The Association between Gut Microbiota and Serum Biomarkers in Children with Atopic Dermatitis
Abstract
1. Introduction
2. Materials and Methods
2.1. Study Design and Population
2.1.1. Participants
- -
- Age between 3 and 12 years;
- -
- Absence of atopic dermatitis and food allergies;
- -
- Absence of infectious diseases in the acute phase;
- -
- Absence of chronic diseases of the gastrointestinal tract, cardiovascular system, kidneys, respiratory organs, or endocrine disorders;
- -
- No regular intake of medicines, or biologically active supplements (including probiotics), or antibiotics (including other antibacterial drugs), or probiotics in the last two months;
- -
- Availability of a set of necessary documents signed by a parent or legal representative of the child;
- -
- Sampling of stool and blood samples that do not affect the patient’s current health status.
- -
- A confirmed diagnosis of atopic dermatitis, with elevated levels of immunoglobulin E, and possible food allergies (but these are not exclusion criteria);
- -
- Availability of necessary documents signed by a parent or legal representative of the child;
- -
- Collection of stool and blood samples that do not affect the patient’s current health;
- -
- Age between 3 and 12 years;
- -
- Absence of any acute or chronic infectious diseases, including those affecting the gastrointestinal, cardiovascular, respiratory, renal, endocrine or oncological systems. Also, autoimmune diseases are not allowed;
- -
- No current medications or supplements, including probiotics, or antibiotics, or probiotics use in the last two months.
2.1.2. Ethical Statements
- Informed consent to participate in the research study. The informed consent form is available in the Supplementary Materials. We used the informed consent form, as we did in our previous study [27].
- Informed consent regarding the processing of personal information.
- Informed permission for medical procedures.
2.1.3. Samples
2.2. DNA Isolation and Library Preparation
2.3. Multiplex Analysis of the Cytokine/Chemokine Profiles of Blood Serum
2.4. Processing and Analysis of Metagenomic Data
2.5. Statistical Analysis
2.5.1. Software
2.5.2. Data Preprocessing
2.5.3. Alpha and Beta Diversity Analysis
2.5.4. Statistical Analysis of the Population
2.5.5. Correlation Analysis
3. Results
3.1. Diversity Analysis of the Gut Microbiota
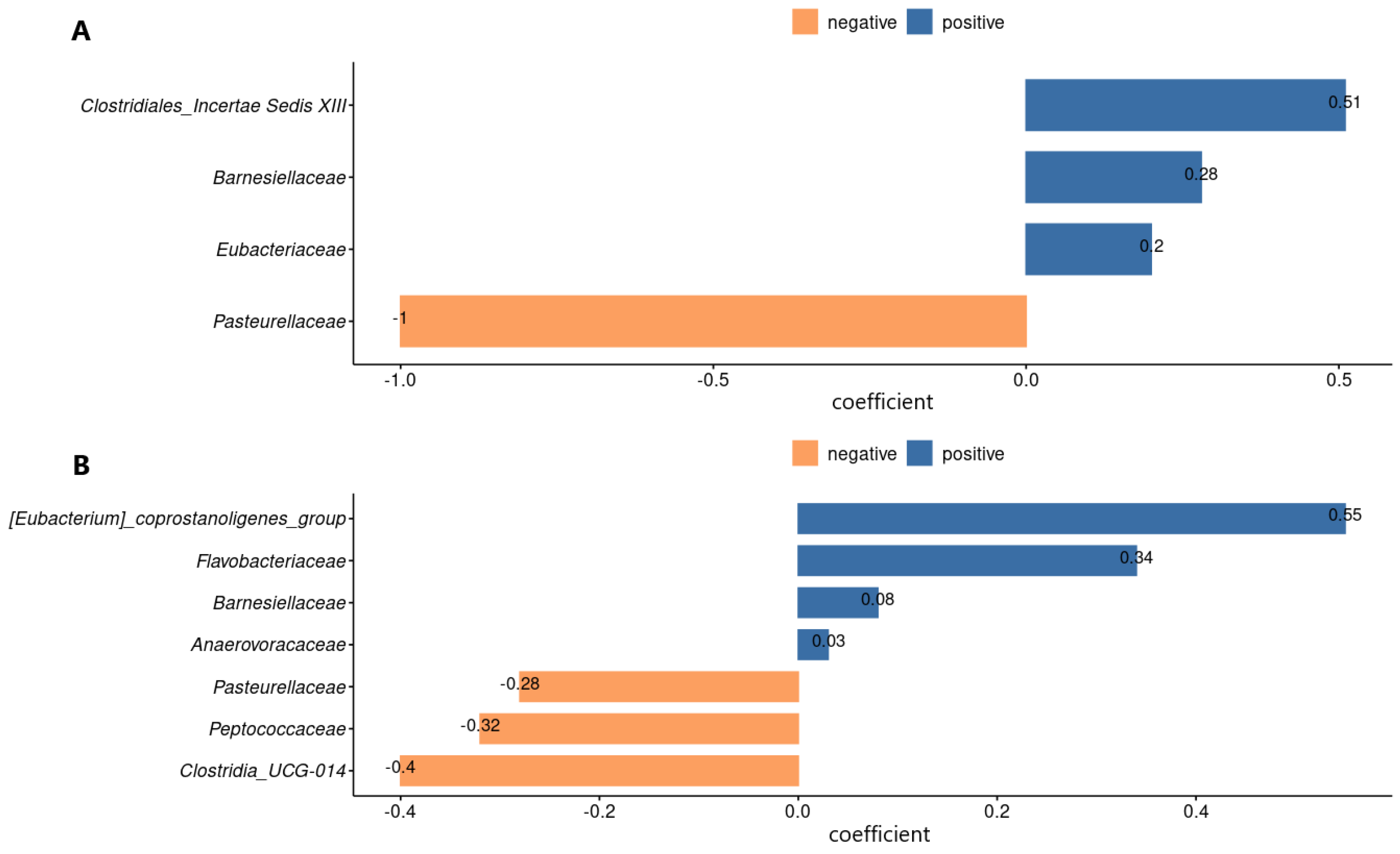
3.2. Changes in the Composition of the Microbiota Associated with Atopic Dermatitis
3.3. Results of Cytokine Level Analysis
3.4. Association of Changes in Cytokine Profile and Microbiome Composition
3.5. Correlations between Individual Bacterial Taxa and Cytokines/Chemokines
4. Discussion
5. Conclusions
Supplementary Materials
Author Contributions
Funding
Institutional Review Board Statement
Informed Consent Statement
Data Availability Statement
Conflicts of Interest
References
- Lozupone, C.A.; Stombaugh, J.I.; Gordon, J.I.; Jansson, J.K.; Knight, R. Diversity, Stability and Resilience of the Human Gut Microbiota. Nature 2012, 489, 220–230. [Google Scholar] [CrossRef]
- Milani, C.; Duranti, S.; Bottacini, F.; Casey, E.; Turroni, F.; Mahony, J.; Belzer, C.; Delgado Palacio, S.; Arboleya Montes, S.; Mancabelli, L.; et al. The First Microbial Colonizers of the Human Gut: Composition, Activities, and Health Implications of the Infant Gut Microbiota. Microbiol. Mol. Biol. Rev. 2017, 81, e00036-17. [Google Scholar] [CrossRef] [PubMed]
- Chen, Y.; Zhou, J.; Wang, L. Role and Mechanism of Gut Microbiota in Human Disease. Front. Cell. Infect. Microbiol. 2021, 11, 625913. [Google Scholar] [CrossRef] [PubMed]
- Belkaid, Y.; Hand, T.W. Role of the Microbiota in Immunity and Inflammation. Cell 2014, 157, 121–141. [Google Scholar] [CrossRef]
- Maiello, N.; Comberiati, P.; Giannetti, A.; Ricci, G.; Carello, R.; Galli, E. New Directions in Understanding Atopic March Starting from Atopic Dermatitis. Child 2022, 9, 450. [Google Scholar] [CrossRef] [PubMed]
- Kim, J.-H.; Kim, K.; Kim, W. Gut Microbiota Restoration through Fecal Microbiota Transplantation: A New Atopic Dermatitis Therapy. Exp. Mol. Med. 2021, 53, 907–916. [Google Scholar] [CrossRef]
- Hu, T.; Dong, Y.; Yang, C.; Zhao, M.; He, Q. Pathogenesis of Children’s Allergic Diseases: Refocusing the Role of the Gut Microbiota. Front. Physiol. 2021, 12, 749544. [Google Scholar] [CrossRef]
- Homey, B.; Steinhoff, M.; Ruzicka, T.; Leung, D.Y.M. Cytokines and Chemokines Orchestrate Atopic Skin Inflammation. J. Allergy Clin. Immunol. 2006, 118, 178–189. [Google Scholar] [CrossRef]
- Renert-Yuval, Y.; Thyssen, J.P.; Bissonnette, R.; Bieber, T.; Kabashima, K.; Hijnen, D.; Guttman-Yassky, E. Biomarkers in Atopic Dermatitis-a Review on Behalf of the International Eczema Council. J. Allergy Clin. Immunol. 2021, 147, 1174–1190.e1. [Google Scholar] [CrossRef]
- Furue, M. T Helper Type 2 Signatures in Atopic Dermatitis. J. Cutan. Immunol. Allergy 2018, 1, 93–99. [Google Scholar] [CrossRef]
- Bieber, T. Atopic Dermatitis. Ann. Dermatol. 2010, 22, 125–137. [Google Scholar] [CrossRef] [PubMed]
- Brunner, P.M.; Leung, D.Y.M.; Guttman-Yassky, E. Immunologic, Microbial, and Epithelial Interactions in Atopic Dermatitis. Ann. Allergy Asthma Immunol. Off. Publ. Am. Coll. Allergy Asthma Immunol. 2018, 120, 34–41. [Google Scholar] [CrossRef] [PubMed]
- Molloy, J.; Allen, K.; Collier, F.; Tang, M.L.K.; Ward, A.C.; Vuillermin, P. The Potential Link between Gut Microbiota and IgE-Mediated Food Allergy in Early Life. Int. J. Environ. Res. Public Health 2013, 10, 7235–7256. [Google Scholar] [CrossRef] [PubMed]
- Kashtanova, D.A.; Popenko, A.S.; Tkacheva, O.N.; Tyakht, A.B.; Alexeev, D.G.; Boytsov, S.A. Association between the Gut Microbiota and Diet: Fetal Life, Early Childhood, and Further Life. Nutrition 2016, 32, 620–627. [Google Scholar] [CrossRef]
- Wopereis, H.; Sim, K.; Shaw, A.; Warner, J.O.; Knol, J.; Kroll, J.S. Intestinal Microbiota in Infants at High Risk for Allergy: Effects of Prebiotics and Role in Eczema Development. J. Allergy Clin. Immunol. 2018, 141, 1334–1342.e5. [Google Scholar] [CrossRef]
- Blázquez, A.B.; Berin, M.C. Microbiome and Food Allergy. Transl. Res. 2017, 179, 199–203. [Google Scholar] [CrossRef]
- Saxton, R.A.; Glassman, C.R.; Garcia, K.C. Emerging Principles of Cytokine Pharmacology and Therapeutics. Nat. Rev. Drug Discov. 2023, 22, 21–37. [Google Scholar] [CrossRef]
- Novak, N.; Leung, D.Y.M. 50-Role of Barrier Dysfunction and Immune Response in Atopic Dermatitis, 3rd ed.; Leung, D.Y.M., Szefler, S.J., Bonilla, F.A., Akdis, C.A., Sampson, H.A., Eds.; Elsevier: London, UK, 2016; pp. 438–447.e3. ISBN 978-0-323-29875-9. [Google Scholar]
- Liu, Y.; Chen, H.; Feng, L.; Zhang, J. Interactions between Gut Microbiota and Metabolites Modulate Cytokine Network Imbalances in Women with Unexplained Miscarriage. Npj Biofilms Microbiomes 2021, 7, 24. [Google Scholar] [CrossRef] [PubMed]
- Lin, C.-H.; Chen, C.-C.; Chiang, H.-L.; Liou, J.-M.; Chang, C.-M.; Lu, T.-P.; Chuang, E.Y.; Tai, Y.-C.; Cheng, C.; Lin, H.-Y.; et al. Altered Gut Microbiota and Inflammatory Cytokine Responses in Patients with Parkinson’s Disease. J. Neuroinflammation 2019, 16, 129. [Google Scholar] [CrossRef]
- Mizutani, T.; Ishizaka, A.; Koga, M.; Ikeuchi, K.; Saito, M.; Adachi, E.; Yamayoshi, S.; Iwatsuki-Horimoto, K.; Yasuhara, A.; Kiyono, H.; et al. Correlation Analysis between Gut Microbiota Alterations and the Cytokine Response in Patients with Coronavirus Disease during Hospitalization. Microbiol. Spectr. 2022, 10, e0168921. [Google Scholar] [CrossRef]
- Geva-Zatorsky, N.; Sefik, E.; Kua, L.; Pasman, L.; Tan, T.G.; Ortiz-Lopez, A.; Yanortsang, T.B.; Yang, L.; Jupp, R.; Mathis, D.; et al. Mining the Human Gut Microbiota for Immunomodulatory Organisms. Cell 2017, 168, 928–943.e11. [Google Scholar] [CrossRef] [PubMed]
- Abdukhakimova, D.; Dossybayeva, K.; Poddighe, D. Fecal and Duodenal Microbiota in Pediatric Celiac Disease. Front. Pediatr. 2021, 9, 652208. [Google Scholar] [CrossRef]
- Salem, F.; Kindt, N.; Marchesi, J.R.; Netter, P.; Lopez, A.; Kokten, T.; Danese, S.; Jouzeau, J.-Y.; Peyrin-Biroulet, L.; Moulin, D. Gut Microbiome in Chronic Rheumatic and Inflammatory Bowel Diseases: Similarities and Differences. United Eur. Gastroenterol. J. 2019, 7, 1008–1032. [Google Scholar] [CrossRef]
- Wrześniewska, M.; Wołoszczak, J.; Świrkosz, G.; Szyller, H.; Gomułka, K. The Role of the Microbiota in the Pathogenesis and Treatment of Atopic Dermatitis-A Literature Review. Int. J. Mol. Sci. 2024, 25, 6539. [Google Scholar] [CrossRef] [PubMed]
- Peroni, D.G.; Nuzzi, G.; Trambusti, I.; Di Cicco, M.E.; Comberiati, P. Microbiome Composition and Its Impact on the Development of Allergic Diseases. Front. Immunol. 2020, 11, 700. [Google Scholar] [CrossRef] [PubMed]
- Nekrasova, A.I.; Kalashnikova, I.G.; Bobrova, M.M.; Korobeinikova, A.V.; Bakoev, S.Y.; Ashniev, G.A.; Petryaikina, E.S.; Nekrasov, A.S.; Zagainova, A.V.; Lukashina, M.V.; et al. Characteristics of the Gut Microbiota in Regard to Atopic Dermatitis and Food Allergies of Children. Biomedicines 2024, 12, 553. [Google Scholar] [CrossRef] [PubMed]
- Bolyen, E.; Rideout, J.R.; Dillon, M.R.; Bokulich, N.A.; Abnet, C.C.; Al-Ghalith, G.A.; Alexander, H.; Alm, E.J.; Arumugam, M.; Asnicar, F.; et al. Reproducible, Interactive, Scalable and Extensible Microbiome Data Science Using QIIME 2. Nat. Biotechnol. 2019, 37, 852–857. [Google Scholar] [CrossRef]
- Martin, M. Cutadapt Removes Adapter Sequences from High-Throughput Sequencing Reads. EMBnet J. 2011, 17, 10. [Google Scholar] [CrossRef]
- Callahan, B.J.; McMurdie, P.J.; Rosen, M.J.; Han, A.W.; Johnson, A.J.A.; Holmes, S.P. DADA2: High-Resolution Sample Inference from Illumina Amplicon Data. Nat. Methods 2016, 13, 581–583. [Google Scholar] [CrossRef]
- Price, M.N.; Dehal, P.S.; Arkin, A.P. FastTree: Computing Large Minimum Evolution Trees with Profiles Instead of a Distance Matrix. Mol. Biol. Evol. 2009, 26, 1641–1650. [Google Scholar] [CrossRef]
- Katoh, K. MAFFT: A Novel Method for Rapid Multiple Sequence Alignment Based on Fast Fourier Transform. Nucleic Acids Res. 2002, 30, 3059–3066. [Google Scholar] [CrossRef] [PubMed]
- Calle, M.L.; Pujolassos, M.; Susin, A. Coda4microbiome: Compositional Data Analysis for Microbiome Cross-Sectional and Longitudinal Studies. BMC Bioinform. 2023, 24, 82. [Google Scholar] [CrossRef] [PubMed]
- Ngoc, P.L.; Gold, D.R.; Tzianabos, A.O.; Weiss, S.T.; Celedón, J.C. Cytokines, Allergy, and Asthma. Curr. Opin. Allergy Clin. Immunol. 2005, 5, 161–166. [Google Scholar] [CrossRef] [PubMed]
- Fang, Z.; Li, L.; Zhang, H.; Zhao, J.; Lu, W.; Chen, W. Gut Microbiota, Probiotics, and Their Interactions in Prevention and Treatment of Atopic Dermatitis: A Review. Front. Immunol. 2021, 12, 720393. [Google Scholar] [CrossRef] [PubMed]
- Prescott, J. The Emerging Role of the Type 2 Inflammatory Cascade in Atopic Diseases. Am. J. Manag. Care 2019, 2, 4–8. [Google Scholar]
- Ryguła, I.; Pikiewicz, W.; Grabarek, B.O.; Wójcik, M.; Kaminiów, K. The Role of the Gut Microbiome and Microbial Dysbiosis in Common Skin Diseases. Int. J. Mol. Sci. 2024, 25, 1984. [Google Scholar] [CrossRef]
- Hu, C.; van Meel, E.R.; Medina-Gomez, C.; Kraaij, R.; Barroso, M.; Kiefte-de Jong, J.; Radjabzadeh, D.; Pasmans, S.G.M.A.; de Jong, N.W.; de Jongste, J.C.; et al. A Population-Based Study on Associations of Stool Microbiota with Atopic Diseases in School-Age Children. J. Allergy Clin. Immunol. 2021, 148, 612–620. [Google Scholar] [CrossRef]
- Lynch, S. V Gut Microbiota and Allergic Disease. New Insights. Ann. Am. Thorac. Soc. 2016, 13 (Suppl. S1), S51–S54. [Google Scholar] [CrossRef]
- Aranaz, P.; Ramos-Lopez, O.; Cuevas-Sierra, A.; Martinez, J.A.; Milagro, F.I.; Riezu-Boj, J.I. A Predictive Regression Model of the Obesity-Related Inflammatory Status Based on Gut Microbiota Composition. Int. J. Obes. 2021, 45, 2261–2268. [Google Scholar] [CrossRef]
- Muirhead, G. Analysis of the Microbiome and Host-Transcriptome in Psoriasis and Atopic Dermatitis. Doctoral Dissertation, King’s College London, London, UK, 2017. [Google Scholar]
- Hendrickx, D.M.; An, R.; Boeren, S.; Mutte, S.K. Assessment of Infant Outgrowth of Cow’ s Milk Allergy in Relation to the Faecal Microbiome and Metaproteome. Sci. Rep. 2022, 13, 12029. [Google Scholar]
- Makowska, K.; Nowaczyk, J.; Blicharz, L.; Waśkiel-Burnat, A.; Czuwara, J.; Olszewska, M.; Rudnicka, L. Immunopathogenesis of Atopic Dermatitis: Focus on Interleukins as Disease Drivers and Therapeutic Targets for Novel Treatments. Int. J. Mol. Sci. 2023, 24, 781. [Google Scholar] [CrossRef] [PubMed]
- Kim, J.; Ahn, K. Atopic Dermatitis Endotypes: Knowledge for Personalized Medicine. Curr. Opin. Allergy Clin. Immunol. 2022, 22, 153–159. [Google Scholar] [CrossRef] [PubMed]
- Hulshof, L.; Overbeek, S.A.; Wyllie, A.L.; Chu, M.L.J.N.; Bogaert, D.; de Jager, W.; Knippels, L.M.J.; Sanders, E.A.M.; van Aalderen, W.M.C.; Garssen, J.; et al. Exploring Immune Development in Infants with Moderate to Severe Atopic Dermatitis. Front. Immunol. 2018, 9, 630. [Google Scholar] [CrossRef] [PubMed]
- Yang, C.; Du, Y.; Ren, D.; Yang, X.; Zhao, Y. Gut Microbiota-Dependent Catabolites of Tryptophan Play a Predominant Role in the Protective Effects of Turmeric Polysaccharides against DSS-Induced Ulcerative Colitis. Food Funct. 2021, 12, 9793–9807. [Google Scholar] [CrossRef] [PubMed]
- Gu, W.; Zhang, L.; Han, T.; Huang, H.; Chen, J. Dynamic Changes in Gut Microbiome of Ulcerative Colitis: Initial Study from Animal Model. J. Inflamm. Res. 2022, 15, 2631–2647. [Google Scholar] [CrossRef]
- Liu, T.; Yang, C.; He, J.; Wang, Y.; Hu, T.; Zhang, X. Study of The Specificity of Gut Microbiota in Adult Patients with Delayed-Onset of Atopic Dermatitis. Allergol. Immunopathol. 2022, 50, 128–136. [Google Scholar] [CrossRef]
- Sumimoto, S.; Kawai, M.; Kasajima, Y.; Hamamoto, T. Increased Plasma Tumour Necrosis Factor-Alpha Concentration in Atopic Dermatitis. Arch. Dis. Child. 1992, 67, 277–279. [Google Scholar] [CrossRef]
- Noda, S.; Krueger, J.G.; Guttman-Yassky, E. The Translational Revolution and Use of Biologics in Patients with Inflammatory Skin Diseases. J. Allergy Clin. Immunol. 2015, 135, 324–336. [Google Scholar] [CrossRef]
- Loubinoux, J.; Bronowicki, J.-P.; Pereira, I.A.C.; Mougenel, J.-L.; Le Faou, A.E. Sulfate-Reducing Bacteria in Human Feces and Their Association with Inflammatory Bowel Diseases. FEMS Microbiol. Ecol. 2002, 40, 107–112. [Google Scholar] [CrossRef]
- Xiao, M.; Fu, X.; Ni, Y.; Chen, J.; Jian, S.; Wang, L.; Li, L.; Du, G. Protective Effects of Paederia Scandens Extract on Rheumatoid Arthritis Mouse Model by Modulating Gut Microbiota. J. Ethnopharmacol. 2018, 226, 97–104. [Google Scholar] [CrossRef]
- Andrews, C.; McLean, M.H.; Durum, S.K. Cytokine Tuning of Intestinal Epithelial Function. Front. Immunol. 2018, 9, 1270. [Google Scholar] [CrossRef] [PubMed]
- Sun, M.; Wu, W.; Liu, Z.; Cong, Y. Microbiota Metabolite Short Chain Fatty Acids, GPCR, and Inflammatory Bowel Diseases. J. Gastroenterol. 2017, 52, 1–8. [Google Scholar] [CrossRef]
- Kumari, M.; Kokkiligadda, A. Chapter 4—Next-Generation Probiotics; Dhanasekaran, D., Sankaranarayanan, A.B.T.-A., Eds.; Academic Press: Cambridge, MA, USA, 2021; pp. 45–79. ISBN 978-0-12-822909-5. [Google Scholar]
- Zhang, T.; Chen, Y.; Wang, Z.; Zhou, Y.; Zhang, S.; Wang, P.; Xie, S.; Jiang, B. Changes of fecal flora and its correlation with inflammatory indicators in patients with inflammatory bowel disease. Nan Fang Yi Ke Da Xue Xue Bao 2013, 33, 1474–1477. [Google Scholar]
- Ivanov, I.I.; Littman, D.R. Segmented Filamentous Bacteria Take the Stage. Mucosal. Immunol. 2010, 3, 209–212. [Google Scholar] [CrossRef]
- Yudina, Y.V.; Aminova, A.I.; Prodeus, A.P.; Abdullaev, G.D.; Smirnova, G.I.; Korsunsky, A.A.; Osovetskaya, Y.L.; Gumbatova, Z.F.; Ivanova, Y.V. Intestinal Microbiota and the “Allergic Phenotype” in Children. Vopr. Prakt. Pediatr. 2021, 16, 35–43. [Google Scholar] [CrossRef]
- Mao, J.; Zhang, K.; He, Y.; Liu, J.; Shao, Y.; Tu, Z. Molecular Structure, IgE Binding Capacity and Gut Microbiota of Ovalbumin Conjugated to Fructose and Galactose: A Comparative Study. Int. J. Biol. Macromol. 2023, 234, 123640. [Google Scholar] [CrossRef] [PubMed]
- Torres, J.; Bao, X.; Goel, A.; Colombel, J.-F.; Pekow, J.; Jabri, B.; Williams, K.M.; Castillo, A.; Odin, J.A.; Meckel, K.; et al. The Features of Mucosa-Associated Microbiota in Primary Sclerosing Cholangitis. Aliment. Pharmacol. Ther. 2016, 43, 790–801. [Google Scholar] [CrossRef] [PubMed]
- Zongxin, L.; Zailing, L.; Xia, L.; Yiwen, C.; Yueqiu, L.; Xiaojuan, T.; Li, Y.; Yuezhu, W.; Jinbo, S.; Lanjuan, L.; et al. Altered Fecal Microbiota Composition Associated with Food Allergy in Infants. Appl. Environ. Microbiol. 2014, 80, 2546–2554. [Google Scholar] [CrossRef]
- Atarashi, K.; Tanoue, T.; Oshima, K.; Suda, W.; Nagano, Y.; Nishikawa, H.; Fukuda, S.; Saito, T.; Narushima, S.; Hase, K.; et al. Treg Induction by a Rationally Selected Mixture of Clostridia Strains from the Human Microbiota. Nature 2013, 500, 232–236. [Google Scholar] [CrossRef]
- Park, H.W.; Lee, J.E.; Shin, E.S.; Lee, J.Y.; Bahn, J.W.; Oh, H.B.; Oh, S.Y.; Cho, S.H.; Moon, H.B.; Min, K.U.; et al. Association between Genetic Variations of Vascular Endothelial Growth Factor Receptor 2 and Atopy in the Korean Population. J. Allergy Clin. Immunol. 2006, 117, 774–779. [Google Scholar] [CrossRef]
- Zhang, Y.; Matsuo, H.; Morita, E. Increased Production of Vascular Endothelial Growth Factor in the Lesions of Atopic Dermatitis. Arch. Dermatol. Res. 2006, 297, 425–429. [Google Scholar] [CrossRef] [PubMed]
- Koczy-Baron, E.; Jochem, J.; Kasperska-Zajac, A. Increased Plasma Concentration of Vascular Endothelial Growth Factor in Patients with Atopic Dermatitis and Its Relation to Disease Severity and Platelet Activation. Inflamm. Res. 2012, 61, 1405–1409. [Google Scholar] [CrossRef] [PubMed]
- Ruaud, A.; Esquivel-Elizondo, S.; de la Cuesta-Zuluaga, J.; Waters, J.L.; Angenent, L.T.; Youngblut, N.D.; Ley, R.E. Syntrophy via Interspecies H2 Transfer between Christensenella and Methanobrevibacter Underlies Their Global Cooccurrence in the Human Gut. MBio 2020, 11, e03235-19. [Google Scholar] [CrossRef] [PubMed]
- Ghavami, S.B.; Rostami, E.; Sephay, A.A.; Shahrokh, S.; Balaii, H.; Aghdaei, H.A.; Zali, M.R. Alterations of the Human Gut Methanobrevibacter Smithii as a Biomarker for Inflammatory Bowel Diseases. Microb. Pathog. 2018, 117, 285–289. [Google Scholar] [CrossRef] [PubMed]
- Ghoshal, U.; Shukla, R.; Srivastava, D.; Ghoshal, U.C. Irritable Bowel Syndrome, Particularly the Constipation-Predominant Form, Involves an Increase in Methanobrevibacter Smithii, Which Is Associated with Higher Methane Production. Gut Liver 2016, 10, 932–938. [Google Scholar] [CrossRef]
- Chaudhary, P.P.; Conway, P.L.; Schlundt, J. Methanogens in Humans: Potentially Beneficial or Harmful for Health. Appl. Microbiol. Biotechnol. 2018, 102, 3095–3104. [Google Scholar] [CrossRef]
- Clavel, T.; Lepage, P.; Charrier, C. The Family Coriobacteriaceae BT—The Prokaryotes: Actinobacteria; Rosenberg, E., DeLong, E.F., Lory, S., Stackebrandt, E., Thompson, F., Eds.; Springer: Berlin/Heidelberg, Germany, 2014; pp. 201–238. ISBN 978-3-642-30138-4. [Google Scholar]
- De Pessemier, B.; Grine, L.; Debaere, M.; Maes, A.; Paetzold, B.; Callewaert, C. Gut-Skin Axis: Current Knowledge of the Interrelationship between Microbial Dysbiosis and Skin Conditions. Microorganisms 2021, 9, 353. [Google Scholar] [CrossRef]
- Jose, P.J.; Griffiths-Johnson, D.A.; Collins, P.D.; Walsh, D.T.; Moqbel, R.; Totty, N.F.; Truong, O.; Hsuan, J.J.; Williams, T.J. Eotaxin: A Potent Eosinophil Chemoattractant Cytokine Detected in a Guinea Pig Model of Allergic Airways Inflammation. J. Exp. Med. 1994, 179, 881–887. [Google Scholar] [CrossRef]
- Teixeira, M.M.; Wells, T.N.C.; Lukacs, N.W.; Proudfoot, A.E.I.; Kunkel, S.L.; Williams, T.J.; Hellewell, P.G. Chemokine-Induced Eosinophil Recruitment. Evidence of a Role for Endogenous Eotaxin in an in Vivo Allergy Model in Mouse Skin. J. Clin. Investig. 1997, 100, 1657–1666. [Google Scholar] [CrossRef][Green Version]
- Lacy, P. Chapter 12—Eosinophil Cytokines in Allergy; Foti, M., Locati, M., Eds.; Academic Press: Cambridge, MA, USA, 2017; pp. 173–218. ISBN 978-0-12-804214-4. [Google Scholar]
- Sun, Z.; Williams, G.M. Chapter 18—Skin Wound Healing: Skin Regeneration with Pharmacological Mobilized Stem Cells; Lee, S.J., Yoo, J.J., Atala, A., Eds.; Academic Press: Boston, MA, USA, 2016; pp. 345–368. ISBN 978-0-12-802225-2. [Google Scholar]
- West, C.E.; Rydén, P.; Lundin, D.; Engstrand, L.; Tulic, M.K.; Prescott, S.L. Gut Microbiome and Innate Immune Response Patterns in IgE-Associated Eczema. Clin. Exp. allergy J. Br. Soc. Allergy Clin. Immunol. 2015, 45, 1419–1429. [Google Scholar] [CrossRef]
- Zhang, G.; Hayden, C.M.; Goldblatt, J.; Holt, P.; Le Souëf, P.N. Th2 Cytokine Levels Distort the Association of IL-10 and IFN- γ with Allergic Phenotypes. ISRN Allergy 2011, 2011, 405813. [Google Scholar] [CrossRef] [PubMed]
- Berdat, P.A.; Wehrle, T.J.; Küng, A.; Achermann, F.; Sutter, M.; Carrel, T.P.; Nydegger, U.E. Age-Specific Analysis of Normal Cytokine Levels in Healthy Infants. Clin. Chem. Lab. Med. 2003, 41, 1335–1339. [Google Scholar] [CrossRef] [PubMed]
- Eyerich, K.; Pennino, D.; Scarponi, C.; Foerster, S.; Nasorri, F.; Behrendt, H.; Ring, J.; Traidl-Hoffmann, C.; Albanesi, C.; Cavani, A. IL-17 in Atopic Eczema: Linking Allergen-Specific Adaptive and Microbial-Triggered Innate Immune Response. J. Allergy Clin. Immunol. 2009, 123, 59–66.e4. [Google Scholar] [CrossRef] [PubMed]
- Hanifin, J.; Rajka, G. Diagnostic Features of Atopic Dermatitis. Acta Derm. Venereol. 1980, 60, 44–47. [Google Scholar] [CrossRef]









| F-Value | p-Value | ||
|---|---|---|---|
| Unweighted | RDP | 5.1 | 0.026 |
| SILVA | 5.4 | 0.021 | |
| Weighted | RDP | 3.7 | 0.06 |
| SILVA | 5.4 | 0.03 | |
Disclaimer/Publisher’s Note: The statements, opinions and data contained in all publications are solely those of the individual author(s) and contributor(s) and not of MDPI and/or the editor(s). MDPI and/or the editor(s) disclaim responsibility for any injury to people or property resulting from any ideas, methods, instructions or products referred to in the content. |
© 2024 by the authors. Licensee MDPI, Basel, Switzerland. This article is an open access article distributed under the terms and conditions of the Creative Commons Attribution (CC BY) license (https://creativecommons.org/licenses/by/4.0/).
Share and Cite
Kalashnikova, I.G.; Nekrasova, A.I.; Korobeynikova, A.V.; Bobrova, M.M.; Ashniev, G.A.; Bakoev, S.Y.; Zagainova, A.V.; Lukashina, M.V.; Tolkacheva, L.R.; Petryaikina, E.S.; et al. The Association between Gut Microbiota and Serum Biomarkers in Children with Atopic Dermatitis. Biomedicines 2024, 12, 2351. https://doi.org/10.3390/biomedicines12102351
Kalashnikova IG, Nekrasova AI, Korobeynikova AV, Bobrova MM, Ashniev GA, Bakoev SY, Zagainova AV, Lukashina MV, Tolkacheva LR, Petryaikina ES, et al. The Association between Gut Microbiota and Serum Biomarkers in Children with Atopic Dermatitis. Biomedicines. 2024; 12(10):2351. https://doi.org/10.3390/biomedicines12102351
Chicago/Turabian StyleKalashnikova, Irina G., Alexandra I. Nekrasova, Anna V. Korobeynikova, Maria M. Bobrova, German A. Ashniev, Sirozhdin Yu. Bakoev, Angelica V. Zagainova, Mariya V. Lukashina, Larisa R. Tolkacheva, Ekaterina S. Petryaikina, and et al. 2024. "The Association between Gut Microbiota and Serum Biomarkers in Children with Atopic Dermatitis" Biomedicines 12, no. 10: 2351. https://doi.org/10.3390/biomedicines12102351
APA StyleKalashnikova, I. G., Nekrasova, A. I., Korobeynikova, A. V., Bobrova, M. M., Ashniev, G. A., Bakoev, S. Y., Zagainova, A. V., Lukashina, M. V., Tolkacheva, L. R., Petryaikina, E. S., Nekrasov, A. S., Mitrofanov, S. I., Shpakova, T. A., Frolova, L. V., Bulanova, N. V., Snigir, E. A., Mukhin, V. E., Yudin, V. S., Makarov, V. V., ... Yudin, S. M. (2024). The Association between Gut Microbiota and Serum Biomarkers in Children with Atopic Dermatitis. Biomedicines, 12(10), 2351. https://doi.org/10.3390/biomedicines12102351

