The Interband Cascade Laser
Abstract
1. Introduction
2. Evolution of the Interband Cascade Laser Concept
2.1. Initial Proposal
2.2. Improvements
2.3. Early Experimental Realizations
2.4. Toward Room-Temperature cw Operation
3. Design of Interband Cascade Lasers
3.1. Design and Doping of the Active Core
3.2. Design of the Laser Waveguide
3.3. Assessment of the Current Level of Understanding
4. Experimental Performance
4.1. Broad-Area Devices in Pulsed Mode
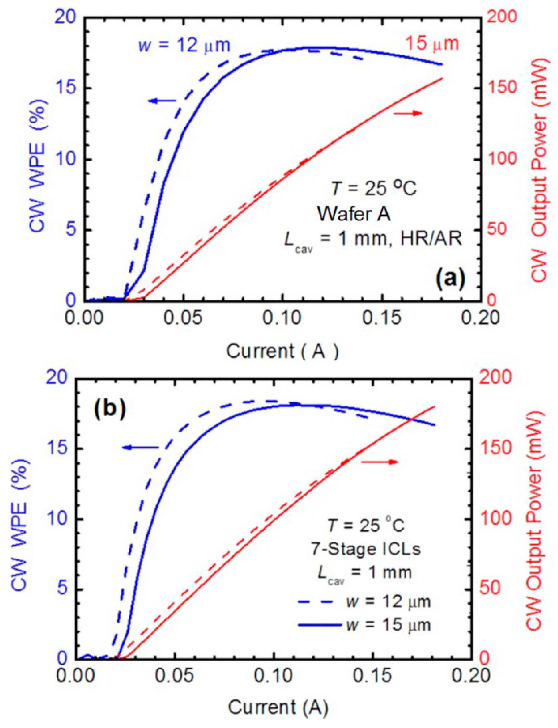
4.2. Narrow-Ridge Lasers in CW Mode
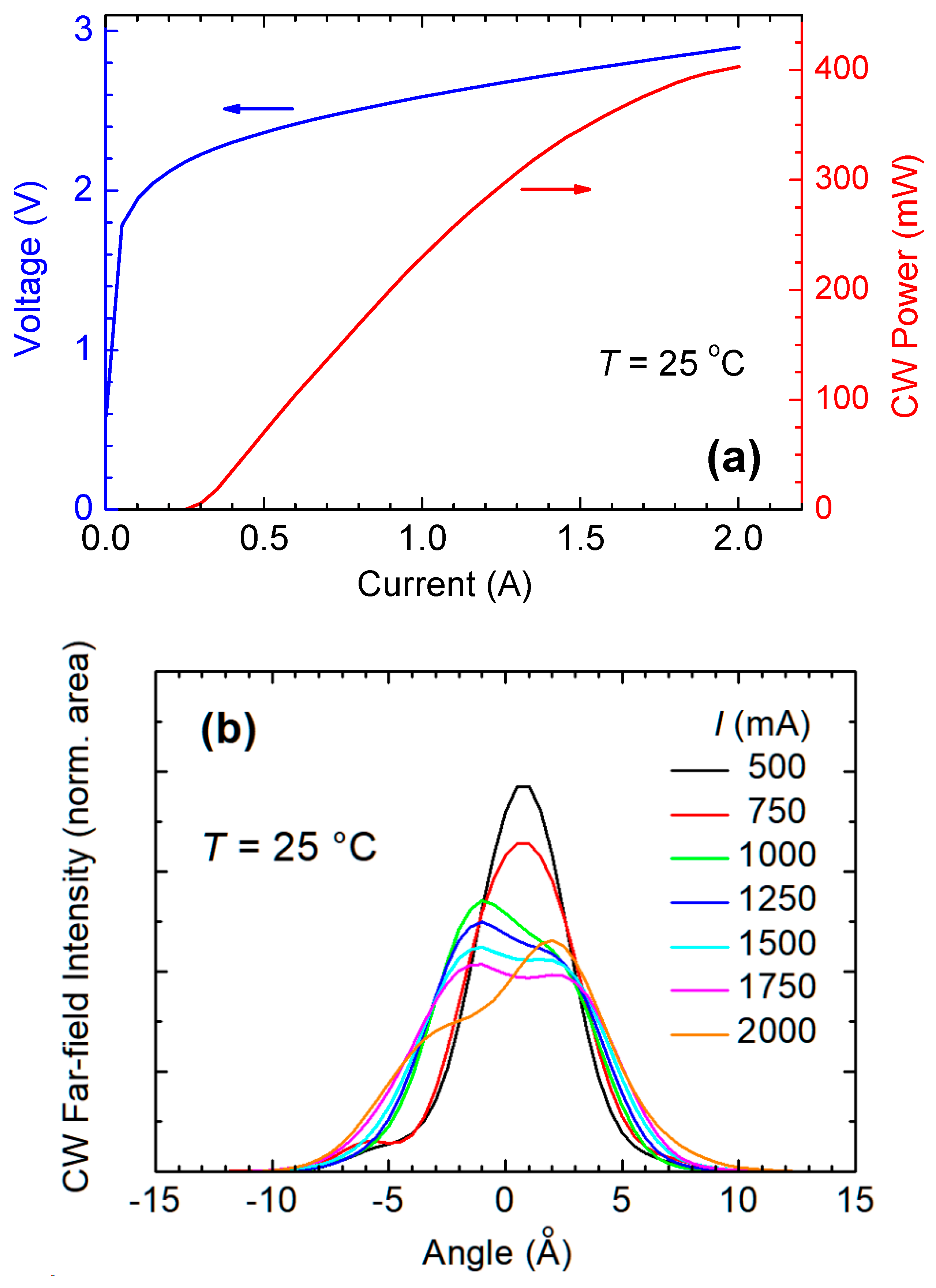
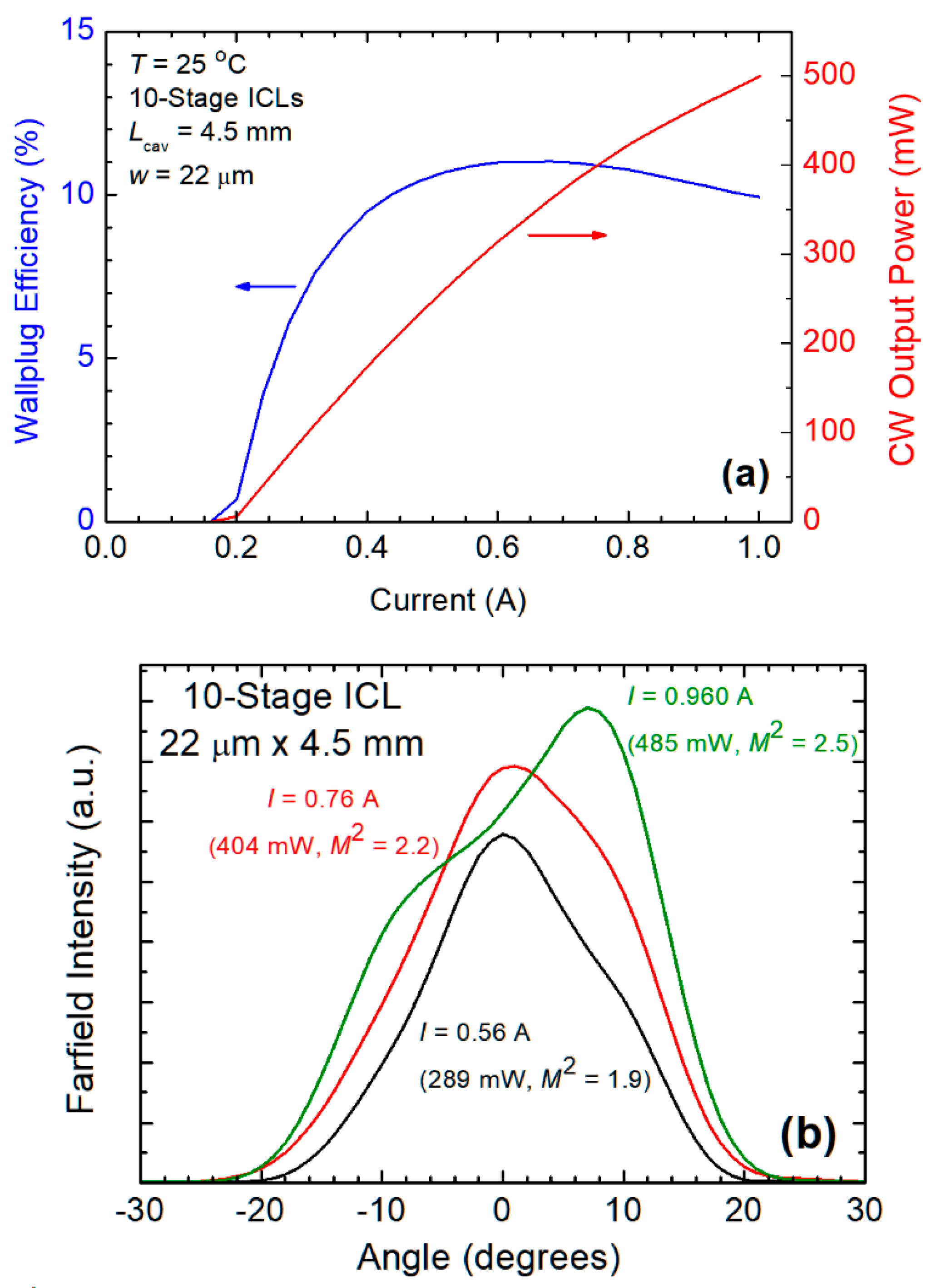
4.3. Interband Cascade Lasers with High Output Power and Brightness
4.4. Single-Spectral-Mode Emission
4.5. Type-I Interband Cascade Lasers
4.6. Vertically-Emitting Interband Cascade Lasers
4.7. Interband Cascade Laser Frequency Combs
4.8. Interband Cascade LEDs
4.9. Interband Cascade Detectors
4.10. Photonic Integrated Circuits Incorporating ICLs and ICDs
4.11. Linewidth and Stability
5. Mechanisms Limiting Device Performance
5.1. Mechanisms Limiting Threshold Current Density
5.2. Mechanisms Limiting Internal Loss and Internal Efficiency
5.3. Optimal Number of Stages and Comparison to the Quantum Cascade Laser
5.4. Prospects for Future Improvements
Author Contributions
Funding
Acknowledgments
Conflicts of Interest
References
- Vurgaftman, I.; Geiser, P.; Bewley, W.W.; Merritt, C.D.; Canedy, C.L.; Warren, M.V.; Kim, M.; Kim, C.S.; Meyer, J.R. Sensitive Chemical Detection with Distributed Feedback Interband Cascade Lasers. In Encyclopedia of Analytical Chemistry; Meyers, R.A., Ed.; Wiley: Chichester, UK, 2016. [Google Scholar] [CrossRef]
- Von Edlinger, M.; Scheuermann, J.; Weih, R.; Nähle, L.; Fischer, M.; Koeth, J.; Höfling, S.; Kamp, M. Interband Cascade Lasers for Applications in Process Control and Environmental Monitoring. Light Energy Environ. Congr. 2015, EM2A, 5. [Google Scholar]
- Goldenstein, C.S.; Spearrin, R.M.; Jeffries, J.B.; Hanson, R.K. Infrared laser-absorption sensing for combustion gases. Prog. Energy Combust. Sci. 2016, 60, 132–176. [Google Scholar] [CrossRef]
- Henderson, B.; Khodabakhsh, A.; Metsälä, M.; Ventrillard, I.; Schmidt, F.M.; Romanini, D.; Ritchie, G.A.D.; Hekkert, S.L.; Briot, R.; Risby, T.; et al. Laser spectroscopy for breath analysis: Towards clinical implementation. Appl. Phys. B 2018, 124, 161. [Google Scholar] [CrossRef] [PubMed]
- Delga, A.; Leviandier, L. Free space optical communications based on Quantum Cascade Lasers. Proc. SPIE 2019, 10926, 1092617. [Google Scholar]
- Ejzak, G.A.; Dickason, J.; Marks, J.A.; Nabha, K.; McGee, R.T.; Waite, N.A.; Benedict, J.T.; Hernandez, M.A.; Provence, S.R.; Norton, D.T., Jr.; et al. 512 × 512, 100 Hz mid-wave infrared LED microdisplay system. J. Disp. Technol. 2016, 12, 1139–1144. [Google Scholar] [CrossRef]
- Fuchs, F.; Hugger, S.; Jarvis, J.; Yang, Q.K.; Ostendorf, R.; Schilling, C.; Bronner, W.; Driad, R.; Aidam, R.; Wagner, J. Imaging standoff trace detection of explosives using IR-laser based backscattering. Proc. SPIE 2016, 9836, 983621. [Google Scholar]
- Beck, M.; Hofstetter, D.; Aellen, T.; Faist, J.; Oesterle, U.; Ilegems, M.; Gini, E.; Melchior, H. Continuous wave operation of a midinfrared semiconductor laser at room temperature. Science 2002, 295, 301–305. [Google Scholar] [CrossRef] [PubMed]
- Choi, H.K.; Turner, G.W.; Manfra, M.J.; Connors, M.K. 175 K continuous wave operation of InAsSb/InAlAsSb quantum-well diode lasers emitting at 3.5 µm. Appl. Phys. Lett. 1996, 68, 2936. [Google Scholar] [CrossRef]
- Liang, R.; Hosoda, T.; Kipshidze, G.; Shterengas, L.; Belenky, G. GaSb-Based Diode Lasers with Asymmetric Separate Confinement Heterostructure. IEEE Photonics Technol. Lett. 2013, 25, 925–928. [Google Scholar] [CrossRef]
- Eales, T.D.; Marko, I.P.; Adams, A.R.; Meyer, J.R.; Vurgaftman, I.; Sweeney, S.J. Auger Coefficient in type-I InGaAsSb QW lasers operating in the 1.7–3.2 µm wavelength range. J. Phys. D 2006, in press. [Google Scholar]
- Faist, J.; Capasso, F.; Sivco, D.L.; Sirtori, C.; Hutchinson, A.L.; Cho, A.Y. Quantum Cascade Laser. Science 1994, 264, 553–556. [Google Scholar] [CrossRef]
- Faist, J. Quantum Cascade Lasers; Oxford University Press: Oxford, UK, 2013. [Google Scholar]
- Bai, Y.; Bandyopadhyay, N.; Tsao, S.; Slivken, S.; Razeghi, M. Room-temperature quantum cascade lasers with 27% wall plug efficiency. Appl. Phys. Lett. 2011, 98, 181102. [Google Scholar] [CrossRef]
- Wang, F.; Slivken, S.; Wu, D.H.; Razeghi, M. Room temperature quantum cascade lasers with 22% wall plug efficiency in continuous-wave operation. Opt. Express 2020, 28, 17532–17538. [Google Scholar] [CrossRef] [PubMed]
- Milde, T.; Hoppe, M.; Tatenguema, H.; Honsberg, M.; Mordmüller, M.; O’Gorman, J.; Schade, W.; Sacher, J. New GaSb based Single Mode Diode Lasers in the NIR and MIR spectral Regime for Sensor Applications. Proc. SPIE 2018, 10553, 105530C. [Google Scholar]
- Hosoda, T.; Kipshidze, G.; Shterengas, L.; Belenky, G. Diode lasers emitting near 3.44 μm in continuous-wave regime at 300 K. Electron. Lett. 2010, 46, 1455–1456. [Google Scholar] [CrossRef]
- Belenky, G.; Shterengas, L.; Kipshidze, G.; Hosoda, T. Type-I diode lasers for spectral region above 3 μm. IEEE J. Sel. Top. Quantum Electron. 2011, 17, 1426–1434. [Google Scholar] [CrossRef]
- Yang, R.Q. Interband cascade (IC) lasers. In Semiconductor Lasers Fundamentals and Applications; Woodhead Publishing: Shaston, UK, 2013; pp. 487–513. [Google Scholar]
- Vurgaftman, I.; Weih, R.; Kamp, M.; Meyer, J.R.; Canedy, C.L.; Kim, C.S.; Kim, M.; Bewley, W.W.; Merritt, C.D.; Abell, J.; et al. Interband Cascade Lasers. J. Phys. D 2015, 48, 123001. [Google Scholar] [CrossRef]
- Yang, R.Q. Infrared laser based on intersubband transitions in quantum wells. Superlatt. Microstruct. 1995, 17, 77–83. [Google Scholar] [CrossRef]
- Söderström, J.R.; Chow, D.H.; McGill, T.C. New negative differential resistance device based on resonant interband tunneling. Appl. Phys. Lett. 1989, 55, 1094–1096. [Google Scholar] [CrossRef]
- Sweeny, M.; Xu, J.M. Resonant interband tunnel diodes. Appl. Phys. Lett. 1989, 54, 546–548. [Google Scholar] [CrossRef]
- Meyer, J.R.; Vurgaftman, I.; Yang, R.Q.; Ram-Mohan, L.R. Type-II and type-I interband cascade lasers. Electron. Lett. 1996, 32, 45–46. [Google Scholar] [CrossRef]
- Vurgaftman, I.; Meyer, J.R.; Ram-Mohan, L.R. High-power/low-threshold type-II interband cascade mid-IR laser. IEEE Photonics Technol. Lett. 1997, 9, 170–172. [Google Scholar] [CrossRef]
- Vurgaftman, I.; Meyer, J.R.; Ram-Mohan, L.R. Mid-IR Vertical-Cavity Surface-Emitting Lasers. IEEE J. Quantum Electron. 1998, 34, 147–156. [Google Scholar] [CrossRef]
- Meyer, J.R.; Hoffman, C.A.; Bartoli, F.J.; Ram-Mohan, L.R. Type-II quantum-well lasers for the mid-wavelength infrared. Appl. Phys. Lett. 1995, 67, 757–759. [Google Scholar] [CrossRef]
- Lin, C.H.; Yang, R.Q.; Zhang, D.; Murry, S.J.; Pei, S.S.; Allerman, A.A.; Kurtz, S.R. Type-II interband quantum cascade laser at 3.8 μm. Electron. Lett. 1997, 33, 598–599. [Google Scholar] [CrossRef]
- Yang, R.Q.; Yang, B.H.; Zhang, D.; Lin, C.H.; Murry, S.J.; Wu, H.; Pei, S.S. High-power mid-infrared interband cascade lasers based on type-II quantum wells. Appl. Phys. Lett. 1997, 71, 2409–2411. [Google Scholar] [CrossRef]
- Felix, C.L.; Bewley, W.W.; Vurgaftman, I.; Meyer, J.R.; Zhang, D.; Lin, C.H.; Yang, R.Q.; Pei, S.S. Interband cascade laser emitting >1 photon per injected electron. IEEE Photonics Technol. Lett. 1997, 9, 1433–1435. [Google Scholar] [CrossRef]
- Felix, C.L.; Bewley, W.W.; Aifer, E.H.; Vurgaftman, I.; Meyer, J.R.; Lin, C.H.; Zhang, D.; Murry, S.J.; Yang, R.Q.; Pei, S.S. Low-threshold 3.0 mm interband cascade “W” laser. J. Electron. Mater. 1998, 27, 77–80. [Google Scholar] [CrossRef]
- Yang, B.H.; Zhang, D.; Yang, R.Q.; Lin, C.H.; Murry, S.J.; Pei, S.S. Mid-infrared interband cascade lasers with quantum efficiencies >200%. Appl. Phys. Lett. 1998, 72, 2220–2222. [Google Scholar] [CrossRef]
- Olafsen, L.J.; Aifer, E.H.; Vurgaftman, I.; Bewley, W.W.; Felix, C.L.; Meyer, J.R.; Zhang, D.; Lin, C.H.; Pei, S.S. Near-room-temperature mid-infrared interband cascade laser. Appl. Phys. Lett. 1998, 72, 2370–2372. [Google Scholar] [CrossRef]
- Yang, R.Q.; Bruno, J.D.; Bradshaw, J.L.; Pham, J.T.; Wortman, D.E. High-power interband cascade lasers with quantum efficiency >450%. Electron. Lett. 1999, 35, 1254–1255. [Google Scholar] [CrossRef]
- Bradshaw, J.L.; Yang, R.Q.; Bruno, J.D.; Pham, J.T.; Wortman, D.E. High-efficiency interband cascade lasers with peak power exceeding 4 W/facet. Appl. Phys. Lett. 1999, 75, 2362–2364. [Google Scholar] [CrossRef]
- Yang, R.Q.; Bruno, J.D.; Bradshaw, J.L.; Pham, J.T.; Wortman, D.E. Interband cascade lasers, progress and challenges. Physica E 2000, 7, 69–75. [Google Scholar] [CrossRef]
- Bruno, J.D.; Bradshaw, J.L.; Yang, R.Q.; Pham, J.T.; Wortman, D.E. Low-threshold interband cascade lasers with power efficiency exceeding 9%. Appl. Phys. Lett. 2000, 76, 3167–3169. [Google Scholar] [CrossRef]
- Yang, R.Q.; Bradshaw, J.L.; Bruno, J.D.; Pham, J.T.; Wortman, D.E. Power, efficiency, and thermal characteristics of type-II interband cascade lasers. IEEE J. Quantum Electron. 2001, 37, 282–289. [Google Scholar] [CrossRef]
- Bradshaw, J.L.; Pham, J.T.; Yang, R.Q.; Bruno, J.D.; Wortman, D.E. Enhanced CW performance of the interband cascade laser using improved device fabrication. IEEE J. Sel. Top. Quantum Electron. 2001, 7, 102–105. [Google Scholar] [CrossRef]
- Yang, R.Q.; Bruno, J.D.; Bradshaw, J.L.; Pham, J.T.; Wortman, D.E. Mid-infrared type-II interband cascade lasers. IEEE J. Quantum Electron. 2002, 38, 559–568. [Google Scholar] [CrossRef]
- Yang, R.Q.; Bradshaw, J.L.; Bruno, J.D.; Pham, J.T.; Wortman, D.E.; Tober, R.L. Room-temperature type-II interband cascade laser. Appl. Phys. Lett. 2002, 81, 397–399. [Google Scholar] [CrossRef]
- Bradshaw, J.L.; Breznay, N.P.; Bruno, J.D.; Gomes, J.M.; Pham, J.T.; Towner, F.J.; Wortman, D.E.; Tober, R.L.; Monroy, C.J.; Olver, K.A. Recent progress in the development of type-II interband cascade lasers. Physica E 2004, 20, 479–485. [Google Scholar] [CrossRef]
- Yang, R.Q.; Yang, B.H.; Hill, C.J.; Liu, J.K. Room-temperature type-II interband cascade laser near 4.1 μm. Appl. Phys. Lett. 2003, 83, 2109–2111. [Google Scholar] [CrossRef]
- Hill, C.J.; Yang, B.H.; Yang, R.Q. Low-threshold interband cascade lasers operating above room temperature. Physica E 2004, 20, 486–490. [Google Scholar] [CrossRef]
- Yang, R.Q.; Hill, C.J.; Yang, B.H.; Wong, C.M.; Muller, R.E.; Echternach, P.M. Continuous-wave operation of distributed feedback interband cascade lasers. Appl. Phys. Lett. 2004, 84, 3699–3701. [Google Scholar] [CrossRef]
- Yang, R.Q.; Hill, C.J.; Yang, B.H.; Wong, C.M. Type-II interband cascade lasers in the 4.3–4.7 μm wavelength region. IEEE Photonics Technol. Lett. 2004, 16, 987–989. [Google Scholar] [CrossRef]
- Hill, C.J.; Wong, C.M.; Yang, B.; Yang, R.Q. Type-II interband cascade lasers emitting at wavelength beyond 5.1/spl mu/m. Electron. Lett. 2004, 40, 878–879. [Google Scholar] [CrossRef]
- Hill, C.J.; Yang, R.Q. Interband cascade lasers grown on GaAs substrates lasing at 4 microns. Appl. Phys. Lett. 2004, 85, 3014–3016. [Google Scholar] [CrossRef]
- Yang, R.Q.; Hill, C.J.; Yang, B.H. High-temperature and low-threshold midinfrared interband cascade lasers. Appl. Phys Lett. 2005, 87, 151109. [Google Scholar] [CrossRef]
- Mansour, K.; Qiu, Y.; Hill, C.J.; Soibel, A.; Yang, R.Q. Mid-infrared interband cascade lasers at thermoelectric cooler temperatures. Electron. Lett. 2006, 42, 1034–1036. [Google Scholar] [CrossRef]
- Yang, R.Q.; Hill, C.J.; Mansour, K.; Qiu, Y.M.; Soibel, A.; Muller, R.E.; Echternach, P.M. Distributed-feedback interband cascade lasers at thermoelectric cooler temperatures. IEEE Sel. Top. Quantum Electron. 2007, 13, 1074–1078. [Google Scholar] [CrossRef]
- Laser on Mars Keep Going. Available online: https://microdevices.jpl.nasa.gov/capabilities/in-situ-instruments-tls/tls-mars/ (accessed on 12 September 2020).
- Canedy, C.L.; Bewley, W.W.; Lindle, J.R.; Kim, C.S.; Kim, M.; Vurgaftman, I.; Meyer, J.R. High-power and high-efficiency midwave-infrared interband cascade lasers. Appl. Phys. Lett. 2006, 88, 161103. [Google Scholar] [CrossRef]
- Bewley, W.W.; Vurgaftman, I.; Kim, C.S.; Kim, M.; Canedy, C.L.; Meyer, J.R.; Bruno, J.D.; Towner, F.J. Room-temperature “W” diode lasers emitting at λ ≈ 4.0 μm. Appl. Phys. Lett. 2004, 85, 5544–5546. [Google Scholar] [CrossRef]
- Kim, C.S.; Kim, M.; Bewley, W.W.; Lindle, J.R.; Canedy, C.L.; Vurgaftman, I.; Meyer, J.R. Single-mode distributed-feedback interband cascade laser for the midwave infrared. Appl. Phys. Lett. 2006, 88, 191103. [Google Scholar] [CrossRef]
- Kim, M.; Larrabee, D.C.; Nolde, J.A.; Kim, C.S.; Canedy, C.L.; Bewley, W.W.; Vurgaftman, I.; Meyer, J.R. Narrow ridge interband cascade laser emitting high CW power. Electron. Lett. 2006, 42, 1097–1098. [Google Scholar] [CrossRef]
- Bewley, W.W.; Nolde, J.A.; Larrabee, D.C.; Canedy, C.L.; Kim, C.S.; Kim, M.; Vurgaftman, I.; Meyer, J.R. Interband cascade laser operating cw to 257 K atλ = 3.7 μm. Appl. Phys. Lett. 2006, 89, 161106. [Google Scholar] [CrossRef]
- Canedy, C.L.; Bewley, W.W.; Kim, M.; Kim, C.S.; Nolde, J.A.; Larrabee, D.C.; Lindle, J.R.; Vurgaftman, I.; Meyer, J.R. High-temperature interband cascade lasers emitting at l = 3.6–4.3 mm. Appl. Phys. Lett. 2007, 90, 181120. [Google Scholar] [CrossRef]
- Bewley, W.W.; Canedy, C.L.; Kim, M.; Kim, C.S.; Nolde, J.A.; Lindle, J.R.; Vurgaftman, I.; Meyer, J.R. Interband cascade laser operating to 269 K at λ = 4.05 μm. Electron. Lett. 2007, 43, 283–285. [Google Scholar] [CrossRef]
- Bewley, W.W.; Lindle, J.R.; Canedy, C.L.; Kim, M.; Kim, C.S.; Larrabee, D.C.; Vurgaftman, I.; Meyer, J.R. Gain, loss, and internal efficiency in interband cascade lasers emitting at λ = 3.6–4.1 μm. J. Appl. Phys. 2008, 103, 013114. [Google Scholar] [CrossRef]
- Kim, M.; Canedy, C.L.; Bewley, W.W.; Kim, C.S.; Lindle, J.R.; Abell, J.; Vurgaftman, I.; Meyer, J.R. Interband cascade laser emitting at λ = 3.75 μm in continuous wave above room temperature. Appl. Phys. Lett. 2008, 92, 191110. [Google Scholar] [CrossRef]
- Yang, R.Q.; Pei, S.S. Novel type-II quantum cascade lasers. J. Appl. Phys. 1996, 79, 8197–8203. [Google Scholar] [CrossRef]
- Olesberg, J.T.; Flatte, M.E. Theory of mid-wavelength infrared laser active regions: Intrinsic properties and design strategies, In Mid-Infrared Semiconductor Optoelectronics; Krier, A., Ed.; Springer: Berlin/Heidelberg, Germany, 2006. [Google Scholar]
- Vurgaftman, I.; Bewley, W.W.; Canedy, C.L.; Kim, C.S.; Kim, M.; Lindle, J.R.; Merritt, C.D.; Abell, J.; Meyer, J.R. Mid-IR type-II interband cascade lasers. IEEE J. Sel. Top. Quantum Electron. 2011, 17, 1435–1444. [Google Scholar] [CrossRef]
- Kim, J.K.; Hall, E.; Sjolund, O.; Coldren, L.A. Epitaxially-stacked multiple-active-region 1.55 mm lasers for increased differential efficiency. Appl. Phys. Lett. 1999, 74, 3251–3253. [Google Scholar] [CrossRef]
- Knodl, T.; Straub, A.; Golling, M.; Michalzik, R.; Ebeling, K.J. Scaling behavior of bipolar cascade VCSELs. IEEE Photonics Technol. Lett. 2001, 13, 930–932. [Google Scholar] [CrossRef]
- Getty, J.T.; Skogen, E.J.; Johansson, L.A.; Coldren, L.A. CW operation of 1.55-μm bipolar cascade laser with record differential efficiency, low threshold, and 50 Ω matching. IEEE Photonics Technol. Lett. 2003, 15, 1513–1515. [Google Scholar] [CrossRef]
- Sai-Halasz, G.A.; Tsu, R.; Esaki, L. A new semiconductor superlattice. Appl. Phys. Lett. 1977, 30, 651. [Google Scholar] [CrossRef]
- Vurgaftman, I.; Meyer, J.R.; Ram-Mohan, L.R. Band parameters for III-V compound semiconductors and their alloys. J. Appl. Phys. 2001, 89, 5815–5875. [Google Scholar] [CrossRef]
- Vurgaftman, I.; Bewley, W.W.; Canedy, C.L.; Kim, C.S.; Kim, M.; Merritt, C.D.; Abell, J.; Lindle, J.R.; Meyer, J.R. Rebalancing of internally generated carriers for mid-infrared interband cascade lasers with very low power consumption. Nat. Commun. 2011, 2, 585. [Google Scholar] [CrossRef]
- Flatté, M.E.; Grein, C.H.; Hasenberg, T.C.; Anson, S.A.; Jang, D.J.; Olesberg, J.T.; Boggess, T.F. Carrier recombination rates in narrow-gap InAs/GaIn1-xInxSb-based superlattices. Phys. Rev. B 1999, 59, 5745–5750. [Google Scholar] [CrossRef]
- Grein, C.H.; Flatté, M.E.; Olesberg, J.T.; Anson, S.A.; Zhang, L.; Boggess, T.F. Auger recombination in narrow-gap semiconductor superlattices incorporating antimony. J. Appl. Phys. 2002, 92, 7311–7316. [Google Scholar] [CrossRef]
- Vurgaftman, I.; Bewley, W.W.; Canedy, C.L.; Kim, C.S.; Kim, M.; Merritt, C.D.; Abell, J.; Meyer, J.R. Interband cascade lasers with low threshold powers and high output powers. IEEE J. Sel. Top. Quantum Electron. 2013, 19, 200210. [Google Scholar] [CrossRef]
- Weih, R.; Bauer, A.; Kamp, M.; Höfling, S. Interband cascade lasers with AlGaAsSb bulk cladding layers. Opt. Mater. Express 2013, 3, 1624–1631. [Google Scholar] [CrossRef]
- Diaz-Thomas, D.A.; Stepanenko, O.; Bahriz, M.; Calvez, S.; Tournie, E.; Baranov, A.N.; Almuneau, G.; Cerutti, L. Interband cascade Lasers with AlGaAsSb cladding layers emitting at 3.3 μm. Opt. Express 2019, 27, 31425–31434. [Google Scholar] [CrossRef]
- Yang, R.Q.; Li, L.; Huang, W.; Rassel, S.M.S.; Gupta, J.A.; Bezinger, A.; Wu, X.; Razavipour, S.G.; Aers, G.C. InAs-Based Interband Cascade Lasers. IEEE J. Sel. Top. Quantum Electron. 2019, 25, 1200108. [Google Scholar] [CrossRef]
- Canedy, C.L.; Abell, J.; Merritt, C.D.; Bewley, W.W.; Kim, C.S.; Vurgaftman, I.; Meyer, J.R.; Kim, M. Pulsed and CW Performance of 7-Stage Interband Cascade Lasers. Opt. Express 2014, 22, 7702–7710. [Google Scholar] [CrossRef] [PubMed]
- Akmanov, A.G.; Zhdanov, B.V.; Shakirov, B.G. Two-photon absorption of IR radiation and its optical saturation in n-type gallium antimonide. Quantum Electron. 1996, 26, 882–883. [Google Scholar] [CrossRef]
- Chandola, A.; Pino, R.; Dutta, P.S. Below-bandgap optical absorption in tellurium-doped GaSb. Semicond. Sci. Technol. 2005, 20, 886–893. [Google Scholar] [CrossRef]
- Arzhanov, E.V.; Bogatov, A.P.; Konyaev, V.P.; Nikitina, O.M.; Shveikin, V.I. Wave-guide properties of heterolasers based on quantum-well strained structures, in InGaAs/GaAs system and characteristic properties of their gain spectra. Kvant. Electron. 1994, 21, 633–639. [Google Scholar]
- O’Reilly, E.P.; Onischenko, A.I.; Avrutin, E.A.; Bhattacharya, D.; Marsh, J.H. Longitudinal mode grouping in InGaAs/GaAs/AlGaAs quantum dot lasers: Origin and means of control. Electron. Lett. 1998, 34, 2035–2037. [Google Scholar] [CrossRef]
- Bauer, A.; Dallner, M.; Kamp, M.; Höfling, S.; Worschech, L.; Forchel, A. Shortened injector interband cascade lasers for 3.3 to 3.6-μm emission. Opt. Eng. 2010, 49, 111117. [Google Scholar] [CrossRef]
- Weih, R.; Kamp, M.; Höfling, S. Interband cascade lasers with room temperature threshold current density below 100 A/cm2. Appl. Phys. Lett. 2013, 102, 231123. [Google Scholar] [CrossRef]
- Janiak, F.; Motyka, M.; Sek, G.; Dyksik, M.; Ryczko, K.; Misiewicz, J.; Weih, R.; Höfling, S.; Kamp, M.; Patriarche, G. Effect of arsenic on the optical properties of GaSb-based type II quantum wells with quaternary GaInAsSb layers. J. Appl. Phys. 2013, 114, 223510. [Google Scholar] [CrossRef]
- Motyka, M.; Dyksik, M.; Ryczko, K.; Weih, R.; Dallner, M.; Höfling, S.; Kamp, M.; Sek, G.; Misiewicz, J. Type-II quantum wells with tensile-strained GaAsSb layers for interband cascade lasers with tailored valence band mixing. Appl. Phys. Lett. 2016, 108, 101905. [Google Scholar] [CrossRef]
- Ryczko, K.; Sęk, G. Towards unstrained interband cascade lasers. Appl. Phys. Express 2018, 11, 012703. [Google Scholar] [CrossRef]
- Merritt, C.D.; Bewley, W.W.; Kim, C.S.; Canedy, C.L.; Vurgaftman, I.; Meyer, J.R.; Kim, M. Gain and Loss vs. Current Density and Temperature in Interband Cascade Lasers. Appl. Opt. 2015, 54, 1559. [Google Scholar] [CrossRef]
- Ikyo, B.A.; Marko, I.P.; Adams, A.R.; Sweeney, S.J.; Canedy, C.L.; Vurgaftman, I.; Kim, C.S.; Kim, M.; Bewley, W.W.; Meyer, J.R. Temperature dependence of 4.1 μm mid-infared type-II “W” interband cascade lasers. Appl. Phys. Lett. 2011, 99, 021102. [Google Scholar] [CrossRef]
- Vinnichenko, M.Y.; Vorobjev, L.E.; Firsov, D.A.; Mashko, M.O.; Balagula, R.M.; Belenky, G.; Shterengas, L.; Kipshidze, G. Dependence of the carrier concentration on the current in mid-infrared injection lasers with quantum wells. Semiconductors 2013, 47, 1513–1516. [Google Scholar] [CrossRef]
- Sweeney, S.J.; Eales, T.D.; Marko, I.P. The Physics of Mid-Infrared Semiconductor Materials and Heterostructures. In Mid-Infrared Optoelectronics: Materials, Devices, and Applications; Elsevier Ltd.: Amsterdam, The Netherlands, 2019; pp. 3–56. [Google Scholar]
- Lin, Y.; Li, L.; Huang, W.; Yang, R.Q.; Gupta, J.A.; Zheng, W. Quasi-Fermi level pinning in interband cascade lasers. IEEE J. Quantum Electron. 2020, 56, 2000810. [Google Scholar] [CrossRef]
- Forouhar, S.; Borgentun, C.; Frez, C.; Briggs, R.M.; Bagheri, M.; Canedy, C.L.; Kim, C.S.; Kim, M.; Bewley, W.W.; Merritt, C.D.; et al. Reliable Mid-Infrared Laterally-Coupled Distributed-Feedback Interband Cascade Lasers. Appl. Phys. Lett. 2014, 105, 051110. [Google Scholar] [CrossRef]
- Canedy, C.L.; Warren, M.V.; Merritt, C.D.; Bewley, W.W.; Kim, C.S.; Kim, M.; Vurgaftman, I.; Meyer, J.R. Interband Cascade Lasers with Longer Wavelengths. Proc. SPIE 2017, 10111, 10111G. [Google Scholar]
- Bewley, W.W.; Canedy, C.L.; Kim, C.S.; Kim, M.; Merritt, C.D.; Abell, J.; Vurgaftman, I.; Meyer, J.R. High-power room-temperature continuous-wave mid-infrared interband cascade lasers. Opt. Express 2012, 20, 20894–20901. [Google Scholar] [CrossRef]
- Bewley, W.W.; Canedy, C.L.; Kim, C.S.; Kim, M.; Merritt, C.D.; Abell, J.; Vurgaftman, I.; Meyer, J.R. Continuous-wave interband cascade lasers operating above room temperature at λ = 4.7–5.6 μm. Opt. Express 2012, 20, 3235–3240. [Google Scholar] [CrossRef]
- Tian, Z.; Li, L.; Hao, Y.; Yang, R.Q.; Mishima, T.D.; Santos, M.B.; Johnson, M.B. InAs-based interband cascade lasers with emission wavelength at 10.4 µm. Electron. Lett. 2012, 48, 113. [Google Scholar] [CrossRef]
- Li, L.; Jiang, J.C.; Ye, H.; Yang, R.Q.; Mishima, T.D.; Santos, M.B.; Johnson, M.B. Low-threshold InAs-based interband cascade lasers operating at high temperatures. Appl. Phys. Lett. 2015, 106, 251102. [Google Scholar] [CrossRef]
- Tian, Z.B.; Jiang, Y.C.; Li, L.; Hinkey, R.T.; Yin, Z.W.; Yang, R.Q.; Mishima, T.D.; Santos, M.B.; Johnson, M.B. InAs-based mid-infrared interband cascade lasers near 5.3 µm. IEEE J. Quantum Electron. 2012, 48, 915. [Google Scholar] [CrossRef]
- Rassel, S.M.S.; Li, L.; Li, Y.; Yang, R.Q.; Gupta, J.A.; Wu, X.; Aers, G.C. High-temperature and low-threshold interband cascade lasers at wavelengths longer than 6 μm. Opt. Eng. 2018, 57, 011021. [Google Scholar]
- Dallner, M.; Hau, R.; Höfling, S.; Kamp, M. InAs-based interband-cascade-lasers emitting around 7 µm with threshold current densities below 1 kA/cm2 at room temperature. Appl. Phys. Lett. 2015, 106, 041108. [Google Scholar] [CrossRef]
- Dallner, M.; Scheuermann, J.; Nähle, L.; Fischer, M.; Koeth, J.; Höfling, S.; Kamp, M. InAs-based distributed feedback interband cascade lasers. Appl. Phys. Lett. 2015, 107, 181105. [Google Scholar] [CrossRef]
- Kim, M.; Kim, C.S.; Bewley, W.W.; Merritt, C.D.; Canedy, C.L.; Abell, J.; Vurgaftman, I.; Meyer, J.R. Interband Cascade Lasers with High CW Power and Brightness. Proc. SPIE 2015, 9370, 937029. [Google Scholar]
- Kim, C.S.; Bewley, W.W.; Kim, M.; Merritt, C.D.; Canedy, C.L.; Abell, J.; Vurgaftman, I.; Meyer, J.R. Approach and Method for Epitaxial-Side-Down Mounting of High-Power Semiconductor Lasers with High Yield. U.S. Patent 8,879,593, 4 November 2014. [Google Scholar]
- Borca-Tasciuc, T.; Song, D.W.; Meyer, J.R.; Vurgaftman, I.; Yang, M.J.; Nosho, B.Z.; Whitman, L.J.; Lee, H.; Martinelli, R.U.; Turner, G.W.; et al. Thermal conductivity of of AlAs0.07Sb0.93 and Al0.9Ga0.1As0.07Sb0.93 alloys and (AlAs)1/(AlSb)11 digital-alloy superlattices. J. Appl. Phys. 2002, 92, 4994–4998. [Google Scholar] [CrossRef]
- Zhou, C.; Cui, B.; Vurgaftman, I.; Canedy, C.L.; Kim, C.S.; Kim, M.; Bewley, W.W.; Merritt, C.D.; Abell, J.; Meyer, J.R.; et al. Thermal conductivity tensors of the cladding and active layers of antimonide infrared lasers and detectors. Opt. Mater. Express 2013, 3, 1632–1640. [Google Scholar] [CrossRef]
- Zhou, C.; Vurgaftman, I.; Canedy, C.L.; Kim, C.S.; Kim, M.; Bewley, W.W.; Merritt, C.D.; Abell, J.; Meyer, J.R.; Grayson, M. Thermal conductivity tensors of the cladding and active layers of interband cascade lasers. Appl. Phys. Lett. 2014, 105, 261905. [Google Scholar] [CrossRef]
- Kim, C.S.; Kim, M.; Bewley, W.W.; Lindle, J.R.; Canedy, C.L.; Abell, J.; Vurgaftman, I.; Meyer, J.R. Corrugated-sidewall interband cascade lasers with single-mode midwave-infrared emission at room temperature. Appl. Phys. Lett. 2009, 95, 231103. [Google Scholar] [CrossRef]
- Kim, M.; Kim, C.S.; Canedy, C.L.; Bewley, W.W.; Merritt, C.D.; Vurgaftman, I.; Meyer, J.R. Interband Cascade Lasers with Sidewall Corrugations for Enhanced Brightness. Proc. SPIE 2019, 10939, 109390X. [Google Scholar]
- Kim, M.; Bewley, W.W.; Canedy, C.L.; Kim, C.S.; Merritt, C.D.; Abell, J.; Vurgaftman, I.; Meyer, J.R. High-power continuous-wave interband cascade lasers with 10 active stages. Opt. Express 2015, 23, 9664–9672. [Google Scholar] [CrossRef]
- Walpole, J.N.; Kintzer, E.S.; Chinn, S.R.; Wang, C.A.; Missaggia, L.J. High-power strained-layer InGaAs/AlGaAs tapered traveling-wave amplifier. Appl. Phys. Lett. 1992, 61, 740–741. [Google Scholar] [CrossRef]
- Walpole, J.N. Semiconductor amplifiers and lasers with tapered gain regions. Opt. Quantum Electron. 1996, 18, 623–645. [Google Scholar] [CrossRef]
- Bewley, W.W.; Kim, C.S.; Canedy, C.L.; Merritt, C.D.; Vurgaftman, I.; Abell, J.; Meyer, J.R.; Kim, M. High-power, high-brightness continuous-wave interband cascade lasers with tapered ridges. Appl. Phys. Lett. 2013, 103, 111111. [Google Scholar] [CrossRef]
- Kim, C.S.; Kim, M.; Bewley, W.W.; Lindle, J.R.; Canedy, C.L.; Nolde, J.A.; Larrabee, D.C.; Vurgaftman, I.; Meyer, J.R. Broad-stripe, single-mode mid-IR interband cascade laser with photonic-crystal distributed-feedback grating. Appl. Phys. Lett. 2008, 92, 071110. [Google Scholar] [CrossRef]
- Kim, C.S.; Kim, M.; Abell, J.; Bewley, W.W.; Merritt, C.D.; Canedy, C.L.; Vurgaftman, I.; Meyer, J.R. Mid-infrared distributed-feedback interband cascade lasers with continuous-wave single-mode emission to 80 °C. Appl. Phys. Lett. 2012, 101, 061104. [Google Scholar] [CrossRef]
- Interband Cascade Laser. Available online: https://nanoplus.com/en/products/distributed-feedback-lasers/distributed-feedback-lasers-3000-nm-6000-nm/ (accessed on 12 September 2020).
- Scheuermann, J.; von Edlinger, M.; Weih, R.; Becker, S.; Nähle, L.; Fischer, M.; Koeth, J.; Kamp, M.; Höfling, S. Single-mode interband cascade laser sources for mid-infrared spectroscopic applications. Proc. SPIE 2016, 9855, 98550G. [Google Scholar]
- Koeth, J.; Weih, R.; Scheuermann, J.; Fischer, M.; Schade, A.; Kamp, M.; Höfling, S. Mid infrared DFB interband cascade lasers. Proc. SPIE 2017, 10403, 1040308. [Google Scholar]
- Scheuermann, J.; Weih, R.; von Edlinger, M.; Nähle, L.; Fischer, M.; Koeth, J.; Kamp, M.; Höfling, S. Single-mode interband cascade lasers emitting below 2.8 µm. Appl. Phys. Lett. 2015, 106, 161103. [Google Scholar] [CrossRef]
- Von Edlinger, M.; Scheuermann, J.; Weih, R.; Zimmermann, C.; Nähle, L.; Fischer, M.; Koeth, J.; Höfling, S.; Kamp, M. Monomode interband cascade lasers at 5.2 µm for nitric oxide sensing. IEEE Photonics Technol. Lett. 2014, 26, 480–482. [Google Scholar] [CrossRef]
- Von Edlinger, M.; Weih, R.; Scheuermann, J.; Nähle, L.; Fischer, M.; Koeth, J.; Kamp, M.; Höfling, S. Monolithic single mode interband cascade lasers with wide wavelength tunability. Appl. Phys. Lett. 2016, 109, 201109. [Google Scholar] [CrossRef]
- Borgentun, C.; Frez, C.; Briggs, R.M.; Fradet, M.; Forouhar, S. Single-mode high-power interband cascade lasers for mid-infrared absorption spectroscopy. Opt. Express 2015, 23, 2446–2450. [Google Scholar] [CrossRef] [PubMed]
- Xie, F.; Stocker, M.; Pham, J.; Towner, F.; Shen, K.; Wang, J.; Lascola, L. Distributed feedback interband cascade lasers with top grating and corrugated sidewalls. Appl. Phys. Lett. 2018, 112, 131102. [Google Scholar] [CrossRef]
- Merritt, C.D.; Bewley, W.W.; Canedy, C.L.; Kim, C.S.; Kim, M.; Warren, M.V.; Vurgaftman, I.; Meyer, J.R. Distributed-Feedback Interband Cascade Lasers with Reduced Contact Duty Cycles. Proc. SPIE 2016, 9855, 98550C. [Google Scholar]
- Caffey, D.; Day, T.; Kim, C.S.; Kim, M.; Vurgaftman, I.; Bewley, W.W.; Lindle, J.R.; Canedy, C.L.; Abell, J.; Meyer, J.R. Performance characteristics of a continuous wave compact widely tunable external cavity interband cascade lasers. Opt. Express 2010, 18, 15691–15696. [Google Scholar] [CrossRef]
- Tsai, T.R.; Trofimov, I.; Heaps, C.W.; Maiorov, M.; Zeidel, V.; Kim, C.S.; Kim, M.; Canedy, C.L.; Bewley, W.W.; Lindle, J.R.; et al. Widely Tunable External Cavity Interband Cascade Laser for Spectroscopic Applications. In Proceedings of the Conference on Lasers and Electro-Optics, Lake Buena Vista, FL, USA, 21–25 October 2007. [Google Scholar]
- Yang, H.; Yang, R.Q.; Gong, J.; He, J.J. Mid-infrared widely tunable single-mode interband cascade lasers based on V-coupled cavities. Opt. Lett. 2020, 45, 2700–2703. [Google Scholar] [CrossRef]
- Kurtz, S.R.; Allerman, A.A.; Biefeld, R.M.; Baucom, K.C. High slope efficiency “Cascaded” midinfrared lasers with type I InAsSb quantum wells. Appl. Phys. Lett. 1998, 72, 2093–2095. [Google Scholar] [CrossRef]
- Sanchez, D.; Cerutti, L.; Tournié, E. Mid-IR GaSb-Based Bipolar Cascade VCSELs. IEEE Photonics Technol. Lett. 2013, 25, 882–884. [Google Scholar] [CrossRef]
- Shterengas, L.; Liang, R.; Kipshidze, G.; Hosoda, T.; Suchalkin, S.; Belenky, G. Type-I quantum-well cascade diode lasers emitting near 3 µm. Appl. Phys. Lett. 2013, 103, 121108. [Google Scholar] [CrossRef]
- Jiang, Y.; Li, L.; Yang, R.Q.; Gupta, J.A.; Aers, G.C.; Dupont, E.; Baribeau, J.-M.; Wu, X.; Johnson, M.B. Type-I interband cascade lasers near 3.2 µm. Appl. Phys. Lett. 2015, 106, 041117. [Google Scholar] [CrossRef]
- Shterengas, L.; Kipshidze, G.; Hosoda, T.; Liang, R.; Feng, T.; Wang, M.; Stein, A.; Belenky, G. Cascade Pumping of 1.9–3.3 μm Type-I Quantum Well GaSb-Based Diode Lasers. IEEE J. Sel. Top. Quantum Electron. 2017, 23, 1500708. [Google Scholar] [CrossRef]
- Shterengas, L.; Liang, R.; Kipshidze, G.; Hosoda, T.; Belenky, G.; Bowman, S.S.; Tober, R.L. Cascade type-I quantum well diode lasers emitting 960mW near 3 µm. Appl. Phys. Lett. 2014, 105, 161112. [Google Scholar] [CrossRef]
- Hosoda, T.; Feng, T.; Shterengas, L.; Kipshidze, G.; Belenky, G. High power cascade diode lasers emitting near 2 µm. Appl. Phys. Lett. 2016, 108, 131109. [Google Scholar] [CrossRef]
- Hosoda, T.; Fradet, M.; Frez, C.; Shterengas, L.; Sander, S.; Forouhar, S.; Belenky, G. Laterally coupled distributed feedback cascade diode lasers emitting near 2.9 μm. Electron. Lett. 2016, 52, 857–859. [Google Scholar] [CrossRef]
- Wang, M.; Hosoda, T.; Shterengas, L.; Kipshidze, G.; Lu, M.; Stein, A.; Belenky, G. External cavity cascade diode lasers tunable from 3.05 to 3.25 μm. Opt. Eng. 2018, 57, 011012. [Google Scholar] [CrossRef]
- Chichkov, N.B.; Yadav, A.; Zherebtsov, E.; Wang, M.; Kipshidze, G.; Belenky, G.; Shterengas, L.; Rafailov, E.U. Wavelength-Tunable, GaSb-Based, Cascaded Type-I Quantum-Well Laser Emitting Over a Range of 300 nm. IEEE Photonics Technol. Lett. 2018, 30, 1941–1943. [Google Scholar] [CrossRef]
- Bewley, W.W.; Felix, C.L.; Vurgaftman, I.; Aifer, E.H.; Meyer, J.R.; Goldberg, L.; Lindle, J.R.; Chow, D.H.; Selvig, E. Continuous-Wave Mid-Infrared VCSELs. IEEE Photonics Technol. Lett. 1998, 10, 660. [Google Scholar] [CrossRef]
- Hadji, E.; Bleuse, J.; Magnea, N.; Pautrat, J.L. Photopumped infrared vertical-cavity surface-emitting laser. Appl. Phys. Lett. 1996, 68, 2480–2482. [Google Scholar] [CrossRef]
- Felix, C.L.; Bewley, W.W.; Vurgaftman, I.; Lindle, J.R.; Meyer, J.R.; Wu, H.Z.; Xu, G.; Khosravani, S.; Shi, Z. Low-Threshold Optically-Pumped λ = 4.4 μm Vertical-Cavity Surface-Emitting Laser with PbSe Quantum Well Active Region. Appl. Phys. Lett. 2001, 78, 3770–3772. [Google Scholar] [CrossRef]
- Zhao, F.; Wu, H.; Majumdar, A.; Shi, Z. Continuous wave optically pumped lead-salt mid-infrared quantum-well vertical-cavity surface-emitting lasers. Appl. Phys. Lett. 2003, 83, 5133–5135. [Google Scholar] [CrossRef]
- Arafin, S.; Bachmann, A.; Amann, M.-C. Transverse-Mode Characteristics of GaSb-Based VCSELs with Buried-Tunnel Junctions. IEEE J. Sel. Top. Quantum Electron. 2011, 17, 1576–1583. [Google Scholar] [CrossRef]
- Sprengel, S.; Andrejew, A.; Federer, F.; Veerabathran, G.K.; Boehm, G.; Amann, M.-C. InP-Based Vertical-Cavity Surface-Emitting Lasers with Type-II Quantum Wells. Appl. Phys. Lett. 2015, 106, 151102. [Google Scholar] [CrossRef]
- Andrejew, A.; Sprengel, S.; Amann, M.-C. GaSb-based vertical-cavity surface-emitting lasers with an emission wavelength at 3 μm. Opt. Lett. 2016, 41, 2799–2802. [Google Scholar] [CrossRef] [PubMed]
- Bewley, W.W.; Canedy, C.L.; Warren, M.V.; Kim, C.S.; Merritt, C.D.; Vurgaftman, I.; Meyer, J.R.; Kim, M. Room-temperature Mid-Infrared Interband Cascade Vertical-Cavity Surface-Emitting Laser. Appl. Phys. Lett. 2016, 99, 151108. [Google Scholar] [CrossRef]
- Veerabathran, G.K.; Sprengel, S.; Andrejew, A.; Amann, M.-C. Room-temperature vertical-cavity surface-emitting lasers at 4 µm with GaSb-based type-II quantum wells. Appl. Phys. Lett. 2017, 110, 071104. [Google Scholar] [CrossRef]
- Jayaraman, V.; Kolasa, B.; Lindblad, C.; Cazabat, A.; Burgner, C.; Segal, S.; Lascola, K.; Towner, F.; Xie, F. Tunable room-temperature continuous-wave mid-infrared VCSELs. Proc. SPIE 2020, 11300, 113000M. [Google Scholar]
- Colombelli, R.; Srinivasan, K.; Troccoli, M.; Painter, O.; Gmachl, C.F.; Tennant, D.M.; Sergent, A.M.; Sivco, D.L.; Cho, A.Y.; Capasso, F. Quantum Cascade Surface-Emitting Photonic Crystal Laser. Science 2003, 302, 1374–1377. [Google Scholar] [CrossRef]
- Kim, M.; Kim, C.S.; Bewley, W.W.; Lindle, J.R.; Canedy, C.L.; Vurgaftman, I.; Meyer, J.R. Surface-emitting photonic-crystal distributed-feedback laser. Appl. Phys. Lett. 2006, 88, 191105. [Google Scholar] [CrossRef]
- Holzbauer, M.; Szedlak, R.; Detz, H.; Weih, R.; Höfling, S.; Schrenk, W.; Koeth, J.; Strasser, G. Substrate-emitting ring interband cascade lasers. Appl. Phys. Lett. 2017, 111, 171101. [Google Scholar] [CrossRef]
- Knötig, H.; Hinkov, B.; Weih, R.; Höfling, S.; Koeth, J.; Strasser, G. Continuous-wave operation of vertically emitting ring interband cascade lasers at room temperature. Appl. Phys. Lett. 2020, 116, 131101. [Google Scholar] [CrossRef]
- Schiller, S. Spectrometry with frequency combs. Opt. Lett. 2002, 27, 766–768. [Google Scholar] [CrossRef]
- Coddington, I.; Newbury, N.R.; Swann, W.C. Dual-comb spectroscopy. Optica 2016, 3, 414–426. [Google Scholar] [CrossRef]
- Udem, T.; Holzwarth, R.; Hänsch, T.W. Optical frequency metrology. Nature 2002, 416, 233–237. [Google Scholar] [CrossRef] [PubMed]
- Diddams, S.A.; Udem, T.; Bergquist, J.C.; Curtis, E.A.; Drullinger, R.E.; Hollberg, L.; Itano, W.M.; Lee, W.E.; Oates, C.W.; Vogel, K.R.; et al. An optical clock based on a single trapped 199Hg+ ion. Science 2001, 293, 825–828. [Google Scholar] [CrossRef]
- Reid, D.T.; Gale, B.J.S.; Sun, J. Frequency comb generation and carrier-envelope phase control in femtosecond optical parametric oscillators. Laser Phys. 2008, 18, 87–103. [Google Scholar] [CrossRef]
- Schliesser, A.; Picqué, N.; Hänsch, T.W. Mid-infrared frequency combs. Nat. Photonics 2012, 6, 440–449. [Google Scholar] [CrossRef]
- Hugi, A.; Villares, G.; Blaser, S.; Liu, H.C.; Faist, J. Mid-infrared frequency comb based on a quantum cascade laser. Nature 2012, 492, 229–232. [Google Scholar] [CrossRef] [PubMed]
- Bagheri, M.; Frez, C.; Sterczewski, L.A.; Gruidin, I.; Fradet, M.; Vurgaftman, I.; Canedy, C.L.; Bewley, W.W.; Merritt, C.D.; Kim, C.S.; et al. Passively Mode-Locked Interband Cascade Optical Frequency Combs. Sci. Rep. 2018, 8, 3322. [Google Scholar] [CrossRef] [PubMed]
- Schwarz, B.; Hillbrand, J.; Beiser, M.; Andrews, A.M.; Strasser, G.; Detz, H.; SCHADE, A.; Weih, R.; Höfling, S. Monolithic frequency comb platform based on interband cascade lasers and detectors. Optica 2019, 6, 890–895. [Google Scholar] [CrossRef]
- Hillbrand, J.; Beiser, M.; Andrews, A.M.; Detz, H.; Weih, R.; Schade, A.; Höfling, S.; Strasser, G.; Schwarz, B. Picosecond pulses from a mid-infrared interband cascade laser. Optica 2019, 10, 1334–1337. [Google Scholar] [CrossRef]
- Sterczewski, L.A.; Westberg, J.; Bagheri, M.; Frez, C.; Vurgaftman, I.; Canedy, C.L.; Bewley, W.W.; Merritt, C.D.; Kim, C.S.; Kim, M.; et al. Mid-Infrared Dual-Comb Spectroscopy with Low Drive-Power On-Chip Sources. Opt. Lett. 2019, 44, 2113. [Google Scholar] [CrossRef] [PubMed]
- Sterczewski, L.A.; Westberg, J.; Patrick, C.L.; Kim, C.S.; Kim, M.; Canedy, C.L.; Bewley, W.W.; Merritt, C.D.; Vurgaftman, I.; Meyer, J.R.; et al. Multiheterodyne Spectroscopy Using Interband Cascade Lasers. Opt. Eng. 2018, 57, 011014. [Google Scholar]
- Sterczewski, L.A.; Bagheri, M.; Frez, C.; Canedy, C.L.; Vurgaftman, I.; Kim, M.; Kim, C.S.; Merritt, C.D.; Bewley, W.W.; Meyer, J.R. Near-Infrared Frequency Comb Generation in Mid-Infrared Interband Cascade Lasers. Opt. Lett. 2019, 44, 5828–5831. [Google Scholar] [CrossRef]
- Sterczewski, L.A.; Bagheri, M.; Frez, C.; Canedy, C.L.; Vurgaftman, I.; Meyer, J.R. Mid-Infrared Dual-Comb Spectroscopy with Room-Temperature Bi-Functional Interband Cascade Lasers and Detectors. Appl. Phys. Lett. 2020, 116, 141102. [Google Scholar] [CrossRef]
- Bagheri, M.; Meyer, J.R.; Canedy, C.L.; Warren, M.V.; Kim, C.S.; Bewley, W.W. Interband Cascade Frequency Comb Devices. In Proceedings of the IEEE Summer Topical Meeting on Mid-Infrared Optoelectronics in Silicon and Emerging Materials, Ft. Lauderdale, FL, USA, 8–10 July 2019. [Google Scholar]
- Meyer, J.R.; Vurgaftman, I.; Canedy, C.L.; Bewley, W.W.; Kim, C.S.; Merritt, C.D.; Warren, M.V.; Weiblen, R.J.; Kim, M. Highly Stable Semiconductor Lasers and Sensors for III-V and Silicon Photonic Integrated Circuits. U.S. Patent 16/509613, 12 July 2019. [Google Scholar]
- Burghoff, D.; Kao, T.-Y.; Han, N.; Chan, C.W.I.; Cai, X.; Yang, Y.; Hayton, D.J.; Gao, J.-R.; Reno, J.L.; Hu, Q. Terahertz laser frequency combs. Nat. Photonics 2014, 8, 462–467. [Google Scholar] [CrossRef]
- Feng, T.; Shterengas, L.; Hosoda, T.; Belyanin, A.; Kipshidze, G. Passive Mode-Locking of 3.25 μm GaSb-Based Cascade Diode Lasers. ACS Photonics 2018, 5, 4978–4985. [Google Scholar] [CrossRef]
- Krier, A.; Repiso, E.; Al-Saymari, F.; Carrington, P.J.; Marshall, A.R.J.; Qi, L.; Krier, S.E.; Lulla, K.J.; Steer, M.; MacGregor, C.; et al. Midinfrared light-emitting diodes. In Mid-Infrared Optoelectronics; Tournié, E., Cerutti, L., Eds.; Woodhead Publishing: Shaston, UK, 2019. [Google Scholar]
- Zheng, H.; Lou, M.; Dong, L.; Wu, H.; Ye, W.; Yin, S.; Kim, C.S.; Kim, M.; Bewley, W.W.; Merritt, C.D.; et al. Compact photoacoustic module for methane detection incorporating interband cascade light emitting device. Opt. Express 2017, 25, 16761–16770. [Google Scholar] [CrossRef]
- Ch’ien, L.-B.; Wang, Y.-J.; Shi, A.-C.; Wang, X.; Bai, J.; Wang, L.; Li, F. Noise Suppression: Empirical Decomposition in Non-Dispersive Infrared Gas Detection Systems. Infrared Phys. Technol. 2020, 108, 103335. [Google Scholar] [CrossRef]
- Norton, D.T.; Olesberg, J.T.; McGee, R.T.; Waite, N.A.; Dickason, J.; Goossen, K.W.; Lawler, J.; Sullivan, G.; Ikhlassi, A.; Kiamilev, F.; et al. 512 × 512 Individually Addressable MWIR LED Arrays Based on Type-II InAs/GaSb Superlattices. IEEE J. Quantum Electron. 2013, 49, 753–759. [Google Scholar] [CrossRef]
- Baranov, A.N.; Imenkov, A.N.; Kapranchik, O.P.; Negreskul, V.V.; Chernyavskii, A.G.; Sherstnev, V.V.; Yakovlev, Y.P. Long-wavelength light-emitting diodes, based on InAsSbP/InAs heterostructures (λ = 3.0–4.8 µm) at 300 K with wide-gap window. Pisma Z. Tekh. Fiz. 1990, 16, 42–47. [Google Scholar]
- Krier, A.; Sherstnev, V.V. Powerful interface light emitting diodes for methane gas detection. J. Phys. D 2000, 33, 101. [Google Scholar] [CrossRef]
- Yang, R.Q.; Lin, C.-H.; Chang, P.C.; Murry, S.J.; Zhang, D.; Pei, S.S.; Kurtz, S.R.; Chu, S.N.G.; Ren, F. Mid-IR interband cascade electroluminescence in type-II quantum well. Electron. Lett. 1996, 32, 1621. [Google Scholar] [CrossRef]
- Yang, R.Q.; Lin, C.-H.; Murry, S.J.; Pei, S.S.; Liu, H.C.; Dupont, E.; Buchanan, M. Interband cascade light emitting diodes in the 5-8 µm spectrum region. Appl. Phys. Lett. 1997, 70, 2013. [Google Scholar] [CrossRef]
- Zhang, D.; Dupont, E.; Yang, R.Q.; Liu, H.C.; Lin, C.-H.; Buchanan, M.; Pei, S.S. Long-wavelength infrared (~10–15 mm) Electroluminescence from Sb-based interband cascade devices. Opt. Express 1997, 1, 97–101. [Google Scholar] [CrossRef]
- Das, N.C.; Olver, K.; Towner, F.; Simonis, G.; Shen, H. Infrared (3.8 µm) interband cascade light-emitting diode array with record high efficiency. Appl. Phys. Lett. 2005, 87, 041105. [Google Scholar] [CrossRef]
- Das, N.C. Increase in midwave infrared light emitting diode light output due to substrate thinning and texturing. Appl. Phys. Lett. 2007, 90, 011111. [Google Scholar] [CrossRef]
- Das, N.C. Enhanced Performance of LWIR LED Devices by Backside Thinning and Isolating the Pixels. IEEE Trans. Electron Devices 2012, 59, 1209–1211. [Google Scholar] [CrossRef]
- Das, N.C. Nano-plasmon enhancement effect on MWIR light emitting diode performance. Infrared Phys. Technol. 2012, 55, 166–169. [Google Scholar] [CrossRef]
- Koerperick, E.J.; Olesberg, J.T.; Hicks, J.L.; Prineas, J.P.; Boggess, T.F., Jr. Active Region Cascading for Improved Performance in InAs–GaSb Superlattice LEDs. IEEE J. Quantum Electron. 2008, 44, 1242–1247. [Google Scholar] [CrossRef]
- Koerperick, E.J.; Olesberg, J.T.; Hicks, J.L.; Prineas, J.P.; Boggess, T.F., Jr. High-Power MWIR Cascaded InAs–GaSb Superlattice LEDs. IEEE J. Quantum Electron. 2009, 45, 849–1247. [Google Scholar] [CrossRef]
- Koerperick, E.J.; Norton, D.T.; Olesberg, J.T.; Olson, B.V.; Prineas, J.P.; Boggess, T.F. Cascaded Superlattice InAs/GaSb Light-Emitting Diodes for Operation in the Long-Wave Infrared. IEEE J. Quantum Electron. 2011, 47, 50–54. [Google Scholar] [CrossRef]
- Ricker, R.J.; Provence, S.R.; Norton, D.T.; Boggess, T.F., Jr.; Prineas, J.P. Broadband mid-infrared superlattice light-emitting diodes. J. Appl. Phys. 2017, 121, 185701. [Google Scholar] [CrossRef]
- Aziz, M.; Xie, C.; Pusino, V.; Khalid, A.; Steer, M.; Thayne, I.G.; Cumming, D.R.S. Multispectral mid-infrared light emitting diodes on a GaAs substrate. Appl. Phys. Lett. 2017, 111, 102102. [Google Scholar] [CrossRef]
- Abell, J.; Kim, C.S.; Bewley, W.W.; Merritt, C.D.; Canedy, C.L.; Vurgaftman, I.; Meyer, J.R.; Kim, M. Mid-Infrared Interband Cascade Light Emitting Devices with Milliwatt Output Powers at Room Temperature. Appl. Phys. Lett. 2014, 104, 261103. [Google Scholar] [CrossRef]
- Kim, C.S.; Bewley, W.W.; Merritt, C.D.; Canedy, C.L.; Warren, M.V.; Vurgaftman, I.; Meyer, J.R. Improved Mid-Infrared Interband Cascade Light Emitting Devices. Opt. Eng. 2018, 57, 011002. [Google Scholar] [CrossRef]
- Merritt, C.D.; Kim, C.S.; Kim, M.; Canedy, C.L.; Bewley, W.W.; Warren, M.V.; Vurgaftman, I.; Meyer, J.R. Effects of ion bombardment on interband cascade laser structures. Proc. SPIE 2020, 11288, 12881N. [Google Scholar]
- Schäfer, N.; Scheuermann, J.; Weih, R.; Koeth, J.; Höfling, S. High efficiency mid-infrared interband cascade LEDs grown on low absorbing substrates emitting >5 mW of output power. Opt. Eng. 2019, 58, 117106. [Google Scholar] [CrossRef]
- Ermolaev, M.; Lin, Y.; Shterengas, L.; Hosoda, T.; Kipshidze, T.; Suchalkin, S.; Belenky, G. GaSb-Based Type-I Quantum Well 3–3.5-μm Cascade Light Emitting Diodes. IEEE Photonics Technol. Lett. 2018, 30, 869–872. [Google Scholar] [CrossRef]
- Wassweiler, E.; Toor, F. Gallium antimonide texturing for enhanced light extraction from infrared optoelectronics devices. AIP Adv. 2016, 6, 065018. [Google Scholar] [CrossRef]
- Al-Saymari, F.A.; Craig, A.P.; Noori, Y.J.; Lu, Q.; Marshall, A.R.J.; Krier, A. Electroluminescence enhancement in mid-infrared InAsSb resonant cavity light emitting diodes for CO2 detection. Appl. Phys. Lett. 2019, 114, 171103. [Google Scholar] [CrossRef]
- Zia, N.; Viheriälä, J.; Koivusalo, E.; Suomalainen, S.; Guina, M. GaSb superluminescent diodes with broadband emission at 2.55 µm. Appl. Phys. Lett. 2018, 112, 051106. [Google Scholar] [CrossRef]
- Gendron, L.; Carras, M.; Huynh, A.; Ortiz, V.; Koeniguer, C.; Berger, V. Quantum cascade photodetector. Appl. Phys. Lett. 2004, 85, 2824–2826. [Google Scholar] [CrossRef]
- Li, J.V.; Yang, R.Q.; Hill, C.J.; Chuang, S.L. Interband cascade detectors with room temperature photovoltaic operation. Appl. Phys. Lett. 2005, 86, 101102. [Google Scholar] [CrossRef]
- Yang, R.Q.; Tian, Z.; Cai, Z.; Klem, J.F.; Johnson, M.B.; Liu, H.C. Interband cascade infrared photodetectors with superlattice absorbers. J. Appl. Phys. Lett. 2010, 107, 054514. [Google Scholar] [CrossRef]
- Tian, Z.; Hinkey, R.T.; Yang, R.Q.; Lubyshev, D.; Qiu, Y.; Fastenau, J.M.; Liu, W.K.; Johnson, M.B. Interband cascade infrared photodetectors with enhanced electron barriers and p-type superlattice absorbers. J. Appl. Phys. 2012, 111, 024510. [Google Scholar] [CrossRef]
- Hinkey, R.T.; Yang, R.Q. Theory of multiple-stage interband photovoltaic devices and ultimate performance limit comparison of multiple-stage and single-stage interband infrared detectors. J. Appl. Phys. 2013, 114, 104506. [Google Scholar] [CrossRef]
- Ye, H.; Li, L.; Lotfi, H.; Lei, L.; Yang, R.Q.; Keay, J.C.; Mishima, T.D.; Santos, M.B.; Johnson, M.B. Molecular beam epitaxy of interband cascade structures with InAs/GaSb superlattice absorbers for long-wavelength infrared detection. Semicond. Sci. Technol. 2015, 30, 105029. [Google Scholar] [CrossRef]
- Huang, W.; Lei, L.; Li, L.; Massengale, J.A.; Yang, R.Q.; Mishima, T.D.; Santos, M.B. Current-matching versus non-current-matching in long wavelength interband cascade infrared photodetectors. J. Appl. Phys. 2017, 122, 083102. [Google Scholar] [CrossRef]
- Huang, W.; Rassel, S.M.S.; Li, L.; Massengale, J.A.; Yang, R.Q.; Mishima, T.D.; Santos, M.B. A unified figure of merit for interband and intersubband cascade devices. Infrared Phys. Technol. 2019, 96, 298–302. [Google Scholar] [CrossRef]
- Gautam, N.; Myers, S.; Barve, A.V.; Klein, B.; Smith, E.P.; Rhiger, D.R.; Dawson, L.R.; Krishna, S. High operating temperature interband cascade midwave infrared detector based on type-II InAs/GaSb strained layer superlattice. Appl. Phys. Lett. 2012, 101, 021106. [Google Scholar] [CrossRef]
- Tian, Z.-B.; Schuler-Sandy, T.; Krishna, S. Dark current in antimony-based mid-infrared interband cascade infrared photodetectors. Infrared Phys. Technol. 2015, 70, 44–47. [Google Scholar] [CrossRef]
- Pfenning, A.; Knebl, G.; Schade, A.; Weih, R.; Bader, A.; Meyer, M.; Krüger, S.; Rothmayr, F.; Kistner, C.; Koeth, J.; et al. Mid-Infrared Detectors based on Resonant Tunneling Diodes and Interband Cascade Structures. SPIE Proc. 2018, 10765, 107650U. [Google Scholar]
- Hackiewicz, K.; Kopytko, M.; Rutkowski, J.; Martyniuk, P.; Ciura, L. Influence of GaAs and GaSb substrates on detection parameters of InAs/GaSb superlattice-based mid-infrared interband cascade photodetectors. Appl. Opt. 2020, 59, E42–E47. [Google Scholar] [CrossRef]
- Chen, Y.; Chai, X.; Xie, Z.; Deng, Z.; Zhang, N.; Zhou, Y.; Xu, Z.; Chen, J.; Chen, B. High-Speed Mid-Infrared Interband Cascade Photodetector Based on InAs/GaAsSb Type-II Superlattice. J. Lightwave Technol. 2020, 38, 939–945. [Google Scholar] [CrossRef]
- Lotfi, H.; Hinkey, R.T.; Li, L.; Yang, R.Q.; Klem, J.F.; Johnson, M.B. Narrow-bandgap photovoltaic devices operating at room temperature and above with high open-circuit voltage. Appl. Phys. Lett. 2013, 102, 211103. [Google Scholar] [CrossRef]
- Liu, A.Y.; Bowers, J.E. Photonic Integration with Epitaxial III–V on Silicon. IEEE J. Sel. Top. Quantum Electron. 2018, 24, 6000412. [Google Scholar] [CrossRef]
- Ramirez, J.M.; Elfaiki, H.; Verolet, T.; Besancon, C.; Gallet, A.; Néel, D.; Hassan, K.; Olivier, S.; Jany, C.; Malhouitre, S.; et al. III-V-on-Silicon Integration: From Hybrid Devices to Heterogeneous Photonic Integrated Circuits. IEEE J. Sel. Top. Quantum Electron. 2020, 26, 6100213. [Google Scholar] [CrossRef]
- Fedeli, J.-M.; Nicoletti, S. Mid-Infrared (Mid-IR) Silicon-Based Photonics. Proc. IEEE 2018, 106, 2302–2312. [Google Scholar] [CrossRef]
- Lin, H.; Luo, Z.; Gu, T.; Kimerling, L.C.; Wada, K.; Agarwal, A.; Hu, J. Mid-infrared integrated photonics on silicon: A perspective. Nanophotonics 2017, 7, 393–420. [Google Scholar] [CrossRef]
- Spott, A.; Peters, J.D.; Davenport, M.L.; Stanton, E.J.; Merritt, C.D.; Bewley, W.W.; Vurgaftman, I.; Kim, C.S.; Meyer, J.R.; Kirch, J.D.; et al. Quantum Cascade Laser on Silicon. Optica 2016, 3, 545. [Google Scholar] [CrossRef]
- Spott, A.; Peters, J.D.; Davenport, M.L.; Stanton, E.J.; Zhang, C.; Merritt, C.D.; Bewley, W.W.; Vurgaftman, I.; Kim, C.S.; Meyer, J.R.; et al. Heterogeneously Integrated Distributed Feedback Quantum Cascade Lasers on Silicon. Photonics 2016, 3, 35. [Google Scholar] [CrossRef]
- Stanton, E.J.; Spott, A.; Peters, J.; Davenport, M.L.; Malik, A.; Volet, N.; Liu, J.; Merritt, C.D.; Vurgaftman, I.; Kim, C.S.; et al. Multi-Spectral Quantum Cascade Lasers on Silicon with Integrated Multiplexers. Photonics 2019, 6, 6. [Google Scholar] [CrossRef]
- Go, R.; Krysiak, H.; Fetters, M.; Figueiredo, P.; Suttinger, M.; Fang, X.M.; Eisenbach, A.; Fastenau, J.M.; Lubyshev, D.; Liu, A.W.K.; et al. InP-based quantum cascade lasers monolithically integrated onto silicon. Opt. Express 2018, 26, 22389–22393. [Google Scholar] [CrossRef]
- Coutard, J.G.; Brun, M.; Fournier, M.; Lartigue, O.; Fedeli, F.; Maisons, G.; Fedeli, J.M.; Nicoletti, S.; Carras, M.; Duraffourg, L. Volume Fabrication of Quantum Cascade Lasers on 200 mm-CMOS pilot line. Sci. Rep. 2020, 10, 6185. [Google Scholar] [CrossRef]
- Jung, S.; Kirch, J.; Kim, J.H.; Mawst, L.J.; Botez, D.; Belkin, M.A. Quantum cascade lasers transfer-printed on silicon-on-sapphire. Appl. Phys. Lett. 2017, 111, 211102. [Google Scholar] [CrossRef]
- Nguyen-Van, H.; Baranov, A.N.; Loghmari, Z.; Cerutti, L.; Rodriguez, J.-B.; Tournet, J.; Narcy, G.; Boissier, G.; Patriarche, G.; Bahriz, M.; et al. Quantum cascade lasers grown on silicon. Sci. Rep. 2018, 8, 7206. [Google Scholar] [CrossRef]
- Spott, A.; Stanton, E.J.; Torres, A.; Davenport, M.L.; Canedy, C.L.; Vurgaftman, I.; Kim, M.; Kim, C.S.; Merritt, C.D.; Bewley, W.W.; et al. Interband Cascade Laser on Silicon. Optica 2018, 5, 996. [Google Scholar] [CrossRef]
- Schwarz, B.; Reininger, P.; Detz, H.; Zederbauer, T.; Andrews, A.M.; Kalchmair, S.; Schrenk, W.; Baumgartner, O.; Kosina, H.; Strasser, G. A bi-functional quantum cascade device for same-frequency lasing and detection. Appl. Phys. Lett. 2012, 101, 191109. [Google Scholar] [CrossRef]
- Schwarz, B.; Reininger, P.; Ristanic, D.; Detz, H.; Andrews, A.M.; Schrenk, W.; Strasser, G. Monolithically integrated mid-infrared lab-on-a-chip using plasmonics and quantum cascade structures. Nat. Commun. 2014, 5, 4085. [Google Scholar] [CrossRef] [PubMed]
- Schwarz, B.; Wang, C.A.; Missaggia, L.; Mansuripur, T.S.; Chevalier, P.; Connors, M.K.; McNulty, D.; Cederberg, J.; Strasser, G.; Capasso, F. Watt-Level Continuous-Wave Emission from a Bifunctional Quantum Cascade Laser/Detector. ACS Photonics 2017, 4, 1225–1231. [Google Scholar] [CrossRef]
- Hitaka, M.; Dougakiuchi, T.; Ito, A.; Fujita, K.; Edamura, T. Stacked quantum cascade laser and detector structure for a monolithic mid-infrared sensing device. Appl. Phys. Lett. 2019, 115, 161102. [Google Scholar] [CrossRef]
- Lotfi, H.; Li, L.; Rassel, S.M.S.; Yang, R.Q.; Correege, C.J.; Johnson, M.B.; Larson, P.R.; Gupta, J.A. Monolithically integrated mid-IR interband cascade laser and photodetector operating at room temperature. Appl. Phys. Lett. 2016, 109, 151111. [Google Scholar] [CrossRef]
- Folkes, P.A. Interband cascade laser photon noise. J. Phys. D 2008, 41, 245109. [Google Scholar] [CrossRef]
- Rana, F.; Rajeev, J.R. Current noise and photon noise in quantum cascade lasers. Phys. Rev. B 2002, 65, 125313. [Google Scholar] [CrossRef]
- Deng, Y.; Zhao, B.-B.; Gu, Y.T.; Wang, C. Relative intensity noise of a continuous-wave interband cascade laser at room temperature. Opt. Lett. 2019, 44, 1375–1378. [Google Scholar] [CrossRef]
- Deng, Y.; Zhao, B.-B.; Wang, C. Linewidth broadening factor of an interband cascade laser. Appl. Phys. Lett. 2019, 115, 181101. [Google Scholar]
- Canedy, C.L.; Bewley, W.W.; Lindle, J.R.; Kim, C.S.; Kim, M.; Vurgaftman, I.; Meyer, J.R. Investigation of Mid-Infrared Type-II ‘‘W’’ Diode Lasers. J. Electron. Mater. 2006, 35, 453–461. [Google Scholar] [CrossRef]
- Borri, S.; Siciliani de Cumis, M.; Viciani, S.; D’Amato, F.; De Natale, P. Unveiling quantum-limited operation of interband cascade lasers. APL Photonics 2020, 5, 036101. [Google Scholar] [CrossRef]
- Du, Z.; Luo, G.; An, Y.; Li, J. Dynamic spectral characteristics measurement of DFB interband cascade laser under injection current tuning. Appl. Phys. Lett. 2016, 109, 011903. [Google Scholar] [CrossRef]
- Li, J.; Du, Z.; An, Y. Frequency modulation characteristics for interband cascade lasers emitting at 3 μm. Appl. Phys. B 2015, 121, 7–17. [Google Scholar] [CrossRef]
- Deng, Y.; Zhao, B.-B.; Wang, X.G.; Wang, C. Narrow linewidth characteristics of interband cascade lasers. Appl. Phys. Lett. 2020, 116, 201101. [Google Scholar] [CrossRef]
- Donetsky, D.; Svensson, S.P.; Vorobjev, L.E.; Belenky, G. Carrier lifetime measurements in short-period InAs/GaSb strained-layer superlattice structures. Appl. Phys. Lett. 2009, 95, 212104. [Google Scholar] [CrossRef]
- Connelly, B.C.; Metcalfe, G.D.; Shen, H.E.; Wraback, M. Direct minority carrier lifetime measurements and recombination mechanisms in long-wave infrared type-II superlattices using time-resolved photoluminescence. Appl. Phys. Lett. 2010, 97, 251117. [Google Scholar] [CrossRef]
- Connelly, B.C.; Metcalfe, G.D.; Shen, H.E.; Wraback, M.; Canedy, C.L.; Vurgaftman, I.; Melinger, J.S.; Affouda, C.A.; Jackson, E.M.; Nolde, J.A.; et al. Investigation of Trap States in Mid-Wavelength Infrared Type II Superlattices Using Time-Resolved Photoluminescence. J. Electron. Mat. 2013, 42, 3203. [Google Scholar] [CrossRef]
- Meyer, J.R.; Felix, C.L.; Bewley, W.W.; Vurgaftman, I.; Aifer, E.H.; Olafsen, L.J.; Lindle, J.R.; Hoffman, C.A.; Yang, M.J.; Bennett, B.R.; et al. Auger coefficients in type-II InAs/Ga1-xInxSb quantum wells. Appl. Phys. Lett. 1998, 73, 2857–2859. [Google Scholar] [CrossRef]
- Corzine, S.W.; Yan, R.H.; Coldren, L.A. Optical gain in III-V bulk and quantum well semiconductors. In Quantum Well Lasers; Zory, P., Ed.; Academic Press: Cambridge, MA, USA, 1993. [Google Scholar]
- Bai, Y.; Darvish, S.R.; Bandyopadhyay, N.; Slivken, S.; Razeghi, M. Optimizing facet coating of quantum cascade lasers for low power consumption. J. Appl. Phys. 2011, 109, 053103. [Google Scholar] [CrossRef]
- Lyakh, A.; Maulini, R.; Tsekoun, A.; Go, R.; Patel, C.K.N. Tapered 4.7 μm quantum cascade lasers with highly strained active region composition delivering over 4.5 watts of continuous wave optical power. Opt. Express 2012, 20, 4382–4388. [Google Scholar] [CrossRef]
- Trofimov, I.E.; Canedy, C.L.; Kim, C.S.; Kim, M.; Bewley, W.W.; Merritt, C.L.; Vurgaftman, I.; Meyer, J.R.; Le, L.T. Interband Cascade Lasers with Long Lifetime. Appl. Opt. 2015, 54, 9441–9445. [Google Scholar] [CrossRef]
- Myers, T.L.; Cannon, B.D.; Brauer, C.S.; Canedy, C.L.; Kim, C.S.; Kim, M.; Merritt, C.D.; Bewley, W.W.; Vurgaftman, I.; Meyer, J.R. Gamma Irradiation of Fabry-Perot Interband Cascade Lasers. Opt. Eng. 2018, 57, 011016. [Google Scholar] [CrossRef]




























© 2020 by the authors. Licensee MDPI, Basel, Switzerland. This article is an open access article distributed under the terms and conditions of the Creative Commons Attribution (CC BY) license (http://creativecommons.org/licenses/by/4.0/).
Share and Cite
Meyer, J.R.; Bewley, W.W.; Canedy, C.L.; Kim, C.S.; Kim, M.; Merritt, C.D.; Vurgaftman, I. The Interband Cascade Laser. Photonics 2020, 7, 75. https://doi.org/10.3390/photonics7030075
Meyer JR, Bewley WW, Canedy CL, Kim CS, Kim M, Merritt CD, Vurgaftman I. The Interband Cascade Laser. Photonics. 2020; 7(3):75. https://doi.org/10.3390/photonics7030075
Chicago/Turabian StyleMeyer, Jerry R., William W. Bewley, Chadwick L. Canedy, Chul Soo Kim, Mijin Kim, Charles D. Merritt, and Igor Vurgaftman. 2020. "The Interband Cascade Laser" Photonics 7, no. 3: 75. https://doi.org/10.3390/photonics7030075
APA StyleMeyer, J. R., Bewley, W. W., Canedy, C. L., Kim, C. S., Kim, M., Merritt, C. D., & Vurgaftman, I. (2020). The Interband Cascade Laser. Photonics, 7(3), 75. https://doi.org/10.3390/photonics7030075
 
        
 
                        