Next Article in Journal
100 Years since the Discovery of Insulin, from Its Discovery to the Insulins of the Future
Next Article in Special Issue
Molecular Pathology of Thyroid Tumors: Essential Points to Comprehend Regarding the Latest WHO Classification
Previous Article in Journal
Long-Term Tracking of the Effects of Colostrum-Derived Lacticaseibacillus rhamnosus Probio-M9 on Gut Microbiota in Mice with Colitis-Associated Tumorigenesis
Previous Article in Special Issue
Association of BRAF V600E Mutant Allele Proportion with the Dissemination Stage of Papillary Thyroid Cancer
 
 
Font Type:
Arial Georgia Verdana
Font Size:
Aa Aa Aa
Line Spacing:
Column Width:
Background:
Article

The Effect of Radioiodine Therapy on the Prognosis of Differentiated Thyroid Cancer with Lung Metastases

1
Shanghai Clinical College, Anhui Medical University, Shanghai 200040, China
2
The Fifth Clinical Medical College, Anhui Medical University, Hefei 230032, China
3
Department of Nuclear Medicine, Shanghai Tenth People’s Hospital, Tongji University School of Medicine, Shanghai 200040, China
4
Institute of Nuclear Medicine, Tongji University School of Medicine, Shanghai 200040, China
*
Author to whom correspondence should be addressed.
These authors contributed equally to this work.
Biomedicines 2024, 12(3), 532; https://doi.org/10.3390/biomedicines12030532
Submission received: 8 January 2024 / Revised: 10 February 2024 / Accepted: 24 February 2024 / Published: 27 February 2024

Abstract

Lung metastasis substantially influences the survival of thyroid cancer (TC) patients. This study sought to investigate factors impacting the survival of differentiated thyroid cancer patients with lung metastases (DTC–LM) undergoing radioiodine therapy (RAI) after thyroid surgery. The retrospective study encompassed 609 TC patients with lung metastases. Survival outcomes—specifically, overall survival (OS) and thyroid cancer-specific survival (TCSS)—were examined through both univariate and multivariate Cox regression analyses. Radioiodine therapy (RAI)’s impact on DTC–LM patient survival was further assessed with the Kaplan–Meier survival curve. Of the 609 TC patients with lung metastases, 434 (71.3%) were found to have undergone thyroid surgery after a median follow-up of 59 months. Anaplastic thyroid cancer (ATC), stage IV, and lung metastases associated with other metastases were identified as risk factors for OS and TCSS in TCLM patients. RAI therapy significantly enhances survival in DTC–LM patients followed by primary site surgery under the age of 55, PTC patients, and those with single organ metastases at lung.

1. Introduction

Thyroid cancer (TC) is the most prevalent malignant tumor in the head and neck region, originating from either the thyroid follicular epithelium or parafollicular epithelial cells [1,2]. According to the latest cancer report published in the Journal of the National Cancer Center (JNCC), the incidence of TC in China has increased 20-fold between 2000 and 2016 [3]. TC is histologically categorized into differentiated thyroid cancer (DTC), medullary thyroid cancer (MTC), and anaplastic thyroid cancer (ATC), based on differences in tumor origin and differentiation [4]. Papillary thyroid cancer (PTC) and follicular thyroid cancer (FTC) are two subtypes of DTC, with the former being the most common subtype, accounting for approximately 90% of all TC cases [5,6].
The overall prognosis for patients with DTC is favorable, while patients with distant metastases have a significantly poorer prognosis [7,8]. The lung is the most commonly affected site of distant metastases for DTC metastases, with an incidence rate of 2–20% [9,10]. Indeed, research indicated a higher incidence of lung metastasis compared to other organs in thyroid cancer patients with distant metastasis [11,12,13], likely due to the lungs’ extensive vascularization and tumor-friendly microenvironment [14]. Of those with lung metastases, 50% of patients die within 10 years [9,15,16]. Several factors, including age, serum thyroglobulin levels, cumulative dose of radioiodine therapy (RAI), and tumor size, have been shown to influence the prognosis of patients with DTC correlated with pulmonary metastases [17,18]. Despite the considerable number of studies on patients with lung metastases from thyroid cancer, few studies have focused on the prognostic impact of all pathological types on thyroid cancer with lung metastasis (TCLM).
The therapeutic approaches for TC primarily comprise surgical intervention, RAI therapy, external radiotherapy, and chemotherapy, with targeted therapy and immunotherapy emerging as novel systemic treatment modalities in recent years [19,20]. The 2015 guidelines of the American Thyroid Association (ATA) highly endorse RAI therapy as the recommended treatment following thyroidectomy for stratified DTC patients at high risk of recurrence [21]. Additionally, patients with 131Iodine-avid lung metastasis, smaller nodules, no other metastases, and younger age groups (<55 years) demonstrate favorable prognosis [22,23]. However, the factors influencing the survival of patients with TCLM who have undergone primary site surgery and RAI therapy necessitate further exploration.
In this study, our primary objective was to identify prognostic risk factors for TCLM patients who have undergone primary site surgery based on the Surveillance, Epidemiology, and End Results (SEER) database. The impact of RAI therapy on the survival of TCLM patients who have undergone primary site surgery was also evaluated through a stratified analysis based on age, histology, and other distant metastases. These findings could prove valuable in guiding clinical decision-making related to therapy.

2. Materials and Methods

2.1. Data Source

This retrospective study employed data from the SEER program, which covers around 30% of the entire U.S. population. We identified patients diagnosed with 87,737 cases of thyroid cancer between 2010 and 2017 using SEER*stat 8.3.5 software. The year 2010 was chosen as the starting point due to the availability of data on distant metastases beginning from that year. Furthermore, the American Joint Committee on Cancer (AJCC), 7th edition was utilized for the years 2010 to 2015. From 2016 to 2017, cancer registries in the United States transitioned from Collaborative Staging (CS) to SEER Combined Stage (2016–2017), which incorporates TNM categories, staging groups, and definitions based on the TNM Classification of Malignant Tumors, 7th edition. As such, all AJCCs from 2010 to 2017 are referred to as AJCC 7th. Given the variability of AJCC 8th and constraints on SEER data collection, there is currently no viable conversion method, and, hence, we opted for the unification of SEER data collection while utilizing AJCC 7th.

2.2. Patient Selection

The study retrieved data from the SEER database, which included variables such as race, sex, marital status, histological type ICD-O-3 [PTC (8050, 8260, 8340, 8341, 8342, 8343, 8344), MTC (8345, 8510), FTC (8330, 8331, 8332, 8335), ATC (8020, 8021)] [24], T stage, N stage, SEER-specific etiology of death classification, vital status, and survival time (months). Other races encompassed American Indian/Alaska Native, Asian or Pacific Islander, and unknown racial groups, due to their representation of only 1% of the SEER database. TNM staging and stage data were based on a combination of derived AJCC 7th (2010–2015) data and derived SEER combined TNM data due to constraints in the composition of the SEER database across years. Exclusions were made for TC patients with unknown demographic and clinicopathological information from 2010 to 2017. Despite marital status being a significant determinant in various cancers, its significance in thyroid cancer remains unknown. Therefore, patients with uncertain marital status were eliminated to investigate the impact of marital status on the prognosis of TC patients [25,26]. Thyroid cancer patients were classified into two groups: those with and without lung metastases. In TCLM patients, an additional distinction was made based on whether primary surgery was performed. The detailed screening process is illustrated in Figure 1.
As all data used in this study were obtained from the publicly available SEER database, no approval from a medical ethics committee was necessary since the database is accessible to the public free of charge. Therefore, the Ethics Committee of Shanghai Tenth People’s Hospital deemed that no review of this study was required.

2.3. Statistical Analyses

First of all, the study employed the chi-square test to compare the demographic and clinical features of TCLM patients with and without radioiodine therapy. Secondly, univariate and multivariate Cox regression analyses were conducted to identify the factors that impact overall survival (OS) and thyroid cancer-specific survival (TCSS) in patients with TCLM, as well as the possible factors that affect prognosis in TCLM patients after primary site surgery. The results were presented as hazard ratio (HR), 95% confidence intervals (CI), and p-value. Finally, the stratified Kaplan–Meier survival curve was utilized to investigate the parameters that influence TCSS with RAI therapy in TCLM patients who underwent primary site surgery. A p-value of 0.05 was considered statistically significant. All data were analyzed using SPSS software (version 26; IBM Corp., Armonk, NY, USA).

3. Results

3.1. Demographic and Clinicopathologic Characteristics of Participants

This study involved 68,709 patients diagnosed with TC between 2010–2017. After a median follow-up of 59 months, the patients were categorized into two groups: those with pulmonary metastases and those without. The sex ratio was approximately 1:1, while the proportion of patients aged over 55 years was higher in the TC patients with lung metastasis compared to those without. More than half of the cases were classified as PTC and had a tumor size > 40 mm. Furthermore, the proportion of TC patients with lung metastasis who underwent primary site surgery was notably higher than those who did not receive surgery at the primary site, accounting for 71.3% and 28.7%, respectively. Additionally, among the TC patients with lung metastasis (LM), 36.6% underwent RAI treatment, while 63.4% did not (Supplementary Table S1). Among TCLM patients who underwent RAI treatment, 99.6% opted for surgical intervention at the primary site. Table 1 provides further details of the demographics and clinicopathologic characteristics of thyroid cancer patients with lung metastases.

3.2. The Predictive Factors of Overall Survival and Thyroid Cancer-Specific Survival in Patients with TCLM

In the univariate Cox analysis, several factors emerged as significant risk factors for the OS of patients with TCLM. These factors included age ≥ 55 years (HR = 2.474, 95%CI: 1.885–3.246, p < 0.001), non-PTC (MTC vs. FTC vs. ATC, 2.233 (1.350–3.695) vs. 1.578 (1.118–2.229) vs. 10.827 (8.256–14.200), p < 0.05), tumor size > 40 mm (HR = 2.868, 95%CI: 1.566–5.252, p < 0.05), stage IV (HR = 7.143, 95%CI: 3.915–13.036, p < 0.001), T4 (HR = 4.238, 95%CI: 2.425–7.405, p < 0.001), and LM combined with other distant metastasis (Lung + 1 vs. Lung + 2, 1.635 (1.282–2.084) vs. 2.505 (1.741–3.604), p < 0.001). Moreover, surgical intervention at the primary site (HR = 0.223, 95%CI: 0.179–0.278, p < 0.001 for OS; HR = 0.224, 95%CI: 0.178–0.282, p < 0.001, for TCSS) was found to have a potentially positive effect on both OS and TCSS, while sex did not. RAI therapy (HR = 0.188, 95%CI: 0.142–0.248, p < 0.001, for OS; HR = 0.169, 95%CI: 0.124–0.229, p < 0.001, for TCSS) improved overall survival (OS) and thyroid cancer-specific survival (TCSS) of TCLM patient, which can effectively manage the progression of TCLM patients.
In the multivariate Cox analysis, three variables were identified as significant risk factors for the OS of TCLM patients. These variables included ATC (HR = 3.981, 95%CI: 2.876–5.512, p < 0.001, for OS; HR = 3.864, 95%CI: 2.763–5.403, p < 0.001, for TCSS), stage IV (HR = 2.794, 95%CI: 1.433–5.447, p = 0.003, for OS; HR = 2.768, 95%CI: 1.379–5.556, p = 0.004, for TCSS), and lung metastasis combined with other metastasis (Lung + 1, 1.299 (1.002–1.684), p < 0.05, for OS; Lung + 1,1.359 (1.039–1.779), p < 0.05, for TCSS). Conversely, both surgical intervention at the primary site (HR = 0.653, 95%CI: 0.506–0.842, p = 0.001, for OS; HR = 0.664, 95%CI: 0.510–0.864, p = 0.002, for TCSS) and RAI therapy (HR = 0.397, 95%CI: 0.283–0.558, p < 0.001, for OS; HR = 0.371, 95%CI: 0.257–0.535, p < 0.001, for TCSS) were considered protective factors for the OS and TCSS of TCLM patients. Table 2 presents the HR and 95%CI for each variable in both the univariate and multivariate Cox proportional hazard models.

3.3. The Predictive Factors of OS and TCSS in TCLM Patients following Primary Site Surgery

To further investigate the prognostic factors of patients with TCLM who have undergone surgery at their primary site, a multivariate Cox analysis was conducted. The results of the analysis revealed that age (HR = 1.484, 95%CI: 1.018–2.165, p < 0.05, for OS), histology (ATC, 4.672 (2.964–7.366), p < 0.001, for OS; ATC, 4.626 (2.890–7.405), p < 0.001, for TCSS), stage (IV, 2.631 (1.238–5.592), p < 0.05, for OS; IV, 2.589 (1.170–5.728), p < 0.05, for TCSS), T stage (T4, 3.133 (1.366–7.187), p < 0.01, for OS; T4, 3.358 (1.386–8.133), p < 0.01, for TCSS), and other distant metastasis (Lung + 1 vs. Lung + 2, 1.551 (1.097–2.194) vs. 1.866 (1.064–3.274), p < 0.05, for OS; Lung + 1 vs. Lung + 2, 1.725 (1.207–2.464) vs. 1.837 (1.026–3.288), p < 0.05, for TCSS) were all significant predictors of OS in these patients. The risk of OS in TCLM patients who received RAI treatment after primary site surgery was 0.507 times that of no treatment (HR = 0.507, 95%CI: 0.350–0.733, p < 0.001). Total thyroidectomy, subtotal thyroidectomy or near-total thyroidectomy at the primary site accounted for 95.0% of TCLM patients treated with RAI therapy (Supplementary Table S2). Similarly, these same variables, with the exception of age (p = 0.103), were also found to be independent predictors of TCSS in TCLM patients following primary site surgery. As a result, TCLM patients who were older than 55 years, had an ATC subtype, were in stage IV, had T4 stage, had multiple distant metastases, and did not receive RAI treatment were shown to have a poorer prognosis (Table 3). TCLM patients who receive RAI therapy after primary site surgery are associated with a diminished risk of TCSS relative to their untreated counterparts (HR = 0.482, 95%CI: 0.323–0.718, p < 0.001).

3.4. Effect of RAI on Survival in Subgroup

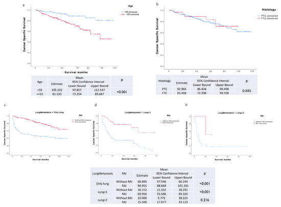
To analyze the difference in survival among TCLM patients who underwent surgery at the primary site, the Kaplan–Meier method and log-rank test were utilized. The Kaplan–Meier analysis was stratified based on RAI treatment, age, histology, and other distant metastases.
Firstly, improved TCSS was observed in patients with TCLM who underwent RAI treatment post-primary surgery compared to those who did not receive RAI, irrespective of age. In TCLM patients who underwent RAI treatment following primary surgery, younger patients (age < 55 years) exhibited considerably enhanced TCSS in contrast to their older counterparts (age ≥ 55 years) (Figure 2a and Figure S1a,b).
Secondly, regardless of whether the histology is PTC or FTC (ATC and MTC were not considered because patients with them rarely received RAI treatment), TCLM patients who underwent surgery of the primary site followed by RAI treatment had significantly better prognosis compared to those without RAI. However, the histology did not affect the impact of RAI on the TCSS of TCLM patients following surgery at the primary site (Figure 2b and Figure S1c,d).
Last but not least, the benefits of RAI therapy on the TCSS of TCLM patients following primary site surgery were observed in subgroups with only lung metastasis (p < 0.001) and those with a combination of lung and one other distant metastasis (p < 0.001). However, this effect was not observed in TCLM patients who had multiple distant metastases following primary site surgery. Notably, among TCLM patients who underwent primary site surgery and received RAI therapy, those with only lung metastasis exhibited superior TCSS compared to those with a combination of lung and one other distant metastasis (Figure 2c–e).

4. Discussion

The results of this study indicate that surgery at the primary site may serve as an independent prognostic factor to improve the OS and TCSS in patients with TCLM. A previous study reported that surgery at the primary site, whether for the primary or distant site, can prolong OS and TCSS in TCLM patients [27]. Additionally, our study suggests that combining surgery of the primary site with RAI therapy may further enhance the prognosis of patients with lung metastasis compared to surgery of the primary site alone. These findings underscore the importance for clinicians to carefully consider the appropriate surgical approach and adjuvant therapy for lung metastasis, factoring in the patient’s overall condition.
RAI therapy has been identified as a highly efficacious intervention for the management of metastatic DTC, offering a substantial extension of life expectancy for patients [28]. Our results demonstrate that RAI therapy confers a significant improvement in both overall survival rate and thyroid cancer-specific survival rate for patients with TCLM compared to those who do not receive RAI therapy. Despite the considerable number of studies that examine the impact of RAI therapy on the prognosis of DTC patients with lung metastasis [11,29], few studies have reported the effect of RAI therapy on the prognosis of all histological types of thyroid cancer with lung metastasis. Therefore, this study provides a systematic analysis of the factors influencing the survival of patients with this condition.
Firstly, this study has revealed that nearly 50 percent of post-thyroidectomy patients with TCLM did not undergo RAI therapy, possibly due to the failure to meet therapeutic criteria, specifically, the lack of iodine uptake in metastatic lung lesions. In addition, the guidelines for RAI therapy of DTC [30] have indicated that 131I treatment for pulmonary metastasis is largely dependent of iodine uptake, age, nodule size, and the presence of other distant metastatic lesions. Notably, Song et al. have suggested that DTC patients at <40 years old and with small and only lung metastases, without other organ metastases, had better outcomes with RAI therapy [23]. Similarly, our study has identified that age plays a significant role in the effectiveness of RAI therapy on the prognosis of patients with lung metastasis after thyroidectomy. Specifically, our results have demonstrated that patients under 55 years of age treated with RAI therapy have a more favorable prognosis compared to those aged 55 years and above. Moreover, the study has revealed that patients with lung metastasis alone had a better survival rate than those with lung and other distant metastases after RAI therapy. Conversely, there was no statistically significant difference in prognosis among patients with multiple distant metastases, which may be attributed to the small sample size of patients with lung and other metastases.
Additionally, it has been reported that some patients with thyroid carcinoma and lung metastases who either fail to uptake iodine or lose iodine uptake properties following RAI therapy eventually develop radioiodine-refractory thyroid cancer (RAIR-TC) over time [31]. The loss of iodine uptake may be consequent upon the dedifferentiation of malignant cells resulting in reduced expression of the sodium/iodide symporter (NIS) or clonal selection. One of the risk factors for the prognosis of these patients is the iodine uptake of distant metastases, Hong-Jun Song et al. found that, amongst TCLM patients, those unresponsive to RAI therapy bore a significantly lower 10-year survival rate [23]. However, only two-thirds of TCLM patients had 131I uptake in their metastases [32]. Considering the adverse effects of other therapeutic modalities, it is necessary to strictly grasp the indications for application before deciding on further treatment options. Thus, this analysis of various risk factors may assist in identifying patients who are suitable candidates for RAI treatment.
Finally, our findings support the 2015 ATA recommendations for RAI therapy [21] as a post-thyroidectomy treatment. However, it is worth noting that, while the 2015 ATA guidelines [21] strongly recommend RAI treatment for TCLM patients with lung micrometastases, our study has provided further evidence in specific subgroups of TCLM patients and has expanded the clinical application of RAI therapy for TCLM patients following primary site surgery.
Li et al. have reported that RAI therapy should be precisely administered to young patients with well-differentiated tumors and may improve survival rates of lung metastases [11]. Consistent with these findings, our study has demonstrated that RAI therapy significantly enhances OS and TCSS in TCLM patients following primary site surgery under the age of 55, PTC patients, and those with single organ metastases at lung. Additionally, the results may assist clinicians in determining which patients will benefit from RAI therapy, thus providing new avenues for treatment.
However, this study is not without certain limitations. First of all, the number of patients with ATC and MTC in the histology sample is limited, leading to potential statistical bias. Secondly, this study relies on a public database, and further validation of clinical information for patients is required. Additionally, the dose and frequency of administration, as well as the route of administration, the time interval between primary surgery and RAI treatment, and other factors may also influence RAI treatment outcomes. Unfortunately, the SEER database does not contain sufficient data to thoroughly investigate these issues. Finally, it should be noted that the SEER database does not include information on iodine uptake rate, thyroid-stimulating hormone suppression therapy, or serological indicators of thyroid, including serum BRAFV600E mutation, progressive nodal burden, extrathyroidal extension, thoracic surgery for lung metastasis, and thyroxine kinase inhibitors (TKI). Thoracic surgery for lung metastases can indeed potentially affect the efficacy of RAI treatment and may provide survival benefits for specific patients. Furthermore, postoperative survival rates depend highly on factors such as the primary tumor entity, histology and differentiation, absence of disease interval, and the number and size of metastatic lesions [33]. Research has demonstrated that targeted therapy with TKIs can improve clinical outcomes in TCLM patients [34,35]. These factors are essential for assessing the risk of thyroid cancer recurrence [36,37,38].

5. Conclusions

This study identified that, compared to primary site surgery alone, RAI in conjunction with surgery significantly improved TCSS for TCLM patients. Specifically, TCLM patients after thyroid surgery who are younger (<55 years), have PTC and metastases only in the lungs, and without involvement of other organs may benefit from RAI treatment. These results have important implications for identifying TCLM patients who have undergone primary site surgery that may be candidates for iodine therapy, as well as developing appropriate treatment regimens for them.

Supplementary Materials

The following supporting information can be downloaded at: https://www.mdpi.com/article/10.3390/biomedicines12030532/s1, Figure S1: Stratified Kaplan-Meier survival curves of TCSS based on subgroup of age and histology; Table S1: Demographic and clinicopathologic features of thyroid cancer patients with and without lung metastases; Table S2: Surgical types of primary site in TCLM patients.

Author Contributions

S.Z., M.Z. and H.Z. made substantial contributions to the acquisition, analysis, and interpretation of data. S.Z., M.Z. and X.F. all played a central role in the conception and design of the manuscript. The manuscript was written by S.Z. and M.Z. H.Z., X.F. and J.Z. were involved in critically revising it for important intellectual content. H.L. made significant contributions to supervision, review writing, and editing. F.Y. contributed massively to the conception, obtaining of funds, supervision, writing evaluations, and editing. All authors have read and agreed to the published version of the manuscript.

Funding

The study was supported by research grants from National Natural Science Foundation of China (82071956), Clinical Research Plan of SHDC (2020CR4065), National Key Research and Development Program of China (2020YFA0909000), National Natural Science Foundation of China (82127807), and Shanghai Key Laboratory of Molecular Imaging (18DZ2260400).

Institutional Review Board Statement

Not applicable.

Informed Consent Statement

Not applicable.

Data Availability Statement

These researchers analyzed publicly available datasets. This information can be found here: “https://seer.cancer.gov/”.

Acknowledgments

The authors would like to thank all of the patients who participated in this study. The authors wish to thank everyone in Surveillance, Epidemiology, and End Results for their help in collecting medical records.

Conflicts of Interest

The authors have no relevant financial or non-financial interests to disclose.

Abbreviations

Thyroid cancer (TC); Differentiated thyroid cancer patients with lung metastasis (DTC–LM); Journal of the National Cancer Center (JNCC); differentiated thyroid cancer (DTC); medullary thyroid cancer (MTC); anaplastic thyroid cancer (ATC); Papillary thyroid cancer (PTC); follicular thyroid cancer (FTC); Radioiodine therapy (RAI); thyroid cancer with lung metastasis (TCLM); American Thyroid Association (ATA); The Surveillance, Epidemiology, and End Results (SEER); American Joint Committee on Cancer (AJCC); Collaborative Staging (CS); odds ratio (OR); overall survival (OS); thyroid cancer-specific survival (TCSS); hazard ratio (HR); lung metastasis (LM); confidence intervals (CI); radioiodine-refractory thyroid cancer (RAIR-TC); thyroxine kinase inhibitors (TKI).

References

  1. Liu, S.; Zuo, R.; Yang, T.; Pang, H.; Wang, Z. A semiquantitative study of the optimal whole-body imaging time after 131I therapy for differentiated thyroid cancer. Front. Endocrinol. 2022, 13, 955387. [Google Scholar] [CrossRef] [PubMed]
  2. Bao, W.-Q.; Zi, H.; Yuan, Q.-Q.; Li, L.-Y.; Deng, T. Global burden of thyroid cancer and its attributable risk factors in 204 countries and territories from 1990 to 2019. Thorac. Cancer 2021, 12, 2494–2503. [Google Scholar] [CrossRef] [PubMed]
  3. Zheng, R.; Zhang, S.; Zeng, H.; Wang, S.; Sun, K.; Chen, R.; Li, L.; Wei, W.; He, J. Cancer incidence and mortality in China, 2016. J. Natl. Cancer Cent. 2022, 2, 1–9. [Google Scholar] [CrossRef]
  4. Araque, K.A.; Gubbi, S.; Klubo-Gwiezdzinska, J. Updates on the Management of Thyroid Cancer. Horm. Metab. Res. 2020, 52, 562–577. [Google Scholar] [CrossRef] [PubMed]
  5. Fallahi, P.; Ferrari, S.M.; Galdiero, M.R.; Varricchi, G.; Elia, G.; Ragusa, F.; Paparo, S.R.; Benvenga, S.; Antonelli, A. Molecular targets of tyrosine kinase inhibitors in thyroid cancer. Semin. Cancer Biol. 2022, 79, 180–196. [Google Scholar] [CrossRef] [PubMed]
  6. Raue, F.; Frank-Raue, K. Thyroid Cancer: Risk-Stratified Management and Individualized Therapy. Clin. Cancer Res. 2016, 22, 5012–5021. [Google Scholar] [CrossRef] [PubMed]
  7. Sheu, N.-W.; Jiang, H.-J.; Wu, C.-W.; Chiang, F.-Y.; Chiou, H.-Y.C.; Hsiao, P.-J. Lenvatinib complementary with radioiodine therapy for patients with advanced differentiated thyroid carcinoma: Case reports and literature review. World J. Surg. Oncol. 2019, 17, 84. [Google Scholar] [CrossRef]
  8. Cai, M.; Ni, W.-J.; Wang, Y.-H.; Wang, J.-J.; Zhou, H. Targeting TMEM88 as an Attractive Therapeutic Strategy in Malignant Tumors. Front. Oncol. 2022, 12, 906372. [Google Scholar] [CrossRef]
  9. Maciel, J.; Cavaco, D.; Silvestre, C.; Pereira, J.S.; Vilar, H.; Leite, V. Clinical outcomes of a cohort of 271 patients with lung metastases from differentiated thyroid carcinoma. Clin. Endocrinol. 2022, 97, 814–821. [Google Scholar] [CrossRef]
  10. Liu, W.; Wang, S.; Ye, Z.; Xu, P.; Xia, X.; Guo, M. Prediction of lung metastases in thyroid cancer using machine learning based on SEER database. Cancer Med. 2022, 11, 2503–2515. [Google Scholar] [CrossRef]
  11. Li, C.; Wu, Q.; Sun, S. Radioactive Iodine Therapy in Patients With Thyroid Carcinoma With Distant Metastases: A SEER-Based Study. Cancer Control 2020, 27, 1–9. [Google Scholar] [CrossRef] [PubMed]
  12. Nixon, I.J.; Whitcher, M.M.; Palmer, F.L.; Tuttle, R.M.; Shaha, A.R.; Shah, J.P.; Patel, S.G.; Ganly, I. The impact of distant metastases at presentation on prognosis in patients with differentiated carcinoma of the thyroid gland. Thyroid 2012, 22, 884–889. [Google Scholar] [CrossRef]
  13. Hirsch, D.; Levy, S.; Tsvetov, G.; Gorshtein, A.; Slutzky-Shraga, I.; Akirov, A.; Robenshtok, E.; Shimon, I.; Benbassat, C.A. Long-term Outcomes and Prognostic Factors in Patients with Differentiated Thyroid Cancer and Distant Metastases. Endocr. Pract. 2017, 23, 1193–1200. [Google Scholar] [CrossRef] [PubMed]
  14. Altorki, N.K.; Markowitz, G.J.; Gao, D.; Port, J.L.; Saxena, A.; Stiles, B.; McGraw, T.; Mittal, V. The lung microenvironment: An important regulator of tumour growth and metastasis. Nat. Rev. Cancer 2019, 19, 9–31. [Google Scholar] [CrossRef] [PubMed]
  15. Ferrari, S.M.; Fallahi, P.; Politti, U.; Materazzi, G.; Baldini, E.; Ulisse, S.; Miccoli, P.; Antonelli, A. Molecular Targeted Therapies of Aggressive Thyroid Cancer. Front. Endocrinol. 2015, 6, 176. [Google Scholar] [CrossRef] [PubMed]
  16. Kondraciuk, J.D.; Rice, S.L.; Zhou, X.; Gharzeddine, K.; Knezevic, A.; Spratt, D.E.; Sabra, M.; Larson, S.M.; Grewal, R.K.; Osborne, J.R. Thyroid Cancer Bone Metastasis: Survival and Genomic Characteristics of a Large Tertiary Care Cohort. Clin. Nucl. Med. 2019, 44, e465–e471. [Google Scholar] [CrossRef] [PubMed]
  17. Sohn, S.Y.; Kim, H.I.; Kim, Y.N.; Kim, T.H.; Kim, S.W.; Chung, J.H. Prognostic indicators of outcomes in patients with lung metastases from differentiated thyroid carcinoma during long-term follow-up. Clin. Endocrinol. 2018, 88, 318–326. [Google Scholar] [CrossRef]
  18. Yang, J.; Zheng, R.; Liang, M.; Jia, Y.; Lin, L.; Geng, J.; Chen, S.; Li, Y.-X. Association of the Cumulative Dose of Radioactive Iodine Therapy With Overall Survival in Patients With Differentiated Thyroid Cancer and Pulmonary Metastases. Front. Oncol. 2019, 9, 558. [Google Scholar] [CrossRef]
  19. Lorusso, L.; Cappagli, V.; Valerio, L.; Giani, C.; Viola, D.; Puleo, L.; Gambale, C.; Minaldi, E.; Campopiano, M.C.; Matrone, A.; et al. Thyroid Cancers: From Surgery to Current and Future Systemic Therapies through Their Molecular Identities. Int. J. Mol. Sci. 2021, 22, 3117. [Google Scholar] [CrossRef]
  20. NCCN Guidelines for Patients Thyroid Cancer. Thyroid Cancer. 2020. Available online: http://nccn.org/patients (accessed on 23 February 2024).
  21. Haugen, B.R.; Alexander, E.K.; Bible, K.C.; Doherty, G.M.; Mandel, S.J.; Nikiforov, Y.E.; Pacini, F.; Randolph, G.W.; Sawka, A.M.; Schlumberger, M.; et al. 2015 American Thyroid Association Management Guidelines for Adult Patients with Thyroid Nodules and Differentiated Thyroid Cancer: The American Thyroid Association Guidelines Task Force on Thyroid Nodules and Differentiated Thyroid Cancer. Thyroid 2016, 26, 1–133. [Google Scholar] [CrossRef]
  22. Kim, M.; Kim, W.G.; Park, S.; Kwon, H.; Jeon, M.J.; Lee, J.J.; Ryu, J.-S.; Kim, T.Y.; Shong, Y.K.; Kim, W.B. Initial Size of Metastatic Lesions Is Best Prognostic Factor in Patients with Metastatic Differentiated Thyroid Carcinoma Confined to the Lung. Thyroid 2017, 27, 49–58. [Google Scholar] [CrossRef]
  23. Song, H.-J.; Qiu, Z.-L.; Shen, C.-T.; Wei, W.-J.; Luo, Q.-Y. Pulmonary metastases in differentiated thyroid cancer: Efficacy of radioiodine therapy and prognostic factors. Eur. J. Endocrinol. 2015, 173, 399–408. [Google Scholar] [CrossRef]
  24. National Cancer Institute. International Classification of Diseases for Oncology, 3rd ed.; Definitions; Qeios: London, UK, 2020. [Google Scholar]
  25. Aizer, A.A.; Chen, M.-H.; McCarthy, E.P.; Mendu, M.L.; Koo, S.; Wilhite, T.J.; Graham, P.L.; Choueiri, T.K.; Hoffman, K.E.; Martin, N.E.; et al. Marital status and survival in patients with cancer. J. Clin. Oncol. 2013, 31, 3869–3876. [Google Scholar] [CrossRef]
  26. Ai, L.; Li, N.; Tan, H.-L.; Wei, B.; Zhao, Y.-X.; Chen, P.; Hu, H.-Y.; Liu, M.; Ou-Yang, D.-J.; Qin, Z.-E.; et al. Effects of marital status on survival of medullary thyroid cancer stratified by age. Cancer Med. 2021, 10, 8829–8837. [Google Scholar] [CrossRef] [PubMed]
  27. Zhong, M.; Khan, F.Z.; He, X.; Cui, L.; Lei, K.; Ge, M. Impact of Lung Metastasis versus Metastasis of Bone, Brain, or Liver on Overall Survival and Thyroid Cancer-Specific Survival of Thyroid Cancer Patients: A Population-Based Study. Cancers 2022, 14, 3133. [Google Scholar] [CrossRef] [PubMed]
  28. Colombo, C.; Minna, E.; Gargiuli, C.; Muzza, M.; Dugo, M.; De Cecco, L.; Pogliaghi, G.; Tosi, D.; Bulfamante, G.; Greco, A.; et al. The molecular and gene/miRNA expression profiles of radioiodine resistant papillary thyroid cancer. J. Exp. Clin. Cancer Res. 2020, 39, 245. [Google Scholar] [CrossRef] [PubMed]
  29. Zhang, X.; Liu, D.-S.; Luan, Z.-S.; Zhang, F.; Liu, X.-H.; Zhou, W.; Zhong, S.-F.; Lai, H. Efficacy of radioiodine therapy for treating 20 patients with pulmonary metastases from differentiated thyroid cancer and a meta-analysis of the current literature. Clin. Transl. Oncol. 2018, 20, 928–935. [Google Scholar] [CrossRef] [PubMed]
  30. Avram, A.M.; Zukotynski, K.; Nadel, H.R.; Giovanella, L. Management of Differentiated Thyroid Cancer: The Standard of Care. J. Nucl. Med. 2022, 63, 189–195. [Google Scholar] [CrossRef]
  31. Moneke, I.; Kaifi, J.T.; Kloeser, R.; Samson, P.; Haager, B.; Wiesemann, S.; Diederichs, S.; Passlick, B. Pulmonary metastasectomy for thyroid cancer as salvage therapy for radioactive iodine-refractory metastases. Eur. J. Surg. 2018, 53, 625–630. [Google Scholar] [CrossRef]
  32. Schlumberger, M.; Challeton, C.; De Vathaire, F.; Travagli, J.P.; Gardet, P.; Lumbroso, J.D.; Francese, C.; Fontaine, F.; Ricard, M.; Parmentier, C. Radioactive iodine treatment and external radiotherapy for lung and bone metastases from thyroid carcinoma. J. Nucl. Med. 1996, 37, 598–605. [Google Scholar]
  33. Khan, J.H.; McElhinney, D.B.; Rahman, S.B.; George, T.I.; Clark, O.H.; Merrick, S.H. Pulmonary metastases of endocrine origin: The role of surgery. Chest 1998, 114, 526–534. [Google Scholar] [CrossRef] [PubMed][Green Version]
  34. Iwasaki, H.; Yamazaki, H.; Takasaki, H.; Suganuma, N.; Sakai, R.; Nakayama, H.; Hatori, S.; Toda, S.; Masudo, K. Treatment outcomes of differentiated thyroid cancer with distant metastasis improve by tyrosine kinase inhibitors. Oncol. Lett. 2019, 17, 5292–5300. [Google Scholar] [CrossRef] [PubMed]
  35. Tahara, M.; Kiyota, N.; Hoff, A.O.; Badiu, C.; Owonikoko, T.K.; Dutcus, C.E.; Suzuki, T.; Ren, M.; Wirth, L.J. Impact of lung metastases on overall survival in the phase 3 SELECT study of lenvatinib in patients with radioiodine-refractory differentiated thyroid cancer. Eur. J. Cancer 2021, 147, 51–57. [Google Scholar] [CrossRef] [PubMed]
  36. Leong, D.; Gill, A.J.; Turchini, J.; Waller, M.; Clifton-Bligh, R.; Glover, A.; Sywak, M.; Sidhu, S. The Prognostic Impact of Extent of Vascular Invasion in Follicular Thyroid Carcinoma. World J. Surg. 2022, 47, 412–420. [Google Scholar] [CrossRef]
  37. Le, M.-K.; Kawai, M.; Odate, T.; Vuong, H.G.; Oishi, N.; Kondo, T. Metastatic Risk Stratification of 2526 Medullary Thyroid Carcinoma Patients: A Study Based on Surveillance, Epidemiology, and End Results Database. Endocr. Pathol. 2022, 33, 348–358. [Google Scholar] [CrossRef]
  38. Ho, A.S.; Luu, M.; Shafqat, I.; Mallen-St Clair, J.; Chen, M.M.; Chen, Y.; Jain, M.; Ali, N.; Patio, C.; Filarski, C.F.; et al. Predictive Impact of Metastatic Lymph Node Burden on Distant Metastasis Across Papillary Thyroid Cancer Variants. Thyroid 2021, 31, 1549–1557. [Google Scholar] [CrossRef]
Figure 1. The schematic workflow of patient selection (By Figdraw). SEER: The Surveillance, Epidemiology, and End Results; TCLM: Thyroid cancer with lung metastasis.
Figure 1. The schematic workflow of patient selection (By Figdraw). SEER: The Surveillance, Epidemiology, and End Results; TCLM: Thyroid cancer with lung metastasis.
Biomedicines 12 00532 g001
Figure 2. Stratified Kaplan–Meier survival curves of TCSS based on subgroups of age, histology, and lung metastasis. (a) In TCLM patients who underwent RAI treatment following primary surgery, younger patients (age < 55 years) exhibited enhanced TCSS compared to older patients (age ≥ 55 years). (b) Among TCLM patients who underwent primary site surgery and received RAI therapy, no statistical difference in TCSS was observed between PTC patients and FTC patients. (ce) Among TCLM patients who underwent primary site surgery and received RAI therapy, those with only lung metastasis exhibited superior TCSS compared to those with a combination of lung and one other distant metastasis. Only lung: Thyroid cancer patients with single organ metastases at lung; Lung + 1: Thyroid cancer patients combined with lung and one other distant metastasis; Lung + 2: Thyroid cancer patients combined with lung and other several distant metastases.
Figure 2. Stratified Kaplan–Meier survival curves of TCSS based on subgroups of age, histology, and lung metastasis. (a) In TCLM patients who underwent RAI treatment following primary surgery, younger patients (age < 55 years) exhibited enhanced TCSS compared to older patients (age ≥ 55 years). (b) Among TCLM patients who underwent primary site surgery and received RAI therapy, no statistical difference in TCSS was observed between PTC patients and FTC patients. (ce) Among TCLM patients who underwent primary site surgery and received RAI therapy, those with only lung metastasis exhibited superior TCSS compared to those with a combination of lung and one other distant metastasis. Only lung: Thyroid cancer patients with single organ metastases at lung; Lung + 1: Thyroid cancer patients combined with lung and one other distant metastasis; Lung + 2: Thyroid cancer patients combined with lung and other several distant metastases.
Biomedicines 12 00532 g002
Table 1. Demographic and clinicopathologic features of thyroid cancer patients with lung metastases.
Table 1. Demographic and clinicopathologic features of thyroid cancer patients with lung metastases.
AllRadioiodine Therapyp
AbsencePresence
(n = 609)(n = 386)(n = 223)
Sex
Female (n,%)31752.1%20152.1%11652.0%<0.001
Male (n,%)29247.9%18547.9%10748.0%
Race
White (n,%)46376.0%288774.6%17578.5%0.443
Black (n,%)426.90%307.80%125.40%
Other (n,%)10417.1%6817.6%3616.1%
Marital status
Single (n,%)13321.8%7419.2%5926.5%0.010
Married (n,%)34356.3%21455.4%12957.8%
Divorced (n,%)447.20%297.50%156.70%
Widowed (n,%)8914.6%6917.9%209.00%
Age (years)
<55 (n,%)17729.1%8722.5%9040.4%<0.001
≥55 (n,%)43270.9%29977.5%13359.6%
Histology
PTC (n,%)36960.6%17645.6%193193%<0.001
MTC (n,%)254.10%256.50%00.00%
FTC (n,%)6711.0%389.80%2913.0%
ATC (n,%)14824.3%14738.1%10.40%
Tumor size (mm)
≤10 (n,%)294.80%153.90%146.30%<0.001
11–20 (n,%)6911.3%277.00%4218.8%
21–40 (n,%)16026.3%8221.2%7835.0%
>40 (n,%)35157.6%26267.9%8939.9%
Stage <0.001
II (n,%)7913.0%256.50%5424.4%
IV (n,%)52986.9%36093.3%16975.8%
Unknown (n,%)10.20%10.30%00.00%
T
T1 (n,%)416.70%164.10%2511.2%<0.001
T2 (n,%)447.20%246.20%209.00%
T3 (n,%)16026.3%5915.3%10145.3%
T4 (n,%)35257.8%27972.3%7332.7%
TX (n,%)91.50%61.60%31.30%
T0 (n,%)30.50%20.50%10.40%
N
N0 (n,%)16326.8%11128.8%5223.3%<0.001
N1 (n,%)41668.3%25365.5%16373.1%
NX (n,%)304.90%225.70%83.60%
Surgery of primary site
No (n,%)17528.7%17445.1%10.40%<0.001
Yes (n,%)43471.3%21254.9%22299.6%
LM
Only lung (n,%)44072.2%25064.8%19085.2%<0.001
Lung + 1(n,%)12921.2%9925.6%3013.5%
Lung + 2 (n,%)406.60%379.60%31.30%
TNM categories, stage groups, and definitions used by SEER are based on the AJCC 7th Edition; LM: lung metastasis; Only lung: TC patients with single organ metastases at lung; Lung + 1: TC patients combined with lung and other one distant metastasis; Lung + 2: TC patients combined with lung and other several distant metastases.
Table 2. Univariate and multivariable Cox analysis of overall survival and thyroid cancer-specific survival in TCLM patients.
Table 2. Univariate and multivariable Cox analysis of overall survival and thyroid cancer-specific survival in TCLM patients.
VariableUnivariate AnalysisMultivariate Analysis
Overall SurvivalSpecific SurvivalOverall SurvivalSpecific Survival
HR (95%CI)pHR (95%CI)pHR (95%CI)pHR (95%CI)p
Sex
FemaleRef Ref / /
Male1.027 (0.835–1.263)0.8020.980 (0.789–1.217)0.855////
Race
WhiteRef Ref / /
Black0.668 (0.419–1.063)0.0880.737 (0.463–1.175)0.200////
Other0.908 (0.683–1.207)0.5060.908 (0.673–1.223)0.524////
Marital status
SingleRef Ref / /
Married0.406 (0.287–0.576)<0.0011.593 (1.173–2.164)0.003////
Divorced0.639 (0.485–0.843)0.0021.559 (0.969–2.509)0.067////
Widowed0.633 (0.407–0.985)0.0432.660 (1.848–3.827)<0.001////
Age (years)
<55Ref Ref Ref Ref
≥552.474 (1.885–3.246)<0.0012.264 (1.715–2.988)<0.0011.343 (0.989–1.823)0.0591.225 (0.897–1.672)0.201
Histology
PTCRef Ref Ref Ref
MTC2.233 (1.350–3.695)0.0022.333 (1.386–3.925)0.0010.892 (0.519–1.534)0.6800.917 (0.523–1.605)0.761
FTC1.578 (1.118–2.229)0.0101.425 (0.974–2.085)0.0681.231 (0.848–1.788)0.2751.124 (0.747–1.691)0.575
ATC10.827 (8.256–14.200)<0.00111.005 (8.316–14.564)<0.0013.981 (2.876–5.512)<0.0013.864 (2.763–5.403)<0.001
Tumor size (mm)
≤10Ref Ref Ref Ref
11–201.265 (0.634–2.526)0.5051.044 (0.514–2.123)0.9051.462 (0.704–3.038)0.3081.222 (0.577–2.588)0.601
21–401.381 (0.732–2.607)0.3191.193 (0.628–2.266)0.5901.117 (0.549–2.271)0.7611.023 (0.499–2.097)0.952
>402.868 (1.566–5.252)0.0012.612 (1.425–4.786)0.0021.397 (0.708–2.756)0.3351.228 (0.618–2.437)0.558
Stage
IIRef Ref Ref Ref
IV7.143 (3.915–13.036)<0.0016.996 (3.724–13.144)<0.0012.794 (1.433–5.447)0.0032.768 (1.379–5.556)0.004
Unknown17.813 (2.210–133.618)0.00717.65 (2.251–138.415)<0.0011.698 (0.161–17.934)0.6602.087 (0.182–23.883)0.554
T
T1Ref Ref Ref Ref
T21.212 (0.576–2.548)0.6120.947 (0.402–2.229)0.9001.068 (0.448–2.548)0.8810.791 (0.297–2.105)0.639
T31.043 (0.569–1.914)0.8921.044 (0.540–2.018)0.8991.028 (0.517–2.043)0.9381.012 (0.482–2.127)0.975
T44.238 (2.425–7.405)<0.0014.614 (2.519–8.451)<0.0011.798 (0.922–3.507)0.0851.868 (0.910–3.832)0.088
TX2.111 (0.752–5.926)0.1561.965 (0.625–6.177)0.2480.895 (0.272–2.947)0.8550.731 (0.190–2.817)0.649
T00.874 (0.114–6.692)0.8971.076 (0.139–8.333)0.9440.663 (0.080–5.496)0.7030.734 (0.088–6.140)0.775
N
N0Ref Ref Ref Ref
N11.061 (0.836–1.346)0.6271.083 (0.843–1.391)0.5331.260 (0.972–1.634)0.0811.225 (0.933–1.608)0.144
NX1.931 (1.224–3.048)0.0052.041 (1.276–3.264)0.0031.771 (1.084–2.895)0.0231.848 (1.114–3.066)0.017
LM
Only lungRef Ref Ref Ref
Lung + 11.635 (1.282–2.084)<0.0011.679 (1.304–2.162)<0.0011.299 (1.002–1.684)0.0481.359 (1.039–1.779)0.025
Lung + 22.505 (1.741–3.604)<0.0012.622 (1.809–3.800)<0.0011.347 (0.917–1.978)0.1291.403 (0.948–2.076)0.091
Surgery of primary site
NoRef Ref Ref Ref
Yes0.223 (0.179–0.278)<0.0010.224 (0.178–0.282)<0.0010.653 (0.506–0.842)0.0010.664 (0.510–0.864)0.002
RAI
NoRef Ref Ref Ref
Yes0.188 (0.142–0.248)<0.0010.169 (0.124–0.229)<0.0010.397 (0.283–0.558)<0.0010.371 (0.257–0.535)<0.001
TNM categories, stage groups, and definitions used by SEER are based on the AJCC 7th Edition. LM: lung metastasis; Only lung: TC patients with single organ metastases at lung; Lung + 1: TC patients combined with lung and other one distant metastasis; Lung + 2: TC patients combined with lung and other several distant metastases; RAI: radioiodine therapy.
Table 3. Multivariable Cox analysis of overall survival and thyroid cancer-specific survival in TCLM patients following surgery of primary site.
Table 3. Multivariable Cox analysis of overall survival and thyroid cancer-specific survival in TCLM patients following surgery of primary site.
VariableN (%)Overall SurvivalSpecific Survival
HR (95%CI)pHR (95%CI)p
Age (years)
<55156 (35.9%)Ref Ref
≥55278 (64.1%)1.484 (1.018–2.165)0.0401.379 (0.937–2.028)0.103
Histology
PTC316 (72.8%)Ref Ref
MTC13 (3.0%)1.038 (0.485–2.220)0.9241.087 (0.505–2.342)0.831
FTC50 (11.5%)1.396 (0.890–2.189)0.1461.284 (0.779–2.116)0.328
ATC55 (12.7%)4.672 (2.964–7.366)<0.0014.626 (2.890–7.405)<0.001
Tumor size (mm)
≤1025 (5.8%)Ref Ref
11–2061 (14.1%)0.964 (0.421–2.211)0.9320.839 (0.358–1.962)0.685
21–40129 (29.7%)0.781 (0.344–1.777)0.5560.673 (0.292–1.552)0.354
>40219 (50.5%)0.952 (0.432–2.097)0.9030.808 (0.363–1.799)0.602
Stage
II77 (17.7%)Ref Ref
IV357 (82.3%)2.631 (1.238–5.592)0.0122.589 (1.170–5.728)0.019
T
T136 (8.3%)Ref Ref
T232 (7.4%)1.213 (0.385–3.818)0.7420.836 (0.216–3.231)0.795
T3147 (33.9%)1.516 (0.648–3.545)0.3371.501 (0.604–3.731)0.382
T4213 (49.1%)3.133 (1.366–7.187)0.0073.358 (1.386–8.133)0.007
TX4 (0.9%)2.892 (0.588–14.221)0.1911.757 (0.208–14.854)0.605
T02 (0.5%)0.000 (–)0.9510.000 (–)0.955
LM
Only lung329 (75.8%)Ref Ref
Lung + 185 (19.6%)1.551 (1.097–2.194)0.0131.725 (1.207–2.464)0.003
Lung + 220 (4.6%)1.866 (1.064–3.274)0.031.837 (1.026–3.288)0.041
RAI
No212 (48.8%)Ref Ref
Yes222 (51.2%)0.507 (0.350–0.733)<0.0010.482 (0.323–0.718)<0.001
TNM categories, stage groups, and definitions used by SEER are based on the AJCC 7th Edition. LM: lung metastasis; Only lung: Thyroid cancer patients with single organ metastases at lung; Lung + 1: Thyroid cancer patients combined with lung and other one distant metastasis; Lung + 2: Thyroid cancer patients combined with lung and other several distant metastases; RAI: radioiodine therapy.
Disclaimer/Publisher’s Note: The statements, opinions and data contained in all publications are solely those of the individual author(s) and contributor(s) and not of MDPI and/or the editor(s). MDPI and/or the editor(s) disclaim responsibility for any injury to people or property resulting from any ideas, methods, instructions or products referred to in the content.

Share and Cite

MDPI and ACS Style

Zhang, S.; Zhu, M.; Zhang, H.; Liu, H.; Fan, X.; Zhang, J.; Yu, F. The Effect of Radioiodine Therapy on the Prognosis of Differentiated Thyroid Cancer with Lung Metastases. Biomedicines 2024, 12, 532. https://doi.org/10.3390/biomedicines12030532

AMA Style

Zhang S, Zhu M, Zhang H, Liu H, Fan X, Zhang J, Yu F. The Effect of Radioiodine Therapy on the Prognosis of Differentiated Thyroid Cancer with Lung Metastases. Biomedicines. 2024; 12(3):532. https://doi.org/10.3390/biomedicines12030532

Chicago/Turabian Style

Zhang, Shenghong, Mengqin Zhu, Han Zhang, Hanhui Liu, Xin Fan, Jiajia Zhang, and Fei Yu. 2024. "The Effect of Radioiodine Therapy on the Prognosis of Differentiated Thyroid Cancer with Lung Metastases" Biomedicines 12, no. 3: 532. https://doi.org/10.3390/biomedicines12030532

APA Style

Zhang, S., Zhu, M., Zhang, H., Liu, H., Fan, X., Zhang, J., & Yu, F. (2024). The Effect of Radioiodine Therapy on the Prognosis of Differentiated Thyroid Cancer with Lung Metastases. Biomedicines, 12(3), 532. https://doi.org/10.3390/biomedicines12030532

Note that from the first issue of 2016, this journal uses article numbers instead of page numbers. See further details here.

Article Metrics

Back to TopTop