Efficacy of Alkaline Phosphatase in Critically Ill Patients with COVID-19: A Multicentre Investigator-Initiated Double-Blind Randomised Placebo-Controlled Trial
Abstract
1. Introduction
2. Materials and Methods
2.1. Trial Design
2.2. Participants
2.3. Sample Size
2.4. Randomisation and Treatment
2.5. Outcomes
2.6. Study Procedures and Sample Analyses
2.7. Statistical Analyses
3. Results
3.1. Primary Outcome
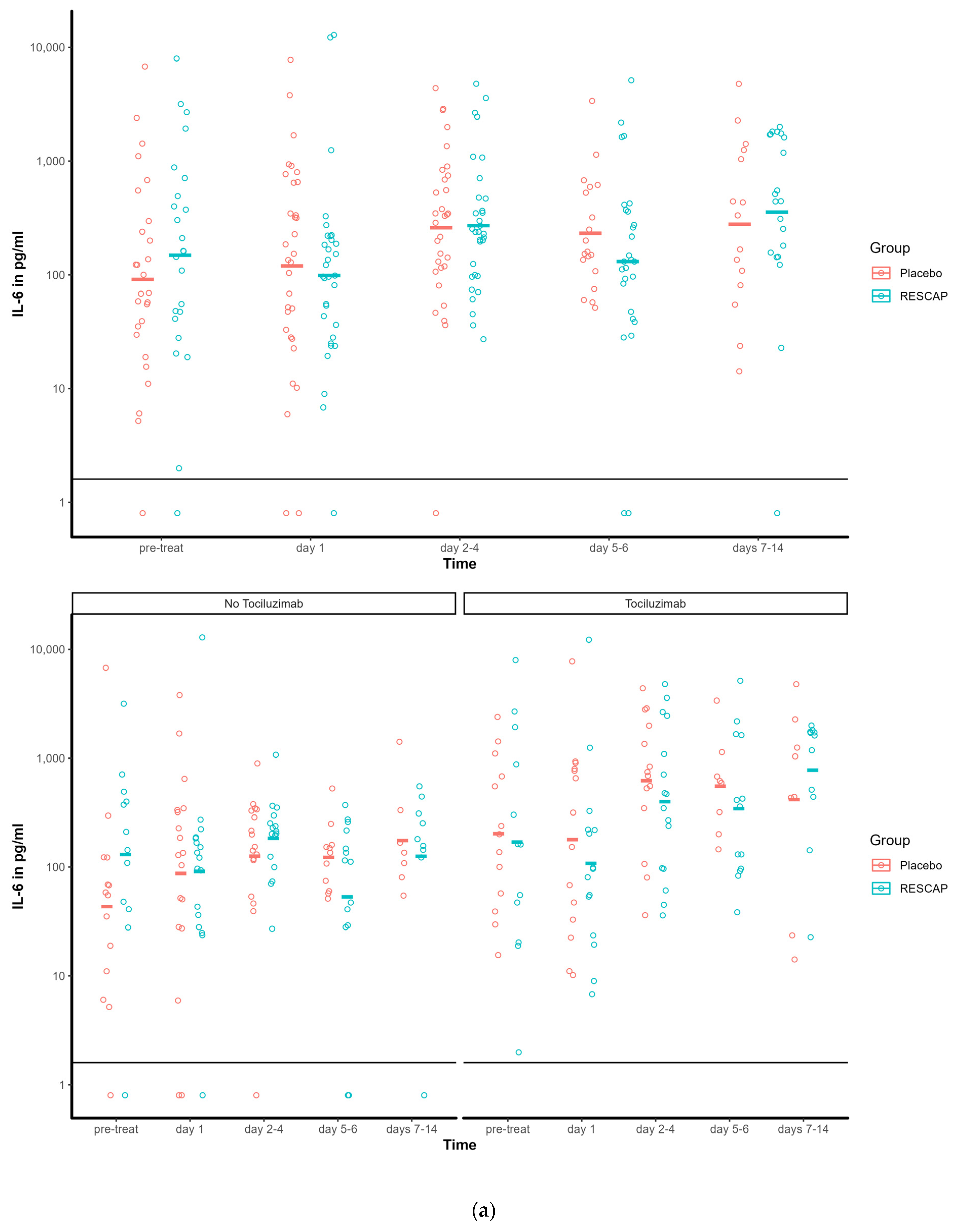
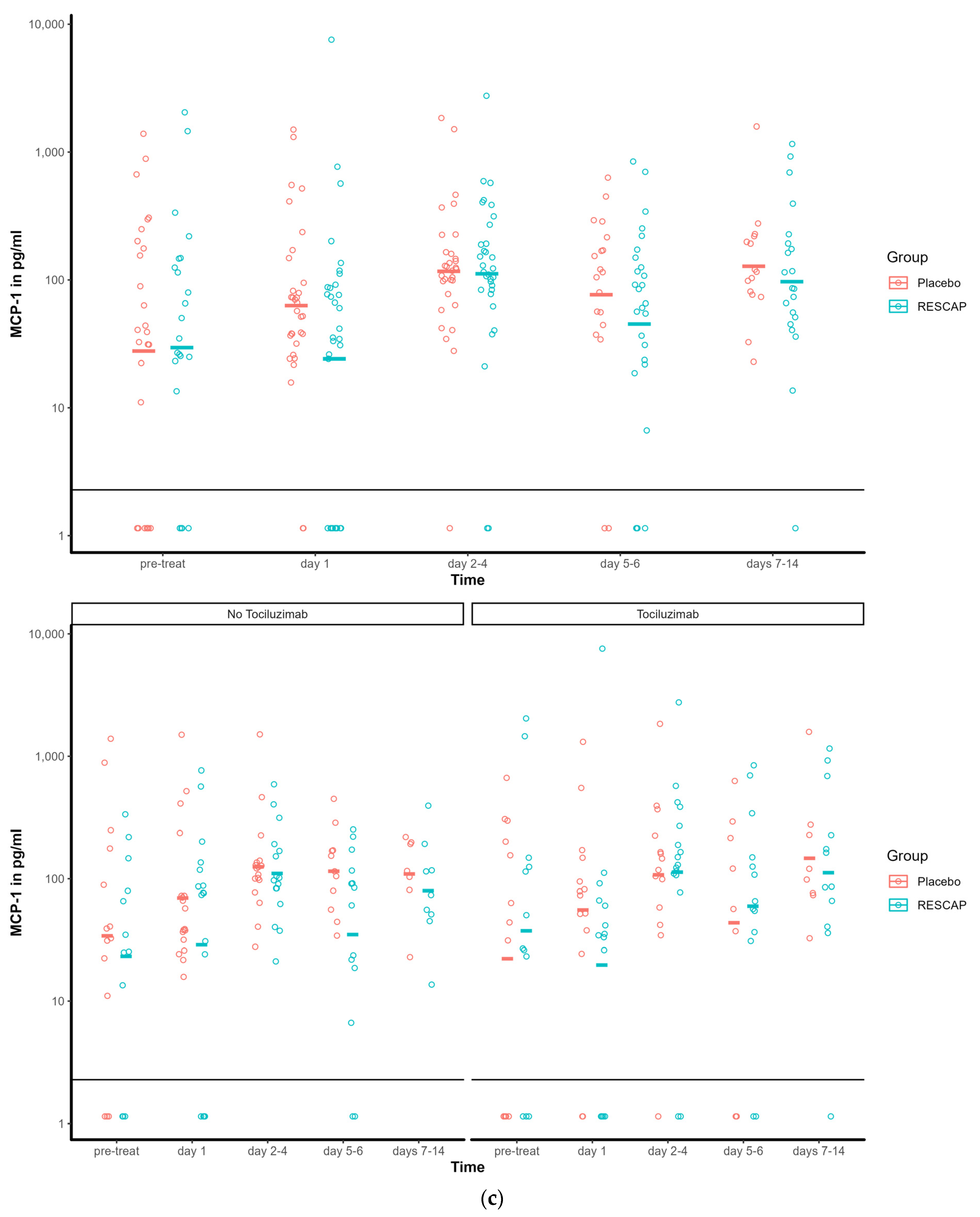
3.2. Secondary Outcomes
3.3. Subgroup Analyses
4. Discussion
5. Conclusions
Author Contributions
Funding
Institutional Review Board Statement
Informed Consent Statement
Data Availability Statement
Acknowledgments
Conflicts of Interest
References
- REMAP-CAP Investigators. Simvastatin in Critically Ill Patients with COVID-19. N. Engl. J. Med. 2023, 389, 2341–2354. [Google Scholar] [CrossRef] [PubMed]
- Elrobaa, I.H.; New, K.J. COVID-19: Pulmonary and Extra Pulmonary Manifestations. Front Public Health 2021, 9, 711616. [Google Scholar] [CrossRef] [PubMed]
- RECOVERY Collaborative Group. Dexamethasone in hospitalized patients with COVID-19. N. Engl. J. Med. 2021, 384, 693–704. [Google Scholar] [CrossRef] [PubMed]
- van de Veerdonk, F.L.; Giamarellos-Bourboulis, E.; Pickkers, P.; Derde, L.; Leavis, H.; van Crevel, R.; Engel, J.J.; Wiersinga, W.J.; Vlaar, A.P.J.; Shankar-Hari, M.; et al. A guide to immunotherapy for COVID-19. Nat. Med. 2022, 28, 39–50. [Google Scholar] [CrossRef] [PubMed]
- Qudus, M.S.; Tian, M.; Sirajuddin, S.; Liu, S.; Afaq, U.; Wali, M.; Liu, J.; Pan, P.; Luo, Z.; Zhang, Q.; et al. The roles of critical pro-inflammatory cytokines in the drive of cytokine storm during SARS-CoV-2 infection. J. Med. Virol. 2023, 95, e28751. [Google Scholar] [CrossRef] [PubMed]
- Idzko, M.; Ferrari, D.; Riegel, A.K.; Eltzschig, H.K. Extracellular nucleotide and nucleoside signaling in vascular and blood disease. Blood 2014, 14, 1029–1037. [Google Scholar] [CrossRef]
- Cauwels, A.; Rogge, E.; Vandendriessche, B.; Shiva, B.; Brouckaert, P. Extracellular ATP drives systemic inflammation, tissue damage and mortality. Cell Death Dis. 2014, 5, 1102. [Google Scholar] [CrossRef]
- Rezende, A.A.; Pizauro, J.M.; Ciancaglini, P.; Leone, F.A. Phosphodiesterase activity is a novel property of alkaline phosphatase from osseous plate. Biochem. J. 1994, 15 (Pt. 2), 517–522. [Google Scholar] [CrossRef]
- Brichacek, A.L.; Benkovic, S.A.; Chakraborty, S.; Nwafor, D.C.; Wang, W.; Jun, S.; Dakhlallah, D.; Geldenhuys, W.J.; Pinkerton, A.B.; Millan, J.L.; et al. Systemic inhibition of tissue-nonspecific alkaline phosphatase alters the brain-immune axis in experimental sepsis. Sci. Rep. 2019, 9, 18788. [Google Scholar] [CrossRef]
- Poelstra, K.; Bakker, W.W.; Klok, P.A.; Kamps, J.A.; Hardonk, M.J.; Meijer, D.K. Dephosphorylation of endotoxin by alkaline phosphatase in vivo. Am. J. Pathol. 1997, 151, 1163–1169. [Google Scholar]
- Poelstra, K.; Bakker, W.W.; Klok, P.A.; Hardonk, M.J.; Meijer, D.K. A physiologic function for alkaline phosphatase: Endotoxin detoxification. Lab. Investig. 1997, 76, 319–327. [Google Scholar]
- Beumer, C.; Wulferink, M.; Raaben, W.; Fiechter, D.; Brands, R.; Seinen, W. Calf intestinal alkaline phosphatase, a novel therapeutic drug for lipopolysaccharide (LPS)-mediated diseases, attenuates LPS toxicity in mice and piglets. J. Pharmacol. Exp. Ther. 2003, 307, 737–744. [Google Scholar] [CrossRef] [PubMed]
- Kats, S.; Brands, R.; Seinen, W.; de Jager, W.; Bekker, M.W.; Soliman-Hamad, M.A.; Tan, M.E.; Schonberger, J.P. Anti-inflammatory effects of alkaline phosphatase in coronary artery bypass surgery with cardiopulmonary bypass. Recent Pat. Inflamm. Allergy Drug Discov. 2009, 3, 214–220. [Google Scholar] [CrossRef] [PubMed]
- Pickkers, P.; Heemskerk, S.; Schouten, J.; Laterre, P.F.; Vincent, J.L.; Beishuizen, A.; Jorens, P.G.; Spapen, H.; Bulitta, M.; Peters, W.H.; et al. Alkaline phosphatase for treatment of sepsis-induced acute kidney injury: A prospective randomized double-blind placebo-controlled trial. Crit. Care 2012, 16, R14. [Google Scholar] [CrossRef] [PubMed]
- Pickkers, P.; Mehta, R.L.; Murray, P.T.; Joannidis, M.; Molitoris, B.A.; Kellum, J.A.; Bachler, M.; Hoste, E.A.J.; Hoiting, O.; Krell, K.; et al. Effect of Human Recombinant Alkaline Phosphatase on 7-Day Creatinine Clearance in Patients with Sepsis-Associated Acute Kidney Injury: A Randomized Clinical Trial. JAMA 2018, 320, 1998–2009. [Google Scholar] [CrossRef] [PubMed]
- Presbitero, A.; Mancini, E.; Brands, R.; Krzhizhanovskaya, V.V.; Sloot, P.M.A. Supplemented Alkaline Phosphatase Supports the Immune Response in Patients Undergoing Cardiac Surgery: Clinical and Computational Evidence. Front. Immunol. 2018, 11, 2342. [Google Scholar] [CrossRef]
- Zanza, C.; Romenskaya, T.; Manetti, A.C.; Franceschi, F.; La Russa, R.; Bertozzi, G.; Maiese, A.; Savioli, G.; Volonnino, G.; Longhitano, Y. Cytokine Storm in COVID-19: Immunopathogenesis and Therapy. Medicina 2022, 58, 144. [Google Scholar] [CrossRef]
- Elbadawy, H.M.; Khattab, A.; El-Agamy, D.S.; Eltahir, H.M.; Alhaddad, A.; Dakilallah Aljohani, F.; Almuzaini, T.M.; Abouzied, M.M.; Aldhafiri, A. IL-6 at the center of cytokine storm: Circulating inflammation mediators as biomarkers in hospitalized COVID-19 patients. J. Clin. Lab. Anal. 2023, 37, e24881. [Google Scholar] [CrossRef]
- Chen, Y.; Wang, J.; Liu, C.; Su, L.; Zhang, D.; Fan, J.; Yang, Y.; Xiao, M.; Xie, J.; Xu, Y.; et al. IP-10 and MCP-1 as biomarkers associated with disease severity of COVID-19. Mol. Med. 2020, 26, 97. [Google Scholar] [CrossRef]
- Kouhpayeh, H. Clinical features predicting COVID-19 mortality risk. Eur. J. Transl. Myol. 2022, 32, 10268. [Google Scholar] [CrossRef] [PubMed]
- Steenvoorden, T.S.; van Duin, R.E.; Rood, J.A.J.; Peters-Sengers, H.; Nurmohamed, A.S.; Bemelman, F.J.; Vogt, L.; van der Heijden, J.W. Alkaline phosphatase to treat ischaemia-reperfusion injury in living-donor kidney transplantation: APhIRI I feasibility pilot study. Br. J. Clin. Pharmacol. 2023, 89, 3629–3636. [Google Scholar] [CrossRef] [PubMed]
- van Diepen, S.; McAlister, F.A.; Chu, L.M.; Youngson, E.; Kaul, P.; Kadri, S.S. Association Between Vaccination Status and Outcomes in Patients Admitted to the ICU with COVID-19. Crit. Care Med. 2023, 51, 1201–1209. [Google Scholar] [CrossRef] [PubMed]






| Intention to Treat (N = 97) | Per Protocol (N = 72) | |||||
|---|---|---|---|---|---|---|
| Placebo (n = 46) | AP (n = 51) | p Value | Placebo (n = 32) | AP (n = 40) | p Value | |
| Age, yrs (mean, SD) | 61.8 (10.0) | 60.1 (11.8) | 0.453 | 62.7 (10.2) | 61.9 (11.4) | 0.752 |
| Sex (N male, %) | 30 (65%) | 39 (77%) | 0.222 | 20 (63%) | 30 (75%) | 0.253 |
| BMI, kg/m2 (mean, SD) | 30.0 (4.9) | 29.9 (5.4) | 0.897 | 30.5 (4.9) | 30.4 (5.9) | 0.940 |
| Comorbidities (N yes, %) | ||||||
| Diabetes | 9 (20%) | 10 (20%) | 0.962 | 7 (22%) | 9 (23%) | 0.949 |
| Respiratory disease | 13 (29%) | 5 (10%) | 0.017 | 8 (25%) | 5 (13%) | 0.171 |
| (COPD/asthma/other) | ||||||
| Kidney disease | 3 (7%) | 2 (4%) | 0.663 | 3 (9%) | 2 (5%) | 0.468 |
| Severe cardiovascular disease | 13 (29%) | 7 (14%) | 0.068 | 10 (31%) | 6 (15%) | 0.099 |
| Other a | 7 (16%) | 5 (10%) | 0.395 | 5 (16%) | 5 (13%) | 0.703 |
| Vaccinated (N yes, %) | 12 (26%) | 15 (29%) | 0.715 | 11 (34%) | 14 (35%) | 0.956 |
| PCR (N yes, %) | 45 (100%) | 49 (98%) | - | 32 (100%) | 39 (98%) | 0.368 |
| Time from symptom onset to randomisation, days (median, IQR) | 10.0 (4.0) (n = 44) | 10.0 (3.0) (n = 47) | 0.122 | 10.0 (5.0) | 9.0 (3.0) | 0.975 |
| APACHE IV score on the day of admission to ICU (mean, SD) | 44.5 (16.8) (n = 43) | 46.4 (14.9) (n = 51) | 0.557 | 43.9 (15.0) | 46.2 (16.2) | 0.541 |
| Routine clinical lab values at baseline | ||||||
| Temperature (med, IQR) | 37.3 (1.6) | 37.2 (1.4) | 0.812 | 37.3 (1.8) | 37.2 (1.1) | 0.549 |
| Lowest PaO2/FiO2 ratio (med, IQR) | 97.0 (42.1) | 83.0 (56.0) | 0.127 | 98.0 (39.2) | 77.5 (45.0) | 0.063 |
| CRP (med, IQR) mg/mL | 82 (126) | 110 (111) | 0.120 | 76 (129) | 116 (105) | 0.156 |
| HB (Hbm) (med, IQR) mmoL/L | 8.5 (1.5) | 8.3 (1.2) | 0.725 | 8.4 (1.4) | 8.4 (1.4) | 0.567 |
| Leukocytes (med, IQR) 109/l | 8.6 (4.2) | 8.5 (4.7) | 0.839 | 9.1 (4.2) | 8.6 (4.9) | 0.989 |
| Creatinine (sCream) (med, IQR) μmoL/L | 67.0 (23.0) | 71.2 (29.0) | 0.952 | 71 (27) | 73 (32) | 0.858 |
| Dexamethasone (N yes, %) | 43 (94%) | 50 (98%) | 0.343 | 29 (91%) | 39 (98%) | 0.317 |
| Tociluzumab (N yes, %) | 14 (30%) | 17 (33%) | 0.760 | 9 (28%) | 13 (33%) | 0.689 |
| Antibiotics (N yes, %) | 33 (77%) | 39 (78%) | 0.885 | 22 (73%) | 29 (74%) | 0.923 |
| Antibiotics, N days (med, IQR) | 5 (3) | 5 (17) | 0.264 | 7 (7) | 7 (17) | 0.244 |
| Intention to Treat (N = 97) * | Per Protocol (N = 72) | |||||
|---|---|---|---|---|---|---|
| Placebo (n = 46) | AP (n = 51) | p Value | Placebo (n = 32) | AP (n = 40) | p Value | |
| Mechanical ventilation (N yes, %) | 26 (57%) | 35 (69%) | 0.218 | 17 (53%) | 29 (73%) | 0.089 |
| Duration of mechanical ventilation (days; no = 0 days) (median, IQR) | 3.5 (11.8) | 6.1 (15.0) | 0.102 | 3.5 (15.6) | 7.3 (24.1) | 0.183 |
| Duration of mechanical ventilation (days) among patients receiving mechanical ventilation (median, IQR) | 9.3 (17.4) | 9.0 (21.2) | 1.000 | 14.8 (20.4) | 12.0 (22.0) | 0.841 |
| Mortality (N, %) | 8 (17%) | 11 (22%) | 0.605 | 6 (19%) | 10 (25%) | 0.526 |
| Mortality at 28 days (N, %) | 6 (13%) | 9 (18%) | 0.531 | 4 (13%) | 8 (20%) | 0.396 |
| Length of ICU stay, days (median, IQR) | 12 (10) | 11 (20) | 1.000 | 13 (14) | 16 (22) | 0.663 |
| Length of ICU stay excluding 9 patients lost to follow-up, days (median, IQR) | 12 (10) | 11 (21) | 0.796 | 13 (15) | 15 (24) | 0.379 |
| Length of hospital stay, days (median, IQR) | 18 (15) | 19 (22) | 0.398 | 19 (20) | 23 (23) | 0.360 |
| Intention to Treat (N = 97) | Per Protocol (N = 72) | |||||
|---|---|---|---|---|---|---|
| Estimate 1 | SE | p Value | Estimate 1 | SE | p Value | |
| Temperature | 0.1 | 0.1 | 0.444 | 0.1 | 0.1 | 0.707 |
| Lowest PaO2/FiO2 ratio | 5.2 | 6.9 | 0.457 | 8.6 | 7.7 | 0.269 |
| CRP mg/L | 2.3 | 11.0 | 0.838 | 7.7 | 12.3 | 0.531 |
| Hbm mmol/L | −0.2 | 0.2 | 0.254 | −0.2 | 0.2 | 0.480 |
| Leukocytes 109/L | 0.7 | 0.6 | 0.270 | 0.8 | 0.7 | 0.253 |
| Creatinine μmoL/L | 3.7 | 7.0 | 0.600 | 5.2 | 8.8 | 0.561 |
| Intention to Treat (N = 65) 31 Placebo, 34 AP | Per Protocol (N = 44) 20 Placebo, 24 AP | |||||
|---|---|---|---|---|---|---|
| Estimate 1 | SE | p Value | Estimate 1 | SE | p Value | |
| Anti-inflammatory | ||||||
| IL10 | 3.3 | 5.7 | 0.561 | −1.8 | 1.8 | 0.323 |
| TGFb1 | ND | ND | ND | ND | ND | ND |
| Pro-inflammatory | ||||||
| IL1b | −0.9 | 5.6 | 0.871 | −1.2 | 7.0 | 0.858 |
| IL6 | -26.5 | 210.1 | 0.900 | 161.3 | 243.4 | 0.511 |
| IL8 | 7.1 | 9.5 | 0.458 | 5.7 | 10.6 | 0.593 |
| IL12p70 | −0.3 | 1.2 | 0.832 | 0.9 | 1.4 | 0.495 |
| IL17a | −0.8 | 1.5 | 0.574 | −1.3 | 1.6 | 0.934 |
| IP10 | −3.9 | 58.8 | 0.948 | 24.4 | 69.3 | 0.727 |
| MCP1 | 8.8 | 72.7 | 0.903 | 57.4 | 90.6 | 0.529 |
| TNFa | ND | ND | ND | ND | ND | ND |
| IFNg | ND | ND | ND | ND | ND | ND |
| Adaptive | ||||||
| IL4 | −7.3 | 10.3 | 0.479 | −6.6 | 12.3 | 0.590 |
| IL2 | ND | ND | ND | ND | ND | ND |
| Ratio | ||||||
| IL6/IL10 | −5.3 | 20.2 | 0.793 | 4.5 | 23.2 | 0.846 |
Disclaimer/Publisher’s Note: The statements, opinions and data contained in all publications are solely those of the individual author(s) and contributor(s) and not of MDPI and/or the editor(s). MDPI and/or the editor(s) disclaim responsibility for any injury to people or property resulting from any ideas, methods, instructions or products referred to in the content. |
© 2024 by the authors. Licensee MDPI, Basel, Switzerland. This article is an open access article distributed under the terms and conditions of the Creative Commons Attribution (CC BY) license (https://creativecommons.org/licenses/by/4.0/).
Share and Cite
Pijpe, A.; Papendorp, S.G.; van der Heijden, J.W.; Vermin, B.; Ertugrul, I.; Ritt, M.W.J.; Stessel, B.; Callebaut, I.; Beishuizen, A.; Vlig, M.; et al. Efficacy of Alkaline Phosphatase in Critically Ill Patients with COVID-19: A Multicentre Investigator-Initiated Double-Blind Randomised Placebo-Controlled Trial. Biomedicines 2024, 12, 723. https://doi.org/10.3390/biomedicines12040723
Pijpe A, Papendorp SG, van der Heijden JW, Vermin B, Ertugrul I, Ritt MWJ, Stessel B, Callebaut I, Beishuizen A, Vlig M, et al. Efficacy of Alkaline Phosphatase in Critically Ill Patients with COVID-19: A Multicentre Investigator-Initiated Double-Blind Randomised Placebo-Controlled Trial. Biomedicines. 2024; 12(4):723. https://doi.org/10.3390/biomedicines12040723
Chicago/Turabian StylePijpe, Anouk, Stephan G. Papendorp, Joost W. van der Heijden, Ben Vermin, Iris Ertugrul, Michael W. J. Ritt, Björn Stessel, Ina Callebaut, Albertus Beishuizen, Marcel Vlig, and et al. 2024. "Efficacy of Alkaline Phosphatase in Critically Ill Patients with COVID-19: A Multicentre Investigator-Initiated Double-Blind Randomised Placebo-Controlled Trial" Biomedicines 12, no. 4: 723. https://doi.org/10.3390/biomedicines12040723
APA StylePijpe, A., Papendorp, S. G., van der Heijden, J. W., Vermin, B., Ertugrul, I., Ritt, M. W. J., Stessel, B., Callebaut, I., Beishuizen, A., Vlig, M., Jimmink, J., Huijgen, H. J., van Zuijlen, P. P. M., Middelkoop, E., & de Jong, E. (2024). Efficacy of Alkaline Phosphatase in Critically Ill Patients with COVID-19: A Multicentre Investigator-Initiated Double-Blind Randomised Placebo-Controlled Trial. Biomedicines, 12(4), 723. https://doi.org/10.3390/biomedicines12040723

