Research on a Model for Predicting Perforating Shock Loads by Numerical Simulation in Oil and Gas Wells
Abstract
1. Introduction
2. Output Characteristics of Shock Loads
2.1. Generation Mechanism of Shock Load
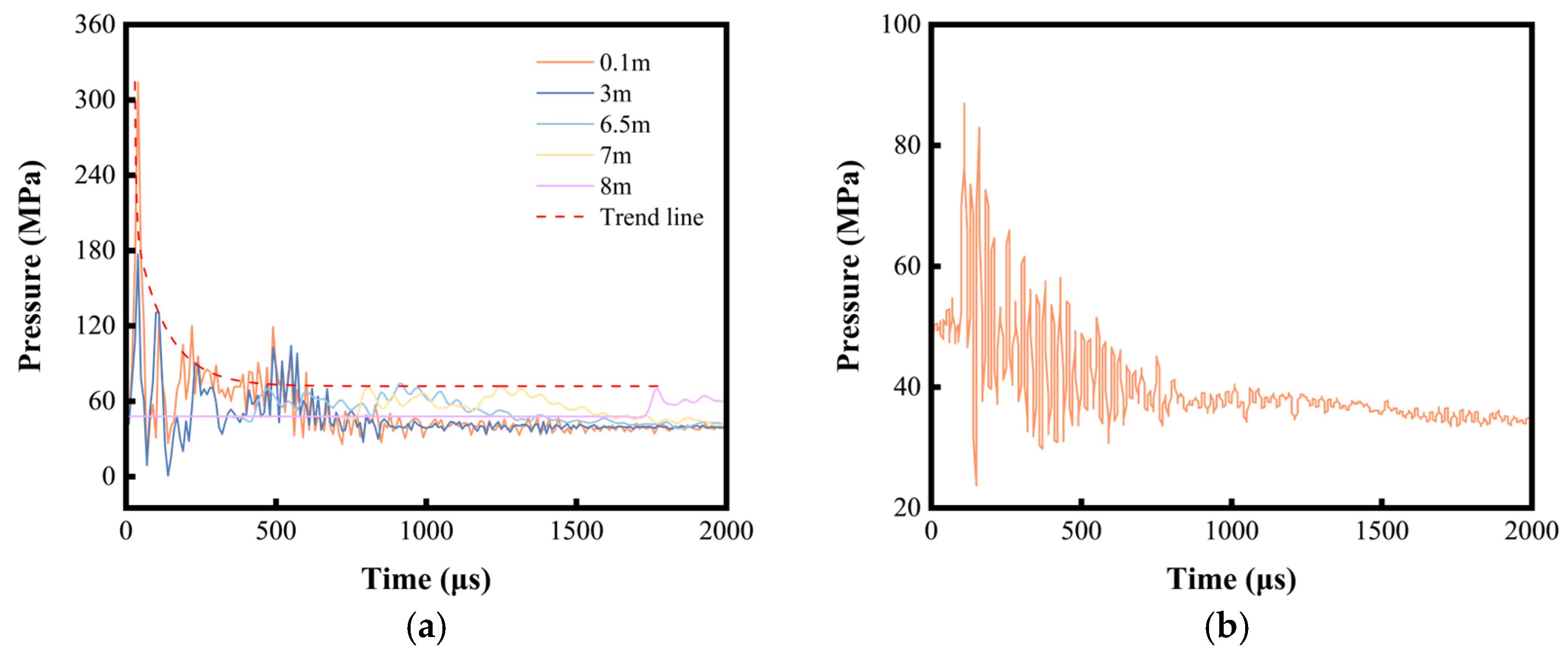
2.2. Propagation and Output of Loads
2.3. Energy Composition of Perforation
3. Establishment and Accuracy Verification of Numerical Simulation Model
3.1. Geometric Model
3.2. Material Constitutive Models and State Equations
3.3. Mesh Independence Verification
4. Case Validation
4.1. Simulation Discussion
4.2. Sensitivity Analysis
4.2.1. Viscosity of Perforating Fluid
4.2.2. Density of Perforating Fluid
4.2.3. Young’s Modulus and Density of Perforating Tubing String
4.2.4. Charge Mass
4.2.5. Detonation Interval
4.2.6. Formation Pressure
4.2.7. Explosion Space
4.3. Orthogonal Test Design
4.3.1. Dimensionless Analysis
4.3.2. Model Fitting
4.4. Dual-Case Verification
5. Conclusions
- The pressure variation process of shock waves propagating in a confined wellbore based on the theory of underwater explosion was analyzed. Meanwhile, the energy composition was examined during perforation, particularly focusing on the jetting process of shaped charges. The analysis indicated that residual perforation energy is a critical factor affecting the safety of the perforating tubing string system.
- The pulsating pressure of the perforating fluid significantly impacted the dynamic response of the tubing. To address this, a numerical model of the perforating explosion process was established. By analyzing the contour plots, the propagation of the shock wave within the perforating fluid could be clearly understood. Additionally, the feasibility of this numerical model was validated through comparison with actual field-measured data.
- A finite element simulation model was developed to capture the dynamic response of the perforating tubing string system. Quantitative numerical simulation analysis conclusively demonstrates that the peak perforating pressure is critically influenced by operational parameters: total charge mass exerts the strongest effect, proportionally increasing pressure from 162 MPa to 388 MPa (140% rise); explosion space shows an inverse relationship, where pressure plummets 35% (from 376 MPa to 243 MPa) as space expands from 0 to 5 m3; formation pressure (directly linked to initial wellbore pressure) drives a linear increase from 315 MPa to 372 MPa across 0–100 MPa; fluid density (1–3 g/cm3) causes a significant 78% surge (335 MPa to 598 MPa). A dimensionless analysis and an orthogonal experiment design with five factors and four levels were conducted, leading to 16 numerical simulation results for the loads under varying conditions.
- The numerical simulation results were fitted using the curve_fit function from the Scipy library, resulting in a predictive model for peak perforating shock load that aligns with the requirements of field operations. To validate the model, it is applied to the operation parameters of two wells, comparing the results with those from the Pulsfrac. The prediction errors for loads of the two were around 10%, demonstrating that the model developed in this study is reliable and can meet the engineering needs of actual perforation operations.
Author Contributions
Funding
Institutional Review Board Statement
Informed Consent Statement
Data Availability Statement
Conflicts of Interest
References
- Brinsden, M.S.; Boock, A.; Baumann, C.E. Perforating Gunshock Loads: Simulation Capabilities and Applications. In Proceedings of the International Petroleum Technology Conference, Kuala Lumpur, Malaysia, 10–12 December 2014. [Google Scholar] [CrossRef]
- Baumann, C.; Brinsden, M. Perforating Gunshock Loads: Simulation and Optimization in 2014. In Proceedings of the IADC/SPE Asia Pacific Drilling Technology Conference, Bangkok, Thailand, 25–27 August 2014. [Google Scholar] [CrossRef]
- Schatz, J.F.; Schatz, J.F.; Folse, K.C.; Fripp, M.; Dupont, R. High-Speed Pressure and Accelerometer Measurements Characterize Dynamic Behavior During Perforating Events in Deepwater Gulf of Mexico. In Proceedings of the SPE Annual Technical Conference and Exhibition, Houston, TX, USA, 26–29 September 2004. [Google Scholar] [CrossRef]
- Baumann, C.; Gultom, D.; Salsman, A.; Smart, M.; Primasari, I.; Rahman, R.; Warsito, S. Perforating on Wireline: Maximizing Productivity and Minimizing Gunshock. In Proceedings of the SPE European Formation Damage Conference and Exhibition, Budapest, Hungary, 3–5 June 2015. [Google Scholar] [CrossRef]
- Gilliat, J.; Bale, D.; Satti, R.; Li, C.; Howard, J. The Importance of Pre-Job Shock Modeling as a Risk Mitigation Tool in TCP Operations. In Proceedings of the SPE Deepwater Drilling and Completions Conference, Galveston, TX, USA, 10–11 September 2014. [Google Scholar] [CrossRef]
- Deng, Q.; Jiang, J.; Yang, D.; Han, H.; Qi, G. Dynamic analysis and optimization of perforated tubing strings in deep-water wells under diverse operating conditions. Ocean Eng. 2025, 322, 120535. [Google Scholar] [CrossRef]
- Canal, A.C.; Miletto, P.; Schoener-Scott, M.F.; Medeiros, J.; Barlow, D. Predicting Pressure Behavior and Dynamic Shock Loads on Completion Hardware During Perforating. In Proceedings of the Offshore Technology Conference, Houston, TX, USA, 3–6 May 2010. [Google Scholar] [CrossRef]
- Baumann, C.; Williams, H.; Korf, T.; Pourciau, R. Perforating High-Pressure Deepwater Wells in the Gulf of Mexico. In Proceedings of the SPE Annual Technical Conference and Exhibition, Denver, CO, USA, 30 October–2 November 2011. SPE-146809-MS. [Google Scholar] [CrossRef]
- Baumann, C.E.; Guerra, J.P.; William, A.; Williams, H.A. Reduction of perforating gunshock loads. SPE Drill. Complet. 2012, 27, 65–74. [Google Scholar] [CrossRef]
- Baumann, C.; Benavidez, M.; Martin, A.; Salsman, A.; Williams, H. Perforating on Wireline-Weak-Point Load Prediction. In Proceedings of the SPE, EAGE European Unconventional Resources Conference and Exhibition, Vienna, Austria, 20–22 March 2012. SPE-152431-MS. [Google Scholar] [CrossRef]
- Baumann, C.; Lazaro, A.; Valdivia, P.; Williams, H.; Stecchini, P. Perforating Gunshock Loads-Prediction and Mitigation. In Proceedings of the SPE/IADC Drilling Conference and Exhibition, Amsterdam, The Netherlands, 5–7 March 2013. SPE-163549-MS. [Google Scholar] [CrossRef]
- Sanders, W.; Baumann, C.E.; Williams, H.A.; de Moraes, F.D.; Shipley, J.; Bethke, M.E.; Ogier, S. Efficient Perforation of High-Pressure Deepwater Wells. In Proceedings of the Offshore Technology Conference, Houston, TX, USA, 2–5 May 2011. OTC-21758-MS. [Google Scholar] [CrossRef]
- Brinsden, M.; Gavric, Z.; Le, C.; Baumann, C.; Smart, M.; Stulb, C. Perforating the Largest High-Pressure Wells in the Gulf of Mexico. In Proceedings of the Offshore Technology Conference Asia, Kuala Lumpur, Malaysia, 22–25 March 2016. D011S006R001. [Google Scholar] [CrossRef]
- Bale, D.; Ji, M.; Satti, R.; Gilliat, J. Advances in Numerical Modeling of Downhole Dynamics for Perforated Well Completions. In Proceedings of the SPE Annual Caspian Technical Conference and Exhibition, Astana, Kazakhstan, 1–3 November 2014. [Google Scholar] [CrossRef]
- Magri, J.L.; Scudino-Borges, R.P.; Jeronimo-Junior, E. Determination of load effects on a sealbore packer with floating seal assemblies during a dynamic underbalanced perforation. In Proceedings of the SPE Latin America and Caribbean Petroleum Engineering Conference, Buenos Aires, Argentina, 17–19 May 2017. D031S019R002. [Google Scholar] [CrossRef]
- Liu, J.; Jian, Y.; Chen, Y.; Tang, K.; Ren, G.; Chen, J. Shock vibration response characteristic of perforating tubing string in ultra-deep wells. Geoenergy Sci. Eng. 2023, 228, 212008. [Google Scholar] [CrossRef]
- Cole, R.H.; Weller, R. Underwater Explosions; Princeton University Press: Princeton, NJ, USA, 1948. [Google Scholar]
- Guoxiang, S.; Xiaofeng, W.; Fugen, S. Explosives for the Perforators of Oil and Gas Wells and Their Safety. Explos. Mater. 2002, 31, 4–9. [Google Scholar]
- Haggerty, D.; McGregor, J.; Barker, J.; Manning, D.; DeHart, R. Penetration Performance of a Shaped Charge Perforator in Sandstone and Limestone Targets at Extreme Pore Pressures and Constant Effective Stress. In Proceedings of the International Petroleum Technology Conference, Bangkok, Thailand, 14–16 November 2016. [Google Scholar] [CrossRef]
- Ding, L.; Chen, W.; Han, C.; Xue, Y.; Lei, Q. Study on Explosion Energy Conversion of a Perforating Shaped Charge during Perforation Detonation. SPE J. 2024, 29, 2938–2952. [Google Scholar] [CrossRef]
- Xin, G.; Qing, Z. Progress in numerical simulation of dam failure under blast loading. J. Hohai Univ. 2017, 45, 45–55. [Google Scholar]
- Miao, G.; Hu, Y.; AI, J.; Ma, Q.; Sun, Z.; Ma, H.; Shen, Z. Numerical simulation of explosive welding of metal tube and rod based on different algorithms. Trans. China Weld. Inst. 2022, 43, 64–71+116–117. [Google Scholar]
- Chen, F.; Chen, H.; Tang, K.; Ren, G. Influence of perforating impact load on the operating string and the countermeasures. Nat. Gas Ind. 2010, 30, 61–65. [Google Scholar]
- Deng, Q.; Zhang, H.; Li, J.; Hou, X.; Wang, H. Analysis of Impact Load on Tubing and Shock Absorption during Perforating. Open Phys. 2019, 17, 214–221. [Google Scholar] [CrossRef]





















| Parameter | Value |
|---|---|
| Density (g·cm−3) | 1.89 |
| Explosive Velocity (cm·μs−1) | 0.91 |
| A1 (GPa) | 778.3 |
| A2 (GPa) | 7.07 |
| R1 (-) | 4.2 |
| R2 (-) | 0.99 |
| ω1 (-) | 0.3 |
| Ew (KJ·cm−3) | 0.105 |
| Parameter | Value |
|---|---|
| Density (g·cm−3) | 0.001225 |
| C0 (-) | 0 |
| C1 (-) | 0 |
| C2 (-) | 0 |
| C3 (-) | 0 |
| C4 (-) | 0.4 |
| C5 (-) | 0.4 |
| C6 (-) | 0 |
| Parameter | Value |
|---|---|
| Density (g·cm−3) | 1.03 |
| CJ (cm/μs) | 0.165 |
| S1 (-) | 1.92 |
| S2 (-) | −0.0096 |
| γ0 (-) | 0.35 |
| VJ (-) | 0.9925 |
| Parameter | Value |
|---|---|
| Density (g·cm−3) | 2.8 |
| Length (m) | 20 |
| Thickness (m) | 3 |
| Height (m) | 10 |
| Modulus of elasticity (GPa) | 2 |
| Poisson’s ratio (-) | 0.35 |
| Run | Charge Mass (kg) | Wellbore Initial Pressure (MPa) | Wellbore Explosion Space (m3) | Detonation Interval (μs) | Formation Pressure (MPa) | Peak Perforating Load (MPa) |
|---|---|---|---|---|---|---|
| 1 | 8 | 20 | 1.0 | 10 | 20 | 36.50 |
| 2 | 8 | 40 | 2.0 | 20 | 40 | 56.96 |
| 3 | 8 | 60 | 3.0 | 30 | 60 | 86.55 |
| 4 | 8 | 80 | 4.0 | 40 | 80 | 97.22 |
| 5 | 12 | 20 | 2.0 | 30 | 80 | 66.37 |
| 6 | 12 | 40 | 1.0 | 40 | 60 | 92.69 |
| 7 | 12 | 60 | 4.0 | 10 | 40 | 97.28 |
| 8 | 12 | 80 | 3.0 | 20 | 20 | 116.91 |
| 9 | 16 | 20 | 3.0 | 40 | 40 | 102.98 |
| 10 | 16 | 40 | 4.0 | 30 | 20 | 108.13 |
| 11 | 16 | 60 | 1.0 | 20 | 80 | 161.09 |
| 12 | 16 | 80 | 2.0 | 10 | 60 | 169.24 |
| 13 | 20 | 20 | 4.0 | 20 | 60 | 149.60 |
| 14 | 20 | 40 | 3.0 | 10 | 80 | 180.06 |
| 15 | 20 | 60 | 2.0 | 40 | 20 | 208.08 |
| 16 | 20 | 80 | 1.0 | 30 | 40 | 236.99 |
| Parameter | Value |
|---|---|
| a1 | 1.06 |
| a2 | 0.07 |
| a3 | 2.41 |
| a4 | 0.0039 |
| a5 | 5.63 |
| a6 | 6.86 |
| Parameter | Case 1 | Case 2 |
|---|---|---|
| Charge mass (g/per charge) | 45 | 25 |
| Charging density (g/cm3) | 1.30 | 1.60 |
| Shot density (hole/m) | 16 | 16 |
| Fluid density (g/cm3) | 1.30 | 1.0 |
| Top gun (m) | 6155 | 6261 |
| Bottom gun (m) | 6175 | 6393 |
| Wellbore bottom | 6225 | 6626 |
| Packer setting position (m) | 5800 | 5900 |
| Tubing ID/OD (mm) | 88.90/74.22 | 73.02/59.00 |
| Casing ID/OD (mm) | 206.38/171.88 | 127.00/106.28 |
Disclaimer/Publisher’s Note: The statements, opinions and data contained in all publications are solely those of the individual author(s) and contributor(s) and not of MDPI and/or the editor(s). MDPI and/or the editor(s) disclaim responsibility for any injury to people or property resulting from any ideas, methods, instructions or products referred to in the content. |
© 2025 by the authors. Licensee MDPI, Basel, Switzerland. This article is an open access article distributed under the terms and conditions of the Creative Commons Attribution (CC BY) license (https://creativecommons.org/licenses/by/4.0/).
Share and Cite
Zhang, K.; Zhang, H.; Nie, J.; Deng, Q.; Jiang, J.; He, H. Research on a Model for Predicting Perforating Shock Loads by Numerical Simulation in Oil and Gas Wells. Processes 2025, 13, 2556. https://doi.org/10.3390/pr13082556
Zhang K, Zhang H, Nie J, Deng Q, Jiang J, He H. Research on a Model for Predicting Perforating Shock Loads by Numerical Simulation in Oil and Gas Wells. Processes. 2025; 13(8):2556. https://doi.org/10.3390/pr13082556
Chicago/Turabian StyleZhang, Kui, Honglei Zhang, Jiejing Nie, Qiao Deng, Jiadong Jiang, and Hongrui He. 2025. "Research on a Model for Predicting Perforating Shock Loads by Numerical Simulation in Oil and Gas Wells" Processes 13, no. 8: 2556. https://doi.org/10.3390/pr13082556
APA StyleZhang, K., Zhang, H., Nie, J., Deng, Q., Jiang, J., & He, H. (2025). Research on a Model for Predicting Perforating Shock Loads by Numerical Simulation in Oil and Gas Wells. Processes, 13(8), 2556. https://doi.org/10.3390/pr13082556

