Re-Evaluating the Treatment Plan for Diabetic Macular Edema Based on Early Identification of Response and Possible Biochemical Predictors of Non-Response After the First Intravitreal Ranibizumab Injection
Abstract
1. Introduction
2. Patients and Methods
2.1. The Ethical Committee Approval
2.2. Intravitreal Injection of Ranibizumab
2.3. Sample Collection
2.4. Assuring RNA Quality and Purity
- -
- Lymphocyte activation markers: Hexokinase-1, Recoverin (RCVRN), S100 calcium-binding protein A8 (S100A8) (Calprotectin), and selectin L (SELL) (CD62L) (to examine the autoimmune element of DME pathology).
- -
- NETosis markers: Elastase neutrophil expressed (ELANE), peptidyl arginine deiminase4 (PAD4), and Myeloperoxidase (MPO) (to examine the inflammatory element of DME pathology).
- -
- Angiogenic biomarkers: VEGF-A, semaphorin 3A (SEMA3A), semaphorin 4D (SEMA4D), angiopoietin 1 (ANGPT1), and angiopoietin 2 (ANGPT2).
- -
- Astrocytic biomarker (Glial cell-derived neurotrophic factor (GDNF)) (to examine the vascular element of DME pathology).
- -
- Innate immunity and inflammasome markers: miR-135a-5p (mixed vascular and inflammatory) with thioredoxin-interacting protein (TXNIP), NLR family pyrin domain containing 3 (NLRP3), and receptor for advanced glycation end-products (RAGE) (to examine the inflammatory element of DME pathology).
2.5. Statistical Analysis
2.6. Sample Calculation Size
3. Results
3.1. Demographics and Clinical Characteristics of the Study Population (Table 1)
3.2. Levels of the Studied Biomarkers Before Intravitreal Injection of Ranibizumab (Table 2)
3.3. Spearman Correlation Regarding the Tested Biomarkers’ Expressions in Blood and Aqueous Before and After Treatment Among the Studied Groups (Table 3)
3.4. Relating the Response to IVR with the Demographics and Clinical Characteristics of the Patients with DME (Table 4)
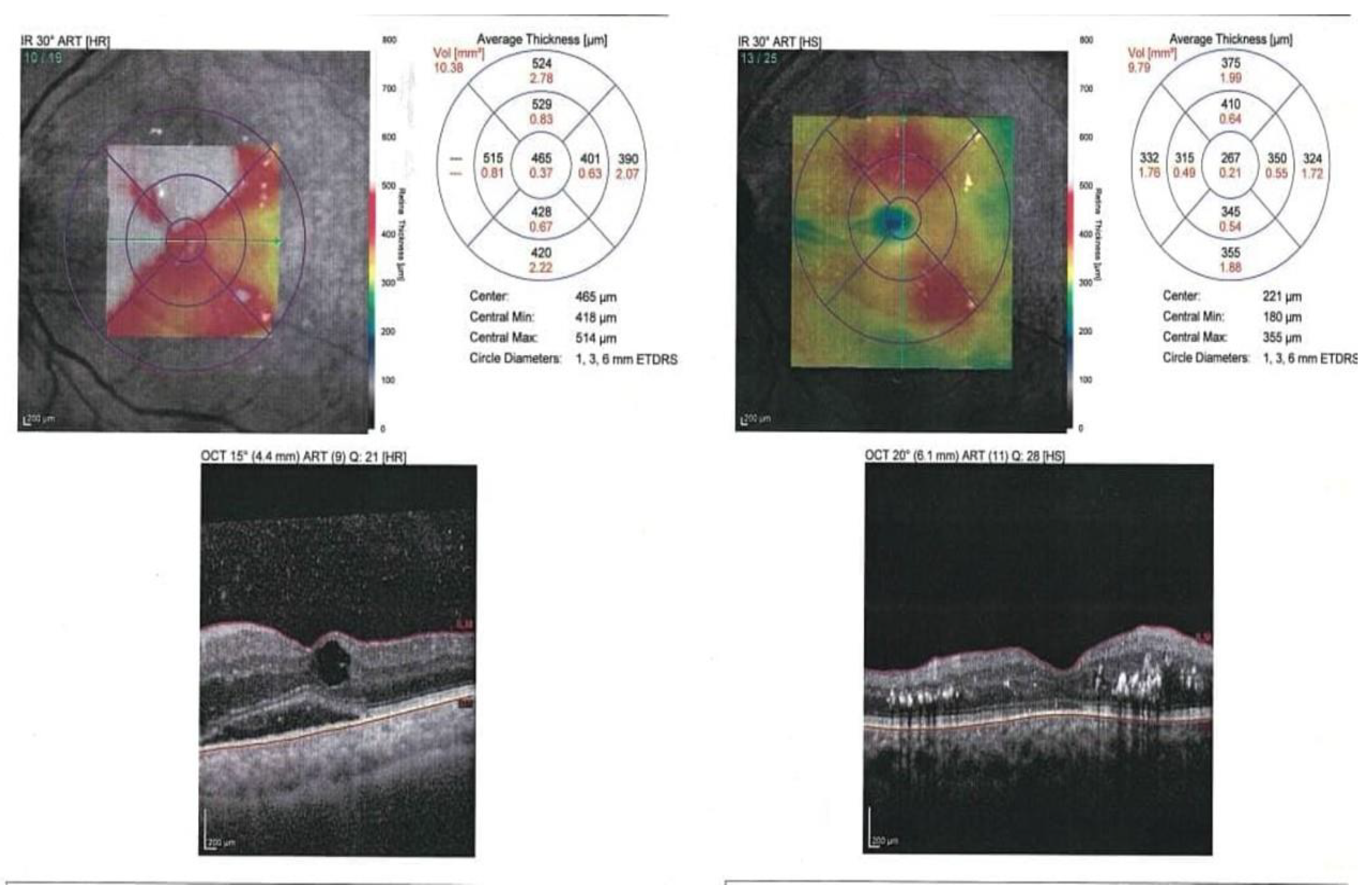
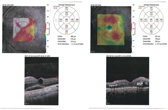
3.5. The BCVA, OCT Findings, and Macular Ischemia in the Patients with DME (Table 5)
3.6. The Difference Between the Non-Responders and Responders Regarding the Studied Biomarkers Before IVR (Table 6)
3.7. The Difference Between the Non-Responders and Responders Regarding the Studied Biomarkers One Month After IVR (Table 7)
3.8. Univariate and Multivariate Regression Analysis of Different Parameters Affecting Response to IVR (Table 8a–e)
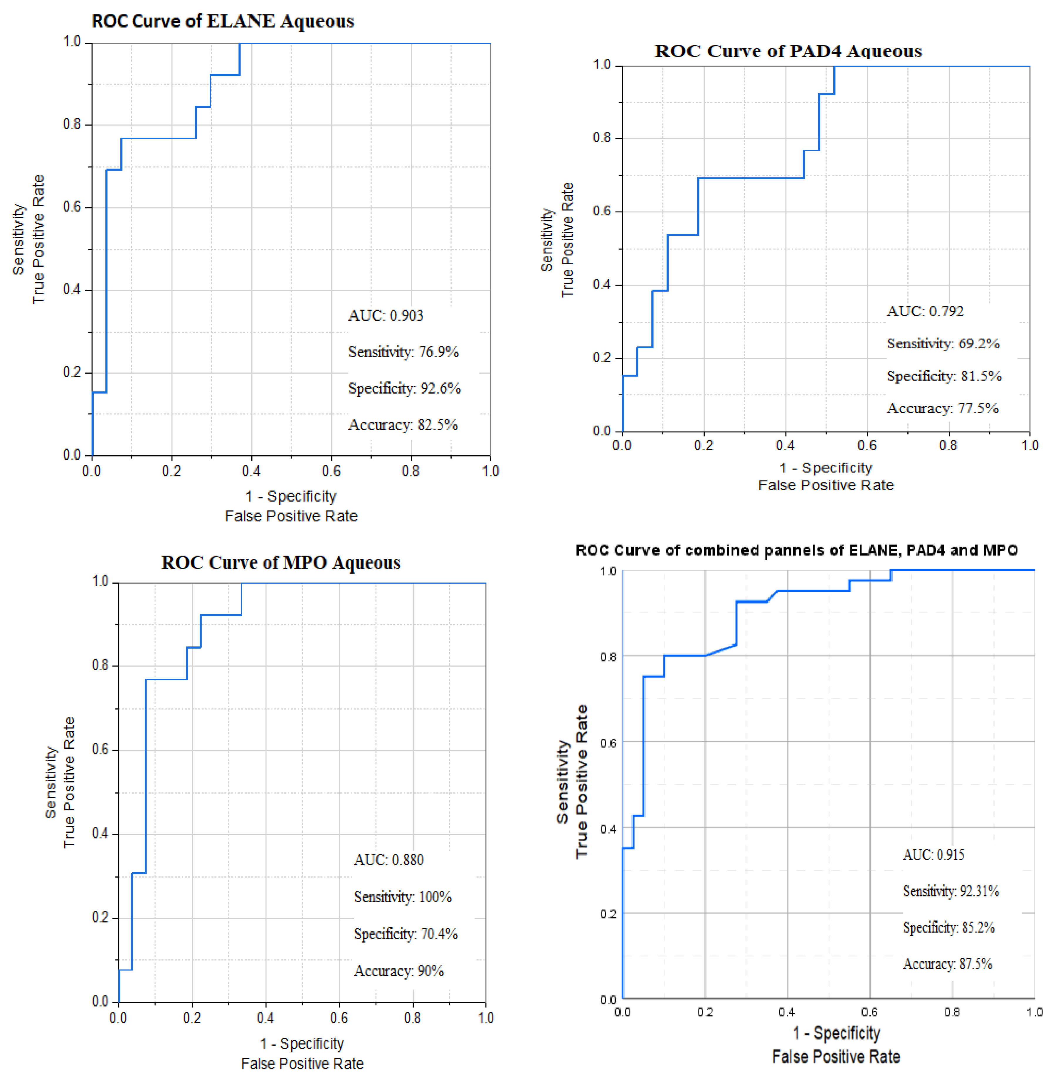
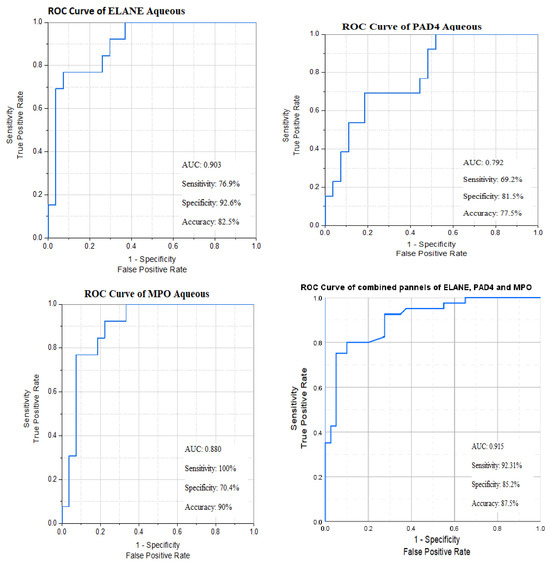
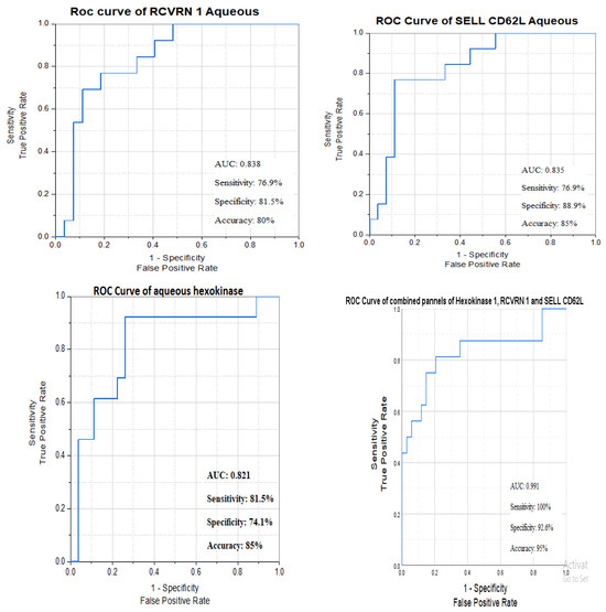
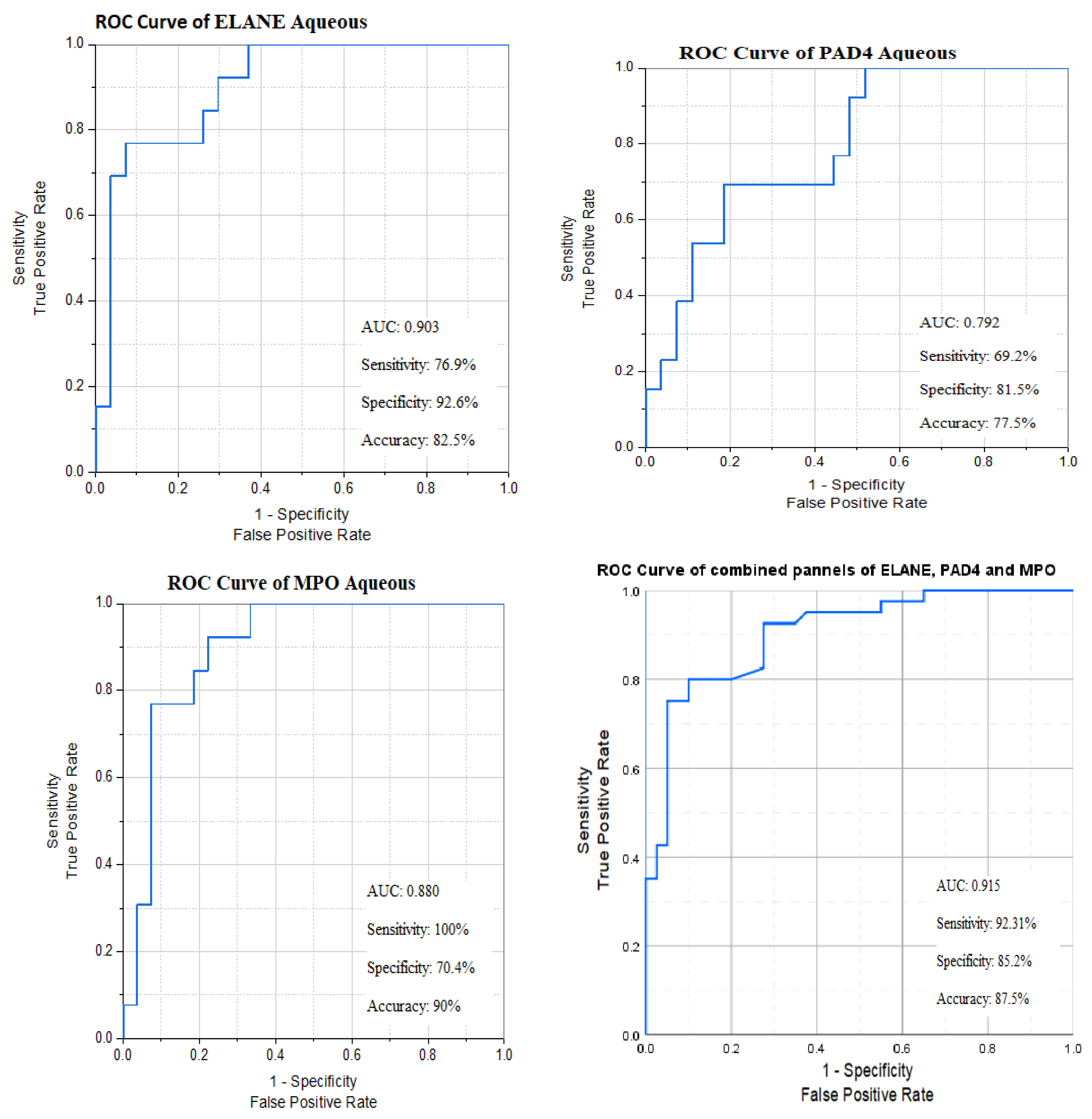
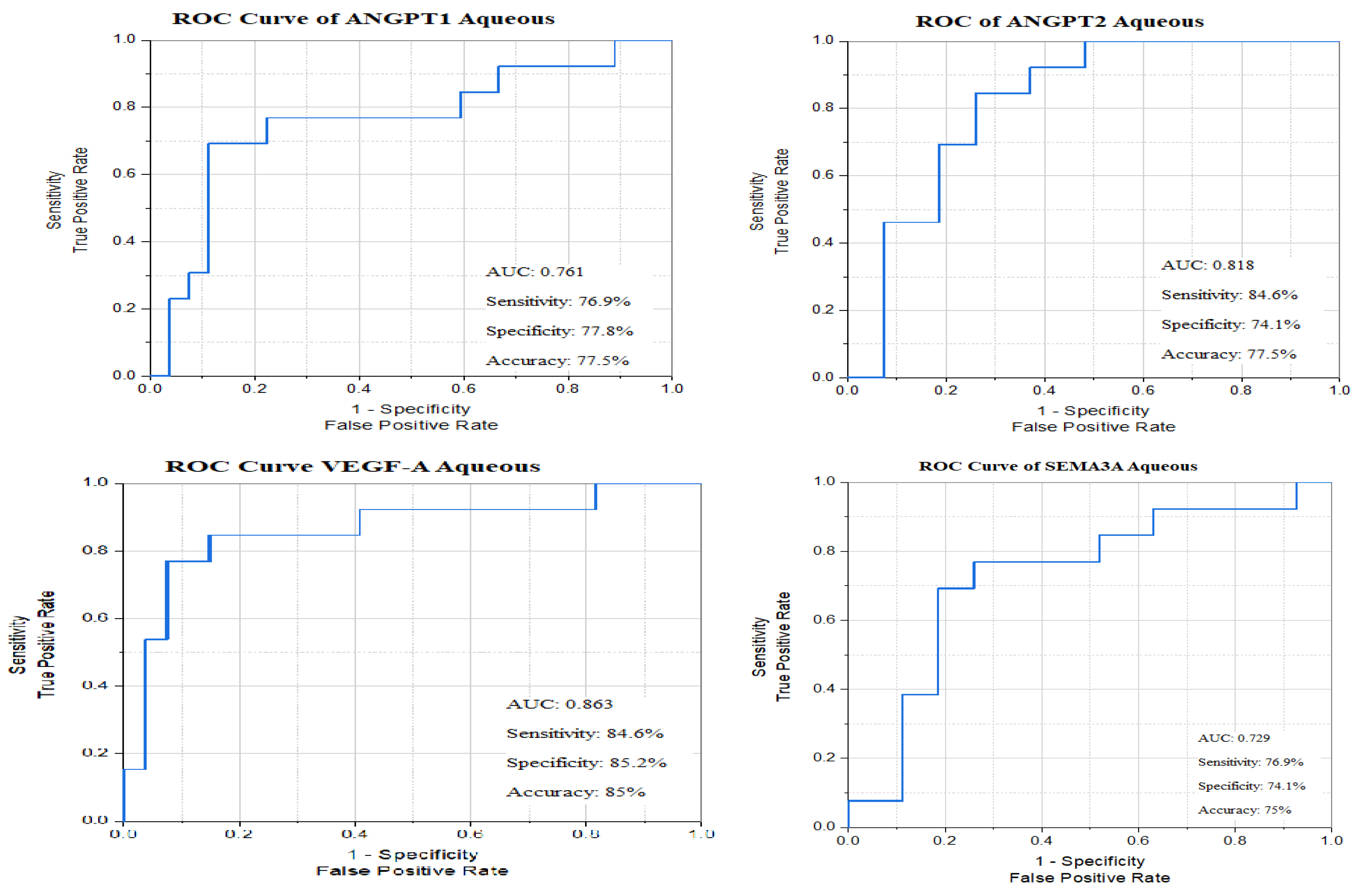
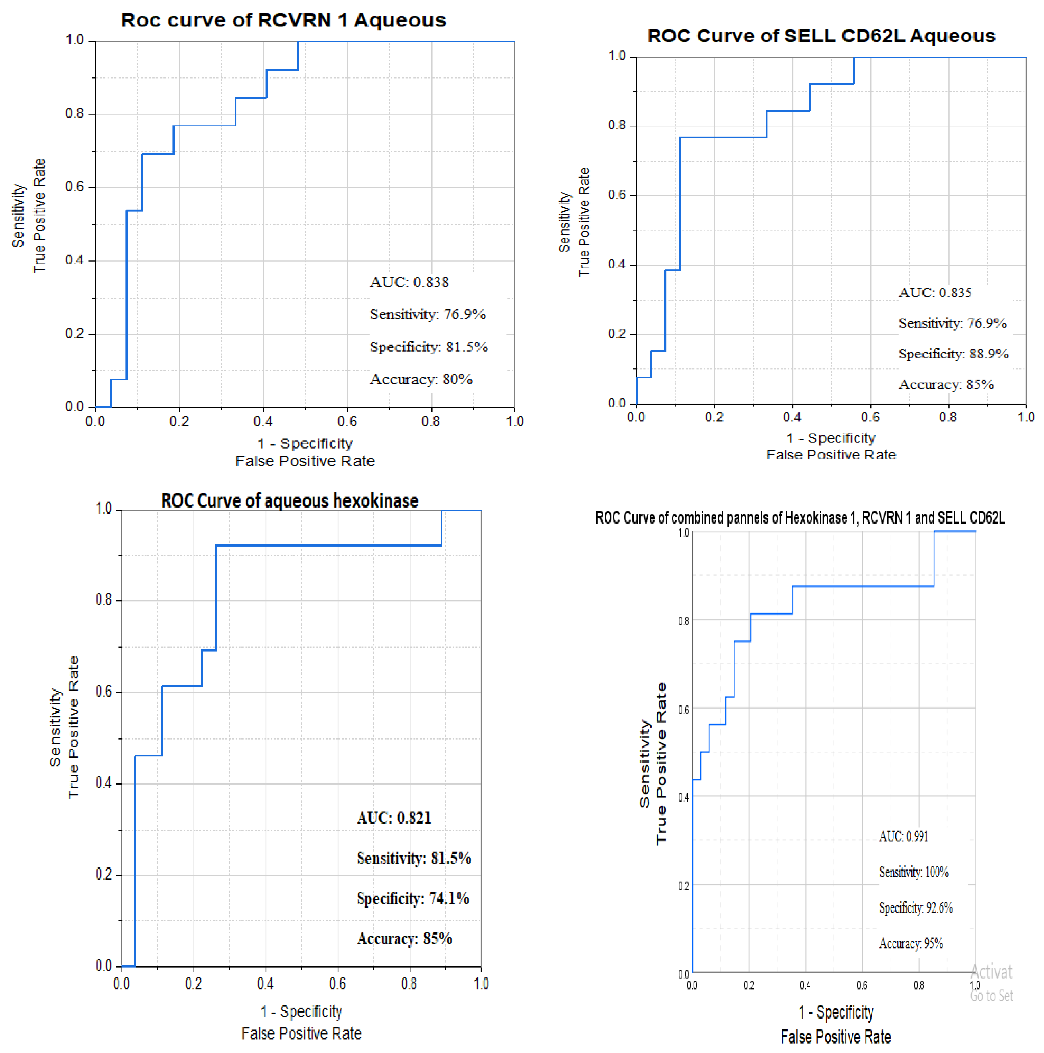
3.9. The ROC Curve and Area Under the Curve (AUC) to Determine the Cut-Off Point for Each Parameter Affecting the Response to IVR in the Diabetic Patients with DME (Table 9)
3.10. Combined Panels of the Significant Biomarkers in the Aqueous Humor and the Blood Between Responders and Non-Responders (Table 10, Figure 11)
4. Discussion
- -
- Starting with a single dose of anti-VEGF, whatever the type, then assessing the response after one month.
- -
- If there is a good response, continue injecting the same anti-VEGF agent.
- -
- If there is poor or no response, ask the patient for our proposed clinical–biochemical panel, which is composed of FFA or OCTA (to exclude macular ischemia) + PCR array containing the most sensitive genes of hexokinase 1 (autoimmune), SEMA4D (vascular), and MPO (inflammatory). According to the results of this panel, we can adjust the treatment accordingly.
Author Contributions
Funding
Institutional Review Board Statement
Informed Consent Statement
Data Availability Statement
Acknowledgments
Conflicts of Interest
References
- Klein, B.E. Overview of epidemiologic studies of diabetic retinopathy. Ophthalmic Epidemiol. 2007, 14, 179–183. [Google Scholar] [CrossRef] [PubMed]
- Varma, R.; Bressler, N.M.; Doan, Q.V.; Gleson, M.; Danese, M.; Brower Jk Selvin, E.; Dolan, C.; Fine, J. Prevalence of and risk factors for diabetic macular edema in the United States. JAMA Ophthalmol. 2014, 132, 1334–1340. [Google Scholar] [CrossRef]
- Das, A.; McGuire, P.G.; Rangasamy, S. Diabetic Macular Edema: Pathophysiology and Novel Therapeutic Targets. Ophthalmology 2015, 122, 1375–1394. [Google Scholar] [CrossRef] [PubMed]
- Funatsu, H.; Yamashita, H.; Nakamura, S.; Mimura, T.; Eguchi, S.; Noma, H.; Hori, S. Vitreous levels of pigment epithelium-derived factor and vascular endothelial growth factor are related to diabetic macular edema. Ophthalmology 2006, 113, 294–301. [Google Scholar] [CrossRef] [PubMed]
- Stewart, M.W. A Review of Ranibizumab for the Treatment of Diabetic Retinopathy. Ophthalmol. Ther. 2017, 6, 33–47. [Google Scholar] [CrossRef]
- Jampol, L.M.; Bressler, N.M.; Glassman, A.R. Revolution to a new standard treatment of diabetic macular edema. JAMA 2014, 311, 2269–2270. [Google Scholar] [CrossRef]
- Mitchell, P.; Bandello, F.; Schmidt-Erfurth, U.S.; Lang, G.L.; Massin, P.; Schingemann, R.O.; Sutter, F.; Simader, C. The RESTORE study: Ranibizumab monotherapy or combined with laser versus laser monotherapy for diabetic macular edema. Ophthalmology 2011, 118, 615–625. [Google Scholar] [CrossRef]
- Brown, D.M.; Nguyen, Q.D.; Marcus, D.M.; Boyer, D.S.; Patal, S.; Feiner, L.; Schlottmann, P.G.; Rundle, A.C. Long-term outcomes of ranibizumab therapy for diabetic macular edema: The 36-month results from two phase III trials: RISE and RIDE. Ophthalmology 2011, 120, 2013–2022. [Google Scholar] [CrossRef]
- Gonzalez-Cortes, J.H.; Martinez-Pacheco, V.A.; Gonzalez-Cantu, J.E.; Bilgic, A.; Ribot, F.M.; Sudhalker, A.; Mohamed-Hamsho, J.; Kodjikian, L. Current Treatments and Innovations in Diabetic Retinopathy and Diabetic Macular Edema. Pharmaceutics 2023, 1, 122. [Google Scholar] [CrossRef]
- Klocperk, A.; Vcelakova, J.; Vrabcova, P.; Zentsova, I.; Petruzelkova, L.; Sumnik, Z.; Pruhova, S.; Sedvia, A. Elevated Biomarkers of NETosis in the Serum of Pediatric Patients with Type 1 Diabetes and Their First-Degree Relatives. Front. Immunol. 2021, 12, 699386. [Google Scholar] [CrossRef]
- Yoshitakes, T.; Murakami, T.; Yoshitake, S.; Suzuma, K.; Dodo, Y.; Fujimoto, M.; Ito, S.; Tsujikawa, A. Anti-Hexokinase 1 Antibody as a Novel Serum Biomarker of a Subgroup of Diabetic Macular Edema. Sci. Rep. 2019, 9, 4806. [Google Scholar] [CrossRef]
- Adamus, G.; Chew, E.Y.; Ferris, F.L.; Klein, M.L. Prevalence of anti-retinal autoantibodies in different stages of Age-related macular degeneration. BMC Ophthalmol. 2014, 14, 154. [Google Scholar] [CrossRef] [PubMed]
- Bluestone, J.A.; Herold, K.; Eisenbarth, G. Genetics, pathogenesis, and clinical interventions in type 1 diabetes. Nature 2010, 464, 1293–1300. [Google Scholar] [CrossRef] [PubMed]
- Romero-Aroca, P.; Baget-Bernaldiz, M.; Pareja-Rios, A.; Lopez-Galvez, M.; Navarro-Gil, R.; Verges, R. Diabetic Macular Edema Pathophysiology: Vasogenic versus Inflammatory. J. Diabetes Res. 2016, 2016, 2156273. [Google Scholar] [CrossRef]
- Kohli, P.; Tripathy, K.; Patel, B.C. Macular Edema. In StatPearls; StatPearls Publishing: Treasure Island, FL, USA, 2024. Available online: https://www.ncbi.nlm.nih.gov/sites/books/NBK576396/ (accessed on 24 April 2024).
- Navarro, E.; Heras, G.S.; Castaño, M.J.; Solera, J. Real-time PCR. Clin. Chem. Acta. 2015, 439, 231–250. [Google Scholar] [CrossRef]
- Khamis, H.; Kepler, M. Sample size in multiple regression: 20 + 5k. J. Appl. Stat. Sci. 2010, 17, 505–517. [Google Scholar]
- Turski, C.A.; Jacobs, M.A.; Abou-Jaoude, M.M.; Fowler, N.H.; Harpole, R.; Altman, E.; Chadwell, J.B.; Kindl, G.; James, H.R.; Reddy, S.V.; et al. Short-term outcomes in patients with center-involving diabetic macular edema after a single dose of intravitreal bevacizumab. Int. J. Retin. Vitr. 2022, 8, 81. [Google Scholar] [CrossRef]
- Shah, A.R.; Yonekawa, Y.; Todorich, B.; Van Laere, L.; Hussain, R.; Woodward, M.A.; Abbey, A.M.; Wolfe, J.D. Prediction of Anti-VEGF Response in Diabetic Macular Edema After 1 Injection. J. Vitreoretin. Dis. 2017, 1, 169–174. [Google Scholar] [CrossRef]
- Chouhan, S.; Kalluri Bharat, R.P.; Surya, J.; Mohan, S.; Balaji, J.J.; Viekash, V.K.; Lakshminarayanan, V.; Raman, R. Preliminary Report on Optical Coherence Tomography Angiography Biomarkers in Non-Responders and Responders to Intravitreal Anti-VEGF Injection for Diabetic Macular Oedema. Diagnostics 2023, 13, 1735. [Google Scholar] [CrossRef]
- Romero-Aroca, P. Targeting the Pathophysiology of Diabetic Macular Edema. Diabetes Care 2010, 33, 2484–2485. [Google Scholar] [CrossRef]
- Bhagat, N.; Grigorian, R.A.; Tutela, A.; Zarbin, M.A. Diabetic macular edema: Pathogenesis and treatment. Surv. Ophthalmol. 2009, 54, 1–32. [Google Scholar] [CrossRef]
- Tatsumi, T. Current Treatments for Diabetic Macular Edema. Int. J. Mol. Sci. 2023, 31, 9591. [Google Scholar] [CrossRef] [PubMed]
- Liberski, S.; Wichrowska, M.; Kociecki, J. Aflibercept versus Faricimab in the Treatment of Neovascular Age-Related Macular Degeneration and Diabetic Macular Edema: A Review. Int. J. Mol. Sci. 2022, 23, 9424. [Google Scholar] [CrossRef] [PubMed]
- Brown, D.M.; Schmidt-Erfurth, U.; Do, D.V.; Holz, F.G.; Boyer, D.S.; Midena, E.; Heier, J.S.; Terasaki, H.; Kaiser, P.K.; Marcus, D.M.; et al. Intravitreal Aflibercept for Diabetic Macular Edema: 100-Week Results from the VISTA and VIVID Studies. Ophthalmology 2015, 122, 2044–2052. [Google Scholar] [CrossRef] [PubMed]
- Klein, A.; Loewenstein, A. Therapeutic Monoclonal Antibodies and Fragments: Bevacizumab. Dev. Ophthalmol. 2016, 55, 232–245. [Google Scholar] [CrossRef]
- Diabetic Retinopathy Clinical Research Network; Wells, J.A.; Glassman, A.R.; Ayala, A.R.; Jampol, L.M.; Aiello, L.P.; Antoszyk, A.N.; Arnold-Bush, B.; Baker, C.W.; Bressler, N.M.; et al. Aflibercept, bevacizumab, or Ranibizumab for diabetic macular edema. N. Engl. J. Med. 2015, 372, 1193–1203. [Google Scholar] [CrossRef]
- Regula, J.T.; Lundh von Leithner, P.; Foxton, R.; Barathi, V.A.; Cheung, C.M.; Bo Tun, S.B.; Wey, Y.S.; Iwata, D.; Dostalek, M.; Moelleken, J.; et al. Targeting key angiogenic pathways with a bispecific CrossMAb optimized for neovascular eye diseases. EMBO Mol. Med. 2016, 8, 1265–1288. [Google Scholar] [CrossRef]
- Wykoff, C.C.; Abreu, F.; Adamis, A.P.; Basu, K.; Eichenbaum, D.A.; Haskova, Z.; Lin, H.; Loewenstein, A.; Mohan, S.; Pearce, I.A.; et al. Efficacy, durability, and safety of intravitreal faricimab with extended dosing up to every 16 weeks in patients with diabetic macular oedema (YOSEMITE and RHINE): Two randomised, double-masked, phase 3 trials. Lancet 2022, 399, 741–755. [Google Scholar] [CrossRef]
- Tadayoni, R.; Sararols, L.; Weissgerber, G.; Verma, R.; Clemens, A.; Holz, F.G. Brolucizumab: A Newly Developed Anti-VEGF Molecule for the Treatment of Neovascular Age-Related Macular Degeneration. Ophthalmologica 2021, 244, 93–101. [Google Scholar] [CrossRef]
- Brown, D.M.; Emanuelli, A.; Bandello, F.; Barranco, J.J.E.; Figueira, J.; Souied, E.; Wolf, S.; Gupta, V.; Ngah, N.F.; Liew, G.; et al. KESTREL and KITE: 52-Week Results from Two Phase III Pivotal Trials of Brolucizumab for Diabetic Macular Edema. Am. J. Ophthalmol. 2022, 238, 157–172. [Google Scholar] [CrossRef]
- Ferrara, N.; Damico, L.; Shams, N.; Lowman, H.; Kim, R. Development of Ranibizumab, an anti-vascular endothelial growth factor antigen binding fragment, as therapy for neovascular age-related macular degeneration. Retina 2006, 26, 859–870. [Google Scholar] [CrossRef] [PubMed]
- Nguyen, Q.D.; Brown, D.M.; Marcus, D.M.; Boyer, D.S.; Patel, S.; Feiner, L.; Gibson, A.; Sy, J.; Rundle, A.C.; Hopkins, J.J.; et al. Ranibizumab for diabetic macular edema: Results from 2 phase III randomized trials: RISE and RIDE. Ophthalmology 2012, 119, 789–801. [Google Scholar] [CrossRef] [PubMed]
- Kim, J.E.; Pollack, J.S.; Miller, D.G.; Mittra, R.A.; Spaide, R.F. Isis Study Group. ISIS-DME. A prospective, randomized, dose-escalation intravitreal steroid injection study for refractory diabetic macular edema. Retina 2008, 28, 735–740. [Google Scholar] [CrossRef]
- Spandau, U.H.; Derse, M.; Schmitz-Valckenberg, P.; Papoulis, C.; Jonas, J.B. Dosage dependency of intravitreal triamcinolone acetonide as treatment for diabetic macular oedema. Br. J. Ophthalmol. 2005, 89, 999–1003. [Google Scholar] [CrossRef]
- Gao, L.; Zhao, X.; Jiao, L.; Tang, L. Intravitreal corticosteroids for diabetic macular edema: A network meta-analysis of randomized controlled trials. Eye Vis. 2021, 8, 35. [Google Scholar] [CrossRef]
- Hong, I.H.; Choi, W.; Han, J.R. The effects of intravitreal triamcinolone acetonide in diabetic macular edema refractory to anti-VEGF treatment. Jpn. J. Ophthalmol. 2020, 64, 196–202. [Google Scholar] [CrossRef]
- Santos, A.R.; Gomes, S.C.; Figueira, J.P.; Nunes, S.; Lobo, C.L.; Cunha-Vaz, J.G. Degree of Decrease in Central Retinal Thickness Predicts Visual Acuity Response to Intravitreal Ranibizumab in Diabetic Macular Edema. Ophthalmologica 2013, 231, 16–22. [Google Scholar] [CrossRef]
- Sharef, N.; Kassem, R.; Hecht, I.; Bar, A.; Maharshak, I.; Burgansky-Eliash, Z.; Weinberger, Y.; Tuuminen, R.; Achiron, A. Interdigitation and Ellipsoid Zones Disruption Correlate with Visual Outcomes among Treatment-Naive Patients with Diabetic Macular Edema. Ophthalmic Res. 2021, 64, 476–482. [Google Scholar] [CrossRef]
- Sujoy, M.; Juhi, K.; Swet, K.; Prasad, D.T. Optical Coherence Tomography (OCT) and Visual Acuity in Eyes with Broken Foveal Avascular Zone (FAZ). J. Optom. Ophthalmol. 2022, 3, 1. [Google Scholar] [CrossRef]
- Massengill, M.T.; Cubillos, S.; Sheth, N.; Sethi, A.; Lim, J.I. Response of Diabetic Macular Edema to Anti-VEGF Medications Correlates with Improvement in Macular Vessel Architecture Measured with OCT Angiography. Ophthalmol. Sci. 2024, 4, 100478. [Google Scholar] [CrossRef]
- Otani, T.; Kishi, S. Correlation between optical coherence tomography and fluorescein angiography findings in diabetic macular edema. Ophthalmology 2007, 114, 104–107. [Google Scholar] [CrossRef]
- Shechter, R.; London, A.; Schwartz, M. Orchestrated leukocyte recruitment to immune-privileged sites: Absolute barriers versus educational gates. Nat. Rev. Immunol. 2013, 13, 206–218. [Google Scholar] [CrossRef]
- Siddiqui, K.; George, T.P.; Mujammami, M.; Isnani, A.; Alfadda, A.A. The association of cell adhesion molecules and selectins (VCAM-1, ICAM-1, E-selectin, L-selectin, and P-selectin) with microvascular complications in patients with type 2 diabetes: A follow-up study. Front. Endocrinol. 2023, 14, 1072288. [Google Scholar] [CrossRef] [PubMed]
- Lim, R.R.; Vaidya, T.; Gadde, S.G.; Yadav, N.K.; Sethu, S.; Hainsworth, D.P.; Mohan, R.R.; Ghosh, A.; Chaurasia, S.S. Correlation between systemic S100A8 and S100A9 levels and severity of diabetic retinopathy in patients with type 2 diabetes mellitus. Diabetes Metab. Syndr. Clin. Res. Rev. 2019, 13, 1581–1589. [Google Scholar] [CrossRef] [PubMed]
- Wang, L.; Luo, H.; Chen, X.; Jiang, Y.; Huang, Q. Functional characterization of S100A8 and S100A9 in altering monolayer permeability of human umbilical endothelial cells. PLoS ONE 2014, 9, e90472. [Google Scholar] [CrossRef] [PubMed]
- Broome, A.M.; Ryan, D.; Eckert, R.L. S100 protein subcellular localization during epidermal differentiation and psoriasis. J. Histochem. Cytochem. 2003, 51, 675–685. [Google Scholar] [CrossRef]
- Tetikoğlu, M.; Yüksel, Z.; Aktas, S.; Sağdik, H.M.; Özcura, F. VEGF-A gene polymorphisms and responses to intravitreal ranibizumab treatment in patients with diabetic macular edema. Int. Ophthalmol. 2018, 38, 2381–2388. [Google Scholar] [CrossRef]
- Shimura, M.; Yasuda, K.; Mizui, T.; Noma, H.; Kanemaki, T.; Goto, H. Aqueous cytokine and growth factor levels indicate response to Ranibizumab for DME. Br. J. Ophthalmol. 2017, 101, 1518–1523. [Google Scholar] [CrossRef]
- Udaondo, P.; Hernández, C.; Briansó-Llort, L.; García-Delpech, S.; Simó-Servat, O.; Simó, R. Usefulness of Liquid Biopsy Biomarkers from Aqueous Humor in Predicting Anti-VEGF Response in Diabetic Macular Edema: Results of a Pilot Study. J. Clin. Med. 2019, 8, 1841. [Google Scholar] [CrossRef]
- Wu, J.H.; Li, Y.N.; Chen, A.Q.; Hong, C.D.; Zhang, C.L.; Wang, H.L.; Zhou, Y.F.; Li, P.C.; Wang, Y.; Mao, L.; et al. Inhibition of Sema4D/PlexinB1 signaling alleviates vascular dysfunction in diabetic retinopathy. EMBO Mol. Med. 2020, 12, e10154. [Google Scholar] [CrossRef]
- Sinha, S.; Saxena, S.; Das, S.; Prasad, S.; Bhasker, S.K.; Mahdi, A.A.; Kruzliak, P. Antimyeloperoxidase antibody is a biomarker for progression of diabetic retinopathy. J. Diabetes Its Complicat. 2016, 30, 700–704. [Google Scholar] [CrossRef]
- Accardo-Palumbo, A.; Triolo, G.; Giardina, E.; Carbone, M.C.; Ferrante, A. Detection of anti-myeloperoxidase antibodies in the serum of patients with type 1 diabetes mellitus. Acta Diabetol. 1996, 33, 103–107. [Google Scholar] [CrossRef] [PubMed]
- Shurtz-Swirski, R.; Sela, S.; Herskovits, A.T.; Shasha, S.M.; Shapiro, G.; Nasser, L.; Kristal, B. Involvement of peripheral polymorphonuclear leukocytes in oxidative stress and inflammation in type 2 diabetic patients. Diabetes Care 2001, 24, 104–110. [Google Scholar] [CrossRef] [PubMed]
- Park, J.H.; Kim, J.E.; Gu, J.Y.; Yoo, H.J.; Park, S.H.; Kim, Y.I.; Nam-Goong, I.S.; Kim, E.S.; Kim, H.K. Evaluation of circulating markers of neutrophil extracellular trap [NET] formation as risk factors for diabetic retinopathy in a case-control association study. Exp. Clin. Endocrinol. Diabetes 2016, 15, 557–561. [Google Scholar] [CrossRef]
- Gupta, A.K.; Joshi, M.B.; Philippova, M.; Erne, P.; Hasler, P.; Hahn, S.; Resink, T.J. Activated endothelial cells induce neutrophil extracellular traps and are susceptible to NETosis-mediated cell death. FEBS Lett. 2010, 584, 3193–3197. [Google Scholar] [CrossRef]
- Gu, J.Y.; Yoo, H.J.; Kim, Y.I.; Nam-Goong, I.S.; Kim, E.S.; Kim, H.K.; Song, D.Y. Activation of factor XII and kallikrein-kinin system combined with neutrophil extracellular trap formation in diabetic retinopathy. Exp. Clin. Endocrinol. Diabetes 2021, 129, 560–565. [Google Scholar] [CrossRef]
- Hauck, S.M.; Kinkl, N.; Deeg, C.A.; Swiatek-de Lange, M.; Schöffmann, S.; Ueffing, M. GDNF family ligands trigger indirect neuroprotective signaling in retinal glial cells. Mol. Cell Biol. 2006, 26, 2746–2757. [Google Scholar] [CrossRef]
- Nishikiori, N.; Mitamura, Y.; Tashimo, A.; Nakamura, Y.; Harada, T.; Osanai, M.; Sawada, N.; Ohtsuka, K. Glial Cell Line–Derived Neurotrophic Factor in the Vitreous of Patients with Proliferative Diabetic Retinopathy. Diabetes Care 2005, 28, 2588. [Google Scholar] [CrossRef]
- Lu, Z.; Fan, B.; Li, Y.; Zhang, Y. RAGE plays key role in diabetic retinopathy: A review. Biomed. Eng. Online 2023, 22, 128. [Google Scholar] [CrossRef]
- Saleh, I.; Maritska, Z.; Parisa, N.; Hidayat, R. Inhibition of receptor for advanced glycation end products as new promising strategy treatment in diabetic retinopathy. Open Access Maced. J. Med. Sci. 2019, 7, 3921. [Google Scholar] [CrossRef]
- Qing, S.; Yuan, S.; Yun, C.; Hui, H.; Mao, P.; Wen, F.; Ding, Y.; Liu, Q. Serum miRNA biomarkers serve as a fingerprint for proliferative diabetic retinopathy. Cell. Physiol. Biochem. Int. J. Exp. Cell. Physiol. Biochem. Pharmacol. 2014, 34, 1733–1740. [Google Scholar] [CrossRef]
- Cho, H.; Hwang, M.; Hong, E.H.; Yu, H.; Park, H.H.; Koh, S.H.; Shin, Y.U. Micro-RNAs in the aqueous humour of patients with diabetic macular oedema. Clin. Exp. Ophthalmol. 2020, 48, 624–635. [Google Scholar] [CrossRef] [PubMed]
- Jiang, L.; Cao, H.; Deng, T.; Yang, M.; Meng, T.; Yang, H.; Luo, X. Serum exosomal miR-377-3p inhibits retinal pigment epithelium proliferation and offers a biomarker for diabetic macular edema. J. Int. Med. Res. 2021, 49, 3000605211002975. [Google Scholar] [CrossRef] [PubMed]
- Grieco, G.E.; Sebastiani, G.; Eandi, C.M.; Neri, G.; Nigi, L.; Brusco, N.; D’Aurizio, R.; Posarelli, M.; Bacci, T.; De Benedetto, E.; et al. MicroRNA Expression in the Aqueous Humor of Patients with Diabetic Macular Edema. Int. J. Mol. Sci. 2020, 21, 7328. [Google Scholar] [CrossRef] [PubMed]
- Li, Y.; Fu, Y.; Tong, Y.; Zheng, Y.; Yang, L.; Ningbo, C. Exosomal miR-135a-5p promotes neovascularization via targeting SIRT1 in diabetic retinopathy. Res. Sq. 2022. [Google Scholar] [CrossRef]
- Arikawa, E.; Quellhorst, G.; Han, Y.; Pan, H.; Yang, J. RT2 Profiler™ PCR arrays: Pathway-focused gene expression profiling with qRT-PCR. Biotechniques 2011, 43, 1–12. [Google Scholar]






















| Variable | Group A (DME Patients) (n = 40) | Group B (Controls) (n = 40) | t | p Value | ||
|---|---|---|---|---|---|---|
| N | % | N | % | |||
| Age (years) | 1.098 | 0.275 | ||||
| Mean ± SD | 58.95 ± 10.38 | 55.60 ± 16.26 | ||||
| Sex | 0.450 | 0.502 | ||||
| Male | 18 | 45.0 | 21 | 52.5 | ||
| Female | 22 | 55.0 | 19 | 47.5 | ||
| Age of onset of DM (years) | -- | -- | -- | |||
| Mean± SD | 43.45 ± 10.84 | |||||
| Duration of DM (years) | -- | -- | -- | |||
| Mean± SD | 15.58 ± 4.49 | |||||
| HbA1C (%) | 5.13 ± 0.33 | 21.093 | <0.001 * | |||
| Mean± SD | 7.96 ± 0.78 | |||||
| Biomarker | DME patients (Group A) (n = 40) | Controls (Group B) (n = 40) | Mann–Whitney Test | p Value |
|---|---|---|---|---|
| Mean ± SD | Mean ± SD | |||
| Lymphocyte activation markers | ||||
| Hexokinase 1 Blood | 13.13 ± 20.08 5.87(2.31–40.99) | 0.99 ± 0.12 1.0(0.97–1.26) | 0.000 | <0.001 * |
| Hexokinase 1 Aqueous | 9.61 ± 6.65 7.41(1.54–23.96) | 0.901 ± 0.17 0.92(0.89–1.25) | 0.000 | <0.001 * |
| SELL CD62L Blood | 17.09 ± 35.53 6.43(1.19–187.66) | 0.974 ± 0.19 0.93(0.87–1.35) | 9.00 | <0.001 * |
| SELL CD62L Aqueous | 10.67 ± 19.80 19.8(1.05–97.6) | 1.02 ± 0.28 1.195(0.88–0.42) | 79.00 | <0.001 * |
| RCVRN 1 Blood | 7.54 ± 7.09 4.36(0.92–22.07) | 1.05 ± 0.62 0.95(0.86–2.47 | 251.50 | <0.001 * |
| RCVRN 1 Aqueous | 10.11 ± 12.23 5.45(1.29–31.74) | 1.11 ± 0.22 1.07(0.82–0.76) | 6.00 | <0.001 * |
| S100A8 Blood | 9.87 ± 18.70 4.14(1.25–94.43) | 0.967 ± 0.10 0.95(0.85–1.24) | 0.000 | <0.001 * |
| S100A8 Aqueous | 9.33 ± 17.16 4.89(0.99–90.46) | 1.74 ± 0.26 1.75(1.2–2.06) | 264.5 | <0.001 * |
| NETosis biomarkers | ||||
| ELANE Blood | 13.20 ± 17.12 7.38(0.87–90.07) | 0.839 ± 0.22 0.88(0.81–1.3) | 18.00 | <0.001 * |
| ELANE Aqueous | 17.24 ± 28.76 4.28(0.83–100.49) | 0.92 ± 0.17 0.87(0.82–1.06) | 20.00 | <0.001 * |
| PAD4 Blood | 10.33 ± 17.98 5.01(0.91–70.84) | 0.86 ± 0.21 0.88(0.83–1.09) | 102.00 | <0.001 * |
| PAD4 Aqueous | 4.74 ± 8.41 2.43(0.02–21.0) | 0.83 ± 0.22 0.87(0.79–1.18) | 149.00 | <0.001 * |
| MPO Blood | 19.07 ± 29.99 5.23(0.97–90.29) | 0.93 ± 0.14 0.9(0.89–1.09) | 40.00 | <0.001 * |
| MPO Aqueous | 17.34 ± 27.84 5.33(0.81–92.58) | 0.80 ± 0.13 0.81(0.84–0.96) | 34.00 | <0.001 * |
| Angiogenic biomarkers | ||||
| ANGPT1 Blood | 16.43 ± 18.57 8.32(0.90–64.95) | 0.94 ± 0.20 0.99(0.85–1.17) | 160.00 | <0.001 * |
| ANGPT1 Aqueous | 17.93 ± 30.21 10.06(0.9–164.37) | 1.75 ± 0.31 1.79(1.06–2.19) | 200.00 | 0.001 * |
| ANGPT2 Blood | 17.57 ± 20.52 6.79(0.8–80.59) | 0.96 ± 0.14 0.99(0.94–1.15) | 120.00 | 0.001 * |
| ANGPT2 Aqueous | 18.03 ± 25.55 6.63(0.8–93.15) | 1.33 ± 0.27 1.35(1.0–1.69) | 160.00 | <0.001 * |
| VEGFA Blood | 25.46 ± 17.70 21.73(5.17–73.46) | 1.12 ± 0.27 0.96(0.94–1.65) | 0.000 | <0.001 * |
| VEGF A Aqueous | 35.29 ± 20.93 26.84(10.39–88.22) | 1.24 ± 0.42 0.98(0.85–1.96) | 0.000 | <0.001 * |
| SEMA3A Blood | 13.13 ± 17.32 6.13(0.2–61.62) | 0.92 ± 0.18 0.94(0.86–1.16) | 144.00 | <0.001 * |
| SEMA3A Aqueous | 14.53 ± 11.82 10.73(0.57–50.57) | 0.97 ± 0.13 0.89(0.87–1.17) | 39.50 | <0.001 * |
| SEMA4D Blood | 14.22 ± 21.90 6.82(0.18–42.4) | 1.45 ± 0.66 1.43(0.8–2.42) | 116.00 | <0.001 * |
| SEMA4D Aqueous | 15.22 ± 17.59 5.76(1.65–63.84) | 1.35 ± 0.69 1.47(0.89–2.64) | 36.00 | <0.001 * |
| Astrocytic Factor | ||||
| GDNF Blood | 1.15 ± 0.62 1.22(0.99–1.85) | 9.83 ± 12.62 6.29 (0.84–73.69) | 36.00 | <0.001 * |
| GDNF Aqueous | 1.23 ± 0.52 1.03(0.78–1.99) | 21.27 ± 17.06 14.87(0.93–78.33) | 97.00 | <0.001 * |
| Innate Immunity and Inflammasomes | ||||
| TXNIP Blood | 14.03 ± 16.27 11.53(0.83–79.99) | 1.05 ± 0.47 1.05(0.89–1.97) | 176.00 | <0.001 * |
| TXNIP Aqueous | 16.63 ± 22.45 6.26(0.79–114.95) | 1.39 ± 0.47 1.39(0.98–1.98) | 103.00 | <0.001 * |
| NLRP3 Blood | 14.44 ± 22.92 5.09(0.33–66.0) | 1.12 ± 0.51 0.96(0.93–2.14) | 172.00 | <0.001 * |
| NLRP3 Aqueous | 13.22 ± 18.86 3.91(0.81–82.2) | 1.30 ± 0.74 1.29(0.82–2.87) | 368.50 | <0.001 * |
| RAGE Blood | 13.37 ± 18.94 5.71(1.09–60.87) | 1.48 ± 0.75 1.45(0.82–2.75) | 111.50 | <0.001 * |
| RAGE Aqueous | 22.09 ± 50.27 6.96(0.91–302.29) | 0.95 ± 0.27 0.95(0.81–1.38) | 52.00 | <0.001 * |
| miR-135a-5p Blood | 11.45 ± 17.59 3.51(0.80–60.12) | 1.85 ± 1.05 1.66(0.80–5.33) | 507.50 | 0.005 * |
| miR-135a-5p Aqueous | 57.66 ± 144.20 15.27(0.87–903.07) | 7.78 ± 4.51 7.69(0.85–16.81) | 549.00 | 0.016 * |
| Before Treatment | After Treatment | |||
|---|---|---|---|---|
| R | p Value | R | p Value | |
| Lymphocyte Activation Markers | ||||
| Hexokinase 1 | 0.849 | <0.0001 ** | 0.621 | <0.0001 ** |
| RCVRN 1 | 0.581 | <0.0001 ** | 0.191 | 0.237 |
| SELL CD62L | 0.664 | <0.0001 ** | 0.403 | 0.010 * |
| S100A8 | 0.646 | <0.0001 ** | 0.157 | 0.334 |
| NETosis Biomarkers | ||||
| ELANE | 0.739 | <0.0001 ** | 0.654 | <0.0001 ** |
| PAD4 | 0.668 | <0.0001 ** | 0.446 | 0.004 ** |
| MPO | 0.698 | <0.0001 ** | 0.685 | <0.0001 ** |
| Angiogenic Biomarkers | ||||
| ANGPT1 | 0.734 | <0.0001 ** | 0.597 | <0.0001 ** |
| ANGPT2 | 0.705 | <0.0001 ** | 0.622 | <0.0001 ** |
| VEGF A | 0.969 | <0.0001 ** | 0.624 | <0.0001 ** |
| SEMA3A | 0.691 | <0.0001 ** | 0.340 | 0.032 * |
| SEMA4D | 0.747 | <0.0001 ** | 0.365 | 0.021 * |
| Astrocytic Factors | ||||
| GDNF | 0.913 | <0.0001 ** | 0.467 | 0.002 ** |
| Innate Immunity and Inflammasomes | ||||
| TXNIP | 0.641 | <0.0001 ** | 0.036 | 0.825 |
| NLRP3 | 0.559 | <0.0001 ** | 0.007 | 0.967 |
| RAGE | 0.599 | <0.0001 ** | 0.276 | 0.085 |
| miR-135a-5p | 0.316 | 0.004 ** | −0.062 | 0.706 |
| Variable | Non-Responders (n = 21 Eyes of 13 Patients) | Responders (n = 43 Eyes of 27 Patients) | t | p Value | ||
|---|---|---|---|---|---|---|
| N | % | N | % | |||
| Age (years) | 0.594 | 0.556 | ||||
| Mean± SD | 60.15 ± 7.16 | 58.37 ± 11.71 | ||||
| Sex | 0.333 | 0.564 | ||||
| Male | 5 | 38.5 | 13 | 48.1 | ||
| Female | 8 | 61.5 | 14 | 51.9 | ||
| Age of onset of DM (years) | 1.065 | 0.294 | ||||
| Mean± SD | 45.69 ± 7.47 | 42.37 ± 12.11 | ||||
| Duration of DM (years) | 0.967 | 0.341 | ||||
| Mean± SD | 14.69 ± 3.50 | 16.00 ± 4.90 | ||||
| HbA1C (%) | U = 108.0 | 0.052 * | ||||
| Mean± SD | 8.36 ± 0.95 | 7.76 ± 0.61 | ||||
| Variable | Non-Responders (n = 21 Eyes) | Responders (n = 43 Eyes) | t | p Value | ||
|---|---|---|---|---|---|---|
| N | % | N | % | |||
| BCVA (Log MAR) before IVR | 0.350 | 0.729 | ||||
| Mean± SD | 0.88 ± 0.11 | 0.87 ± 0.13 | ||||
| BCVA (Log MAR) after IVR | 7.838 | <0.001 * | ||||
| Mean± SD | 0.86 ± 0.25 | 0.55 ± 0.15 | ||||
| CMT (microns) | 0.637 | 0.529 | ||||
| before IVR | ||||||
| Mean± SD | 536.00 ± 84.52 | 516.44 ± 102.93 | ||||
| CMT (microns) | 4.702 | <0.001 * | ||||
| 1 month after IVR | ||||||
| Mean± SD | 514.92 ± 89.55 | 378.78 ± 77.35 | ||||
| IS/OS segment | X2 = 27.692 | <0.001 * | ||||
| Intact | 10 | 47.6 | 43 | 100.0 | ||
| Disrupted | 11 | 52.4 | 0 | 0.0 | ||
| Macular ischemia | FE = 11.868 | 0.001 * | ||||
| No ischemia | 13 | 61.9 | 43 | 100.0 | ||
| Ischemia | 8 | 38.1 | 0 | 0.0 | ||
| Biomarker | Non-Responders (n = 21 Eyes) | Responders (n = 43 Eyes) | Mann–Whitney Test | p Value |
|---|---|---|---|---|
| Mean ± SD | Mean ± SD | |||
| Lymphocyte Activation Markers | ||||
| Hexokinase 1 Blood | 13.41 ± 9.18 13.0(4.11–40.99) | 12.99 ± 23.79 12.57(2.31–11.25) | 174.00 | 0.732 |
| Hexokinase 1 Aqueous | 16.58 ± 6.73 16.87(1.98–23.98) | 6.25 ± 3.06 5.95(1.54–14.76) | 33.00 | <0.001 * |
| RCVRN 1 Blood | 9.18 ± 9.26 3.2(1.03–22.07) | 6.76 ± 7.44 2.76(0.92–14.2) | 147.00 | 0.424 |
| RCVRN 1 Aqueous | 11.24 ± 9.09 6.88(1.97–31.74) | 9.56 ± 13.61 8.15(1.29–21.61) | 154.00 | 0.573 |
| SELL CD62L Blood | 18.95 ± 50.78 4.18(1.19–187.66) | 16.20 ± 26.47 5.45(1.36–38.48) | 147.00 | 0.424 |
| SELL CD62L Aqueous | 20.86 ± 32.70 5.93(1.1–97.65) | 5.76 ± 4.21 5.05(1.05–16.89) | 142.50 | 0.345 |
| S100A8 Blood | 16.40 ± 32.18 4.0(2.17–94.43) | 6.73 ± 3.88 5.84(1.25–13.46) | 122.00 | 0.127 |
| S100A8 Aqueous | 17.41 ± 28.61 5.01(0.9–90.46) | 5.43 ± 3.94 4.83(0.83–14.64) | 146.50 | 0.407 |
| NETosis Biomarkers | ||||
| ELANE Blood | 22.92 ± 27.27 10.22(2.62–90.07) | 8.52 ± 5.16 6.99(0.87–26.64) | 128.00 | 0.177 |
| ELANE Aqueous | 44.25 ± 38.80 5.62(1.49–100.49) | 4.24 ± 2.22 3.19(0.83–9.65) | 88.00 | 0.011 * |
| PAD4 Blood | 12.72 ± 19.06 5.01(0.31–70.84) | 9.19 ± 17.70 4.96(0.81–17.94) | 164.00 | 0.754 |
| PAD4 Aqueous | 5.46 ± 5.70 2.47(0.95–21.00) | 4.39 ± 9.52 2.28(0.82–6.68) | 121.00 | 0.120 |
| MPO Blood | 21.79 ± 34.22 4.43(1.15–90.29) | 17.76 ± 28.34 7.36(0.81–32.36) | 147.00 | 0.424 |
| MPO Aqueous | 38.38 ± 39.99 4.85(0.86–92.58) | 7.21 ± 9.83 3.33(0.81–55.31) | 92.50 | 0.014 * |
| Angiogenic Biomarkers | ||||
| ANGPT1 Blood | 20.97 ± 26.30 4.01(0.85–64.95) | 14.25 ± 13.53 8.82(0.89–54.45) | 158.00 | 0.628 |
| ANGPT1 Aqueous | 15.28 ± 30.74 7.54(0.93–164.37) | 23.42 ± 29.50 13.58(0.83–113.55) | 119.00 | 0.106 |
| ANGPT2 Blood | 21.83 ± 24.99 7.99(0.9–76.13) | 15.52 ± 18.17 5.59(0.83–80.59) | 168.50 | 0.842 |
| ANGPT2 Aqueous | 14.67 ± 23.58 6.25(0.9–93.15) | 25.01 ± 28.95 16.06(1.2–75.87) | 160.00 | 0.669 |
| VEGFA Blood | 21.31 ± 22.85 21.01(5.17–55.18) | 27.45 ± 14.71 24.33(10.33–73.46) | 151.00 | 0.493 |
| VEGF A Aqueous | 29.63 ± 24.52 28.66(10.39–69.58) | 38.01 ± 18.87 32.45(14.74–88.22) | 192.00 | 0.790 |
| SEMA3A Blood | 10.53 ± 14.79 5.37(0.86–57.95) | 18.53 ± 21.30 8.24(0.9–61.82) | 145.00 | 0.391 |
| SEMA3A Aqueous | 12.09 ± 9.59 18.08(2.0–29.37) | 19.59 ± 14.62 18.08(0.87–50.57) | 124.50 | 0.142 |
| SEMA4D Blood | 17.99 ± 4.60 6.22(0.18–42.4) | 12.40 ± 2.71 5.37(0.88–15.99) | 150.00 | 0.475 |
| SEMA4D Aqueous | 31.66 ± 2.34 15.69(5.4–63.84) | 7.31 ± 8.56 3.85(1.65–42.58) | 39.00 | 0.001 * |
| Astrocytic Factor | ||||
| GDNF Blood | 8.07 ± 8.19 7.21(0.04–24.03) | 10.68 ± 14.34 5.79(1.77–73.69) | 150.0 | 0.475 |
| GDNF Aqueous | 17.28 ± 14.35 19.05(0.03–42.37) | 23.19 ± 18.15 14.46(5.23–78.33) | 151.00 | 0.493 |
| Innate Immunity and Inflammasomes | ||||
| TXNIP Blood | 16.41 ± 25.57 2.3(0.03–79.99) | 12.89 ± 9.56 12.87(0.79–34.81) | 125.00 | 0.151 |
| TXNIP Aqueous | 20.23 ± 19.50 12.98(0.29–55.29) | 14.89 ± 23.89 5.47(1.04–114.95) | 136.50 | 0.264 |
| NLRP3 Blood | 15.26 ± 18.46 11.18(0.33–56.67) | 14.04 ± 25.10 10.6(0.5–66.83) | 164.00 | 0.754 |
| NLRP3 Aqueous | 20.09 ± 25.17 3.45(0.01–82.2) | 9.91 ± 14.37 4.07(0.01–55.59) | 170.00 | 0.887 |
| RAGE Blood | 16.17 ± 20.11 6.16(2.04–58.88) | 12.03 ± 18.59 5.66(1.09–60.87) | 159.00 | 0.648 |
| RAGE Aqueous | 33.53 ± 81.71 11.05(0.05–302.29) | 16.58 ± 24.75 6.93(1.03–99.79) | 170.00 | 0.887 |
| miR-135a-5p Blood | 16.33 ± 25.31 3.15(0.80–60.12) | 9.11 ± 12.3 4.82(0.8–60.12) | 160.50 | 0.669 |
| miR-135a-5p Aqueous | 68.43 ± 171.76 22.04(1.61–903.07) | 35.28 ± 53.48 19.02(0.87–147.77) | 129.00 | 0.187 |
| Biomarker | Non-Responders (n = 21 Eyes) | Responders (n = 43 Eyes) | Mann-Whitney Test | p Value |
|---|---|---|---|---|
| Mean ± SD | Mean ± SD | |||
| Lymphocyte Activation Markers | ||||
| Hexokinase 1 Aqueous | 17.84 ± 15.52 20.46(0.87–43.07) | 4.46 ± 9.83 1.0(0.82–44.92) | 63.00 | 0.001 * |
| RCVRN 1 Aqueous | 11.38 ± 7.18 12.3(1.28–24.76) | 9.00 ± 22.15 11.04(0.9–66.76) | 160.00 | 0.616 |
| SELL CD62L Aqueous | 21.94 ± 23.73 22.01(1.79–93.98) | 5.44 ± 10.92 1.94(0.81–50.87) | 58.00 | 0.000 * |
| S100A8 Aqueous | 19.67 ± 31.79 2.77(0.86–90.57) | 5.17 ± 3.32 4.31(0.99–15.65) | 151.00 | 0.493 |
| NETosis Biomarkers | ||||
| ELANE Aqueous | 24.66 ± 28.86 13.53(2.63–92.19) | 3.83 ± 6.15 1.41(0.81–30.32) | 34.00 | 0.000 * |
| PAD4 Aqueous | 5.77 ± 4.72 4.21(1.49–15.83) | 4.23 ± 9.64 3.58(0.82–10.72) | 147.00 | 0.437 |
| MPO Aqueous | 30.07 ± 32.86 12.53(3.4–95.7) | 19.62 ± 28.81 2.05(0.8–66.7) | 42.00 | 0.000 * |
| Angiogenic Biomarkers | ||||
| ANGPT1 Aqueous | 9.82 ± 20.91 13.55(0.9–96.87) | 22.50 ± 20.48 15.82(0.88–55.56) | 136.00 | 0.238 |
| ANGPT2 Aqueous | 10.28 ± 22.92 2.76(0.8–89.94) | 23.63 ± 25.16 3.51(0.8–89.94) | 122.0 | 0.127 |
| VEGF A Aqueous | 26.82 ± 26.59 14.7(0.89–56.42) | 4.21 ± 4.78 2.19(0.84–21.44) | 48.00 | 0.000 * |
| SEMA3A Aqueous | 11.53 ± 22.84 8.93(0.91–90.69) | 18.59 ± 29.24 10.69(1.34–112.57 | 142.00 | 0.345 |
| SEMA4D Aqueous | 28.91 ± 23.63 15.73(4.22–37.56) | 14.47 ± 23.24 13.48(1.57–16.39) | 159.00 | 0.572 |
| Astrocytic Factor | ||||
| GDNF Aqueous | 5.79 ± 9.21 1.44(0.82–39.90) | 16.56 ± 15.48 8.63(0.88–45.60) | 34.00 | 0.000 * |
| Innate Immunity and Inflammasomes | ||||
| TXNIP Aqueous | 20.62 ± 15.08 16.39(1.84–49.84) | 14.55 ± 13.65 9.36(0.93–53.61) | 122.00 | 0.127 |
| NLRP3 Aqueous | 20.84 ± 27.38 8.51(0.82–83.28) | 10.00 ± 20.80 4.25(1.28–96.54) | 142.00 | 0.345 |
| RAGE Aqueous | 31.65 ± 24.60 21.57(3.80–93.48) | 15.64 ± 17.47 10.65(0.99–70.58) | 89.0 | 0.012 * |
| miR-135a-5p Aqueous | 111.89 ± 156.89 29.15(0.92–366.1) | 19.17 ± 60.45 1.57(0.8–315.58) | 103.50 | 0.036 * |
| (a) | ||||
|---|---|---|---|---|
| Univariate Logistic Regression | Multivariate Logistic Regression | |||
| Variable | OR (95% C.I.) | p Value | OR (95% C.I.) | p Value |
| Age (years) | 0.981 (0.911–1.056) | 0.608 | ||
| Sex | 0.762 (0.178–3.262) | 0.565 | ||
| Duration of DM | 1.074 (0.900–1.282) | 0.370 | ||
| BCVA | 0.003 (0.011–617.41) | 0.994 | ||
| HbA1c (%) | 0.316 (0.105–0.955) | 0.041 * | 0.182 (0.022–1.499) | 0.113 |
| Disrupted (IS/OS segment) | 11.556 (1.137–117.434) | 0.045 * | 57.61 (0.780–4254.75) | 0.065 |
| CMT | 0.992 (0.985–0.999) | 0.039 * | 0.994 (0.984–1.004) | 0.256 |
| Macular ischemia | 16.250 (6.648–64.243) | 0.001 * | 48.55 (1.732–1360.92) | 0.022 * |
| Lymphocyte Activation Markers | ||||
| Hexokinase 1 aqueous | 0.922 (0.867–0.981) | 0.010 * | 0.915 (0.834–0.984) | 0.049 * |
| RCVRN 1 aqueous | 0.954 (0.890–1.024) | 0.194 | ||
| SELL CD62L aqueous | 0.921 (0.860–0.986) | 0.018 * | 0.963 (0.876–0.988) | 0.044 * |
| S100A8 aqueous | 0.947 (0.882–1.016) | 0.129 | ||
| (b) | ||||
| Univariate Logistic Regression | Multivariate Logistic Regression | |||
| Variable | OR (95% C.I.) | p Value | OR (95% C.I.) | p Value |
| HbA1c (%) | 0.316 (0.105–0.955) | 0.041 * | 0.101 (0.004–2.565) | 0.165 |
| Disrupted (IS/OS segment) | 11.556 (1.137–117.434) | 0.045 * | 57.895 (0.031–10,676.32) | 0.290 |
| CMT | 0.992 (0.985–0.999) | 0.039 * | 0.996 (0.983–1.009) | 0.517 |
| Macular ischemia | 16.250 (6.648–64.243) | 0.001 * | 24.93 (0.902–689.24) | 0.058 |
| NETosis Biomarkers | ||||
| ELANE aqueous | 0.839 (0.736–0.955) | 0.008 ** | 0.863 (0.745–0.984) | 0.027 * |
| PAD4 aqueous | 0.723 (0.545–0.960) | 0.025 * | 0.0.733 (0.408–1.319) | 0.600 |
| MPO aqueous | 0.952 (0.914–0.991) | 0.018 * | 0.962 (0.885–0.993) | 0.030 * |
| (c) | ||||
| Univariate Logistic Regression | Multivariate Logistic Regression | |||
| Variable | OR (95% C.I.) | p Value | OR (95% C.I.) | p Value |
| HbA1c (%) | 0.316 (0.105–0.955) | 0.041 * | 0.024 (0.00–1.790) | 0.090 |
| Disrupted (IS/OS segment) | 11.556 (1.137–117.434) | 0.045 * | 2954.766 (0.976–903,264) | 0.051 |
| CMT | 0.992 (0.985–0.999) | 0.039 * | 0.981 (0.959–1.003) | 0.084 |
| Macular ischemia | 16.250 (6.648–64.243) | 0.001 * | 206.337 (0.591–72,086.56) | 0.074 |
| Angiogenic Biomarkers | ||||
| ANGPT1 aqueous | 0.973 (0.941–1.06) | 0.102 | ||
| ANGPT2 aqueous | 0.978 (0.951–1.006) | 0.123 | ||
| VEGF A aqueous | 0.970 (0.677–0.922) | 0.003 ** | 0.813 (0.671–0.987) | 0.036 * |
| SEMA3A aqueous | 0.989 (0.964–1.015) | 0.409 | ||
| SEMA4D aqueous | 0.776 (0.660–0.913) | 0.002 ** | 0.776 (0.632–0.953) | 0.015 * |
| (d) | ||||
| Univariate Logistic Regression | Multivariate Logistic Regression | |||
| Variable | OR (95% C.I.) | p Value | OR (95% C.I.) | p Value |
| HbA1c (%) | 0.316 (0.105–0.955) | 0.041 * | 0.247 (0.043–1.418) | 0.117 |
| Disrupted (IS/OS segment) | 11.556 (1.137–117.434) | 0.045 * | 26.01(0.274–2481.39) | 0.160 |
| CMT | 0.992 (0.985–0.999) | 0.039 * | 0.991(0.981–1.001) | 0.055 |
| Macular ischemia | 16.250 (6.648–64.243) | 0.001 * | 21.966 (0.938–514.629) | 0.055 |
| Astrocytic Factor | ||||
| GDNF aqueous | 0.931 (0.877–0.989) | 0.021 * | 0.956 (0.911–1.003) | 0.054 |
| (e) | ||||
| Univariate Logistic Regression | Multivariate Logistic Regression | |||
| Variable | OR (95% C.I.) | p Value | OR (95% C.I.) | p Value |
| HbA1c (%) | 0.316 (0.105–0.955) | 0.041 * | 0.117 (0.010–1.440) | 0.094 |
| Disrupted (IS/OS segment) | 11.556 (1.137–117.434) | 0.045 * | 34.698 (0.532–2263.46) | 0.096 |
| CMT | 0.992 (0.985–0.999) | 0.039 * | 0.987 (0.975–1.004) | 0.059 |
| Macular ischemia | 16.250 (6.648–64.243) | 0.001 * | 0.724 (0.003–162.422) | 0.907 |
| Innate Immunity and Inflammasomes | ||||
| TXNIP aqueous | 0.971 (0.927–1.017) | 0.212 | ||
| NLRP3 aqueous | 0.981 (0.954–1.009) | 0.189 | ||
| RAGE aqueous | 0.963 (0.928–0.999) | 0.042 * | 0.930 (0.859–1.007) | 0.099 |
| miR-135a-5p aqueous | 0.991 (0.983–0.999) | 0.035 * | 0.985 (0.966–1.005) | 0.055 |
| Parameter | AUC | Significance | Best Cut-Off Point | Sensitivity (%) | Specificity (%) | PPV (%) | NPV (%) | Accuracy (%) |
|---|---|---|---|---|---|---|---|---|
| CMT Reduction | 0.991 | <0.0001 | 10.011% | 81.5% | 100% | 100% | 72.22% | 87.5% |
| Hexokinase 1 Aqueous | 0.821 | 0.001 | 2.36 | 92.3% | 74.1% | 73.33% | 92% | 85% |
| RCVRN 1 Aqueous | 0.838 | 0.001 | 5.75 | 76.9% | 81.5% | 88% | 66.67% | 80% |
| SELL CD62L Aqueous | 0.835 | 0.001 | 5.49 | 76.9% | 88.9% | 88.9% | 76.92% | 85% |
| S100A8 Aqueous | 0.430 | 0.479 | ||||||
| ELANE Aqueous | 0.903 | <0.0001 | 9.78 | 76.9% | 92.6% | 95.45% | 66.67% | 82.5% |
| PAD4 Aqueous | 0.792 | 0.003 | 3.785 | 69.2% | 81.5% | 84.62% | 64.29% | 77.5% |
| MPO Aqueous | 0.880 | <0.0001 | 3.275 | 100% | 70.4% | 87.1% | 100% | 90% |
| ANGPT1 Aqueous | 0.761 | 0.008 | 9.485 | 76.9% | 77.8% | 87.5% | 62.5% | 77.5% |
| ANGPT2 Aqueous | 0.818 | 0.001 | 1.090 | 84.6% | 74.1% | 67.5% | 90.91% | 77.5% |
| VEGF-A Aqueous | 0.863 | <0.001 | 8.25 | 84.6% | 85.2% | 92% | 73.33% | 85% |
| SEMA3A Aqueous | 0.729 | 0.020 | 8.14 | 76.9% | 74.1% | 58.82% | 86.96% | 75% |
| SEMA4D Aqueous | 0.912 | <0.001 | 9.315 | 92.31% | 85.2% | 75% | 95.83% | 87.5% |
| GDNF Aqueous | 0.701 | 0.042 | 3.195 | 76.9% | 66.7% | 52.63% | 85.71% | 70% |
| TXNIP Aqueous | 0.602 | 0.122 | ||||||
| NLRP3 Aqueous | 0.595 | 0.333 | ||||||
| RAGE Aqueous | 0.746 | 0.012 | 13.45 | 84.6% | 66.7% | 55% | 90% | 72.5% |
| miR-135a-5p Aqueous | 0.746 | 0.012 | 7.5335 | 61.5% | 74.1% | 53.33% | 80% | 70% |
| Parameter | AUC | Significance | Best Cut-Off Point | Sensitivity (%) | Specificity (%) | PPV (%) | NPV (%) | Accuracy (%) |
|---|---|---|---|---|---|---|---|---|
| Combined 6 aqueous | 0.989 | <0.0001 * | ------- | 100% | 97.5% | 97.56% | 100% | 98.75% |
| Combined 6 blood | 0.940 | <0.0001 * | ------- | 92.59% | 84.62% | 92.59% | 84.62% | 90% |
| Combined 3 aqueous | 0.952 | <0.0001 * | ------- | 92.6% | 92.3% | 96.15% | 85.71% | 92.5% |
| Combined 3 blood | 0.900 | <0.0001 * | -------- | 81.48% | 76.92% | 88% | 66.67% | 80% |
Disclaimer/Publisher’s Note: The statements, opinions and data contained in all publications are solely those of the individual author(s) and contributor(s) and not of MDPI and/or the editor(s). MDPI and/or the editor(s) disclaim responsibility for any injury to people or property resulting from any ideas, methods, instructions or products referred to in the content. |
© 2025 by the authors. Licensee MDPI, Basel, Switzerland. This article is an open access article distributed under the terms and conditions of the Creative Commons Attribution (CC BY) license (https://creativecommons.org/licenses/by/4.0/).
Share and Cite
Elgouhary, S.M.; Bayomy, N.R.; Elfarash, M.K.; Aboali, S.Z.; Barakat, S.A.; Elnaggar, M.A.; Gaber, N.K. Re-Evaluating the Treatment Plan for Diabetic Macular Edema Based on Early Identification of Response and Possible Biochemical Predictors of Non-Response After the First Intravitreal Ranibizumab Injection. Biomedicines 2025, 13, 2438. https://doi.org/10.3390/biomedicines13102438
Elgouhary SM, Bayomy NR, Elfarash MK, Aboali SZ, Barakat SA, Elnaggar MA, Gaber NK. Re-Evaluating the Treatment Plan for Diabetic Macular Edema Based on Early Identification of Response and Possible Biochemical Predictors of Non-Response After the First Intravitreal Ranibizumab Injection. Biomedicines. 2025; 13(10):2438. https://doi.org/10.3390/biomedicines13102438
Chicago/Turabian StyleElgouhary, Sameh Mohamed, Noha Rabie Bayomy, Mohamed Khaled Elfarash, Sara Zakaria Aboali, Sara Abdelmageed Barakat, Mona Abdelhamid Elnaggar, and Noha Khirat Gaber. 2025. "Re-Evaluating the Treatment Plan for Diabetic Macular Edema Based on Early Identification of Response and Possible Biochemical Predictors of Non-Response After the First Intravitreal Ranibizumab Injection" Biomedicines 13, no. 10: 2438. https://doi.org/10.3390/biomedicines13102438
APA StyleElgouhary, S. M., Bayomy, N. R., Elfarash, M. K., Aboali, S. Z., Barakat, S. A., Elnaggar, M. A., & Gaber, N. K. (2025). Re-Evaluating the Treatment Plan for Diabetic Macular Edema Based on Early Identification of Response and Possible Biochemical Predictors of Non-Response After the First Intravitreal Ranibizumab Injection. Biomedicines, 13(10), 2438. https://doi.org/10.3390/biomedicines13102438

