Experience with the mTOR Inhibitor Everolimus in Pediatric Liver Graft Recipients
Abstract
:1. Introduction
2. Materials and Methods
2.1. Patients
2.2. Standard Immunosuppressive Medication
3. Results
3.1. Study Population
3.2. Immunosuppression
3.2.1. Efficacy
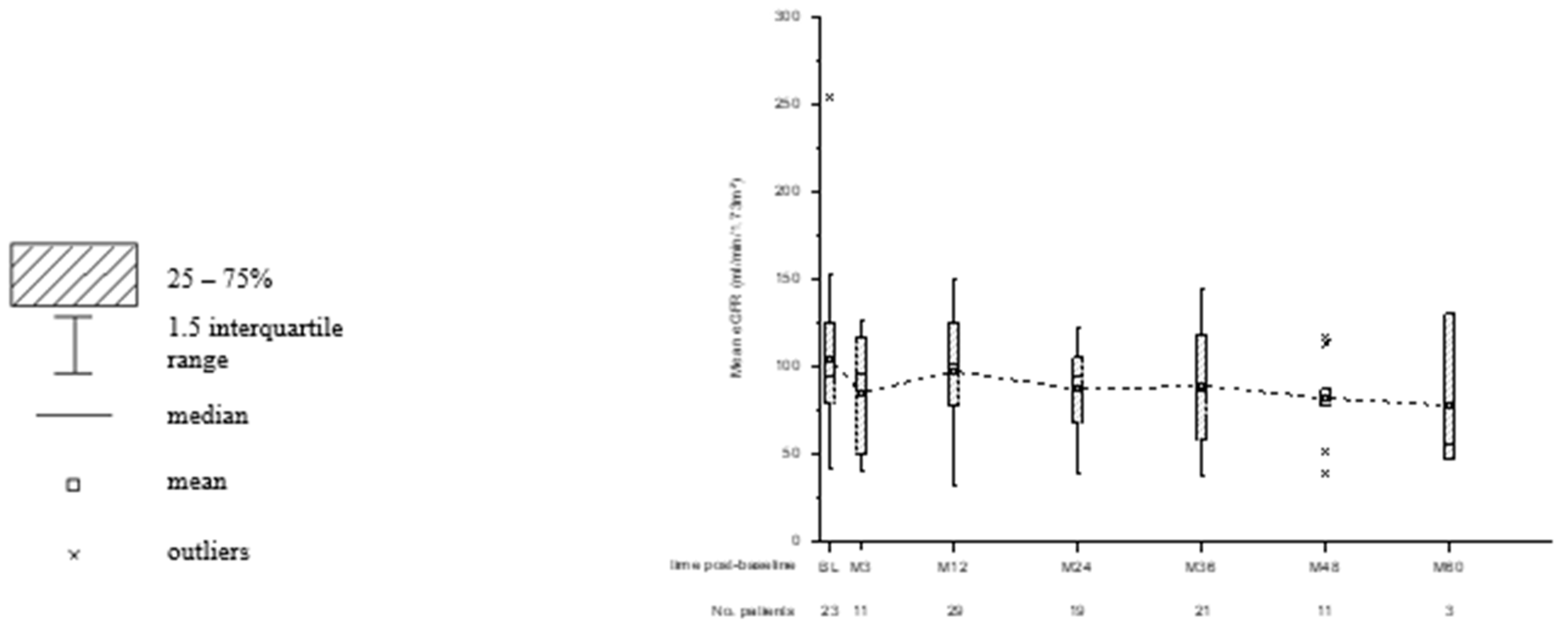
3.2.2. Renal Function
3.2.3. Malignancy, CMV and EBV Status
3.2.4. Overall Safety and Side Effects
3.2.5. Growth and Development
4. Discussion
5. Conclusions
Author Contributions
Funding
Institutional Review Board Statement
Informed Consent Statement
Data Availability Statement
Conflicts of Interest
References
- Grabhorn, E.; Schulz, A.; Helmke, K.; Hinrichs, B.; Rogiers, X.; Broering, D.C.; Burdelski, M.; Ganschow, R. Short- and long-term results of liver transplantation in infants aged less than 6 months. Transplantation 2004, 78, 235–241. [Google Scholar] [CrossRef]
- Otte, J.B. Pediatric liver transplantation: Personal perspectives on historical achievements and future challenges. Liver Transplant. Off. Publ. Am. Assoc. Study Liver Dis. Int. Liver Transplant. Soc. 2016, 22, 1284–1294. [Google Scholar] [CrossRef] [PubMed]
- de la Garza, R.G.; Sarobe, P.; Merino, J.; Lasarte, J.J.; D’Avola, D.; Belsue, V.; Delgado, J.A.; Silva, L.; Iñarrairaegui, M.; Sangro, B.; et al. Trial of complete weaning from immunosuppression for liver transplant recipients: Factors predictive of tolerance. Liver Transplant. Off. Publ. Am. Assoc. Study Liver Dis. Int. Liver Transplant. Soc. 2013, 19, 937–944. [Google Scholar] [CrossRef] [PubMed]
- Chapman, J.R. Chronic calcineurin inhibitor nephrotoxicity-lest we forget. Am. J. Transplant. 2011, 11, 693–697. [Google Scholar] [CrossRef] [PubMed]
- Ganschow, R.; Albani, J.; Grabhorn, E.; Richter, A.; Burdelski, M. Tacrolimus-induced cholestatic syndrome following pediatric liver transplantation and steroid-resistant graft rejection. Pediatr. Transplant. 2006, 10, 220–224. [Google Scholar] [CrossRef] [PubMed]
- Oto, T.; Okazaki, M.; Takata, K.; Egi, M.; Yamane, M.; Toyooka, S.; Sano, Y.; Snell, G.I.; Goto, K.; Miyoshi, S. Calcineurin inhibitor-related cholestasis complicating lung transplantation. Ann. Thorac. Surg. 2010, 89, 1664–1665. [Google Scholar] [CrossRef] [PubMed]
- Al-Mansour, Z.; Nelson, B.P.; Evens, A.M. Post-Transplant Lymphoproliferative Disease (PTLD): Risk Factors, Diagnosis, and Current Treatment Strategies. Curr. Hematol. Malig. Rep. 2013, 8, 173–183. [Google Scholar] [CrossRef] [PubMed]
- Opelz, G.; Dohler, B. Lymphomas after solid organ transplantation: A collaborative transplant study report. Am. J. Transplant. 2004, 4, 222–230. [Google Scholar] [CrossRef]
- Soltys, K.A.; Mazariegos, G.V.; Squires, R.H.; Sindhi, R.K.; Anand, R. Late graft loss or death in pediatric liver transplantation: An analysis of the SPLIT database. Am. J. Transplant. 2007, 7, 2165–2171. [Google Scholar] [CrossRef]
- Boillot, O.; Baulieux, J.; Wolf, P.; Messner, M.; Cherqui, D.; Gugenheim, J.; Pageaux, G.; Belghiti, J.; Calmus, Y.; Treut, Y.L.; et al. Low rejection rates with tacrolimus-based dual and triple regimens following liver transplantation. Clin. Transplant. 2001, 15, 159–166. [Google Scholar] [CrossRef]
- Campbell, K.M.; Yazigi, N.; Ryckman, F.C.; Alonso, M.; Tiao, G.; Balistreri, W.F.; Atherton, H.; Bucuvalas, J.C. High prevalence of renal dysfunction in long-term survivors after pediatric liver transplantation. J. Pediatr. 2006, 148, 475–480. [Google Scholar] [CrossRef] [PubMed]
- Brinkert, F.; Kemper, M.J.; Briem-Richter, A.; van Husen, M.; Treszl, A.; Ganschow, R. High prevalence of renal dysfunction in children after liver transplantation: Non-invasive diagnosis using a cystatin C-based equation. Nephrol. Dial. Transplant. Off. Publ. Eur. Dial. Transpl. Assoc.—Eur. Ren. Assoc. 2011, 26, 1407–1412. [Google Scholar] [CrossRef] [PubMed]
- Ojo, A.O.; Held, P.J.; Port, F.K.; Wolfe, R.A.; Leichtman, A.B.; Young, E.W.; Arndorfer, J.; Christensen, L.; Merion, R.M. Chronic renal failure after transplantation of a nonrenal organ. N. Engl. J. Med. 2003, 349, 931–940. [Google Scholar] [CrossRef] [PubMed]
- Pham, P.T.; Pham, P.C.; Wilkinson, A.H. Management of renal dysfunction in the liver transplant recipient. Curr. Opin. Organ Transplant. 2009, 14, 231–239. [Google Scholar] [CrossRef] [PubMed]
- De Simone, P.; Metselaar, H.J.; Fischer, L.; Dumortier, J.; Boudjema, K.; Hardwigsen, J.; Rostaing, L.; De Carlis, L.; Saliba, F.; Nevens, F. Conversion from a calcineurin inhibitor to everolimus therapy in maintenance liver transplant recipients: A prospective, randomized, multicenter trial. Liver Transplant. Off. Publ. Am. Assoc. Study Liver Dis. Int. Liver Transplant. Soc. 2009, 15, 1262–1269. [Google Scholar] [CrossRef]
- Castroagudin, J.F.; Molina, E.; Romero, R.; Otero, E.; Tome, S.; Varo, E. Improvement of renal function after the switch from a calcineurin inhibitor to everolimus in liver transplant recipients with chronic renal dysfunction. Liver Transplant. Off. Publ. Am. Assoc. Study Liver Dis. Int. Liver Transplant. Soc. 2009, 15, 1792–1797. [Google Scholar] [CrossRef]
- Levy, G.; Schmidli, H.; Punch, J.; Tuttle-Newhall, E.; Mayer, D.; Neuhaus, P.; Samuel, D.; Nashan, B.; Klempnauer, J.; Langnas, A.; et al. Safety, tolerability, and efficacy of everolimus in de novo liver transplant recipients: 12- and 36-month results. Liver Transplant. Off. Publ. Am. Assoc. Study Liver Dis. Int. Liver Transplant. Soc. 2006, 12, 1640–1648. [Google Scholar] [CrossRef]
- Chan, L.; Greenstein, S.; Hardy, M.A.; Hartmann, E.; Bunnapradist, S.; Cibrik, D.; Shaw, L.M.; Munir, L.; Ulbricht, B.; Cooper, M. Multicenter, randomized study of the use of everolimus with tacrolimus after renal transplantation demonstrates its effectiveness. Transplantation 2008, 85, 821–826. [Google Scholar] [CrossRef]
- Gibelli, N.; Tannuri, U.; Pinho-Apezzato, M.; Tannuri, A.C.A.; Maksoud-Filho, J.; Andrade, W.; Velhote, M.; Santos, M.M.; Ayoub, A.; da Silva, M.M. Sirolimus in pediatric liver transplantation: A single-center experience. Transplant. Proc. 2009, 41, 901–903. [Google Scholar] [CrossRef]
- Nielsen, D.; Briem-Richter, A.; Sornsakrin, M.; Fischer, L.; Nashan, B.; Ganschow, R. The use of everolimus in pediatric liver transplant recipients: First experience in a single center. Pediatr. Transplant. 2011, 15, 510–514. [Google Scholar] [CrossRef]
- Ganschow, R.; Ericzon, B.-G.; Dhawan, A.; Sharif, K.; Martzloff, E.-D.; Rauer, B.; Ng, J.; Lopez, P. Everolimus and reduced calcineurin inhibitor therapy in pediatric liver transplant recipients: Results from a multicenter, prospective study. Pediatr. Transplant. 2017, 21, e13024. [Google Scholar] [CrossRef] [PubMed]
- Yee, M.L.; Tan, H.H. Use of everolimus in liver transplantation. World J. Hepatol. 2017, 9, 990–1000. [Google Scholar] [CrossRef]
- Bilbao, I.; Salcedo, M.; Gomez, M.A.; Jimenez, C.; Castroagudín, J.; Fabregat, J.; Almohalla, C.; Herrero, I.; Cuervas-Mons, V.; Otero, A.; et al. Renal function improvement in liver transplant recipients after early everolimus conversion: A clinical practice cohort study in Spain. Liver Transplant. Off. Publ. Am. Assoc. Study Liver Dis. Int. Liver Transplant. Soc. 2015, 21, 1056–1065. [Google Scholar] [CrossRef] [PubMed]
- De Simone, P.; Nevens, F.; De Carlis, L.; Metselaar, H.J.; Beckebaum, S.; Saliba, F.; Jonas, S.; Sudan, D.; Fung, J.; Fischer, L.; et al. Everolimus With Reduced Tacrolimus Improves Renal Function in De Novo Liver Transplant Recipients: A Randomized Controlled Trial. Am. J. Transplant. 2012, 12, 3008–3020. [Google Scholar] [CrossRef]
- Pape, L.; Offner, G.; Kreuzer, M.; Froede, K.; Drube, J.; Kanzelmeyer, N.; Ehrich, J.H.H.; Ahlenstiel, T. De novo therapy with everolimus, low-dose ciclosporine A, basiliximab and steroid elimination in pediatric kidney transplantation. Am. J. Transplant. 2010, 10, 2349–2354. [Google Scholar] [CrossRef]
- Pape, L.; Lehner, F.; Blume, C.; Ahlenstiel, T. Pediatric kidney transplantation followed by de novo therapy with everolimus, low-dose cyclosporine A, and steroid elimination: 3-year data. Transplantation 2011, 92, 658–662. [Google Scholar] [CrossRef] [PubMed]
- Monteverde, M.L.; Ibanez, J.; Balbarrey, Z.; Chaparro, A.; Diaz, M.; Turconi, A. Conversion to sirolimus in pediatric renal transplant patients: A single-center experience. Pediatr. Transplant. 2012, 16, 582–588. [Google Scholar] [CrossRef] [PubMed]
- Basso, M.-S.; Subramaniam, P.; Tredger, M.; Verma, A.; Heaton, N.; Rela, M.; Mieli-Vergani, G.; Dhawan, A. Sirolimus as renal and immunological rescue agent in pediatric liver transplant recipients. Pediatr. Transplant. 2011, 15, 722–727. [Google Scholar] [CrossRef]
- Rifai, K.; Kirchner, G.I.; Bahr, M.J.; Cantz, T.; Rosenau, J.; Nashan, B.; Klempnauer, J.L.; Manns, M.P.; Strassburg, C.P. A new side effect of immunosuppression: High incidence of hearing impairment after liver transplantation. Liver Transplant. Off. Publ. Am. Assoc. Study Liver Dis. Int. Liver Transplant. Soc. 2006, 12, 411–415. [Google Scholar] [CrossRef]
- Vallin, M.; Guillaud, O.; Morard, I.; Gagnieu, M.-C.; Mentha, G.; Adham, M.; Morelon, E.; Boillot, O.; Giostra, E.; Dumortier, J. Tolerability of everolimus-based immunosuppression in maintenance liver transplant recipients. Clin. Transplant. 2011, 25, 660–669. [Google Scholar] [CrossRef]
- Kaplan, B.; Qazi, Y.; Wellen, J.R. Strategies for the management of adverse events associated with mTOR inhibitors. Transplant. Rev. 2014, 28, 126–133. [Google Scholar] [CrossRef] [PubMed]
- Grushkin, C.; Mahan, J.D.; Mange, K.C.; Hexham, J.M.; Ettenger, R. De novo therapy with everolimus and reduced-exposure cyclosporine following pediatric kidney transplantation: A prospective, multicenter, 12-month study. Pediatr. Transplant. 2013, 17, 237–243. [Google Scholar] [CrossRef] [PubMed]
- Chapman, J.R.; Webster, A.C.; Wong, G. Cancer in the Transplant Recipient. Cold Spring Harb. Perspect. Med. 2013, 3, a015677. [Google Scholar] [CrossRef] [PubMed]
- Majewski, M.; Korecka, M.; Joergensen, J.; Fields, L.; Kossev, P.; Schuler, W.; Shaw, L.; Wasik, M.A. Immunosuppressive TOR kinase inhibitor everolimus (RAD) suppresses growth of cells derived from posttransplant lymphoproliferative disorder at allograft-protecting doses. Transplantation 2003, 75, 1710–1717. [Google Scholar] [CrossRef]



| Patient | Sex | Diagnosis Led to LT | Age at LT; Months | Age at EVL Start; Years | Previous Regime | Current Regime | Reasons for Discontinuation of Therapy with EVL | Side Effects | Follow-Up Period; Months |
|---|---|---|---|---|---|---|---|---|---|
| Group I: Chronic graft dysfunction | |||||||||
| 1 | f | biliary atresia | 19 | 10 | Tac | EVL, Tac | 48 | ||
| 2 | f | DGUOK | 3 | 2 | Tac | EVL, CsA | bi, hl | 60 | |
| 3 | m | hepatoblastoma | 162 | 13 | CsA | EVL, Tac/EVL CsA | c | 36 | |
| 4 | m | biliary atresia | 115 | 12 | Tac | EVL, Tac | bi | 48 | |
| 5 | f | PSC | 155 | 14 | CsA | EVL, CsA | n/a | 36 | |
| 6 | m | primary hyperoxaluria I | 18 | 1 | Tac | EVL, Tac | 60 | ||
| 7 | f | biliary atresia | 34 | 12 | CsA | EVL, CsA | bi, c | 60 | |
| 8 | f | biliary atresia | 104 | 8 | Tac | EVL, Tac | progressive rejection | bi, pu | 12 |
| 9 | m | biliary atresia | < 1 | 5 | CsA | EVL, CsA | 12 | ||
| 10 | f | liver cirrhosis/M. Wilson | 135 | 13 | Tac | EVL, CsA | progressive rejection, Re-LT | bi, pu | 36 |
| 11 | f | biliary atresia | 24 | 5 | CsA | EVL, CsA | bi, amu | 15 | |
| 12 * | m | CDG II | 44 | 4 | Tac | EVL, CsA | side effects | 36 | |
| 13 | f | biliary atresia | 69 | 12 | Tac | EVL, Tac | wound-healing disorder | whd | 12 |
| 14 | m | n/a | 160 | 14 | Tac | EVL, CsA | progressive rejection, Re-LT | bi | 12 |
| 15 | m | PFIC I | 44 | 4 | Tac | EVL, CsA | side effects | bi, amu | 13 |
| 16 I,II | m | biliary atresia | 13 | 10 | CsA | EVL, CsA | side effects | bi, c, ae | 32 |
| 17 | m | PFIC II | 52 | 4 | CsA | EVL, Tac | bone marrow transplantation | bi, c, le | 18 |
| 18 | m | PFIC II | 15 | 4 | CsA | EVL, CsA | n/a | le | 18 |
| 19 | m | CPS I deficiency | 28 | 5 | CsA | EVL, CsA | side effects | bi, amu | 36 |
| 20 I,II,III | m | acute liver failure after enterovirus infection | 19 | 7 | CsA | EVL | 60 | ||
| 21 I,III | m | acute liver failure of unknown origin | 24 | 12 | CsA | EVL, CsA | c | 12 | |
| Group II: CNI-induced nephrotoxicity | |||||||||
| 22 | m | biliary atresia | 6 | 11 | CsA | EVL | 36 | ||
| 23 | f | biliary atresia | 4 | 16 | CsA | EVL, CsA | bi, hl | 48 | |
| 24 | m | Alagille-Syndrome | 31 | 17 | Tac | EVL, Tac | 36 | ||
| Group III: Side effects other than CNI-induced nephrotoxicity | |||||||||
| 25 | m | acute liver failure of unknown origin | 192 | 16 | Tac | EVL, CsA | side effects | bi, c | 12 |
| 26 | f | propionic acidemia | 213 | 18 | Tac | EVL, CsA/EVL, Tac | 48 | ||
| 27 | f | biliary atresia | 143 | 13 | CsA | EVL, CsA | n/a | 36 | |
| 28 | m | connatal CMV infection | 112 | 9 | CsA | EVL | c | 60 | |
| Group IV: Proliferative diseases | |||||||||
| 29 | m | hepatoblastoma | 30 | 2 | CsA | EVL, CsA/EVL, Tac | side effects | bi | 12 |
| 30 | m | hepatoblastoma | 182 | 15 | CsA | EVL, CsA | bi, amu | 36 | |
| 31 | f | veno-occlusive-disease | 14 | 1 | CsA | EVL, CsA | 12 | ||
| 32 | m | hepatoblastoma | 45 | 3 | CsA | EVL, CsA | bi | 48 | |
| 33 III,IV | m | undifferentiated hepatocellular tumor | 222 | 18 | Tac | EVL, Tac | bi, c | 24 | |
| 34 | m | malignant epithelioid hemangioendothelioma | 159 | 13 | CsA | EVL, Tac | 12 | ||
| 35 | m | neuroblastoma with liver metastasis | 3 | 0 | CsA | EVL, CsA | bi | 36 | |
| 36 I,IV | m | biliary atresia | 7 | 15 | Tac | EVL | bi, c, amu | 48 | |
| 37 | m | maple syrup urine disease | 2 | 4 | CsA | EVL, CsA | bi, amu | 48 | |
| Mean Age, years (SD) | 9.2 (5.5) |
| sex | |
| male, n (%) | 25 (68) |
| female, n (%) | 12 (32) |
| height, cm (SD) | 132 (33.9) |
| weight, kg (SD) | 32.9 (18.3) |
| eGFR, mL/min/1.73 m² (SD) | 104.2 (41.4) |
| CNI at baseline, n (%) | |
| CsA | 23 (62.8) |
| Tac | 10 (27) |
| none | 4 (10.8) |
| CNI C0 at baseline, µg/mL (SD) | |
| CsA | 87.9 (34.7) |
| Tac | 6.2 (2.6) |
| transplantation mode, n (%) | |
| whole deceased liver | 11 (29.7) |
| split organ of deceased donor (left lateral or extended right lobe) | 18 (48.6) |
| living donor (left lateral liver) | 8 (21.6) |
| Epstein-Barr-virus-negative, n (%) | 4 (10.8) |
| Cytomegalovirus-positive, n (%) | 26 (70.3) |
| induction therapy, n (%) | 37 (100) |
| Diabetes mellitus at baseline, n (%) | 0 (0) |
| bacterial infection, n (%) | 20 (54.1) |
| cytopenia, n (%) | 9 (24.3) |
| aphthous mouth ulceration, n (%) | 7 (18.9) |
| hyperlipidemia, n (%) | 2 (5.4) |
| local edema, n (%) | 2 (5.4) |
| proteinuria, n (%) | 2 (5.4) |
| angioedema, n (%) | 1 (2.7) |
| Wound-healing disorder, n (%) | 1 (2.7) |
Disclaimer/Publisher’s Note: The statements, opinions and data contained in all publications are solely those of the individual author(s) and contributor(s) and not of MDPI and/or the editor(s). MDPI and/or the editor(s) disclaim responsibility for any injury to people or property resulting from any ideas, methods, instructions or products referred to in the content. |
© 2023 by the authors. Licensee MDPI, Basel, Switzerland. This article is an open access article distributed under the terms and conditions of the Creative Commons Attribution (CC BY) license (https://creativecommons.org/licenses/by/4.0/).
Share and Cite
Wehming, M.; Krebs-Schmitt, D.; Briem-Richter, A.; Hegen, B.; Brinkert, F.; Fischer, L.; Grabhorn, E. Experience with the mTOR Inhibitor Everolimus in Pediatric Liver Graft Recipients. Children 2023, 10, 367. https://doi.org/10.3390/children10020367
Wehming M, Krebs-Schmitt D, Briem-Richter A, Hegen B, Brinkert F, Fischer L, Grabhorn E. Experience with the mTOR Inhibitor Everolimus in Pediatric Liver Graft Recipients. Children. 2023; 10(2):367. https://doi.org/10.3390/children10020367
Chicago/Turabian StyleWehming, Mathis, Dorothée Krebs-Schmitt, Andrea Briem-Richter, Bianca Hegen, Florian Brinkert, Lutz Fischer, and Enke Grabhorn. 2023. "Experience with the mTOR Inhibitor Everolimus in Pediatric Liver Graft Recipients" Children 10, no. 2: 367. https://doi.org/10.3390/children10020367
APA StyleWehming, M., Krebs-Schmitt, D., Briem-Richter, A., Hegen, B., Brinkert, F., Fischer, L., & Grabhorn, E. (2023). Experience with the mTOR Inhibitor Everolimus in Pediatric Liver Graft Recipients. Children, 10(2), 367. https://doi.org/10.3390/children10020367
