Analysis of Pharmacokinetic and Pharmacodynamic Interactions Between Chlorpromazine and Risperidone via Simultaneous Measurement of Multiple Receptor Occupancy in the Rat Brain
Abstract
1. Introduction
2. Materials and Methods
2.1. Compounds
2.2. Animals
2.3. Drug Administration and Blood and Brain Tissue Sample Collection
2.4. Determination of Tracer and Test Compound Concentration
2.5. Calculation of Receptor Occupancy
2.6. Statistical Analysis
3. Results
3.1. Dose Dependence of D2, 5-HT2A, H1, and mACh Receptor Occupancy After Oral Administration of Chlorpromazine or Risperidone in Rats
3.2. Time Course of Brain D2, 5-HT2A, H1, and mACh Receptor Occupancy After Oral Administration of Chlorpromazine, Risperidone, or Their Combination in Rats
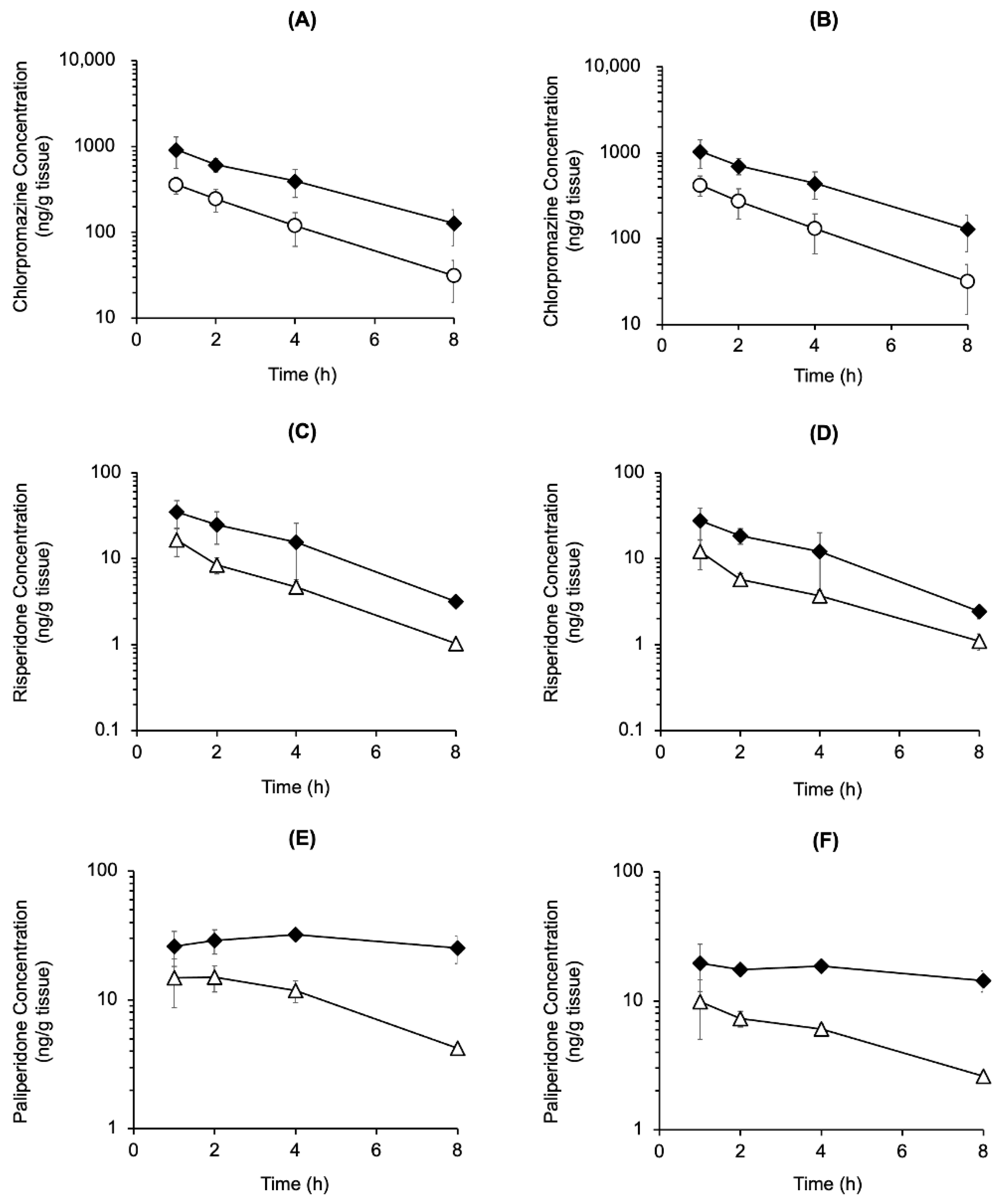
3.3. Time Course of Brain Concentrations of Chlorpromazine, Risperidone, and Paliperidone After Oral Administration of Chlorpromazine, Risperidone, or Their Combination in Rats
3.4. Time Course of Plasma Concentrations of Chlorpromazine, Risperidone, and Paliperidone After Oral Administration of Chlorpromazine, Risperidone, or Their Combination in Rats
4. Discussion
5. Conclusions
Supplementary Materials
Author Contributions
Funding
Institutional Review Board Statement
Data Availability Statement
Conflicts of Interest
Abbreviations
| D2 | dopamine 2 receptors |
| 5-HT2A | serotonin 2A receptor |
| H1 | histamine 1 receptor |
| mACh | muscarinic acetylcholine receptor |
| CYP2D6 | cytochrome P450 2D6 enzyme |
| LC-MS/MS | liquid chromatography-tandem mass spectrometry |
| 3-QNB | 3-quinuclidinyl benzilate |
| BP | binding potential |
| SB | specific binding |
| ED70 | effective dose 70 |
| p.o. | Per os; orally |
| AUC0–∞ | curve from zero to infinity |
| T1/2 | half-life |
| Cmax | maximum drug concentration |
| CL/F | apparent oral clearance |
| Tmax | time to maximum drug concentration |
References
- Schultz, S.K.; Andreasen, N.C. Schizophrenia. Lancet 1999, 353, 1425–1430. [Google Scholar] [CrossRef] [PubMed]
- de Araújo, A.N.; de Sena, E.P.; de Oliveira, I.R.; Juruena, M.F. Antipsychotic agents: Efficacy and safety in schizophrenia. Drug Healthc. Patient Saf. 2012, 4, 173–180. [Google Scholar] [PubMed][Green Version]
- De Oliveira, I.R.; Juruena, M.F. Treatment of psychosis: 30 years of progress. J. Clin. Pharm. Ther. 2006, 31, 523–534. [Google Scholar] [CrossRef] [PubMed]
- Mauri, M.C.; Paletta, S.; Maffini, M.; Colasanti, A.; Dragogna, F.; Di Pace, C.; Altamura, A.C. Clinical pharmacology of atypical antipsychotics: An update. EXCLI J. 2014, 13, 1163–1191. [Google Scholar]
- Højlund, M.; Köhler-Forsberg, O.; Gregersen, A.T.; Rohde, C.; Mellentin, A.I.; Anhøj, S.J.; Kemp, A.F.; Fuglsang, N.B.; Wiuff, A.C.; Nissen, L.; et al. Prevalence, correlates, tolerability-related outcomes, and efficacy-related outcomes of antipsychotic polypharmacy: A systematic review and meta-analysis. Lancet Psychiatry 2024, 11, 975–989. [Google Scholar] [CrossRef]
- Farde, L.; Wiesel, F.A.; Halldin, C.; Sedvall, G. Central D2-dopamine receptor occupancy in schizophrenic patients treated with antipsychotic drugs. Arch. Gen. Psychiatry 1988, 45, 71–76. [Google Scholar] [CrossRef]
- Farde, L.; Nordström, A.L.; Wiesel, F.A.; Pauli, S.; Halldin, C.; Sedvall, G. Positron emission tomographic analysis of central D1 and D2 dopamine receptor occupancy in patients treated with classical neuroleptics and clozapine. Relation to extrapyramidal side effects. Arch. Gen. Psychiatry 1992, 49, 538–544. [Google Scholar] [CrossRef]
- Farde, L.; Nyberg, S.; Oxenstierna, G.; Nakashima, Y.; Halldin, C.; Ericsson, B. Positron emission tomography studies on D2 and 5-HT2 receptor binding in risperidone-treated schizophrenic patients. J. Clin. Psychopharmacol. 1995, 15, 19S–23S. [Google Scholar] [CrossRef]
- Kapur, S.; Zipursky, R.; Jones, C.; Remington, G.; Houle, S. Relationship between dopamine D(2) occupancy, clinical response, and side effects: A double-blind PET study of first-episode schizophrenia. Am. J. Psychiatry 2000, 157, 514–520. [Google Scholar] [CrossRef]
- Uchida, H.; Takeuchi, H.; Graff-Guerrero, A.; Suzuki, T.; Watanabe, K.; Mamo, D.C. Dopamine D2 receptor occupancy and clinical effects: A systematic review and pooled analysis. J. Clin. Psychopharmacol. 2011, 31, 497–502. [Google Scholar] [CrossRef]
- Wadenberg, M.L.; Kapur, S.; Soliman, A.; Jones, C.; Vaccarino, F. Dopamine D2 receptor occupancy predicts catalepsy and the suppression of conditioned avoidance response behavior in rats. Psychopharmacology 2000, 150, 422–429. [Google Scholar] [CrossRef] [PubMed]
- Hirosawa, I.; Ogino, M.; Mano, Y.; Tajima, M.; Ohuchi, K.; Kato, Y.; Kotaki, H.; Asahi, M.; Yamada, H. Face-to-face questionnaire survey on the use of multiple antipsychotics and the manifestation of side effects in outpatients with schizophrenia. Yakugaku Zasshi 2011, 131, 1605–1611. [Google Scholar] [CrossRef] [PubMed][Green Version]
- Shin, J.G.; Soukhova, N.; Flockhart, D.A. Effect of antipsychotic drugs on human liver cytochrome P-450 (CYP) isoforms in vitro: Preferential inhibition of CYP2D6. Drug Metab. Dispos. 1999, 27, 1078–1084. [Google Scholar] [CrossRef] [PubMed]
- Hals, P.A.; Hall, H.; Dahl, S.G. Muscarinic cholinergic and histamine H1 receptor binding of phenothiazine drug metabolites. Life Sci. 1988, 43, 405–412. [Google Scholar] [CrossRef]
- Matsui-Sakata, A.; Ohtani, H.; Sawada, Y. Receptor occupancy-based analysis of the contributions of various receptors to antipsychotics-induced weight gain and diabetes mellitus. Drug Metab. Pharmacokinet. 2005, 20, 368–378. [Google Scholar] [CrossRef]
- Yanai, K.; Yoshikawa, T.; Yanai, A.; Nakamura, T.; Iida, T.; Leurs, R.; Tashiro, M. The clinical pharmacology of non-sedating antihistamines. Pharmacol. Ther. 2017, 178, 148–156. [Google Scholar] [CrossRef]
- Gray, S.L.; Anderson, M.L.; Dublin, S.; Hanlon, J.T.; Hubbard, R.; Walker, R.; Yu, O.; Crane, P.K.; Larson, E.B. Cumulative use of strong anticholinergics and incident dementia: A prospective cohort study. JAMA Intern. Med. 2015, 175, 401–407. [Google Scholar] [CrossRef]
- Yamamoto, S.; Nishiyama, S.; Kawamata, M.; Ohba, H.; Wakuda, T.; Takei, N.; Tsukada, H.; Domino, E.F. Muscarinic receptor occupancy and cognitive impairment: A PET study with [11C](+)3-MPB and scopolamine in conscious monkeys. Neuropsychopharmacology 2011, 36, 1455–1465. [Google Scholar] [CrossRef]
- Akashita, G.; Nakatani, E.; Tanaka, S.; Okura, T. Development of simultaneous determination of dopamine 2, histamine 1, and muscarinic acetylcholine receptor occupancies by antipsychotics using liquid chromatography with tandem mass spectrometry. J. Pharmacol. Toxicol. Methods 2024, 127, 107518. [Google Scholar] [CrossRef]
- Barth, V.N.; Chernet, E.; Martin, L.J.; Need, A.B.; Rash, K.S.; Morin, M.; Phebus, L.A. Comparison of rat dopamine D2 receptor occupancy for a series of antipsychotic drugs measured using radiolabeled or nonlabeled raclopride tracer. Life Sci. 2006, 78, 3007–3012. [Google Scholar] [CrossRef]
- Thentu, J.B.; Nirogi, R.; Bhyrapuneni, G.; Ajjala, D.R.; Aleti, R.R.; Palacharla, R.C. Simultaneous in-vivo receptor occupancy assays for serotonin 1A, 2A, and dopamine 2 receptors with the use of non-radiolabelled tracers: Proposed method in screening antipsychotics. J. Pharmacol. Toxicol. Methods 2017, 85, 22–28. [Google Scholar] [CrossRef]
- Faul, F.; Erdfelder, E.; Buchner, A.; Lang, A.G. Statistical power analyses using G*Power 3.1: Tests for correlation and regression analyses. Behav. Res. Methods 2009, 41, 1149–1160. [Google Scholar] [CrossRef]
- Suzuki, H.; Gen, K.; Inoue, Y. Comparison of the anti-dopamine D2 and anti-serotonin 5-HT(2A) activities of chlorpromazine, bromperidol, haloperidol and second-generation antipsychotics parent compounds and metabolites thereof. J. Psychopharmacol. 2013, 27, 396–400. [Google Scholar] [CrossRef]
- Vanover, K.E.; Davis, R.E. Role of 5-HT2A receptor antagonists in the treatment of insomnia. Nat. Sci. Sleep 2010, 28, 139–150. [Google Scholar] [CrossRef]




| Chlorpromazine | Risperidone | Paliperidone | |||||||
|---|---|---|---|---|---|---|---|---|---|
| Mono-Administration | Co-Administration | Geometric Mean Ratio | Mono-Administration | Co-Administration | Geometric Mean Ratio | Mono-Administration | Co-Administration | Geometric Mean Ratio | |
| AUC0–∞ (ng·h/mL) | 128.8 ± 38.6 | 148.3 ± 39.7 | 1.2 (0.8–1.3) | 34.3 ± 18.6 | 215.7 ± 145.0 * | 6.0 (2.7–13) | 138.8 ± 43.9 | 863.8 ± 224.5 ** | 6.3 (4.5–10.8) |
| Cmax (ng/mL) | 36.5 ± 10.7 | 33.7 ± 9.3 | 0.9 (0.7–1.0) | 21.3 ± 11.9 | 98.7 ± 56.3 | 4.6 (2.3–8.3) | 58.8 ± 17.9 | 173.1 ± 31.1 ** | 3.0 (2.4–3.7) |
| Tmax (h) | 1.1 ± 0.2 | 1.5 ± 0.9 | 1.2 (0.7–1.4) | 0.8 ± 0.3 | 0.7 ± 0.3 | 0.9 (0.5–1.0) | 0.9 ± 0.2 | 1.2 ± 0.3 | 1.4 (1.0–1.5) |
| T1/2 (h) | 2.0 ± 0.2 | 2.2 ± 0.3 | 1.1 (0.9–1.2) | 0.9 ± 0.2 | 1.4 ± 0.4 | 1.5 (0.1–1.7) | 1.4 ± 0.4 | 2.8 ± 1.2 | 1.9 (1.1–2.3) |
| CL/F (L/h) | 5.9 ± 1.6 | 4.9 ± 1.5 | 0.8 (0.6–1.9) | 8.2 ± 3.9 | 1.4 ± 0.8 ** | 0.2 (0.1–0.2) | |||
Disclaimer/Publisher’s Note: The statements, opinions and data contained in all publications are solely those of the individual author(s) and contributor(s) and not of MDPI and/or the editor(s). MDPI and/or the editor(s) disclaim responsibility for any injury to people or property resulting from any ideas, methods, instructions or products referred to in the content. |
© 2026 by the authors. Licensee MDPI, Basel, Switzerland. This article is an open access article distributed under the terms and conditions of the Creative Commons Attribution (CC BY) license.
Share and Cite
Akashita, G.; Nakatani, E.; Tanaka, S.; Okura, T. Analysis of Pharmacokinetic and Pharmacodynamic Interactions Between Chlorpromazine and Risperidone via Simultaneous Measurement of Multiple Receptor Occupancy in the Rat Brain. Biomedicines 2026, 14, 118. https://doi.org/10.3390/biomedicines14010118
Akashita G, Nakatani E, Tanaka S, Okura T. Analysis of Pharmacokinetic and Pharmacodynamic Interactions Between Chlorpromazine and Risperidone via Simultaneous Measurement of Multiple Receptor Occupancy in the Rat Brain. Biomedicines. 2026; 14(1):118. https://doi.org/10.3390/biomedicines14010118
Chicago/Turabian StyleAkashita, Gaku, Eriko Nakatani, Shimako Tanaka, and Takashi Okura. 2026. "Analysis of Pharmacokinetic and Pharmacodynamic Interactions Between Chlorpromazine and Risperidone via Simultaneous Measurement of Multiple Receptor Occupancy in the Rat Brain" Biomedicines 14, no. 1: 118. https://doi.org/10.3390/biomedicines14010118
APA StyleAkashita, G., Nakatani, E., Tanaka, S., & Okura, T. (2026). Analysis of Pharmacokinetic and Pharmacodynamic Interactions Between Chlorpromazine and Risperidone via Simultaneous Measurement of Multiple Receptor Occupancy in the Rat Brain. Biomedicines, 14(1), 118. https://doi.org/10.3390/biomedicines14010118

