Thymol Derivatives as Antimalarial Agents: Synthesis, Activity Against Plasmodium falciparum, ADMET Profiling, and Molecular Docking Insights
Abstract
1. Introduction
2. Materials and Methods
2.1. Materials and Analytical Procedures
2.2. Synthesis of Thymol Derivatives (1–7)
2.2.1. Synthesis of 5-Isopropyl-2-methylphenyl 2-chloroacetate (8)
2.2.2. Synthesis of Compounds 1–7
2.3. In Vitro Antimalarial Testing of Thymol Derivatives Against Plasmodium Parasites
2.4. Cytotoxicity Assessment of Thymol Derivatives on Human Cardiac Fibroblasts
2.5. Selectivity Indexes Calculation
2.6. Molecular Docking Analysis
2.7. ADMET Studies of Thymol Derivatives
2.8. Statistical Analysis
3. Results
3.1. Synthesis of Thymol Derivatives
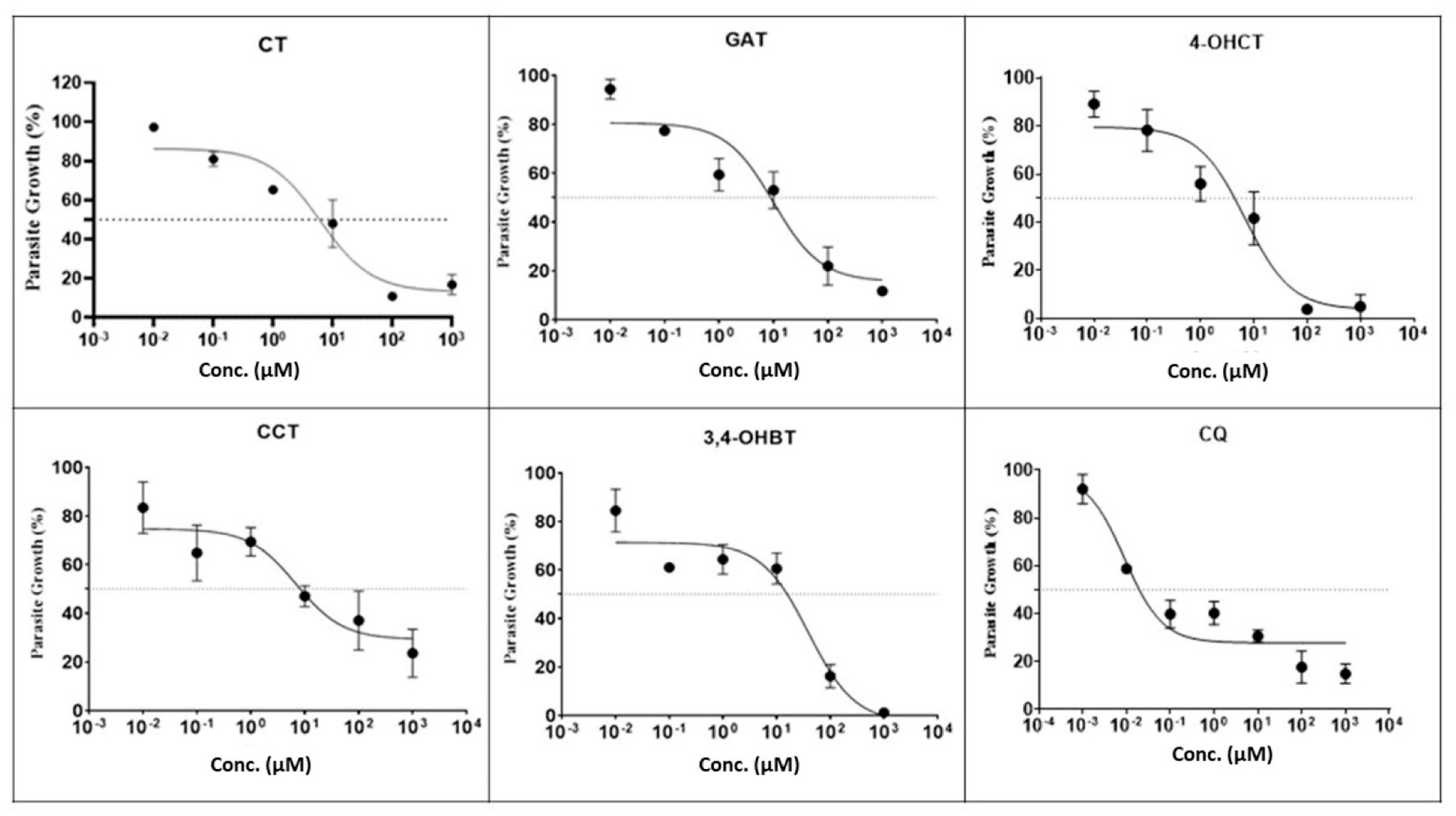
3.2. Antiplasmodial and Cytotoxic Activities
3.3. In Silico Molecular Docking
3.4. ADMET Properties
4. Discussion
5. Conclusions
Supplementary Materials
Author Contributions
Funding
Institutional Review Board Statement
Informed Consent Statement
Data Availability Statement
Acknowledgments
Conflicts of Interest
Abbreviations
| P. falciparum | Plasmodium falciparum |
| P. knowlesi | Plasmodium knowlesi |
| PfCRT | Plasmodium falciparum chloroquine resistant transporter |
| EC50 | half maximal effective concentration |
| pLDH | plasmodium lactate dehydrogenase |
| ELISA | enzyme-linked immunosorbent assay |
| MTT assay | 3-(4,5-dimethylthiazol-2-yl)-2,5-diphenyltetrazolium bromide assay |
References
- World Health Organization (WHO). World Malaria Report, Geneva. 2024. Available online: https://www.who.int/teams/global-malaria-programme/reports/world-malaria-report-2024 (accessed on 1 January 2025).
- Takala-Harrison, S.; Jacob, C.G.; Arze, C.; Cummings, M.P.; Silva, J.C.; Dondorp, A.M.; Fukuda, M.M.; Hien, T.T.; Mayxay, M.; Noedl, H.; et al. Independent emergence of artemisinin resistance mutations among Plasmodium falciparum in Southeast Asia. J. Infect. Dis. 2015, 211, 670–679. [Google Scholar] [CrossRef] [PubMed]
- Straimer, J.; Gnädig, N.F.; Witkowski, B.; Amaratunga, C.; Duru, V.; Ramadani, A.P.; Dacheux, M.; Khim, N.; Zhang, L.; Lam, S.; et al. Drug resistance: K13-propeller mutations confer artemisinin resistance in Plasmodium falciparum clinical isolates. Science 2015, 347, 428–431. [Google Scholar] [CrossRef] [PubMed]
- Woodrow, C.J.; White, N.J. The clinical impact of artemisinin resistance in Southeast Asia and the potential for spread. FEMS Microbiol. Rev. 2017, 41, 34–48. [Google Scholar] [CrossRef]
- Amato, R.; Lim, P.; Miotto, O.; Amaratunga, C.; Dek, D.; Yunus, E.; Sreng, S.; Sovann, L.; Jia, H.; Kloe, M.; et al. Genetic markers associated with dihydroartemisinin–piperaquine failure in Plasmodium falciparum malaria in Cambodia: A genotype-phenotype association study. Lancet Infect. Dis. 2017, 17, 164–173. [Google Scholar] [CrossRef]
- Kattenberg, J.H.; Mutsaers, M.; Nguyen, V.H.; Nguyen, T.H.N.; Umugwaneza, A.; Lara-Escandell, M.; Nguyen, X.X.; Nguyen, T.H.B.; Rosanas-Urgell, A. Genetic surveillance shows spread of ACT resistance during period of malaria decline in Vietnam (2018–2020). Front. Genet. 2024, 15, 1478706. [Google Scholar] [CrossRef]
- Pickard, A.L.; Wongsrichanalai, C.; Purfield, A.E.; Kamwendo, D.D.; Kublin, J.G.; Davidson, R.N. A molecular surveillance system for global patterns of drug resistance in imported malaria. Emerg. Infect. Dis. 2003, 9, 33–36. [Google Scholar] [CrossRef]
- Veiga, M.I.; Dhingra, S.K.; Henrich, P.P.; Straimer, J.; Gnädig, N.; Uhlemann, A.C.; Martin, R.E.; Lehane, A.M.; Fidock, D.A.; Rosenthal, P.J. Artemether–lumefantrine selects distinct alleles of the Plasmodium falciparum multidrug resistance gene in Africa and Asia. J. Infect. Dis. 2011, 204, 511–519. [Google Scholar] [CrossRef]
- Fidock, D.A.; Nomura, T.; Talley, A.K.; Cooper, R.A.; Dzekunov, S.M.; Ferdig, M.T.; Ursos, L.M.B.; Sidhu, A.B.S.; Naudé, B.; Deitsch, K.W.; et al. Mutations in the P. falciparum digestive vacuole transmembrane protein PfCRT and evidence for their role in chloroquine resistance. Mol. Cell 2000, 6, 861–871. [Google Scholar] [CrossRef]
- Martin, R.E.; Kirk, K. The malaria parasite’s chloroquine resistance transporter is a member of the drug/metabolite transporter superfamily. Mol. Biol. Evol. 2004, 21, 1938–1949. [Google Scholar] [CrossRef]
- Wellems, T.E.; Plowe, C.V. Chloroquine-resistant malaria. J. Infect. Dis. 2001, 184, 770–776. [Google Scholar] [CrossRef] [PubMed]
- Ecker, A.; Lehane, A.M.; Clain, J.; Fidock, D.A. PfCRT and its role in antimalarial drug resistance. Trends Parasitol. 2012, 28, 504–514. [Google Scholar] [CrossRef]
- Lusardi, M.; Basilico, N.; Iervasi, E.; Brullo, C.; Parapini, S.; Ponassi, M.; Rosano, C.; Spallarossa, A. Antiprotozoal activity of highly substituted pyrazole and pyrimidine derivatives. ChemMedChem 2025, 20, e202500154. [Google Scholar] [CrossRef]
- Lusardi, M.; Basilico, N.; Rotolo, C.; Parapini, S.; Spallarossa, A. Antimalarial activity of tri- and tetra-substituted anilino pyrazoles. Molecules 2023, 28, 1712. [Google Scholar] [CrossRef] [PubMed]
- Cheuka, P.M.; Mayoka, G.; Mambwe, D.; Dawoodjee, A.M.; Zulu, A. The impact of phenotypic-versus target-based approaches in antimalarial drug discovery in the last two decades (2005–2025). Future Med. Chem. 2025, 17, 2911–2926. [Google Scholar] [CrossRef] [PubMed]
- Kowalczyk, A.; Przychodna, M.; Sopata, S.; Bodalska, A.; Fecka, I. Thymol and thyme essential oil—New insights into selected therapeutic applications. Molecules 2020, 25, 4125. [Google Scholar] [CrossRef]
- Kumar, S.; Mina, P.R.; Kumar, R.; Pal, A.; Ahmad, A.; Tandon, S.; Darokar, M.P. 4-chlorothymol exerts antiplasmodial activity impeding redox defense system in Plasmodium falciparum. Front. Pharmacol. 2021, 12, 628970. [Google Scholar] [CrossRef] [PubMed]
- Raghuvanshi, D.S.; Singh, S.; Kumar, A. An effort to perceive novel potent-antimalarials: Synthesis of thymol-based substituted pyrazolines and chalcones. Eur. J. Med. Chem. 2019, 164, 193–213. [Google Scholar] [CrossRef]
- Gago, C.; Serralheiro, A.; Miguel, M.D.G. Anti-inflammatory activity of thymol and thymol-rich essential oils: Mechanisms, applications, and recent findings. Molecules 2025, 30, 2450. [Google Scholar] [CrossRef]
- Escobar, P.; Milena, L.S.; Herrera, L.V.; Martinez, J.R.; Stashenko, E. Chemical composition and antiprotozoal activities of Colombian Lippia spp essential oils and their major components. Memórias Do Inst. Oswaldo Cruz 2010, 105, 184–190. [Google Scholar] [CrossRef]
- Dell’Agli, M.; Sanna, C.; Rubiolo, P.; Basilico, N.; Colombo, E.; Scaltrito, M.M.; Ndiath, M.O.; Maccarone, L.; Taramelli, D.; Bicchi, C.; et al. Anti-plasmodial and insecticidal activities of the essential oils of aromatic plants growing in the Mediterranean area. Malar. J. 2012, 11, 219. [Google Scholar] [CrossRef]
- Fröhlich, T.; Ndreshkjana, B.; Muenzner, J.K.; Reiter, C.; Hofmeister, E.; Mederer, S.; Fatfat, M.; El-Baba, C.; Gali-Muhtasib, H.; Schneider-Stock, R. Synthesis of novel hybrids of thymoquinone and artemisinin with high activity and selectivity against colon cancer. ChemMedChem 2017, 12, 365–373. [Google Scholar] [CrossRef]
- Clemente, C.M.; Ravetti, S.; Allemandi, D.A.; Hergert, L.Y.; Pineda, T.; Robledo, S.M. Synthesis, in vitro antiprotozoal activity and cytotoxicity of new thymol carbonate derivatives. ChemistrySelect 2021, 6, 6597–6600. [Google Scholar] [CrossRef]
- Johnson-Ajinwo, O.R.; Ullah, I.; Mbye, H.; Richardson, A.; Horrocks, P.; Li, W.W. The synthesis and evaluation of thymoquinone analogues as anti-ovarian cancer and antimalarial agents. Bioorg. Med. Chem. Lett. 2018, 28, 1219–1222. [Google Scholar] [CrossRef]
- Ashraf, Z.; Rafiq, M.; Seo, S.-Y.; Kwon, K.S.; Babar, M.M.; Zaidi, N.-u.-S.S. Kinetic and in silico studies of novel hydroxy-based thymol analogues as inhibitors of mushroom tyrosinase. Eur. J. Med. Chem. 2015, 98, 203–211. [Google Scholar] [CrossRef]
- Retnosari, R.; Oh-Hashi, K.; Ugusman, A.; Zainalabidin, S.; Latip, J.; Oka, N. Carvacrol-conjugated 3-hydroxybenzoic acids: Design, synthesis, cardioprotective potential against doxorubicin-induced cardiotoxicity, and ADMET study. Bioorg. Med. Chem. Lett. 2024, 113, 129973. [Google Scholar] [CrossRef] [PubMed]
- Trager, W.; Jensen, J.B. Continuous culture of Plasmodium falciparum: Its impact on malaria research. Int. J. Parasitol. 1997, 27, 989–1006. [Google Scholar] [CrossRef]
- Makler, M.T.; Hinrichs, D.J. Measurement of the lactate dehydrogenase activity of Plasmodium falciparum as an assessment of parasitemia. Am. J. Trop. Med. Hyg. 1993, 48, 205–210. [Google Scholar] [CrossRef] [PubMed]
- Mosmann, T. Rapid colorimetric assay for cellular growth and survival: Application to proliferation and cytotoxicity assays. J. Immunol. Methods 1983, 65, 55–63. [Google Scholar] [CrossRef] [PubMed]
- Sarr, S.O.; Perrotey, S.; Fall, I.; Ennahar, S.; Zhao, M.; Diop, Y.M.; Candolfi, E.; Marchioni, E. Icacina senegalensis (Icacinaceae), traditionally used for the treatment of malaria, inhibits in vitro Plasmodium falciparum growth without host cell toxicity. Malar. J. 2011, 10, 85. [Google Scholar] [CrossRef]
- Patowary, L.; Kashyap, P.; Chetia, D.; Gogoi, N. Docking based virtual screening of some new 4-aminoquinolines against PfCRT. Curr. Trends Pharm. Res. 2021, 8, 212–226. [Google Scholar]
- Rao, S.N.; Head, M.S.; Kulkarni, A.; LaLonde, J.M. Validation studies of the site-directed docking program LibDock. J. Chem. Inf. Model. 2007, 47, 2159–2171. [Google Scholar] [CrossRef]
- Antony, H.A.; Topno, N.S.; Gummadi, S.N.; Sankar, D.S.; Krishna, R.; Parija, S.C. In silico modeling of Plasmodium falciparum chloroquine resistance transporter protein and biochemical studies suggest its key contribution to chloroquine resistance. Acta Trop. 2019, 189, 84–93. [Google Scholar] [CrossRef]
- Otieno, F.; Walekhwa, M. In silico screening of chloroquine analogues for compounds with more affinity for the Plasmodium falciparum chloroquine transporter as potential antimalarial drugs. F1000Research 2022, 11, 188. [Google Scholar] [CrossRef]
- Hongbin, Y.; Chaofeng, L.; Lixia, S.; Jie, L.; Yinchun, C.; Zhuang, W.; Weihua, L.; Guixia, L.Y.T. AdmetSAR 2.0: Web-service for prediction and optimization of chemical ADMET properties. Bioinformatics 2019, 35, 1067–1069. [Google Scholar] [CrossRef]
- Daina, A.; Michielin, O.; Zoete, V. SwissADME: A free web tool to evaluate pharmacokinetics, drug-likeness and medicinal chemistry friendliness of small molecules. Sci. Rep. 2017, 7, 42717. [Google Scholar] [CrossRef] [PubMed]
- Feixiong, C.; Weihua, L.; Yadi, Z.; Jie, S.; Zengrui, W.; Guixia, L.; Philip, W.; Lee, Y.T. AdmetSAR: A comprehensive source and free tool for assessment of chemical ADMET properties. J. Chem. Inf. Model. 2012, 52, 3099–3105. [Google Scholar] [CrossRef] [PubMed]
- Lipinski, C.A.; Lombardo, F.; Dominy, B.W.; Feeney, P.J. Experimental and computational approaches to estimate solubility and permeability in drug discovery and development settings. Adv. Drug Deliv. Rev. 1997, 23, 3–25. [Google Scholar] [CrossRef]
- Dolabela, M.F.; Oliveira, S.G.; Nascimento, J.M.; Peres, J.M.; Wagner, H.; Póvoa, M.M.; de Oliveira, A.B. In vitro antiplasmodial activity of extract and constituents from Esenbeckia febrifuga, a plant traditionally used to treat malaria in the Brazilian Amazon. Phytomedicine 2008, 15, 367–372. [Google Scholar] [CrossRef]
- Katsuno, K.; Burrows, J.N.; Duncan, K.; Van Huijsduijnen, R.H.; Kaneko, T.; Kita, K.; Mowbray, C.E.; Schmatz, D.; Warner, P.; Slingsby, B.T. Hit and lead criteria in drug discovery for infectious diseases of the developing world. Nat. Rev. Drug Discov. 2015, 14, 751–758. [Google Scholar] [CrossRef]
- Silva, A.T.; Bento, C.M.; Pena, A.C.; Figueiredo, L.M.; Prudêncio, C.; Aguiar, L.; Silva, T.; Ferraz, R.; Gomes, M.S.; Teixeira, C. Cinnamic acid conjugates in the rescuing and repurposing of classical antimalarial drugs. Molecules 2020, 25, 66. [Google Scholar] [CrossRef] [PubMed]
- Degotte, G.; Pirotte, B.; Frédérich, M.; Francotte, P. Polyhydroxybenzoic acid derivatives as potential new antimalarial agents. Arch. Pharm. 2021, 354, e2100190. [Google Scholar] [CrossRef] [PubMed]
- Mayer, D.G.; Bruce, M.; Kochurova, O.; Stewart, J.K.; Zhou, Q. Antimalarial activity of a cis-terpenone. Malar. J. 2009, 8, 139. [Google Scholar] [CrossRef] [PubMed]
- Fernandes, X.; López-Herrador, S.; Díaz-Casado, M.E. Natural Hydroxybenzoic and Hydroxycinnamic Acids Derivatives: Mechanisms of Action and Therapeutic Applications. Antioxidants 2022, 14, 711. [Google Scholar] [CrossRef]
- Wang, M.; Tang, T.; Huang, Z.; Li, R.; Ling, D.; Zhu, J.; Jiang, L.; Li, J.; Li, X. Design and synthesis of novel hydroxamic acid derivatives based on quisinostat as promising antimalarial agents with improved safety. Acta Mater. Med. 2022, 1, 212–223. [Google Scholar] [CrossRef]
- Martin, R.E.; Marchetti, R.V.; Kirk, K. Chloroquine transport via the malaria parasite’s chloroquine resistance transporter. Nature 2009, 325, 1680–1682. [Google Scholar] [CrossRef]
- Summers, R.L.; Martin, R.E. Diverse mutational pathways converge on saturable chloroquine transport via the malaria parasite’s chloroquine resistance transporter. Proc. Natl. Acad. Sci. USA 2014, 111, 3614–3619. [Google Scholar] [CrossRef]





| Antimalarial Assay (pLDH) | Cytotoxic Test (MTT) | Selectivity Indexes (SI) = (MTT CC50/pLDH EC50) | ||||||
|---|---|---|---|---|---|---|---|---|
| No | Compounds | EC50 ± SD Against Pf3D7 (µM) | EC50 ± SD Against PfK1 (µM) | EC50 ± SD Against PkA1H1 (µM) | CC50 ± SD Against HCF Cell Line (µM) | SI Pf3D7 | SI PfK1 | SI PkA1H1 |
| 1 | Thymol | 15.1 ± 0.5 | 34.9 ± 11.5 | 18.8 ± 8.1 | >99 | 6.6 | 2.8 | 5.3 |
| 2 | 4-OHBT (1) | 16.7 ± 8.3 | 22.2 ± 1.3 | 30.2 ± 2.3 | 58.4 ± 2.3 | 3.5 | 2.6 | 1.9 |
| 3 | 3,4-OHBT (2) | 11.9 ± 2.3 | 20.6 ± 2.9 | 22.8 ± 7.1 | >99 | 8.3 | 4.8 | 4.3 |
| 4 | GAT (3) | 9.9 ± 0.4 | 11.3 ± 3.7 | 16.5 ± 6.1 | 71.4 ± 4.5 | 7.2 | 6.3 | 4.3 |
| 5 | CT (4) | 6.01 ± 1.7 | 30.9 ± 25.5 | 41.4 ± 8.1 | >99 | 16.5 | 3.2 | 2.4 |
| 6 | 4-OHCT (5) | 6.8 ± 1.1 | 16.2 ± 0.2 | 28.3 ± 6.5 | >99 | 14.6 | 6.1 | 3.5 |
| 7 | CCT (6) | 6.8 ± 1.1 | 17.6 ± 0.3 | 31.3 ± 12.7 | >99 | 14.6 | 5.6 | 3.2 |
| 8 | 2,4-OHCT (7) | 10.9 ± 2.3 | 24.1 ± 0.6 | 20.5 ± 6.7 | 52.4 ± 3.4 | 4.8 | 2.2 | 2.6 |
| 9 | CQ | 0.008 ± 0.001 | 0.50 ± 0.01 | 0.001 ± 0.0005 | 98.90 ± 7.97 | 12,362 | 197 | 98,900 |
| Compounds | Binding Affinity (kcal/moL) | Inhibition Constant, Ki Value (µM) | Hydrogen Bond, H-Bond (Interaction with Amino Acids) |
|---|---|---|---|
| 4-OHBT (1) | −7.7 | 2.3 | Tyr110 |
| 3,4-OHBT (2) | −7.2 | 5.3 | Arg101 |
| GAT (3) | −8.4 | 0.7 | Asn209, Glu207, Phe203 |
| CT (4) | −8.3 | 0.8 | - |
| 4-OHCT (5) | −7.9 | 1.6 | Ser220, Tyr345 |
| CCT (6) | −8.3 | 0.8 | - |
| 2,4-OHCT (7) | −8.0 | 1.4 | - |
| Thymol | −6.7 | 12.3 | Ser202, Trp95 |
| Compound ID | CT (4) | GAT (3) | CCT (6) | CQ |
|---|---|---|---|---|
| Parameters | A (Absorption) | |||
| Blood–Brain Barrier (BBB) (cm s−1) | 0.8153 | 0.8171 | 0.8919 | 0.7421 |
| Human Intestinal Absorption (HIA) | 0.9888 | 0.6127 | 0.9901 | 0.9939 |
| Caco-2 Permeability (log cm s−1) | 0.7412 | 0.6554 | 0.7088 | 0.5804 |
| P-glycoprotein Substrate | 0.5661 | 0.5654 | 0.5810 | 0.8000 |
| P-glycoprotein Inhibitor | 0.8273 | 0.6819 | 0.6633 | 0.6220 |
| Renal Organic Cation Transporter | 0.8516 | 0.9019 | 0.8586 | 0.6046 |
| D (Distribution) | ||||
| Subcellular localization Mitochondria | 0.9319 | 0.8971 | 0.9132 | 0.8743 |
| M (Metabolism) | ||||
| CYP450 2C9 Substrate | 0.7555 | 0.7773 | 0.7625 | 0.8422 |
| CYP450 2D6 Substrate | 0.8533 | 0.8852 | 0.8810 | 0.8804 |
| CYP450 3A4 Substrate | 0.6026 | 0.5157 | 0.6468 | 0.6009 |
| CYP450 1A2 Inhibitor | 0.9225 | 0.6726 | 0.8405 | 0.8586 |
| CYP450 2C9 Inhibitor | 0.8854 | 0.5557 | 0.8417 | 0.9071 |
| CYP450 2D6 Inhibitor | 0.8346 | 0.8763 | 0.9102 | 0.9218 |
| CYP450 2C19 Inhibitor | 0.8952 | 0.7221 | 0.8395 | 0.9025 |
| CYP450 3A4 Inhibitor | 0.5427 | 0.8105 | 0.5337 | 0.8308 |
| CYP Inhibitory Promiscuity | 0.7680 | 0.8154 | 0.7846 | 0.5496 |
| E (Excretion) | ||||
| Half-time (T1/2) | 0.734 | 0.779 | 0.368 | 0.134 |
| Clearance (CL, mL/min/kg) | 6.818 | 8.124 | 5.398 | 6.818 |
| T (Toxicity) | ||||
| Human Ether-a-go-go-Related Gene Inhibition | 0.9659 | 0.9810 | 0.9530 | 0.6959 |
| AMES Toxicity | 0.7574 | 0.8521 | 0.8207 | 0.9106 |
| Carcinogens | 0.7968 | 0.8651 | 0.7374 | 0.8374 |
| Fish Toxicity | 0.9943 | 0.9831 | 0.9983 | 0.9911 |
| Tetrahymena Pyriformis Toxicity | 0.9992 | 0.9975 | 0.9999 | 0.9987 |
| Honey Bee Toxicity | 0.7712 | 0.6557 | 0.7228 | 0.8583 |
| Biodegradation | 0.6889 | 0.7451 | 0.9627 | 1.0000 |
| Acute Oral Toxicity (kg mol−1) | 0.6010 | 0.7781 | 0.7101 | 0.7370 |
| Carcinogenicity | 0.6301 | 0.7402 | 0.5931 | 0.6847 |
Disclaimer/Publisher’s Note: The statements, opinions and data contained in all publications are solely those of the individual author(s) and contributor(s) and not of MDPI and/or the editor(s). MDPI and/or the editor(s) disclaim responsibility for any injury to people or property resulting from any ideas, methods, instructions or products referred to in the content. |
© 2026 by the authors. Licensee MDPI, Basel, Switzerland. This article is an open access article distributed under the terms and conditions of the Creative Commons Attribution (CC BY) license.
Share and Cite
Ali, A.H.; Retnosari, R.; Jamil, S.N.H.; Norazmi, N.A.Z.; Zuhaidi, N.D.; Lam, S.D.; Chieng, S.; Agustar, H.K.; Chandru, K.; Md Iqbal, N.; et al. Thymol Derivatives as Antimalarial Agents: Synthesis, Activity Against Plasmodium falciparum, ADMET Profiling, and Molecular Docking Insights. Biomedicines 2026, 14, 123. https://doi.org/10.3390/biomedicines14010123
Ali AH, Retnosari R, Jamil SNH, Norazmi NAZ, Zuhaidi ND, Lam SD, Chieng S, Agustar HK, Chandru K, Md Iqbal N, et al. Thymol Derivatives as Antimalarial Agents: Synthesis, Activity Against Plasmodium falciparum, ADMET Profiling, and Molecular Docking Insights. Biomedicines. 2026; 14(1):123. https://doi.org/10.3390/biomedicines14010123
Chicago/Turabian StyleAli, Amatul Hamizah, Rini Retnosari, Siti Nur Hidayah Jamil, Nur Aqilah Zahirah Norazmi, Nabel Darwish Zuhaidi, Su Datt Lam, Sylvia Chieng, Hani Kartini Agustar, Kuhan Chandru, Nurhezreen Md Iqbal, and et al. 2026. "Thymol Derivatives as Antimalarial Agents: Synthesis, Activity Against Plasmodium falciparum, ADMET Profiling, and Molecular Docking Insights" Biomedicines 14, no. 1: 123. https://doi.org/10.3390/biomedicines14010123
APA StyleAli, A. H., Retnosari, R., Jamil, S. N. H., Norazmi, N. A. Z., Zuhaidi, N. D., Lam, S. D., Chieng, S., Agustar, H. K., Chandru, K., Md Iqbal, N., Yee Ling, L., & Latip, J. (2026). Thymol Derivatives as Antimalarial Agents: Synthesis, Activity Against Plasmodium falciparum, ADMET Profiling, and Molecular Docking Insights. Biomedicines, 14(1), 123. https://doi.org/10.3390/biomedicines14010123

