The Pore Structure Development and Evolution of the Q4 Member in Lower Cretaceous, Northern Songliao Basin
Abstract
1. Introduction
2. Experiments and Methods
2.1. Optics and Fluid Injection Experiments
2.2. The Calculation Methods of Porosity Changes
3. Results and Discussion
3.1. Physical Properties of Q4 Reservoir
3.2. The Development of Pore Types in Q4 Reservoir
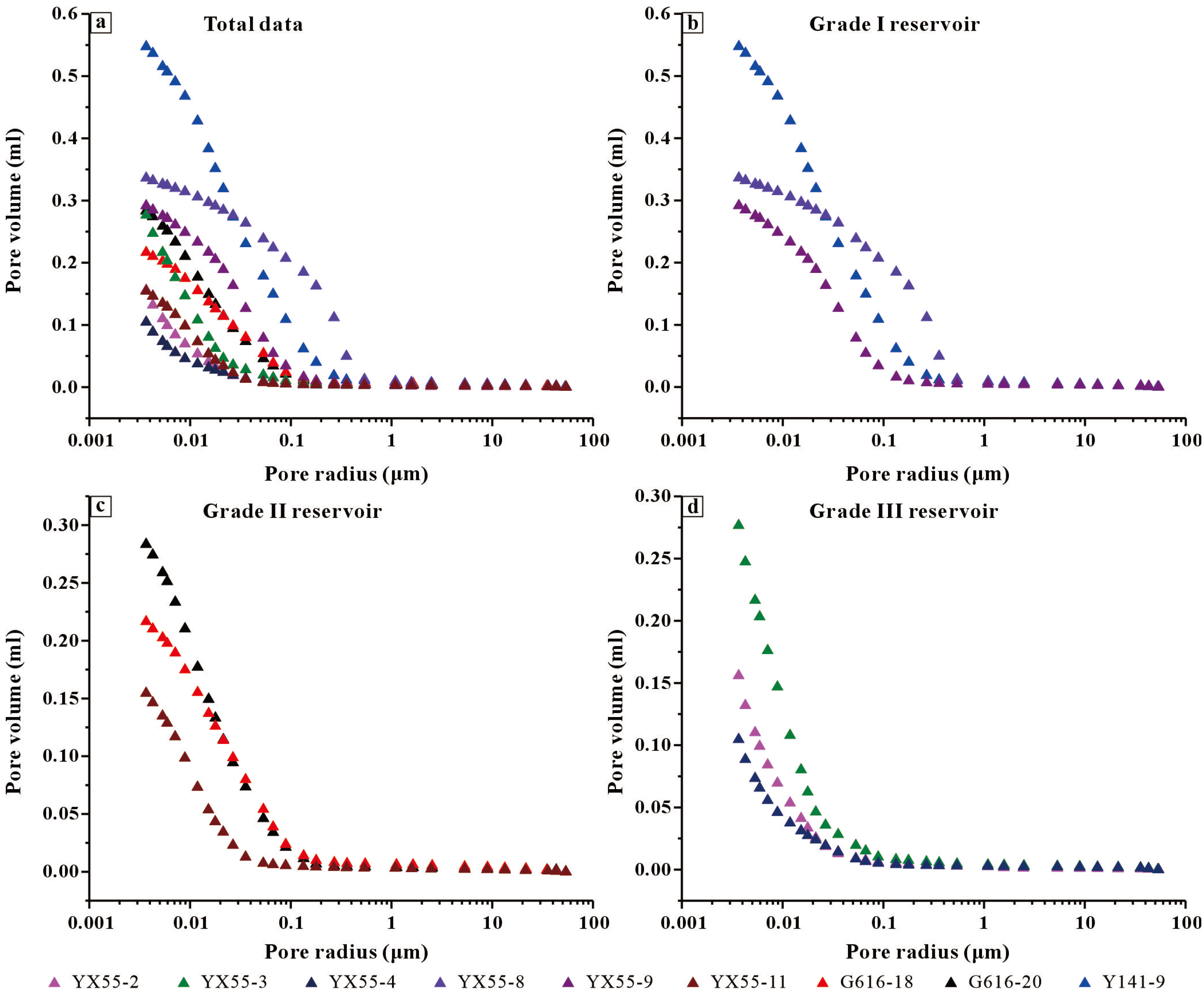
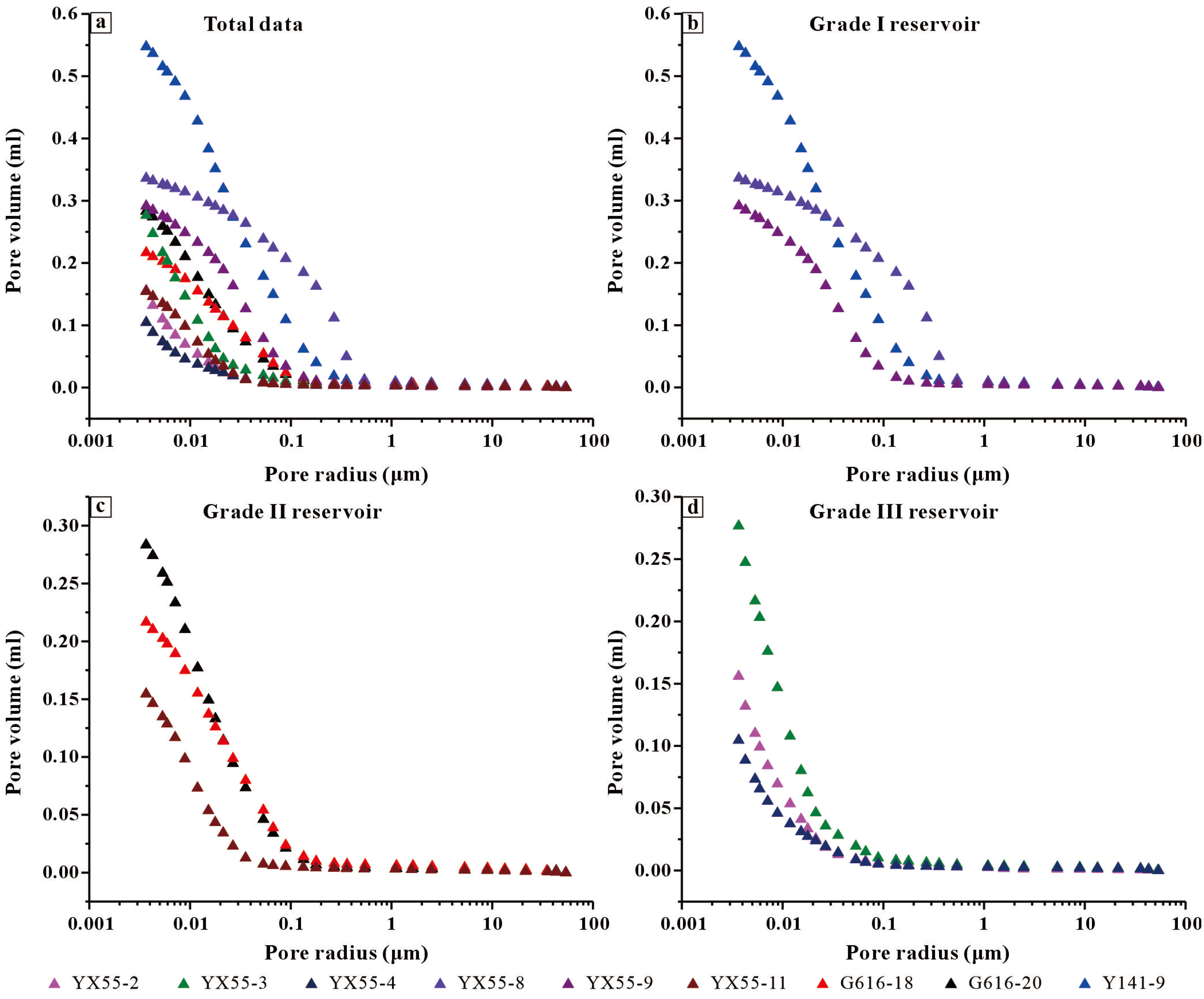
3.3. Pore Size Distribution and Reservoir Classification
3.4. The Evolution Process and Mechanism of Pore Structure
4. Conclusions
Author Contributions
Funding
Data Availability Statement
Conflicts of Interest
References
- Wachtmeister, H.; Höök, M. Investment and production dynamics of conventional oil and unconventional tight oil: Implications for oil markets and climate strategies. Energy Clim. Change 2020, 1, 100010. [Google Scholar] [CrossRef]
- Boak, J.; Kleinberg, R. Shale gas, tight oil, shale oil and hydraulic fracturing. In Future Energy; Elsevier: Amsterdam, The Netherlands, 2020; pp. 67–95. [Google Scholar] [CrossRef]
- Xie, W.; Chen, S.; Gan, H.; Wang, H.; Wang, M.; Vandeginste, V. Preservation conditions and potential evaluation of the Longmaxi shale gas reservoir in the Changning area, southern Sichuan Basin. Geosci. Lett. 2023, 10, 36. [Google Scholar] [CrossRef]
- Kabir, S.; Rasdi, F.; Igboalisi, B. Analyzing production data from tight oil wells. J. Can. Pet. Technol. 2011, 50, 48–58. [Google Scholar] [CrossRef]
- Aguilera, R. Flow units: From conventional to tight-gas to shale-gas to tight-oil to shale-oil reservoirs. SPE Reserv. Eval. Eng. 2014, 17, 190–208. [Google Scholar] [CrossRef]
- Xie, W.; Wang, H.; Vandeginste, V.; Chen, S.; Gan, H.; Wang, M.; Yu, Z. Thermodynamic and kinetic affinity of CO2 relative to CH4 and their pressure, temperature and pore structure sensitivity in the competitive adsorption system in shale gas reservoirs. Energy 2023, 277, 127591. [Google Scholar] [CrossRef]
- Zhou, Q.; Li, X.; Qian, Z.; Chen, G.; Lyu, C.; Ma, X.; Li, C. The occurrence of adsorbed tight oil and its effect on porosity and permeability reduction of Triassic lacustrine sandstone reservoir. Geofluids 2022, 2022, 6923449. [Google Scholar] [CrossRef]
- Sun, Y.P.; Xin, Y.; Lyu, F.T.; Dai, C.L. Experimental study on the mechanism of adsorption-improved imbibition in oil-wet tight sandstone by a nonionic surfactant for enhanced oil recovery. Pet. Sci. 2021, 18, 1115–1126. [Google Scholar] [CrossRef]
- Ran, Y.; Du, C.; Zhang, J. Accumulation condition of “below the source rock” tight oil in the 4th member of Cretaceous Quantou Formation in Putaohua Oilfield, northern Songliao Basin. Lithol. Reserv. 2025, 37, 47–58. [Google Scholar] [CrossRef]
- Liu, Q.; Zhang, Y. Diagenesis and diagenetic facies of extra-low to ultra-low permeability reservoir in the Member 4 of Quantou Formation in Yudong area, Songliao Basin. J. Palaeogeogr. 2025, 27, 499–516. [Google Scholar] [CrossRef]
- Xi, K.; Cao, Y.; Jahren, J.; Zhu, R.; Bjørlykke, K.; Haile, B.G.; Zheng, L.; Hellevang, H. Diagenesis and reservoir quality of the Lower Cretaceous Quantou Formation tight sandstones in the southern Songliao Basin, China. Sediment. Geol. 2015, 330, 90–107. [Google Scholar] [CrossRef]
- Huang, W.; Lu, S.; Osman, S.H. Quality grading system for tight sandstone reservoirs in the Quantou 4 Member, southern Songliao Basin, Northeast China. Interpretation 2017, 5, T503–T522. [Google Scholar] [CrossRef]
- Ma, C.; Liu, C.; Zhou, X.; Tang, J.J.; Liu, Y.L. Microscopic pore structure of dense sandstone reservoirs and its influence on movable fluids: A case study from the fourth Member of Quantou Formation in the Central Depression, Songliao Basion. J. Yangtze Univ. (Nat. Sci. Ed.) 2025. [Google Scholar] [CrossRef]
- Zhang, Q.; Wu, X.S.; Radwan, A.E.; Wang, B.-H.; Wang, K.; Tian, H.-Y.; Yin, S. Diagenesis of continental tight sandstone and its control on reservoir quality: A case study of the Quan 3 member of the cretaceous Quantou Formation, Fuxin uplift, Songliao Basin. Mar. Pet. Geol. 2022, 145, 105883. [Google Scholar] [CrossRef]
- Zhang, Q.; Zhang, Y.X.; Wang, B.H.; Yin, S.; Wu, X.S.; Yuan, C.S. Comprehensive evaluation and reservoir classification in the Quan 3 member of the Cretaceous Quantou Formation in the Fuxin Uplift, Songliao Basin. Front. Earth Sci. 2022, 10, 1016924. [Google Scholar] [CrossRef]
- Cao, Z.; Lin, C.; Dong, C.; Ren, L.; Han, S.; Dai, J.; Xu, X.; Qin, M.; Zhu, P. Impact of sequence stratigraphy, depositional facies, diagenesis and CO2 charge on reservoir quality of the lower cretaceous Quantou Formation, Southern Songliao Basin, China. Mar. Pet. Geol. 2018, 93, 497–519. [Google Scholar] [CrossRef]
- Zhao, Y.; Wu, S.; Chen, Y.; Yu, C.; Yu, Z.; Hua, G.; Guan, M.; Lin, M.; Yu, X. CO2-water-rock interaction and pore structure evolution of the tight sandstones of the Quantou formation, Songliao Basin. Energies 2022, 15, 9268. [Google Scholar] [CrossRef]
- Li, L.; Li, Z.; Han, H.; Liu, C.; Li, Y.; Zhao, W.; Wang, J.; Bao, Z. Multifractal Analysis of Tight Sandstone Using Micro-CT Methods: A Case from the Lower Cretaceous Quantou Formation, Southern Songliao Basin, NE China. Fractal Fract. 2025, 9, 336. [Google Scholar] [CrossRef]
- Yang, Z.; Tang, X.; Xiao, H.; Zhang, F.; Jiang, Z.; Liu, G. Water film thickness of tight reservoir in Fuyu oil layer of Cretaceous Quantou Formation in Songliao Basin and its influence on the lower limit of seepage. Mar. Pet. Geol. 2022, 139, 105592. [Google Scholar] [CrossRef]
- Shen, H.; Yang, L.; Han, H.; Wang, Y.; Xing, J.; Xue, S.; Liu, H. New fields, new types and resource potentials of oil-gas exploration in southern Songliao Basin. Acta Pet. Sin. 2023, 44, 2104–2121. [Google Scholar] [CrossRef]
- Wang, X.; Bai, X.; Lu, J.; Jin, Z.; Wang, G.; Kuang, L.; Li, J.; Li, J.; Zhang, J.; Sun, L.; et al. New fields, new types and resource potentials of oil-gas exploration in northern Songliao Basin. Acta Pet. Sin. 2023, 44, 2091–2103+2178. [Google Scholar] [CrossRef]
- Beard, D.C.; Weyl, P.K. Influence of texture on porosity and permeability of unconsolidated sand. AAPG Bull. 1973, 57, 349–369. [Google Scholar] [CrossRef]
- Sun, M.; Liu, C.; Yang, Y.; Feng, C. Origin and classification of the composite sand bodies of the delta front in K1q4 of the Quantou Formation in the central region of the Fuyu oil field. J. Pet. Explor. Prod. Technol. 2016, 6, 629–639. [Google Scholar] [CrossRef]
- Luo, C.; Jia, A.; Guo, J.; Liu, W.; Yin, N.; Chen, C.; Wang, J.; Gao, X.; Guo, Z. Modeling of dense well block point bar architecture based on geological vector information: A case study of the third member of Quantou Formation in Songliao Basin. Open Geosci. 2021, 13, 39–48. [Google Scholar] [CrossRef]
- Gao, Y.; Wang, Z.; She, Y.; Lin, S.; Lin, M.; Zhang, C. Mineral characteristic of rocks and its impact on the reservoir quality of He 8 tight sandstone of Tianhuan area, Ordos Basin, China. J. Nat. Gas Geosci. 2019, 4, 205–214. [Google Scholar] [CrossRef]
- Liu, Y.; Zhang, X.; Shi, J.; Guo, W.; Kang, L.; Yu, R.; Sun, Y.; Wang, Z.; Pan, M. A reservoir quality evaluation approach for tight sandstone reservoirs based on the gray correlation algorithm: A case study of the Chang 6 layer in the W area of the as oilfield, Ordos Basin. Energy Explor. Exploit. 2021, 39, 1027–1056. [Google Scholar] [CrossRef]
- Xie, W.; Wang, M.; Wang, H.; Ma, R.; Duan, H. Diagenesis of shale and its control on pore structure, a case study from typical marine, transitional and continental shales. Front. Earth Sci. 2021, 15, 378–394. [Google Scholar] [CrossRef]
- Xie, W.; Chen, S.; Vandeginste, V.; Yu, Z.; Wang, H.; Wang, M. Review of the effect of diagenetic evolution of shale reservoir on the pore structure and adsorption capacity of clay minerals. Energy Fuels 2022, 36, 4728–4745. [Google Scholar] [CrossRef]
- Qiao, J.; Zeng, J.; Jiang, S.; Feng, S.; Feng, X.; Guo, Z.; Teng, J. Heterogeneity of reservoir quality and gas accumulation in tight sandstone reservoirs revealed by pore structure characterization and physical simulation. Fuel 2019, 253, 1300–1316. [Google Scholar] [CrossRef]
- Zhu, P.; Dong, Y.; Chen, M.; Li, Z.; Han, B.; Wang, J.; Cui, Y. Quantitative evaluation of pore structure from mineralogical and diagenetic information extracted from well logs in tight sandstone reservoirs. J. Nat. Gas Sci. Eng. 2020, 80, 103376. [Google Scholar] [CrossRef]
- Sima, L.; Wang, C.; Wang, L.; Wu, F.; Ma, L.; Wang, Z. Effect of pore structure on the seepage characteristics of tight sandstone reservoirs: A case study of Upper Jurassic Penglaizhen Fm reservoirs in the western Sichuan Basin. Nat. Gas Ind. B 2017, 4, 17–24. [Google Scholar] [CrossRef]
- Qu, H.J.; Yang, B.; Tian, X.H.; Liu, X.-S.; Yang, H.; Dong, W.-W.; Chen, Y.-H. The primary controlling parameters of porosity, permeability, and seepage capability of tight gas reservoirs: A case study on Upper Paleozoic Formation in the eastern Ordos Basin, Northern China. Pet. Sci. 2019, 16, 1270–1284. [Google Scholar] [CrossRef]
- Lai, J.; Wang, G.; Ran, Y.; Zhou, Z.; Cui, Y. Impact of diagenesis on the reservoir quality of tight oil sandstones: The case of Upper Triassic Yanchang Formation Chang 7 oil layers in Ordos Basin, China. J. Pet. Sci. Eng. 2016, 145, 54–65. [Google Scholar] [CrossRef]
- Mustafa, A.; AMahmoud, M.; Abdulraheem, A. A review of pore structure characterization of unconventional tight reservoirs. In Proceedings of the Abu Dhabi International Petroleum Exhibition and Conference, Abu Dhabi, United Arab Emirates, 11–14 November 2019; p. D031S098R001. [Google Scholar] [CrossRef]
- Mills, M.M.; Sanchez, A.C.; Boisvert, L.; Payne, C.B.; Ho, T.A.; Wang, Y. Understanding smectite to illite transformation at elevated (>100 C) temperature: Effects of liquid/solid ratio, interlayer cation, solution chemistry and reaction time. Chem. Geol. 2023, 615, 121214. [Google Scholar] [CrossRef]
- Lander, R.H.; Walderhaug, O. Predicting porosity through simulating sandstone compaction and quartz cementation. AAPG Bull. 1999, 83, 433–449. [Google Scholar] [CrossRef]
- Yue, D.; Wu, S.; Xu, Z.; Xiong, L.; Chen, D.; Ji, Y.; Zhou, Y. Reservoir quality, natural fractures, and gas productivity of upper Triassic Xujiahe tight gas sandstones in western Sichuan Basin, China. Mar. Pet. Geol. 2018, 89, 370–386. [Google Scholar] [CrossRef]
- Shao, X.; Pang, X.; Jiang, F.; Li, L.; Huyan, Y.; Zheng, D. Diagenetic characteristics and reservoir quality in tight gas sandstones: A case study of the Shanxi Formation in the north--eastern Ordos Basin, China. Geol. J. 2019, 54, 3257–3271. [Google Scholar] [CrossRef]
- Xie, W.; Wang, M.; Chen, S.; Vandeginste, V.; Yu, Z.; Wang, H. Effects of gas components, reservoir property and pore structure of shale gas reservoir on the competitive adsorption behavior of CO2 and CH4. Energy 2022, 254, 124242. [Google Scholar] [CrossRef]













| Experimental Item | Experimental Equipment |
|---|---|
| Microsection observation | DM2700P Polarization Microscope |
| Pore observation | SIGMA03040100 Scanning Electron Microscope |
| Pore size, porosity, and permeability | Auto Pore V9620 High-Pressure Mercury Intrusion Porosimeter |
| Reservoir Grade | Average Pore Radius (μm) | Porosity (%) | Permeability (mD) |
|---|---|---|---|
| Grade I | >0.175 | >10 | >0.25 |
| Grade II | 0.075–0.175 | 8–10 | 0.1–0.25 |
| Grade III | <0.075 | <8 | <0.1 |
| Reservoir Type | Original Porosity (%) | Compaction Loss Porosity (%) | Cementation Loss Porosity (%) | Dissolution Increase Porosity (%) | Current Porosity (%) |
|---|---|---|---|---|---|
| Grade I | 37.49 | 24.92 | 2.67 | 4.92 | 14.82 |
| Grade II | 36.58 | 23.48 | 7.33 | 3.21 | 8.98 |
| Grade III | 36.92 | 23.87 | 12.04 | 2.56 | 3.57 |
Disclaimer/Publisher’s Note: The statements, opinions and data contained in all publications are solely those of the individual author(s) and contributor(s) and not of MDPI and/or the editor(s). MDPI and/or the editor(s) disclaim responsibility for any injury to people or property resulting from any ideas, methods, instructions or products referred to in the content. |
© 2025 by the authors. Licensee MDPI, Basel, Switzerland. This article is an open access article distributed under the terms and conditions of the Creative Commons Attribution (CC BY) license (https://creativecommons.org/licenses/by/4.0/).
Share and Cite
Li, J.; Chen, F.; Zheng, Q.; Zhu, Y.; Wang, Q.; Hao, J. The Pore Structure Development and Evolution of the Q4 Member in Lower Cretaceous, Northern Songliao Basin. Processes 2025, 13, 3965. https://doi.org/10.3390/pr13123965
Li J, Chen F, Zheng Q, Zhu Y, Wang Q, Hao J. The Pore Structure Development and Evolution of the Q4 Member in Lower Cretaceous, Northern Songliao Basin. Processes. 2025; 13(12):3965. https://doi.org/10.3390/pr13123965
Chicago/Turabian StyleLi, Junhui, Fangju Chen, Qiang Zheng, Yanping Zhu, Qi Wang, and Jiawei Hao. 2025. "The Pore Structure Development and Evolution of the Q4 Member in Lower Cretaceous, Northern Songliao Basin" Processes 13, no. 12: 3965. https://doi.org/10.3390/pr13123965
APA StyleLi, J., Chen, F., Zheng, Q., Zhu, Y., Wang, Q., & Hao, J. (2025). The Pore Structure Development and Evolution of the Q4 Member in Lower Cretaceous, Northern Songliao Basin. Processes, 13(12), 3965. https://doi.org/10.3390/pr13123965
