Effects of Diameter and Aspect Ratios on Particle Separation Efficiency in Hydrocyclones
Abstract
1. Introduction
2. Numerical Methodology
2.1. Numerical Cases
2.2. Experimental Validation and Grid Dependency
2.3. Numerical Models
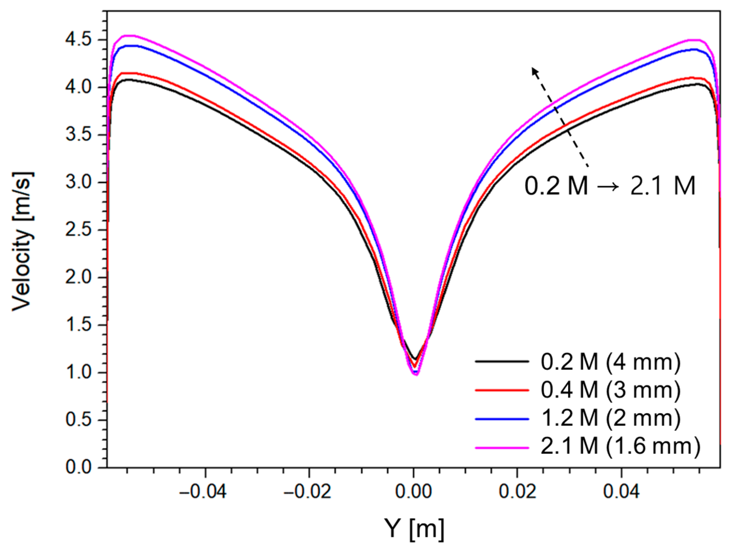
3. Results and Discussion
3.1. Effect of Diameter Ratio
3.2. Effect of Aspect Ratio
4. Conclusions
Author Contributions
Funding
Data Availability Statement
Conflicts of Interest
References
- Knight, M.A.; Wates, J.A.; Du Plessis, I. Application of hydrocyclone technology to tailings storage facilities to reduce water consumption. In Proceedings of the 15th International Seminar on Paste and Thickened Tailings, Australian Centre for Geomechanics, Perth, Australia, 16–19 April 2012; pp. 233–241. [Google Scholar]
- Zhang, Y.; Yang, M.; Jiang, L.; Wang, H.; Xu, J.; Yang, J. High Concentration Fine Particle Separation Performance in Hydrocyclones. Minerals 2021, 11, 307. [Google Scholar] [CrossRef]
- Liu, P.; Gao, Z.; Yang, X.; Hou, D.; Jiang, L.; Jiang, Z.; Yan, Z. A study on the classification performance of water-injection hydrocyclone. Physicochem. Probl. Mineral Process. 2024, 60, 194539. [Google Scholar] [CrossRef]
- Yang, X.; Yang, G.; Liu, P.; Li, X.; Jiang, L.; Zhang, J. Study on the Desliming Performance of a Novel Hydrocyclone Sand Washer. Separations 2022, 9, 74. [Google Scholar] [CrossRef]
- Vimal, A.; Thalaieswaran, S.; Kannan, N.H.; Ganeshan, P.; Venkatesh, S. A review on the Investigation of Hydrocyclone Performance by shape optimization. E3S Web Conf. 2023, 405, 04047. [Google Scholar] [CrossRef]
- Dhanorkar, M.; Mishra, I.; Sawant, R.; Sharma, K.; Sonawane, C.; Siddiqui, M.H.; Ashraf, I.; Tejani, G.G. Numerical simulation and experimental study of suspended particulate matter removal for efficient water recovery and reuse in solid–liquid separation. Sci. Rep. 2025, 15, 8060. [Google Scholar] [CrossRef]
- Fernando, C.A.; Juan, L.B.A. Flow Pattern in Hydrocyclones. In Fluid Mechanics Fundamentals of Hydrocyclones and Its Applications in the Mining Industry; Fluid Mechanics and Its Applications; Springer: Berlin/Heidelberg, Germany, 2021; Volume 126, pp. 67–127. [Google Scholar]
- Wang, Y.; Han, H.; Liang, Z.; Yang, H.; Li, F.; Zhang, W.; Zhao, Y. Analysis of the Effect of Structural Parameters on the Internal Flow Field of Composite Curved Inlet Body Hydrocyclone. Processes 2024, 12, 2654. [Google Scholar] [CrossRef]
- Li, F.; Liu, P.; Yang, X.; Zhang, Y. Numerical simulation on the effects of different inlet pipe structures on the flow field and separation performance in a hydrocyclone. Powder Technol. 2020, 373, 254–266. [Google Scholar] [CrossRef]
- Dianyu, E.; Xu, G.; Fan, H.; Cui, J.; Tan, C.; Zhang, Y.; Zou, R.; Kuang, S.; Yu, A. Numerical investigation of hydrocyclone inlet configurations for improving separation performance. Powder Technol. 2024, 434, 119384. [Google Scholar] [CrossRef]
- Wang, B.; Yu, A.B. Numerical study of particle–fluid flow in hydrocyclones with different body dimensions. Miner. Eng. 2006, 19, 1022–1033. [Google Scholar] [CrossRef]
- Cullivan, J.C.; Williams, R.A.; Cross, R. Understanding the Hydrocyclone Separator Through Computational Fluid Dynamics. Chem. Eng. Res. Des. 2003, 81, 455–466. [Google Scholar] [CrossRef]
- Durango-Cogollo, M.; Garcia-Bravo, J.; Newell, B.; Gonzalez-Mancera, A. CFD Modeling of Hydrocyclones—A Study of Efficiency of Hydrodynamic Reservoirs. Fluids 2020, 5, 118. [Google Scholar] [CrossRef]
- Vieira, L.G.M.; Barrozo, M.A.S. Effect of vortex finder diameter on the performance of a novel hydrocyclone separator. Miner. Eng. 2014, 57, 50–56. [Google Scholar] [CrossRef]
- Zhang, T.; Li, J.; Yang, D.; Wang, Z.; Zhao, W.; Fu, P.; Wang, H. High-efficiency microplastic removal in water treatment based on short flow control of hydrocyclone: Mechanism and performance. Water Res. 2024, 267, 122492. [Google Scholar] [CrossRef]
- Fang, X.; Wang, G.; Zhong, L.; Wang, D.; Qiu, S.; Li, X. Analysis of weakly cemented gas hydrate bearing sediments particles movement and de-cementation behavior in hydrocyclone separator. Powder Technol. 2023, 424, 118174. [Google Scholar] [CrossRef]
- Guo, D.; Jiang, X.; Guo, M.; Zeng, M.; Wu, N.; Hao, L.; Wang, C. Role of hydrocyclone separator on the formation and separation of aerobic granular sludge: Evaluating granulation efficiency and simulating hydrodynamic behavior. Sep. Purif. Technol. 2022, 283, 120231. [Google Scholar] [CrossRef]
- Xu, Y.; Song, X.; Sun, Z.; Tang, B.; Li, P.; Yu, J. Numerical Investigation of the Effect of the Ratio of the Vortex-Finder Diameter to the Spigot Diameter on the Steady State of the Air Core in a Hydrocyclone. Ind. Eng. Chem. Res. 2013, 52, 5470–5478. [Google Scholar] [CrossRef]
- Zhang, Y.; Xu, M.; Hu, W.; Xu, X.; Zhang, Q. Vortex finder diameter and depth effects on the separation performance of hydrocyclone. Chem. Eng. Res. Des. 2023, 195, 181–191. [Google Scholar] [CrossRef]
- Liu, P.; Chen, B.; Hou, D.; Jiang, Z.; Yan, Z.; Han, Z. Study on the Separation Performance of a Two Cylindrical Section Hydrocyclone under Various Height Ratios. ACS Omega 2024, 9, 21569–21579. [Google Scholar] [CrossRef] [PubMed]
- Dabir, B. Mean Velocity Measurements in a 300 Hydrocyclone Using Laser Doppler Anemometry. Ph.D. Thesis, Chemical Engineering Department, Michigan State University, East Lansing, MI, USA, 1983. [Google Scholar]
- Versteeg, H.K.; Malalasekera, W. An Introduction to Computational Fluid Dynamics: The Finite Volume Method, 2nd ed.; Pearson Education: Harlow, UK, 2007. [Google Scholar]
- Shih, T.H.; Liou, W.W.; Shabbir, A.; Yang, Z.; Zhu, J. A new k-ε eddy viscosity model for high reynolds number turbulent flows. Comput. Fluids 1995, 24, 227–238. [Google Scholar] [CrossRef]
- Morsi, S.A.; Alexander, A.J. An investigation of particle trajectories in two-phase flow systems. J. Fluid Mech. 1972, 55, 193–208. [Google Scholar] [CrossRef]
- Hsieh, K.T.; Rajamani, R.K. Mathematical model of the hydrocyclone based on physics of fluid flow. ALCHE J. 1991, 37, 735–746. [Google Scholar] [CrossRef]
- Wu, Z.; Liang, Z.; Li, P.; Li, F.; Yang, H. Effect of Vortex Finder Wall Thickness on Internal Flow Field and Classification Performance in a Hydrocyclone. Separations 2025, 12, 149. [Google Scholar] [CrossRef]
- Fu, S.; Qian, Y.; Yuan, H.; Fang, Y. Effect of cone angles of a hydrocyclone for the separation of waste plastics with low value of density difference. Waste Manag. 2022, 140, 183–192. [Google Scholar] [CrossRef]
- Wang, C.; Ma, Y.; Sui, W. The Secondary Flows in a Cyclone Separator: A Review. Processes 2023, 11, 2935. [Google Scholar] [CrossRef]
- Cavalcante, D.C.M.; Magalhães, H.L.F.; Neto, S.R.F.; Gomez, R.S.; Delgado, J.M.P.Q.; Lima, A.G.B.; Vasconcelos, D.B.T.; Silva, M.J.V.; Farias, D.O.; Queiroz, S.F.A.M.; et al. Hydrodynamic Evaluation of a Filtering Hydrocyclone for Solid Particle/Water Separation. Membranes 2024, 14, 171. [Google Scholar] [CrossRef]



















| Model | Cylinder Diameter Dc (mm) | Overflow Diameter Do (mm) | Diameter Ratio Do/Dc | Aspect Ratio L/Dc | Length L (mm) |
|---|---|---|---|---|---|
| Case 1 | 132 | 30 | 0.23 | 3.0 | 396 |
| Case 2 | 132 | 40 | 0.3 | 3.0 | 396 |
| Case 3 | 132 | 50 | 0.37 | 3.0 | 396 |
| Case 4 | 132 | 60 | 0.45 | 3.0 | 396 |
| Case 5 | 132 | 62 | 0.47 | 3.0 | 396 |
| Case 6 | 132 | 62 | 0.47 | 4.5 | 610 |
| Case 7 | 132 | 62 | 0.47 | 6.0 | 814 |
Disclaimer/Publisher’s Note: The statements, opinions and data contained in all publications are solely those of the individual author(s) and contributor(s) and not of MDPI and/or the editor(s). MDPI and/or the editor(s) disclaim responsibility for any injury to people or property resulting from any ideas, methods, instructions or products referred to in the content. |
© 2025 by the authors. Licensee MDPI, Basel, Switzerland. This article is an open access article distributed under the terms and conditions of the Creative Commons Attribution (CC BY) license (https://creativecommons.org/licenses/by/4.0/).
Share and Cite
Choi, S.; Choi, W.; Shin, D.; Ahn, S.; Sung, Y. Effects of Diameter and Aspect Ratios on Particle Separation Efficiency in Hydrocyclones. Processes 2025, 13, 3980. https://doi.org/10.3390/pr13123980
Choi S, Choi W, Shin D, Ahn S, Sung Y. Effects of Diameter and Aspect Ratios on Particle Separation Efficiency in Hydrocyclones. Processes. 2025; 13(12):3980. https://doi.org/10.3390/pr13123980
Chicago/Turabian StyleChoi, Seunggi, Wontak Choi, Dongmin Shin, Seongyool Ahn, and Yonmo Sung. 2025. "Effects of Diameter and Aspect Ratios on Particle Separation Efficiency in Hydrocyclones" Processes 13, no. 12: 3980. https://doi.org/10.3390/pr13123980
APA StyleChoi, S., Choi, W., Shin, D., Ahn, S., & Sung, Y. (2025). Effects of Diameter and Aspect Ratios on Particle Separation Efficiency in Hydrocyclones. Processes, 13(12), 3980. https://doi.org/10.3390/pr13123980

