Abstract
Background: Efforts to identify therapies to treat hospitalised patients with COVID-19 are being continued. Alkaline phosphatase (AP) dephosphorylates pro-inflammatory adenosine triphosphate (ATP) into anti-inflammatory adenosine. Methods: In a randomised controlled trial, we investigated the safety and efficacy of AP in patients with SARS-CoV-2 infection admitted to the ICU. AP or a placebo was administered for four days following admission to the ICU. The primary outcome was the duration of mechanical ventilation. Mortality in 28 days, acute kidney injury, need for reintubation, safety, and inflammatory markers relevant to the described high cytokine release associated with SARS-CoV-2 infection were the secondary outcomes. Results: Between December 2020 and March 2022, 97 patients (of the intended 132) were included, of which 51 were randomised to AP. The trial was terminated prematurely based on meeting the threshold for futility. Compared to the placebo, AP did not affect the duration of mechanical ventilation (9.0 days vs. 9.3 days, p = 1.0). No safety issues were observed. After 28 days, mortality was 9 (18%) in the AP group versus 6 (13%) in the placebo group (p = 0.531). Additionally, no statistically significant differences between the AP and the placebo were observed for the other secondary outcomes. Conclusions: Alkaline phosphatase (AP) therapy in COVID-19 ICU patients showed no significant benefits in this trial.
1. Introduction
COVID-19, caused by severe acute respiratory syndrome coronavirus 2 (SARS-CoV-2), led to an unprecedented global burden, and simultaneously, it has acted as a catalyst for new medical therapies and insights. While vaccination remains the most effective strategy to curb the spread and severity of SARS-CoV-2, ongoing efforts to identify therapies to prevent further clinical deterioration in infected individuals continue [1]. The most severe stage of COVID-19 infection may result in acute respiratory distress syndrome (ARDS), as well as in extra-pulmonary systemic inflammation, such as acute kidney injury due to cytokine release and activation of the complement system [2]. This excessive immune response was already recognised early during the pandemic as a potential therapeutic target [3]. Several immunomodulatory therapies have since been studied [4]. Nonspecific approaches, such as corticosteroid therapy, and more specific approaches, such as interleukin (IL) 1 and 6 inhibitors, have shown modest disease attenuation [5].
In the context of inflammatory responses, adenosine triphosphate (ATP), released by inflammatory cells, contributes to the propagation of inflammation and subsequent tissue damage. In addition to apoptosis and pyroptosis, uncontrolled cell death can occur, which leads to the passive release of ATP into the extracellular space. This unregulated ATP release serves as an immunological danger signal, activating purinergic receptors and initiating inflammatory cascades [6,7].
In COVID-19 infection, the hyperinflammatory response is thought to be (partially) driven by the outpour of ATP from pyroptotic cells. Alkaline phosphatase (AP) has been reported to exert anti-inflammatory effects by acting on these pro-inflammatory extracellular nucleosides and converting them into anti-inflammatory nucleosides through dephosphorylation [8]. Furthermore, preclinical and clinical models have demonstrated that AP is capable of restoring the integrity of various epithelial barriers, including the gut intestinal epithelium, the renal tubular epithelium, and the blood–brain barrier [9,10,11,12,13,14,15]. It is, therefore, hypothesised that AP may also restore the integrity of alveoli in the lungs [11]. Hence, we hypothesise that AP may be a safe and efficacious agent in reducing ATP, and thus, inflammation in COVID-19 infection, maintaining alveolar integrity and potentially leading to a reduction in the need for mechanical ventilation and a shorter duration of mechanical ventilation In intubated patients.
2. Materials and Methods
2.1. Trial Design
This trial was conducted in accordance with the protocol and consensus ethical principles of international guidelines, including the Declaration of Helsinki and the Good Clinical Practice Guidelines (GCP). The protocol and amendments were reviewed and approved by the Institutional Ethics Committee (IEC) in the relevant centres prior to starting the trial. This study was designed as a multicentre investigator-initiated double-blind randomised placebo-controlled trial investigating the safety and efficacy of AP in patients with COVID-19 infection admitted to the intensive care unit. An independent safety monitoring board (DSMB) supervised the trial and was not involved in the design or conduct of the trial, nor in the final statistical analyses. The DSMB convened after the enrolment of 20, 40, and 80 patients and again after 97 patients. After the last interim analysis, the DSMB judged that the a priori stopping threshold for futility had been met and recommended an early termination of the study. The study was open for inclusion between December 2020 and March 2022.
2.2. Participants
Eligible participants were patients ≥18 years of age with a confirmed or suspected SARS-CoV-2 infection who were admitted to the ICU and required airway support with a SpO2 < 90% or PaO2/FiO2 < 200 mmHg. The confirmation of COVID-19 infection (by PCR and/or specific antigen test) was required during admission. Patients who were over 80 years of age; pregnant or lactating; expected to have fatal disease within 24 h; had a known history of dialysis (renal replacement therapy, RRT) or a decision had been made to initiate RRT within 24 h after the planned start of the. study drug administration; known to have advanced chronic liver disease as confirmed by a Child–Pugh C; a known history of immune system impairment by disease, such as patients with HIV and with a CD4 count of less than 200 cells/mm; and neutropenic patients (<0.5 × 109/L) were excluded. As the purpose of this study was to demonstrate the efficacy of AP in a real-life setting, patients on corticosteroid therapy were not excluded from the study. The use of systemic corticosteroids was monitored and recorded throughout the trial, including dexamethasone 6 mg once daily, used as routine treatment for severe COVID-19, which was not an exclusion criterion. Also, patients receiving one dose of tocilizumab on top of the standard of care for COVID-19 were also not excluded from this trial.
2.3. Sample Size
At the time of protocol development, the mean number of days COVID-19 patients were on mechanical ventilation was 10 days (ICNARC Case mix program database 17 April 2020). With AP, we aimed to reduce the days on mechanical ventilation by 15%. With 80% power, a 2-sided alpha of 0.05, and a standard deviation of 3, we needed to include at least 63 evaluable patients to prove the benefit of AP for the primary endpoint in each arm (AP and placebo), resulting in a total sample size of 126 patients. With an estimated drop-out of 5% (e.g., withdrawal of informed consent), 132 patients needed to be included.
2.4. Randomisation and Treatment
The investigational medicinal product (IMP) was RESCAP® (RESCuing Alkaline Phosphatase; Alloksys Life Sciences, Wageningen, The Netherlands). The patients were randomly allocated 1:1 to receive either AP or a saline placebo using a centralised block randomisation procedure (blocks of 20 patients) with a computer-generated list produced by an independent contract research organisation, Aix Scientifics® (Aachen, Germany). The patients received a bolus of 1.000 IU, followed by 10.000 IU a day of AP or a bolus of the placebo and infusion of the placebo for four days. The chosen dose regime was retrieved from modelling studies of kinetics data from two clinical studies with the same AP and the same total dose of 10,000 units, of which 1000 units were given as a bolus [16]. The treatments were blinded to the participants, all healthcare workers, including the investigators recruiting and allocating participants, and the investigators analysing the data. Unblinding took place following the completion of the statistical analyses.
2.5. Outcomes
The primary outcome was the duration of mechanical ventilation (days) and the number of patients in need of mechanical ventilation (%). Secondary outcomes included mortality in 28 days, safety, daily levels of routine clinical lab parameters, (whose AF was blinded until conclusion of the study), and daily levels of the following inflammatory markers: IL-2, IL-4, IL-6, IL-10, IP10 (CXCL10), IL1b, TNF-a, MCP-1 (CCL2), IL17A, IFN-y, IL-12p70, and free active TGFb.
2.6. Study Procedures and Sample Analyses
All patients who met the inclusion criteria were asked to participate. For patients who could not give consent themselves, a legal representative was asked for consent. If the legal representative was not allowed or able to come to the hospital, verbal consent could be given by phone or in an online meeting, and written consent would follow within the next three days. After consent, the IMP was started as soon as possible, to potentially gain the most benefit from the intervention.
During the study period, for the analysis of the inflammatory markers, in the Dutch hospitals, an extra tube (10 mL) of whole blood was collected simultaneously with the routine clinical blood collection: once daily during ICU admission until the day of discharge or day 14, whichever came first. The local clinical chemistry laboratories centrifuged the blood and separated plasma was locally stored in 3 aliquots with an minimum of 1.0 mL at −80 °C. At the end of the entire study, all samples were transported, under controlled conditions, to the preclinical research lab of the Association of Dutch Burn Centres, Beverwijk, The Netherlands. Inflammatory markers were analysed using the Human Essential Immune Response Panel (Biolegend Europe, Amsterdam, The Netherlands) according to the manufacturer’s protocol. The samples were measured on a MACSQuant10 (Miltenyi Biotec, Leiden, The Netherlands), and the data were processed using FlowLogic 8.7 (Inivai Technologies, Melbourne, VIC, Australia).
During the pandemic, patient transfers occurred frequently. When a patient was transferred to another hospital during the study period, efforts were undertaken to at least complete the post-discharge follow-up regarding clinical outcomes.
2.7. Statistical Analyses
The statistical analyses were performed blinded, meaning the patients were allocated to either treatment A or B and analysed as such. Descriptive statistics were used to report the data on the baseline characteristics and clinical outcomes. Depending on the data type and distribution, statistically significant differences between the treatment arms were determined by independent T-tests, the Wilcoxon signed-rank test, the chi-square test or Fisher’s exact test with an observed count < 10 or an expected count < 5. Survival was also investigated by the Kaplan–Meier method. The effect of the treatment on the course of routine clinical lab parameters and inflammatory markers was investigated by a linear mixed model, based on the daily lab data up to day 14, with a random intercept of ID and a variance component (VC) covariance structure. Centre and time dependence were investigated by testing the addition of a random intercept of the centre and a random slope of the intervention. In the case that groups A and B differed in one or more baseline characteristics, we investigated possible confounding by multivariate analysis. Potential effect modification was also investigated and adjusted for, if necessary (e.g., based on treatment with tocilizumab). The overall fit of the models was tested by comparing the −2 log likelihood. Potential short-term effects were investigated by analyses of the data up to day 7. All analyses were performed by both the intention to treat (ITT, N = 97) and per protocol (PP, N = 72) principles. Statistical significance was set at p < 0.05. Data processing and statistical analysis were performed using R studio version 4.3.3 and SPSS 25.
3. Results
Between December 2020 and March 2022, a total of 301 patients were screened, of which 204 patients were excluded for not meeting the inclusion criteria (111), decline to participate (37) or other reasons (56) (Figure 1).
Figure 1.
CONSORT flow diagram.
A total of 97 patients were randomised, of which 51 patients were assigned to the AP group and 46 patients to the placebo group. The demographics and baseline characteristics of the patients were similar in the two treatment arms, except for history of respiratory disease, which was more frequent in the AP group (Table 1).
Table 1.
Demographics and baseline characteristics by treatment group.
The median age of the patients in the trial was 61 years (IQR 54–69). The majority (71%) were male. All patients tested positive for SARS-CoV-2 by qualitative PCR at randomisation. About one-third (32%) of the patients were treated with tocilizumab, and 74% received antibiotics for a median of 5 days during the study.
On 31 March 2022, trial enrolment was halted. After the third interim, the DSMB ordered another interim analysis of the primary outcome of the 97 patients enrolled. After interpreting the blinded results, the DSMB determined that the a priori stopping threshold for futility had been met and recommended early termination of the study. Therefore, the trial was terminated prematurely after the enrolment of 97 patients.
In total, 25 (26%) patients were transferred to another hospital or ward during the study period, of whom 9 (9%) were lost to follow-up, i.e., no information regarding their outcomes could be assessed. There was no difference in follow-up completeness by treatment arm.
3.1. Primary Outcome
In the AP group, 35 patients (69%) required mechanical ventilation, compared to 26 patients (57%) in the placebo group (p = 0.218) (Table 2). Among the patients who required mechanical ventilation, the duration of mechanical ventilation was similar in both treatment arms (median of 9.0 days versus 9.3 days; p = 1.000). There was no difference in the results of the ITT and PP analyses.
Table 2.
Clinical outcomes by treatment group.
3.2. Secondary Outcomes
The overall mortality rate at 28 days was 15.4%, and no difference was observed between the treatment arms (p = 0.531) (Table 2 and Figure 2). The mortality <14 days did not differ either (p = 0.226). The most frequent cause of death was progressive COVID-19 pneumonia (66%). Two patients died due to complications of COVID-19-associated pulmonary aspergillosis, one in the intervention group and one in the placebo group. Additionally, three patients died from severe superinfection, with two in the intervention group and one in the placebo group. The length of ICU stay and length of hospital stay were not different between the treatment arms.
Figure 2.
Kaplan–Meier survival curves by treatment group.
No other serious adverse events (SAEs) were observed. All adverse events, which were abnormal routine clinical laboratory values or the development of pulmonary embolism, were reviewed and determined to be part of the normal clinical course of severe COVID-19 infection and not related to the IMP/placebo. Among the study participants, two individuals in the placebo group and five in the intervention group developed stage 3 acute kidney injury (AKI) according to the KDIGO criteria (Kidney Disease Improving Global Outcomes). One patient in the AP group developed a rash on day one of infusion; however, antibiotics were administered simultaneously. No signs of anaphylaxis were seen in this patient.
The course of levels of AP per treatment group, which were made available by the clinical laboratory after closure of the study, are depicted in Figure 3.
Figure 3.
Levels of alkaline phosphatase over 14–day period by treatment group. Based on levels (mean ± 95% confidence intervals) of alkaline phosphatase in 45 patients from Red Cross Hospital, Beverwijk, The Netherlands.
Longitudinal analyses of the levels of the routine clinical laboratory values of the PaO2/Fio2 ratio, CRP, haemoglobin, leukocyte count, and creatinine revealed no differences between the treatment arms (Table 3).
Table 3.
Effects of AP versus placebo on 14-day course of routine clinical lab parameters.
The results were not different for the short-term effect analysis of the data up to day 7. Regarding the additional inflammatory markers, no statistically significant differences between the AP and placebo were observed (Table 4).
Table 4.
Effect of AP versus placebo on 14-day course of inflammatory markers (cytokines).
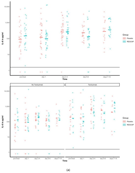
Moreover, there was no significant interaction between intervention and time for any of the parameters. Visual inspection of the data revealed a suggestive but statistically non-significant trend concerning the levels of IL6, IL10, IP10, and MCP–1 (see Figure 4a–c). The results were not different for the short-term effect analysis of the data up to day 7.


Figure 4.
(a) Course of values of inflammatory marker IL6 for the entire group and by tocilizumab (no/yes). (b) Course of values of inflammatory marker IL10 for the entire group and by tocilizumab (no/yes). (c) Course of values of inflammatory marker MCP–1 for the entire group and by tocilizumab (no/yes).
There were no differences between the ITT and PP analyses for any of the secondary outcome measures.
3.3. Subgroup Analyses
Subgroup analyses were conducted to explore potential differences, specifically focusing on patients with initially elevated IL-6 levels at inclusion and those who did not receive tocilizumab. This revealed no discernible distinctions in the outcomes among these subgroups.
4. Discussion
This trial is the first study examining the efficacy and safety of AP in severely ill SARS-CoV-2 patients. No safety issues were observed in this population with the use of AP. The patients treated with AP did not show a shorter duration of mechanical ventilation compared to those who received the placebo. There was no difference in mortality between the patients who received AP and those who received the placebo. Additionally, the administration of AP did not affect the secondary outcome measures, such as the duration of hospital stay and the duration of ICU admission. Furthermore, no significant differences were observed in the infection parameters or levels of inflammatory markers.
The concept of immunomodulatory therapy was adapted early during the COVID-19 pandemic. While immunosuppressive drugs have the potential to dampen an excessive immune response, there is a risk of reducing the necessary antiviral immune response. This study was initiated in the early stages of the pandemic before routine treatments, such as corticosteroids, and later, monoclonal antibodies, specifically IL-6 inhibitors, were introduced. Hypothetically, AP could offer specific advantages due to its short half-life and its potential to intervene in the onset of the cytokine cascade.
Although our findings regarding a potential benefit of AP concerning cytokine levels were statistically not significant, nor did they translate into differences in the clinical outcome parameters, we believe this strategy merits further investigation for several reasons. First, in the context of severe COVID-19 infections in the intensive care setting, particular certain cytokines have emerged as crucial determinants of disease progression. Modulating these cytokine levels or their downstream effects may be a strategy to restore a dysregulated immune response. Interleukin-6 (IL-6), interferon-gamma-inducible protein 10 (IP-10), and monocyte chemoattractant protein-1 (MCP-1) showed downward trends after treatment with RESCAP. Notably, IL-6 has gained significant attention due to its pivotal role in the inflammatory response. Elevated levels of IL-6 have been associated with severe respiratory distress and cytokine storm, contributing to the escalation of lung injury observed in critical cases [17,18]. IP-10 is known for its role in recruiting immune cells, particularly T lymphocytes, to sites of infection or inflammation. In COVID-19, increased levels of IP-10 have been observed, suggesting that it may contribute to the recruitment of immune cells to the respiratory system and exaggerate the immune response. Monocytes attracted by MCP-1 can differentiate into macrophages, which play a crucial role in tissue repair and remodelling [19]. MCP-1 may contribute to the inflammatory cascade observed in severe cases [20].
Understanding the intricate roles of these cytokines is essential for unravelling the complexities of severe COVID-19. Targeting specific cytokines may offer potential avenues for therapeutic intervention, aiming to modulate the inflammatory response and individualise treatment in the most severe manifestations of the disease. The timing, duration, and dose of AP administration may have been suboptimal due to a lack of preliminary data on these parameters. In this study, AP was administered shortly after admission to the ICU, as it was expected that this was the moment when patients were likely experiencing a cytokine storm. However, in hindsight, patients requiring oxygen supplementation and/or hospital admission were likely already suffering from an exacerbated immune response. Additionally, AP or placebo was administered for four days, and although there are benefits to the drug’s short half-life, it also means that the drug’s plasma levels become undetectable by day 5. During the COVID-19 pandemic, it was observed that severely ill COVID-19 patients spent an average of 18 days in the hospital and remained hypermetabolic or suffered from a superinfection for an extended period. Therefore, it is possible that the drug was given too late and too short a duration to reveal a clinical benefit. The dose that was used in this study was derived from earlier clinical studies on acute renal failure but may have been suboptimal for our patient population [21]. Nevertheless, given the fact that no safety trial could be conducted for SARS-CoV-2 infected patients, we assumed that this would be a safe dosage. Furthermore, this study ran from December 2020 to March 2022, during which various immunomodulatory therapies and vaccinations were added to standard care. The introduction of new immunomodulatory drugs may have reduced the effect of AP. Also, vaccination appears to have altered the immune response and cytokine storm, leading to a sharp decline in ICU admissions and inclusions for this study [22]. Moreover, the virus mutated multiple times, resulting in differences in the virus’s pathogenicity, leading to heterogeneity among the enrolled patients. This may have resulted in the high variation seen in the cytokine levels of critical cytokines IL6, IP10, and MCP-1, and could possibly have occluded any therapeutic effects. However, subgroup analyses among the patients with high versus low baseline levels of IL-6 and those who did and did not receive tocilizumab did not result in other outcomes. Nevertheless, it is essential to note that the sample sizes in these subgroups were limited, making definitive interpretations impossible.
A limitation of this study was its premature termination due to meeting the threshold for futility, which could indicate insufficient statistical power or unforeseen factors affecting the outcomes. Furthermore, the generalisability may be an issue since this study was conducted within a specific timeframe; therefore, the findings may not be generalisable to patients with COVID-19 admitted to the ICU in different geographical locations or at different stages of the pandemic.
The strengths of the study are its design and safety assessment. This was a randomised controlled trial (RCT) design, which minimised selection bias and allowed for the evaluation of causal relationships between the treatment (AP) and outcomes compared to a placebo. We observed no safety issues associated with AP therapy, indicating that the treatment may be well-tolerated in COVID-19 ICU patients. This finding adds important information to the existing literature on the safety profile of AP.
5. Conclusions
In conclusion, we found that AP treatment for severe SARS-CoV-2 patients was safe, but in the current trial set-up, we observed no differences between the alkaline phosphatase and placebo treatments in the need for or duration of mechanical ventilation, nor in the mortality, levels of routine clinical lab parameters, or levels of inflammatory cytokines. However, there remains a possibility that alkaline phosphatase treatment still holds promise as a therapeutic intervention for infections eliciting hyper-inflammatory responses. Additional investigations, incorporating the timing of intervention, optimal dosing, and a longer duration of treatment, are warranted to ascertain the potential impact of alkaline phosphatase as a therapeutic agent for hyper-inflammatory disorders.
Author Contributions
Conceptualisation and Methodology, A.P., S.G.P., J.W.v.d.H., M.V., P.P.M.v.Z., E.M. and E.d.J.; Validation, S.G.P., J.J., M.V. and E.d.J.; Formal Analysis, A.P. and E.d.J.; Investigation, S.G.P., J.W.v.d.H., B.V., I.E., M.W.J.R., B.S., I.C., A.B., J.J., H.J.H. and E.d.J.; Resources, A.P., P.P.M.v.Z., E.M. and E.d.J.; Data Curation, A.P, S.G.P., M.V., E.M. and E.d.J.; Writing—Original Draft Preparation, A.P., S.G.P. and E.d.J.; Writing—Review and Editing, A.P., S.G.P., J.W.v.d.H., B.V., I.E., M.W.J.R., B.S., I.C., A.B., J.J., H.J.H., P.P.M.v.Z., E.M. and E.d.J.; Visualisation, A.P. and M.V.; Supervision, E.d.J.; Project Administration, S.G.P., J.J. and E.d.J.; Funding Acquisition, P.P.M.v.Z. and E.d.J. All authors have read and agreed to the published version of the manuscript.
Funding
This work was funded by Swaanswijk B.V. (reference no. 2020.153). The funding party had no influence on the design of the study, data collection, data analysis, interpretation of the data, or the writing of the manuscript.
Institutional Review Board Statement
This study was approved by the medical ethics review committee of the VU Medical Centre, Amsterdam, The Netherlands (protocol no. 2020.248), the notified body of the Central Committee on Research Involving Human Subjects, The Netherlands (CCMO), Ethische Commissie Belgie (FAGG), and the Institutional Review Boards of the Red Cross Hospital (NL), Spaarne Gasthuis, Medisch Spectrum Twente, Jessa Ziekenhuis. The study was registered at the EU Clinical Trial Register (2020-001714-38).
Informed Consent Statement
All participants or their legal representatives provided written informed consent.
Data Availability Statement
The dataset underlying the conclusions of our article is available following contact to the corresponding author. Restrictions for data sharing may apply, for example, depending on the aim of the data request and the scope of the informed consent provided by the participants and the EU General Data Protection Regulation.
Acknowledgments
The authors would like to thank the participants and their families for their willingness to participate in this trial; the study teams at all participating hospitals; the team of the research lab of the Association of Dutch Burns Centres for their assistance and dedication to this study; and the Data Safety Monitoring Board members D.W. de Lange, Y. Smulders, and T. Hoekstra.
Conflicts of Interest
J.W.v.d.H. obtained a contribution for another study on alkaline phosphatase sponsored by Alloksys Lifesciences: the APhIRI-1 study (Alkaline phosphatase in renal transplantation; (ref: [21])). All other authors declare no conflicts of interest.
References
- REMAP-CAP Investigators. Simvastatin in Critically Ill Patients with COVID-19. N. Engl. J. Med. 2023, 389, 2341–2354. [Google Scholar] [CrossRef] [PubMed]
- Elrobaa, I.H.; New, K.J. COVID-19: Pulmonary and Extra Pulmonary Manifestations. Front Public Health 2021, 9, 711616. [Google Scholar] [CrossRef] [PubMed]
- RECOVERY Collaborative Group. Dexamethasone in hospitalized patients with COVID-19. N. Engl. J. Med. 2021, 384, 693–704. [Google Scholar] [CrossRef] [PubMed]
- van de Veerdonk, F.L.; Giamarellos-Bourboulis, E.; Pickkers, P.; Derde, L.; Leavis, H.; van Crevel, R.; Engel, J.J.; Wiersinga, W.J.; Vlaar, A.P.J.; Shankar-Hari, M.; et al. A guide to immunotherapy for COVID-19. Nat. Med. 2022, 28, 39–50. [Google Scholar] [CrossRef] [PubMed]
- Qudus, M.S.; Tian, M.; Sirajuddin, S.; Liu, S.; Afaq, U.; Wali, M.; Liu, J.; Pan, P.; Luo, Z.; Zhang, Q.; et al. The roles of critical pro-inflammatory cytokines in the drive of cytokine storm during SARS-CoV-2 infection. J. Med. Virol. 2023, 95, e28751. [Google Scholar] [CrossRef] [PubMed]
- Idzko, M.; Ferrari, D.; Riegel, A.K.; Eltzschig, H.K. Extracellular nucleotide and nucleoside signaling in vascular and blood disease. Blood 2014, 14, 1029–1037. [Google Scholar] [CrossRef]
- Cauwels, A.; Rogge, E.; Vandendriessche, B.; Shiva, B.; Brouckaert, P. Extracellular ATP drives systemic inflammation, tissue damage and mortality. Cell Death Dis. 2014, 5, 1102. [Google Scholar] [CrossRef]
- Rezende, A.A.; Pizauro, J.M.; Ciancaglini, P.; Leone, F.A. Phosphodiesterase activity is a novel property of alkaline phosphatase from osseous plate. Biochem. J. 1994, 15 (Pt. 2), 517–522. [Google Scholar] [CrossRef]
- Brichacek, A.L.; Benkovic, S.A.; Chakraborty, S.; Nwafor, D.C.; Wang, W.; Jun, S.; Dakhlallah, D.; Geldenhuys, W.J.; Pinkerton, A.B.; Millan, J.L.; et al. Systemic inhibition of tissue-nonspecific alkaline phosphatase alters the brain-immune axis in experimental sepsis. Sci. Rep. 2019, 9, 18788. [Google Scholar] [CrossRef]
- Poelstra, K.; Bakker, W.W.; Klok, P.A.; Kamps, J.A.; Hardonk, M.J.; Meijer, D.K. Dephosphorylation of endotoxin by alkaline phosphatase in vivo. Am. J. Pathol. 1997, 151, 1163–1169. [Google Scholar]
- Poelstra, K.; Bakker, W.W.; Klok, P.A.; Hardonk, M.J.; Meijer, D.K. A physiologic function for alkaline phosphatase: Endotoxin detoxification. Lab. Investig. 1997, 76, 319–327. [Google Scholar]
- Beumer, C.; Wulferink, M.; Raaben, W.; Fiechter, D.; Brands, R.; Seinen, W. Calf intestinal alkaline phosphatase, a novel therapeutic drug for lipopolysaccharide (LPS)-mediated diseases, attenuates LPS toxicity in mice and piglets. J. Pharmacol. Exp. Ther. 2003, 307, 737–744. [Google Scholar] [CrossRef] [PubMed]
- Kats, S.; Brands, R.; Seinen, W.; de Jager, W.; Bekker, M.W.; Soliman-Hamad, M.A.; Tan, M.E.; Schonberger, J.P. Anti-inflammatory effects of alkaline phosphatase in coronary artery bypass surgery with cardiopulmonary bypass. Recent Pat. Inflamm. Allergy Drug Discov. 2009, 3, 214–220. [Google Scholar] [CrossRef] [PubMed]
- Pickkers, P.; Heemskerk, S.; Schouten, J.; Laterre, P.F.; Vincent, J.L.; Beishuizen, A.; Jorens, P.G.; Spapen, H.; Bulitta, M.; Peters, W.H.; et al. Alkaline phosphatase for treatment of sepsis-induced acute kidney injury: A prospective randomized double-blind placebo-controlled trial. Crit. Care 2012, 16, R14. [Google Scholar] [CrossRef] [PubMed]
- Pickkers, P.; Mehta, R.L.; Murray, P.T.; Joannidis, M.; Molitoris, B.A.; Kellum, J.A.; Bachler, M.; Hoste, E.A.J.; Hoiting, O.; Krell, K.; et al. Effect of Human Recombinant Alkaline Phosphatase on 7-Day Creatinine Clearance in Patients with Sepsis-Associated Acute Kidney Injury: A Randomized Clinical Trial. JAMA 2018, 320, 1998–2009. [Google Scholar] [CrossRef] [PubMed]
- Presbitero, A.; Mancini, E.; Brands, R.; Krzhizhanovskaya, V.V.; Sloot, P.M.A. Supplemented Alkaline Phosphatase Supports the Immune Response in Patients Undergoing Cardiac Surgery: Clinical and Computational Evidence. Front. Immunol. 2018, 11, 2342. [Google Scholar] [CrossRef]
- Zanza, C.; Romenskaya, T.; Manetti, A.C.; Franceschi, F.; La Russa, R.; Bertozzi, G.; Maiese, A.; Savioli, G.; Volonnino, G.; Longhitano, Y. Cytokine Storm in COVID-19: Immunopathogenesis and Therapy. Medicina 2022, 58, 144. [Google Scholar] [CrossRef]
- Elbadawy, H.M.; Khattab, A.; El-Agamy, D.S.; Eltahir, H.M.; Alhaddad, A.; Dakilallah Aljohani, F.; Almuzaini, T.M.; Abouzied, M.M.; Aldhafiri, A. IL-6 at the center of cytokine storm: Circulating inflammation mediators as biomarkers in hospitalized COVID-19 patients. J. Clin. Lab. Anal. 2023, 37, e24881. [Google Scholar] [CrossRef]
- Chen, Y.; Wang, J.; Liu, C.; Su, L.; Zhang, D.; Fan, J.; Yang, Y.; Xiao, M.; Xie, J.; Xu, Y.; et al. IP-10 and MCP-1 as biomarkers associated with disease severity of COVID-19. Mol. Med. 2020, 26, 97. [Google Scholar] [CrossRef]
- Kouhpayeh, H. Clinical features predicting COVID-19 mortality risk. Eur. J. Transl. Myol. 2022, 32, 10268. [Google Scholar] [CrossRef] [PubMed]
- Steenvoorden, T.S.; van Duin, R.E.; Rood, J.A.J.; Peters-Sengers, H.; Nurmohamed, A.S.; Bemelman, F.J.; Vogt, L.; van der Heijden, J.W. Alkaline phosphatase to treat ischaemia-reperfusion injury in living-donor kidney transplantation: APhIRI I feasibility pilot study. Br. J. Clin. Pharmacol. 2023, 89, 3629–3636. [Google Scholar] [CrossRef] [PubMed]
- van Diepen, S.; McAlister, F.A.; Chu, L.M.; Youngson, E.; Kaul, P.; Kadri, S.S. Association Between Vaccination Status and Outcomes in Patients Admitted to the ICU with COVID-19. Crit. Care Med. 2023, 51, 1201–1209. [Google Scholar] [CrossRef] [PubMed]
Disclaimer/Publisher’s Note: The statements, opinions and data contained in all publications are solely those of the individual author(s) and contributor(s) and not of MDPI and/or the editor(s). MDPI and/or the editor(s) disclaim responsibility for any injury to people or property resulting from any ideas, methods, instructions or products referred to in the content. |
© 2024 by the authors. Licensee MDPI, Basel, Switzerland. This article is an open access article distributed under the terms and conditions of the Creative Commons Attribution (CC BY) license (https://creativecommons.org/licenses/by/4.0/).