [Google Scholar] [CrossRef]
- Cogswell, F.N. Thermoplastic Aromatic Polymer Composites: A Study of the Structure, Processing, and Properties of Carbon Fibre Reinforced Polyetheretherketone and Related Materials, 1st ed.; Butterworth-Heinemann: Oxford, UK, 1992; ISBN 1483164764. [Google Scholar]
- Technical Data Sheet SUSTAPEEK. Available online: https://www.roechling.com/de/industrie/werkstoffe/thermoplastische-kunststoffe/showpdf/?tx_bwmaterials_thermoplastics%5Buid%5D=196&selectedUid=1756&slang=0&cHash=1063c1166ce02ceffc9d9c40be291666 (accessed on 19 October 2018).
- Altstaedt, V.; Werner, P.; Sandler, J. Rheological, mechanical and tribological properties of carbon-nanofibre reinforced poly (ether ether ketone) composites. Polímeros 2003, 13, 218–222. [Google Scholar] [CrossRef]
- Herrmann, K. (Ed.) Hardness Testing of Plastics and Elastomers; VDI/VDE 2616 Part 2; Beuth: Berlin, Germany, 2014. [Google Scholar]
- Deutsches Institut für Normung e.V. Geometrical Product Specifications (GPS)—Surface Texture: Profile Method—Terms, Definitions and Surface Texture Parameters; DIN EN ISO 4287; Beuth: Berlin, Germany, 2010. [Google Scholar]
- Zöge, K.; (Technoplast v.Treskow GmbH, Lahnstein, Germany). Personal communication, 2018.
- Deutsches Institut für Normung e.V. Metallic Materials—Instrumented Indentation Test for Hardness and Materials Parameters—Part. 1: Test, Method; DIN EN ISO 14577-1; Beuth: Berlin, Germany, 2015. [Google Scholar]
- Kinney, J.H.; Marshall, S.J.; Marshall, G.W. The mechanical properties of human dentin: A critical review and re-evaluation of the dental literature. Crit. Rev. Oral Biol. Med. 2003, 14, 13–29. [Google Scholar] [CrossRef] [PubMed]
- Liu, Z.Y.; Beniwal, S.; Jenkins, C.H.M.; Winter, R.M. The Coupled Thermal and Mechanical Influence on a Glassy Thermoplastic Polyamide: Nylon 6, 6 Under Vibro-Creep. Mech. Time Depend. Mater. 2004, 8, 235–253. [Google Scholar] [CrossRef]
- Ehrenstein, G.W.; Pongratz, S. Beständigkeit Von Kunststoffen, 1st ed.; Hanser: Munich, Germany, 2007; ISBN 978-3-446-21851-2. [Google Scholar]
- Tranchida, D.; Piccarolo, S.; Loos, J.; Alexeev, A. Mechanical characterization of polymers on a nanometer scale through nanoindentation. A study on pile-up and viscoelasticity. Macromolecules 2007, 40, 1259–1267. [Google Scholar] [CrossRef]
- Maekawa, M.; Kanno, Z.; Wada, T.; Hongo, T.; Doi, H.; Hanawa, T.; Ono, T.; Uo, M. Mechanical properties of orthodontic wires made of super engineering plastic. Dent. Mater. J. 2015, 34, 114–119. [Google Scholar] [CrossRef] [PubMed]









| Properties | Unit | PA6 | PEEK |
|---|---|---|---|
| Modulus of elasticity (tension) | GPa | 2.6…3.2 [30] | 3.6…4 [38,39] |
| Yield stress | MPa | 70…90 [30] | 92…110 [38,39] |
| Poisson’s ratio | - | 0.33 [30] | 0.4 [38] |
| - | 0.04 1 | 0.01 2 | |
| Melting temperature | °C | 217…221 [30] | 334…343 [38,39] |
| Service temperature | °C | −30…130 [30] | −60…250 [39] |
| Density | g/cm³ | 1.12…1.14 [30] | 1.31 [39] |
| Water absorption | % | 9…11 [30] | 0.2…0.5 [38,39] |
| Duration | Temperature | Ultrasound Bath | |||
|---|---|---|---|---|---|
| CHX | EDTA | NaOCl | |||
| = 0.856) | |||||
| 4 h | 20 °C | inactive | 0.86 | 0.85 | 0.81 |
| 7 d | 0.8 | 0.88 | 0.85 | ||
| 14 d | 0.91 | 0.89 | 0.92 * | ||
| 4 h | 37 °C | active | 0.81 | 0.88 | 0.85 |
| 7 d | 0.89 | 0.84 | 1 * | ||
| 14 d | 0.92 | 0.92 | 0.85 * | ||
| = 0.77) | |||||
| 4 h | 20 °C | inactive | 0.83 | 0.81 | 0.81 |
| 7 d | 0.80 | 0.78 | 0.80 | ||
| 14 d | 0.82 | 0.79 | 0.80 | ||
| 4 h | 37 °C | active | 0.77 | 0.80 | 0.81 |
| 7 d | 0.82 | 0.79 | 0.82 | ||
| 14 d | 0.79 | 0.82 | 0.82 | ||
| Medium | Resistance | Resistance | Weight Increase * | ||
|---|---|---|---|---|---|
| Short-term | Long-term | Short-term | Long-term | ||
| CHX, 2% | A, 20 °C A, 37 °C | B, 20 °C B, 37 °C | A, 20 °C A, 37 °C | A, 20 °C A, 37 °C | PA6: 7.5% |
| PEEK: 0.4% | |||||
| EDTA, 20% | A, 20 °C A, 37 °C | B, 20 °C B, 37 °C | A, 20 °C A, 37 °C | A, 20 °C A, 37 °C | PA6: 5.6% |
| PEEK: 0.4% | |||||
| NaOCl, 5.25% | A, 20 °C A, 37 °C | B, 20 °C B, 37 °C | A, 20 °C A, 37 °C | A, 20 °C A, 37 °C | PA6: 4.5% |
| PEEK: 0.4% | |||||
© 2019 by the authors. Licensee MDPI, Basel, Switzerland. This article is an open access article distributed under the terms and conditions of the Creative Commons Attribution (CC BY) license (http://creativecommons.org/licenses/by/4.0/).
Share and Cite
Kucher, M.; Dannemann, M.; Modler, N.; Hannig, C.; Weber, M.-T. Effects of Endodontic Irrigants on Material and Surface Properties of Biocompatible Thermoplastics. Dent. J. 2019, 7, 26. https://doi.org/10.3390/dj7010026
Kucher M, Dannemann M, Modler N, Hannig C, Weber M-T. Effects of Endodontic Irrigants on Material and Surface Properties of Biocompatible Thermoplastics. Dentistry Journal. 2019; 7(1):26. https://doi.org/10.3390/dj7010026
Chicago/Turabian StyleKucher, Michael, Martin Dannemann, Niels Modler, Christian Hannig, and Marie-Theres Weber. 2019. "Effects of Endodontic Irrigants on Material and Surface Properties of Biocompatible Thermoplastics" Dentistry Journal 7, no. 1: 26. https://doi.org/10.3390/dj7010026
APA StyleKucher, M., Dannemann, M., Modler, N., Hannig, C., & Weber, M.-T. (2019). Effects of Endodontic Irrigants on Material and Surface Properties of Biocompatible Thermoplastics. Dentistry Journal, 7(1), 26. https://doi.org/10.3390/dj7010026

