Systematic Analyses of the Ideal Selective Spectrum and the Practical Design Strategies for the Solar Thermophotovoltaic System
Abstract
1. Introduction
2. Overview of the STPV System
3. Systematic Analyses of the Intermediate Structure
3.1. Ideal Spectrum of the Absorber
3.2. Effect of Deviation from the Ideal Spectrum
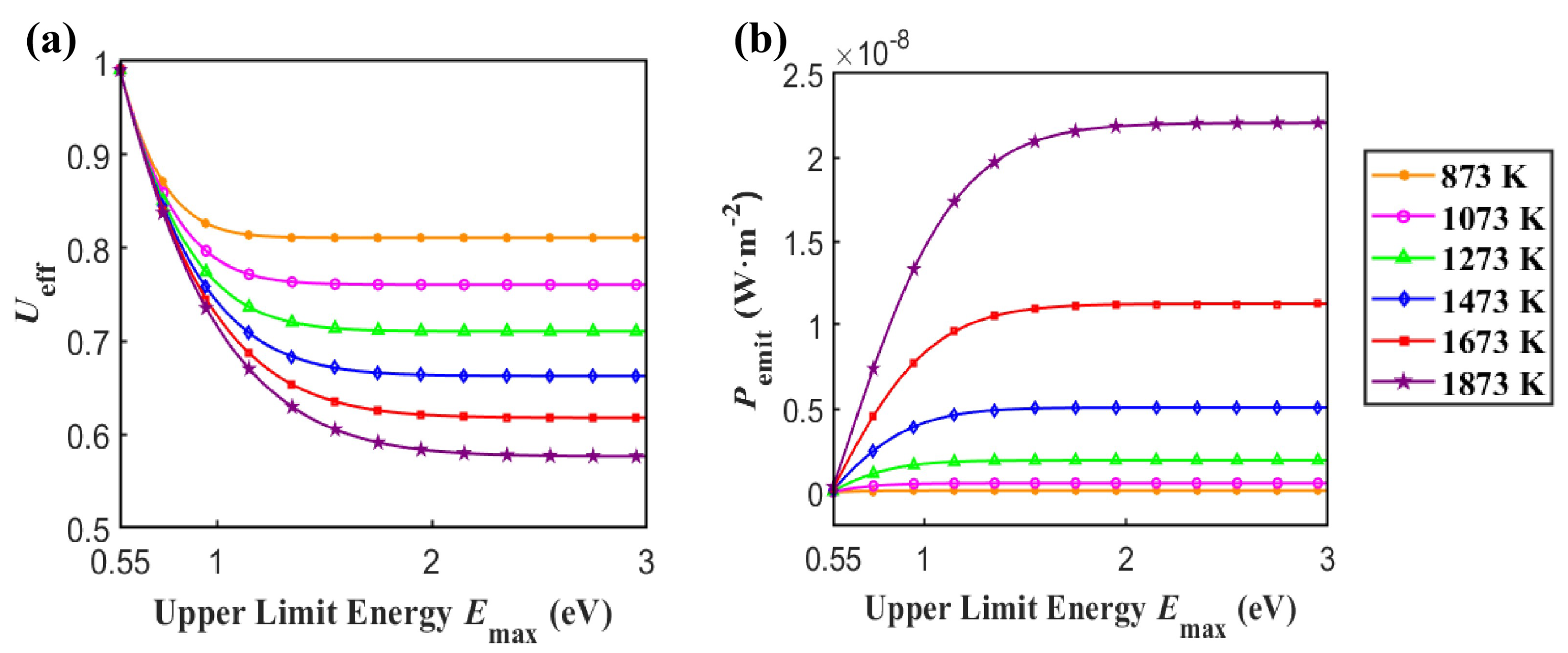
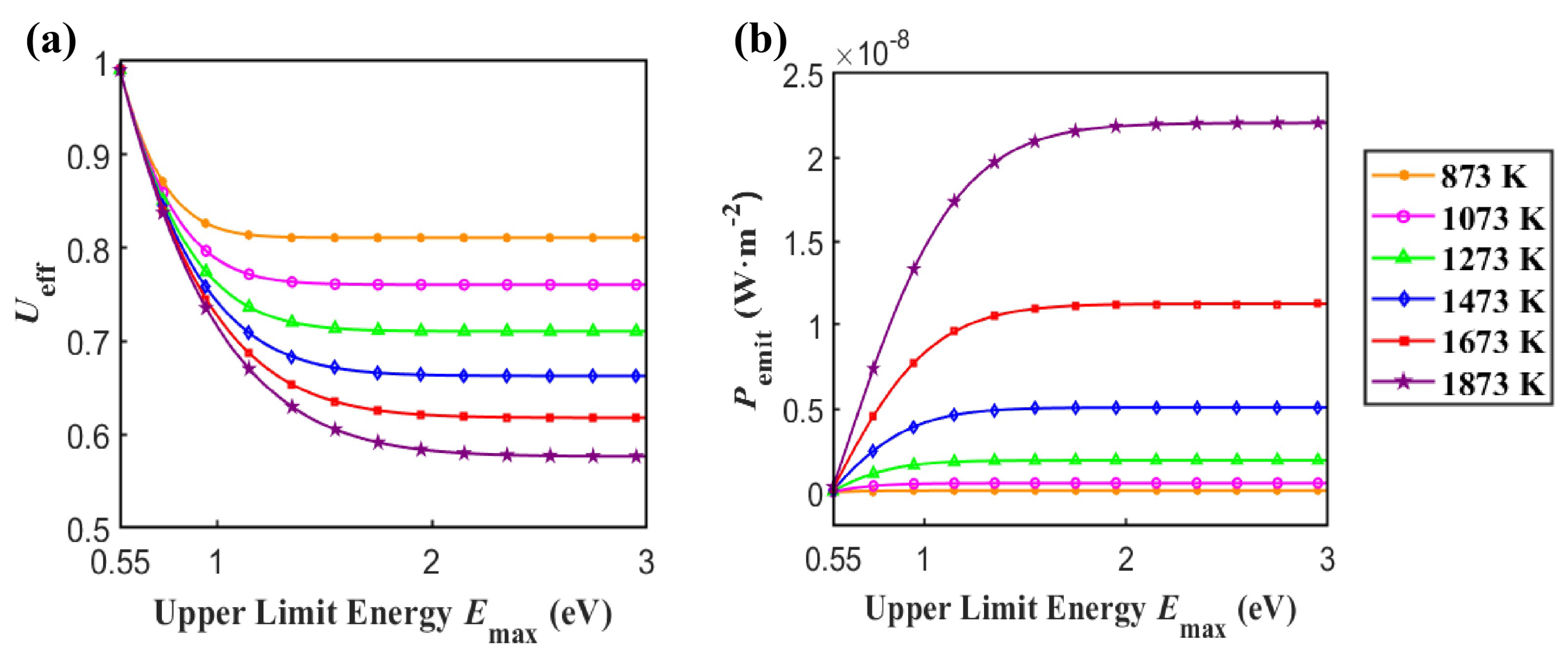
4. Systematical Analysis of and the Ideal Spectrum of the Emitter
4.1. Systematical Analysis of the Efficiency of the PV Cell
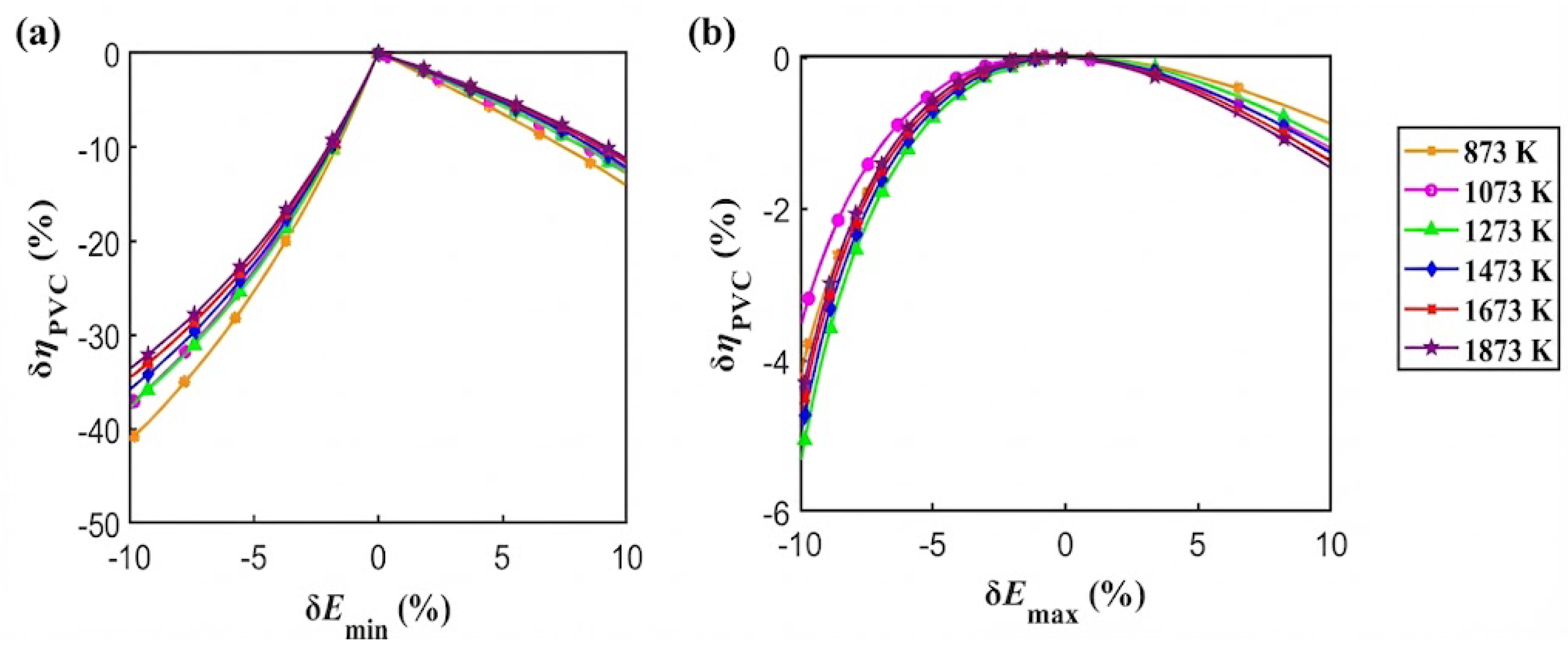
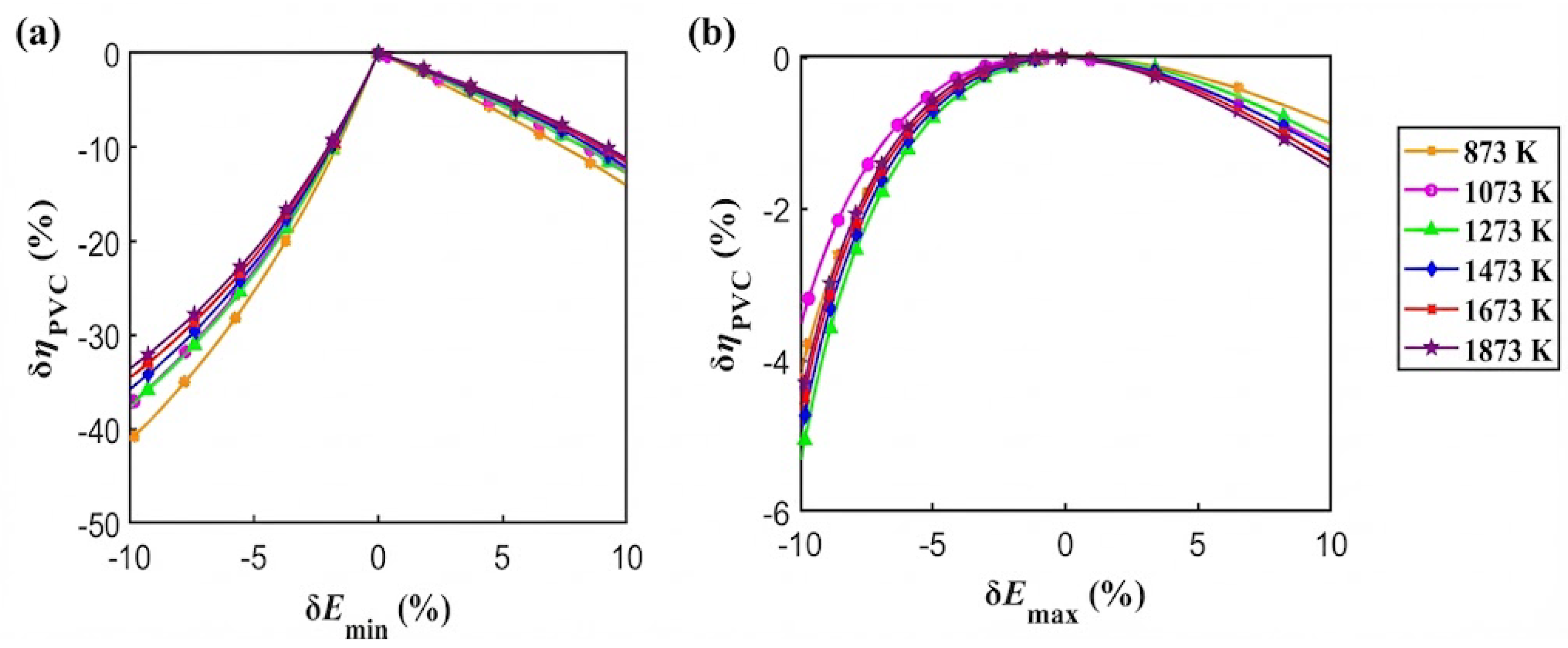
4.2. Effect of Deviation from the Ideal Spectrum on Efficiency
5. Conclusions
Author Contributions
Funding
Institutional Review Board Statement
Informed Consent Statement
Data Availability Statement
Conflicts of Interest
References
- Moustakas, K.; Loizidou, M.; Rehan, M.; Nizami, A. A review of recent developments in renewable and sustainable energy systems: Key challenges and future perspective. Renew. Sustain. Energy Rev. 2020, 119, 109418. [Google Scholar] [CrossRef]
- Xing, L.; Ha, Y.; Wang, R.; Li, Z. Recent advances of solar thermal conversion with wide absorption spectrum based on plasmonic nanofluids. Sol. Energy 2023, 262, 111858. [Google Scholar] [CrossRef]
- Hu, T.; Kwan, T.H.; Yang, H.; Wu, L.; Liu, W.; Wang, Q.; Pei, G. Photothermal conversion potential of full-band solar spectrum based on beam splitting technology in concentrated solar thermal utilization. Energy 2023, 268, 126763. [Google Scholar] [CrossRef]
- Zhang, H.; Wang, K.; Wang, L.; Xie, H.; Yu, W. Mesoporous CuO with full spectrum absorption for photothermal conversion in direct absorption solar collectors. Sol. Energy 2020, 201, 628–637. [Google Scholar] [CrossRef]
- Li, G.; Shittu, S.; Diallo, T.M.; Yu, M.; Zhao, X.; Ji, J. A review of solar photovoltaic-thermoelectric hybrid system for electricity generation. Energy 2018, 158, 41–58. [Google Scholar] [CrossRef]
- Timilsina, G.R.; Kurdgelashvili, L.; Narbel, P.A. Solar energy: Markets, economics and policies. Renew. Sustain. Energy Rev. 2012, 16, 449–465. [Google Scholar] [CrossRef]
- Lv, S.; Zhang, M.; Lai, Y.; Wu, Y.; Deng, J.; Guo, Y.; Feng, M.; Shi, G.; Zhang, B.; Ren, J.; et al. Comparative analysis of photovoltaic thermoelectric systems using different photovoltaic cells. Appl. Therm. Eng. 2023, 235, 121356. [Google Scholar] [CrossRef]
- Anand, B.; Shankar, R.; Murugavelh, S.; Rivera, W.; Midhun Prasad, K.; Nagarajan, R. A review on solar photovoltaic thermal integrated desalination technologies. Renew. Sustain. Energy Rev. 2021, 141, 110787. [Google Scholar] [CrossRef]
- Fang, J.; Wu, H.; Liu, T.; Zheng, Z.; Lei, J.; Liu, Q.; Jin, H. Thermodynamic eValuation of a concentrated photochemical–photovoltaic–thermochemical (CP-PV-T) system in the full-spectrum solar energy utilization. Appl. Energy 2020, 279, 115778. [Google Scholar] [CrossRef]
- Wang, H.; Chang, J.Y.; Yang, Y.; Wang, L. Performance analysis of solar thermophotovoltaic conversion enhanced by selective metamaterial absorbers and emitters. Int. J. Heat Mass Transf. 2016, 98, 788–798. [Google Scholar] [CrossRef]
- Shockley, W.; Queisser, H.J. Detailed Balance Limit of Efficiency of p-n Junction Solar Cells. J. Appl. Phys. 1961, 32, 510–519. [Google Scholar] [CrossRef]
- Yamaguchi, M.; Lee, K.H.; Araki, K.; Kojima, N. A review of recent progress in heterogeneous silicon tandem solar cells. J. Phys. D Appl. Phys. 2018, 51, 133002. [Google Scholar] [CrossRef]
- King, R.R.; Law, D.C.; Edmondson, K.M.; Fetzer, C.M.; Kinsey, G.S.; Yoon, H.; Sherif, R.A.; Karam, N.H. 40% efficient metamorphic GaInP/GaInAs/Ge multijunction solar cells. Appl. Phys. Lett. 2007, 90, 183516. [Google Scholar] [CrossRef]
- Datas, A.; Algora, C. Global optimization of solar thermophotovoltaic systems. Prog. Photovoltaics Res. Appl. 2013, 21, 1040–1055. [Google Scholar] [CrossRef]
- Lenert, A.; Bierman, D.M.; Nam, Y.; Chan, W.R.; Celanović, I.; Soljačić, M.; Wang, E.N. A nanophotonic solar thermophotovoltaic device. Nat. Nanotechnol. 2014, 9, 126–130. [Google Scholar] [CrossRef]
- Rephaeli, E.; Fan, S. Absorber and emitter for solar thermo-photovoltaic systems to achieve efficiency exceeding the Shockley-Queisser limit. Opt. Express 2009, 17, 15145. [Google Scholar] [CrossRef]
- Shimizu, M.; Furuhashi, T.; Liu, Z.; Yugami, H. Highly confined spectrally selective absorber-emitter for effective solar thermophotovoltaics. Sol. Energy Mater. Sol. Cells 2022, 245, 111878. [Google Scholar] [CrossRef]
- Kohiyama, A.; Shimizu, M.; Konno, K.; Furuhashi, T.; Yugami, H. Effective photon recycling in solar thermophotovoltaics using a confined cuboid emitter. Opt. Express 2020, 28, 38567. [Google Scholar] [CrossRef]
- Wang, Y.; Liu, H.; Zhu, J. Solar thermophotovoltaics: Progress, challenges, and opportunities. APL Mater. 2019, 7, 080906. [Google Scholar] [CrossRef]
- Abbas, M.A.; Kim, J.; Rana, A.S.; Kim, I.; Rehman, B.; Ahmad, Z.; Massoud, Y.; Seong, J.; Badloe, T.; Park, K.; et al. Nanostructured chromium-based broadband absorbers and emitters to realize thermally stable solar thermophotovoltaic systems. Nanoscale 2022, 14, 6425–6436. [Google Scholar] [CrossRef]
- Rana, A.S.; Zubair, M.; Danner, A.; Mehmood, M.Q. Revisiting tantalum based nanostructures for efficient harvesting of solar radiation in STPV systems. Nano Energy 2021, 80, 105520. [Google Scholar] [CrossRef]
- Rana, A.S.; Zubair, M.; Chen, Y.; Wang, Z.; Deng, J.; Chani, M.T.S.; Danner, A.; Teng, J.; Mehmood, M.Q. Broadband solar absorption by chromium metasurface for highly efficient solar thermophotovoltaic systems. Renew. Sustain. Energy Rev. 2023, 171, 113005. [Google Scholar] [CrossRef]
- Cui, T.; Shen, Y.; Cheng, A.; Liu, Z.; Jia, S.; Tang, S.; Shao, L.; Chen, H.; Deng, S. Highly efficient molybdenum nanostructures for solar thermophotovoltaic systems: One-step fabrication of absorber and design of selective emitter. Chem. Eng. J. 2024, 487, 150389. [Google Scholar] [CrossRef]
- Mehrabi, S.; Bilal, R.M.H.; Naveed, M.A.; Ali, M.M. Ultra-broadband nanostructured metamaterial absorber based on stacked square-layers of TiN/TiO2. Opt. Mater. Express 2022, 12, 2199. [Google Scholar] [CrossRef]
- Ni, Q.; McBurney, R.; Alshehri, H.; Wang, L. Theoretical analysis of solar thermophotovoltaic energy conversion with selective metafilm and cavity reflector. Sol. Energy 2019, 191, 623–628. [Google Scholar] [CrossRef]
- Wen, S.B.; Bhaskar, A. Improving the performance of solar thermophotovoltaic (STPV) cells with spectral selected absorbers and small apertured radiation shields. Int. J. Heat Mass Transf. 2022, 184, 122266. [Google Scholar] [CrossRef]
- Datas, A.; Algora, C. Detailed balance analysis of solar thermophotovoltaic systems made up of single junction photovoltaic cells and broadband thermal emitters. Sol. Energy Mater. Sol. Cells 2010, 94, 2137–2147. [Google Scholar] [CrossRef]
- Hou, G.; Lin, Z.; Wang, Q.; Zhu, Y.; Xu, J.; Chen, K. Integrated silicon-based spectral reshaping intermediate structures for high performance solar thermophotovoltaics. Sol. Energy 2023, 249, 227–232. [Google Scholar] [CrossRef]
- Tian, Y.; Liu, X.; Ghanekar, A.; Zheng, Y. Scalable-manufactured metal–insulator–metal based selective solar absorbers with excellent high-temperature insensitivity. Appl. Energy 2021, 281, 116055. [Google Scholar] [CrossRef]
- Zheng, Y.; Yi, Z.; Liu, L.; Wu, X.; Liu, H.; Li, G.; Zeng, L.; Li, H.; Wu, P. Numerical simulation of efficient solar absorbers and thermal emitters based on multilayer nanodisk arrays. Appl. Therm. Eng. 2023, 230, 120841. [Google Scholar] [CrossRef]
- Zhang, W.W.; Qi, H.; Yin, Y.M.; Ren, Y.T. Tailoring radiative properties of a complex trapezoidal grating solar absorber by coupling between SPP and multi-order MP for solar energy harvesting. Opt. Commun. 2021, 479, 126416. [Google Scholar] [CrossRef]
- Meng, C.; Liu, Y.; Xu, Z.; Wang, H.; Tang, X. Selective emitter with core–shell nanosphere structure for thermophotovoltaic systems. Energy 2022, 239, 121884. [Google Scholar] [CrossRef]
- Silva-Oelker, G.; Jerez-Hanckes, C.; Fay, P. High-temperature tungsten-hafnia optimized selective thermal emitters for thermophotovoltaic applications. J. Quant. Spectrosc. Radiat. Transf. 2019, 231, 61–68. [Google Scholar] [CrossRef]
- Jiang, C.; Shan, S.; Zhou, Z.; Liang, L.; Huang, H. Theoretical study of multilayer ring metamaterial emitter for a low bandgap TPV cell. Sol. Energy 2019, 194, 548–553. [Google Scholar] [CrossRef]
- Zhang, S.; Zhong, F.; Lin, Z.; Yu, X.; Wang, Y.; Zhou, L. Spectrum-Selective High-Temperature Tolerant Thermal Emitter by Dual-Coherence Enhanced Absorption for Solar Thermophotovoltaics. Adv. Opt. Mater. 2024, 12, 2301726. [Google Scholar] [CrossRef]
- Chen, F.; Liu, X.; Liu, Y.; Tian, Y.; Zheng, Y. A refractory metal-based photonic narrowband emitter for thermophotovoltaic energy conversion. J. Mater. Chem. C 2023, 11, 1988–1994. [Google Scholar] [CrossRef]
- Lin, Z.; Liu, H.; Qiao, T.; Hou, G.; Liu, H.; Xu, J.; Zhu, J.; Zhou, L. Tamm plasmon enabled narrowband thermal emitter for solar thermophotovoltaics. Sol. Energy Mater. Sol. Cells 2022, 238, 111589. [Google Scholar] [CrossRef]
- Harder, N.P.; W Rfel, P. Theoretical limits of thermophotovoltaic solar energy conversion. Semicond. Sci. Technol. 2003, 18, S151–S157. [Google Scholar] [CrossRef]
- Kaiser, W. Hans-Georg Schöpf: Von Kirchhoff bis Planck. Theorie der Wärmestrahlung in historisch-kritischer Darstellung. Braunschweig: Vieweg 1978. 199 Seiten mit 9 Abbildungen (Reihe Wissenschaft). Geb. DM 24,80. Berichte Zur Wiss. 1980, 3, 238–239. [Google Scholar] [CrossRef]
- Qi, B.; Wang, J. Open-circuit voltage in organic solar cells. J. Mater. Chem. 2012, 22, 24315. [Google Scholar] [CrossRef]
- Wang, J. Open-circuit voltage, fill factor, and heterojunction band offset in semiconductor diode solar cells. EcoMat 2022, 4, e12263. [Google Scholar] [CrossRef]









Disclaimer/Publisher’s Note: The statements, opinions and data contained in all publications are solely those of the individual author(s) and contributor(s) and not of MDPI and/or the editor(s). MDPI and/or the editor(s) disclaim responsibility for any injury to people or property resulting from any ideas, methods, instructions or products referred to in the content. |
© 2025 by the authors. Licensee MDPI, Basel, Switzerland. This article is an open access article distributed under the terms and conditions of the Creative Commons Attribution (CC BY) license.
Share and Cite
Chen, Y.; Zhang, Z.; Li, Y.; Chen, Q.; An, B.; Jiao, J. Systematic Analyses of the Ideal Selective Spectrum and the Practical Design Strategies for the Solar Thermophotovoltaic System. Photonics 2026, 13, 27. https://doi.org/10.3390/photonics13010027
Chen Y, Zhang Z, Li Y, Chen Q, An B, Jiao J. Systematic Analyses of the Ideal Selective Spectrum and the Practical Design Strategies for the Solar Thermophotovoltaic System. Photonics. 2026; 13(1):27. https://doi.org/10.3390/photonics13010027
Chicago/Turabian StyleChen, Yuanlin, Zhiwei Zhang, Yulian Li, Qiulong Chen, Bowen An, and Jiajia Jiao. 2026. "Systematic Analyses of the Ideal Selective Spectrum and the Practical Design Strategies for the Solar Thermophotovoltaic System" Photonics 13, no. 1: 27. https://doi.org/10.3390/photonics13010027
APA StyleChen, Y., Zhang, Z., Li, Y., Chen, Q., An, B., & Jiao, J. (2026). Systematic Analyses of the Ideal Selective Spectrum and the Practical Design Strategies for the Solar Thermophotovoltaic System. Photonics, 13(1), 27. https://doi.org/10.3390/photonics13010027

