An Optimized Method for Solving the Green Permutation Flow Shop Scheduling Problem Using a Combination of Deep Reinforcement Learning and Improved Genetic Algorithm
Abstract
1. Introduction
2. Literature Review
2.1. Traditional Methods for Solving the PFSP
2.2. Green Scheduling Approaches for Flow Shop Problems
2.3. RL for Production Scheduling
3. Problem Formulation
3.1. Problem Description
- All jobs are non-interruptible and immediately available for processing with no setup delays;
- Each machine exclusively processes one job at any given time;
- Jobs must follow identical processing sequences across all machines;
- Machine-job processing units are non-preemptive and failure-free;
- Only after the former operation of jobs has been completed on the machine can the next operation start processing;
- Transportation and setup times are inherently incorporated into processing durations.
3.2. Mathematical Model
4. The Proposed Method
4.1. Initialize Population
4.1.1. The PFSP_NET Model
- Encoder
- 2.
- Decoder
- 3.
- Attention Mechanism
4.1.2. Training Method
| Algorithm 1: The Framework of the Actor–Critic Training Algorithm. | ||||
| Input: : the parameters of the actor network; : the parameters of the critic network | ||||
| Output: The optimal parameters | ||||
| 1 | for do | |||
| 2 | Generate instances based on PFSP | |||
| 3 | for do | |||
| 4 | ||||
| 5 | while the jobs have not been fully accessed do | |||
| 6 | select the next job according to | |||
| 7 | and update | |||
| 8 | end while | |||
| 9 | compute the reward : | |||
| 10 | end for | |||
| 11 | Calculate the strategy gradient of actor network and critic network: | |||
| 12 | ||||
| 13 | ||||
| 14 | Optimize the network parameters of actor network and critic network based on strategy gradient: | |||
| 15 | ||||
| 16 | ||||
| 17 | return | |||
| 18 | end for | |||
4.2. Select Operation
- Roulette wheel selection, which allocates selection probabilities proportionally to individual fitness, preferentially selecting individuals with higher fitness, simulating “survival of the fittest”;
- Tournament selection, where a group of individuals is randomly selected from the population, and their fitness is compared, selecting the best individual to be part of the next generation’s population;
- Ranking selection, which involves sorting individuals by fitness and assigning selection probabilities, ensuring that even less fit individuals have a chance to be selected, thus increasing population diversity;
- Random selection, which does not consider fitness, is suitable for generating the initial population.
4.3. Crossover Operation
4.4. Mutation Operation
- Select reversed block: first, randomly select two positions in the current job sequence to determine the range of a job subsequence (reversed block);
- Reverse job order: reverse the order of jobs within the selected range to form a new job subsequence;
- Cut reversed block: remove the reversed job subsequence from the original sequence, creating a disconnected job sequence;
- Insert reversed block: insert the reversed block into all possible positions in the original job sequence. This means the reversed block can be placed in any gap within the sequence, thereby generating multiple new job sequence combinations;
- Evaluate new sequences: evaluate each new job sequence generated by inserting the reversed block by calculating its corresponding maximum completion time and energy consumption;
- Update best solution: if a newly generated job sequence outperforms the original sequence in terms of the optimization objectives, set this new sequence as the current best solution. The insert-reversed block operation is illustrated in Figure 7.
4.5. Population Evolution Mechanism
- Step 1: using the PFSP_NET model proposed in Section 4.1, generate individuals as the initial population for the GA, and calculate the fitness function value for each individual;
- Step 2: based on the calculated fitness values, sort the individuals in population in descending order, and record the top individuals into a new subpopulation ;
- Step 3: perform selection, crossover, and mutation operations on population to generate the updated ;
- Step 4: merge the updated population with the subpopulation , and calculate the Hamming distance between all pairs of individuals in the combined population of . If , then set , where ;
- Step 5: recalculate the fitness of the individuals in the merged population, sort them in descending order, and select the top individuals to form the new population ;
- Step 6: if the termination condition is not satisfied, proceed to step 2; otherwise, terminate the loop.
4.6. The Strategy of Energy Saving
5. Numerical Experiments
5.1. Experimental Settings
- Population combinations (u, v): three population size combinations are chosen: {(90, 10), (80, 20), (70, 30)}, where each combination represents the ratio of the two types of individuals in the population;
- Crossover probability: three levels of crossover probability are considered: {0.9, 0.8, 0.7}, which control the frequency of the crossover operation;
- Mutation probability: three levels of mutation probability are set: {0.1, 0.2, 0.3}, influencing the frequency of genetic mutations;
- Hamming distance: three levels of Hamming distance are selected: {7, 8, 9}, used to control the genetic difference between individuals, ensuring population diversity.
5.2. Experimental Results and Discussions
5.2.1. Effectiveness in Terms of Maximum Completion Time
- Effectiveness of Population Initialization
- 2.
- Effectiveness of Hybrid Operators
- 3.
- Comparison with Different GA Variants
- 4.
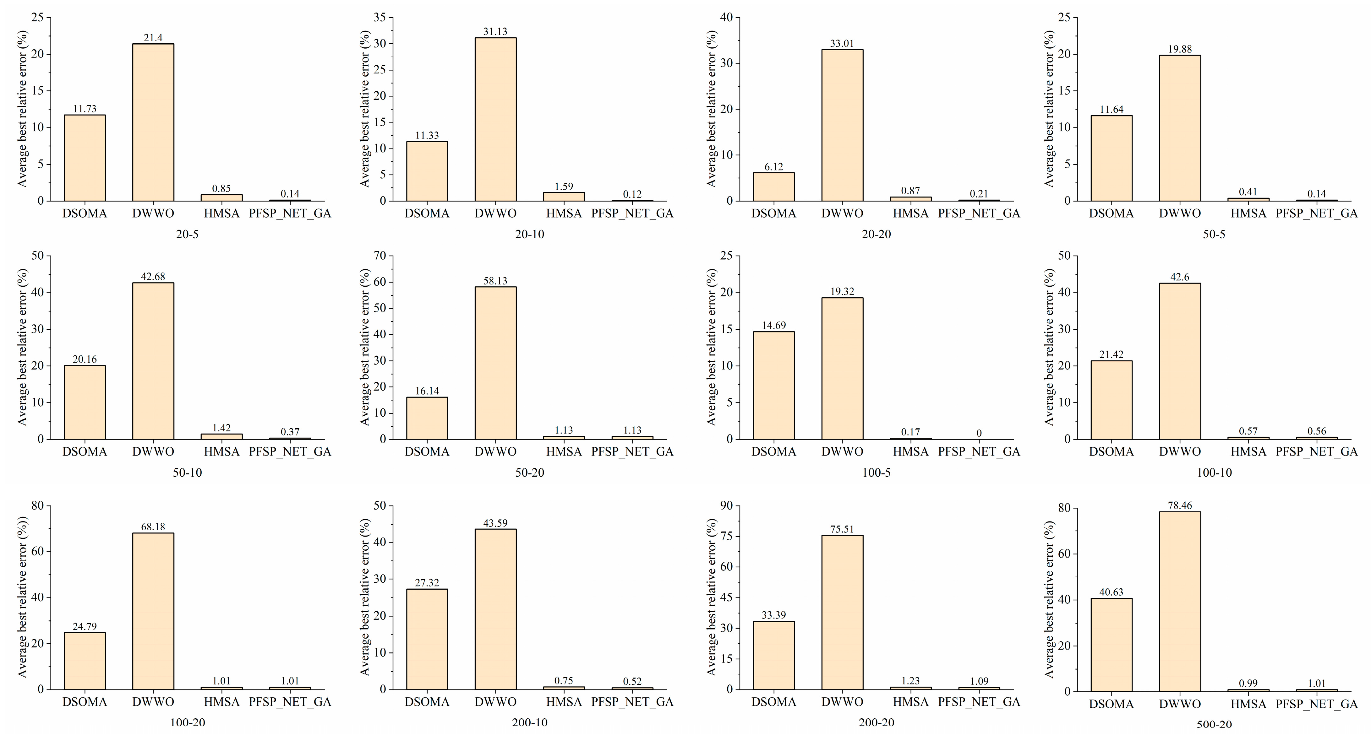
- Comparison with Other Metaheuristic Algorithms
- Discrete self-organizing migrating algorithm (DSOMA) [70];
- Discrete water wave optimization algorithm (DWWO) [71];
- Hybrid monkey search algorithm (HMSA) [72].
5.2.2. Effectiveness in Terms of Energy Consumption
6. Conclusions
7. Future Work
Author Contributions
Funding
Data Availability Statement
Conflicts of Interest
References
- Bagherzadeh, S.A.; Asadi, D. Detection of the ice assertion on aircraft using empirical mode decomposition enhanced by multi-objective optimization. Mech. Syst. Signal Process. 2017, 88, 9–24. [Google Scholar] [CrossRef]
- McMahon, G.; Burton, P. Flow-shop scheduling with the branch-and-bound method. Oper. Res. 1967, 15, 473–481. [Google Scholar] [CrossRef]
- Yavuz, M.; Tufekci, S. Dynamic programming solution to the batching problem in just-in-time flow-shops. Comput. Ind. Eng. 2006, 51, 416–432. [Google Scholar] [CrossRef]
- Ronconi, D.P.; Birgin, E.G. Mixed-integer programming models for flowshop scheduling problems minimizing the total earliness and tardiness. Just-in-Time Syst. 2012, 60, 91–105. [Google Scholar] [CrossRef]
- Nagano, M.; Takano, M.; Robazzi, J. A branch and bound method in a permutation flow shop with blocking and setup times. Int. J. Ind. Eng. Comput. 2022, 13, 255–266. [Google Scholar] [CrossRef]
- Gmys, J.; Mezmaz, M.; Melab, N.; Tuyttens, D. A computationally efficient Branch-and-Bound algorithm for the permutation flow-shop scheduling problem. Eur. J. Oper. Res. 2020, 284, 814–833. [Google Scholar] [CrossRef]
- Ozolins, A. Improved bounded dynamic programming algorithm for solving the blocking flow shop problem. Cent. Eur. J. Oper. Res. 2019, 27, 15–38. [Google Scholar] [CrossRef]
- Campbell, H.G.; Dudek, R.A.; Smith, M.L. A heuristic algorithm for the n job, m machine sequencing problem. Manag. Sci. 1970, 16, B-630–B-637. [Google Scholar] [CrossRef]
- Gupta, J.N. A functional heuristic algorithm for the flowshop scheduling problem. J. Oper. Res. Soc. 1971, 22, 39–47. [Google Scholar] [CrossRef]
- Nawaz, M.; Enscore Jr, E.E.; Ham, I. A heuristic algorithm for the m-machine, n-job flow-shop sequencing problem. Omega 1983, 11, 91–95. [Google Scholar] [CrossRef]
- Puka, R.; Duda, J.; Stawowy, A.; Skalna, I. N-NEH+ algorithm for solving permutation flow shop problems. Comput. Oper. Res. 2021, 132, 105296. [Google Scholar] [CrossRef]
- Puka, R.; Skalna, I.; Duda, J.; Stawowy, A. Deterministic constructive vN-NEH+ algorithm to solve permutation flow shop scheduling problem with makespan criterion. Comput. Oper. Res. 2024, 162, 106473. [Google Scholar] [CrossRef]
- Puka, R.; Skalna, I.; Łamasz, B.; Duda, J.; Stawowy, A. Deterministic method for input sequence modification in NEH-based algorithms. IEEE Access 2024, 12, 68940–68953. [Google Scholar] [CrossRef]
- Zhang, J.; Dao, S.D.; Zhang, W.; Goh, M.; Yu, G.; Jin, Y.; Liu, W. A new job priority rule for the NEH-based heuristic to minimize makespan in permutation flowshops. Eng. Optim. 2023, 55, 1296–1315. [Google Scholar] [CrossRef]
- Reeves, C.R. A genetic algorithm for flowshop sequencing. Comput. Oper. Res. 1995, 22, 5–13. [Google Scholar] [CrossRef]
- de Fátima Morais, M.; Ribeiro, M.H.D.M.; da Silva, R.G.; Mariani, V.C.; dos Santos Coelho, L. Discrete differential evolution metaheuristics for permutation flow shop scheduling problems. Comput. Ind. Eng. 2022, 166, 107956. [Google Scholar] [CrossRef]
- Abdel-Basset, M.; Mohamed, R.; Abouhawwash, M.; Chakrabortty, R.K.; Ryan, M.J. A simple and effective approach for tackling the permutation flow shop scheduling problem. Mathematics 2021, 9, 270. [Google Scholar] [CrossRef]
- Arık, O.A. Artificial bee colony algorithm including some components of iterated greedy algorithm for permutation flow shop scheduling problems. Neural Comput. Appl. 2021, 33, 3469–3486. [Google Scholar] [CrossRef]
- Zhang, T.; Guo, X.; Ji, G. Permutation flow shop scheduling optimization method based on cooperative games. IEEE Access 2023, 11, 47377–47389. [Google Scholar] [CrossRef]
- Bellabai, J.R.; Leela, B.N.M.; Kennedy, S.M.R. Testing the Performance of Bat-Algorithm for Permutation Flow Shop Scheduling Problems with Makespan Minimization. Braz. Arch. Biol. Technol. 2022, 65, e20210840. [Google Scholar] [CrossRef]
- Kurdi, M. Ant colony optimization with a new exploratory heuristic information approach for open shop scheduling problem. Knowl.-Based Syst. 2022, 242, 108323. [Google Scholar] [CrossRef]
- Xin, X.; Jiang, Q.; Li, S.; Gong, S.; Chen, K. Energy-efficient scheduling for a permutation flow shop with variable transportation time using an improved discrete whale swarm optimization. J. Clean. Prod. 2021, 293, 126121. [Google Scholar] [CrossRef]
- Chen, S.; Zheng, J. Hybrid grey wolf optimizer for solving permutation flow shop scheduling problem. Concurr. Comput. Pract. Exp. 2024, 36, e7942. [Google Scholar] [CrossRef]
- Schulz, S.; Schönheit, M.; Neufeld, J.S. Multi-objective carbon-efficient scheduling in distributed permutation flow shops under consideration of transportation efforts. J. Clean. Prod. 2022, 365, 132551. [Google Scholar] [CrossRef]
- Lu, C.; Huang, Y.; Meng, L.; Gao, L.; Zhang, B.; Zhou, J. A Pareto-based collaborative multi-objective optimization algorithm for energy-efficient scheduling of distributed permutation flow-shop with limited buffers. Robot. Comput.-Integr. Manuf. 2022, 74, 102277. [Google Scholar] [CrossRef]
- Gu, W.; Li, Z.; Dai, M.; Yuan, M. An energy-efficient multi-objective permutation flow shop scheduling problem using an improved hybrid cuckoo search algorithm. Adv. Mech. Eng. 2021, 13, 16878140211023603. [Google Scholar] [CrossRef]
- Wang, J.-J.; Wang, L. A knowledge-based cooperative algorithm for energy-efficient scheduling of distributed flow-shop. IEEE Trans. Syst. Man Cybern. Syst. 2018, 50, 1805–1819. [Google Scholar] [CrossRef]
- Fernandez-Viagas, V.; de Athayde Prata, B.; Framinan, J.M. A critical-path based iterated local search for the green permutation flowshop problem. Comput. Ind. Eng. 2022, 169, 108276. [Google Scholar] [CrossRef]
- Li, M.; Wang, G.-G.; Yu, H. Sorting-based discrete artificial bee colony algorithm for solving fuzzy hybrid flow shop green scheduling problem. Mathematics 2021, 9, 2250. [Google Scholar] [CrossRef]
- Zhao, F.; Zhang, H.; Wang, L.; Xu, T.; Zhu, N.; Jonrinaldi, J. A multi-objective discrete differential evolution algorithm for energy-efficient distributed blocking flow shop scheduling problem. Int. J. Prod. Res. 2024, 62, 4226–4244. [Google Scholar] [CrossRef]
- Kong, L.; Wang, L.; Li, F.; Wang, G.; Fu, Y.; Liu, J. A new sustainable scheduling method for hybrid flow-shop subject to the characteristics of parallel machines. IEEE Access 2020, 8, 79998–80009. [Google Scholar] [CrossRef]
- Zhou, B.; Liu, W. Energy-efficient multi-objective scheduling algorithm for hybrid flow shop with fuzzy processing time. Proc. Inst. Mech. Eng. Part I J. Syst. Control Eng. 2019, 233, 1282–1297. [Google Scholar] [CrossRef]
- Xu, F.; Tang, H.; Xun, Q.; Lan, H.; Liu, X.; Xing, W.; Zhu, T.; Wang, L.; Pang, S. Research on green reentrant hybrid flow shop scheduling problem based on improved moth-flame optimization algorithm. Processes 2022, 10, 2475. [Google Scholar] [CrossRef]
- Bello, I.; Pham, H.; Le, Q.V.; Norouzi, M.; Bengio, S. Neural combinatorial optimization with reinforcement learning. arXiv 2016, arXiv:1611.09940. [Google Scholar] [CrossRef]
- Bogyrbayeva, A.; Yoon, T.; Ko, H.; Lim, S.; Yun, H.; Kwon, C. A deep reinforcement learning approach for solving the traveling salesman problem with drone. Transp. Res. Part C Emerg. Technol. 2023, 148, 103981. [Google Scholar] [CrossRef]
- Liu, C.-L.; Chang, C.-C.; Tseng, C.-J. Actor-critic deep reinforcement learning for solving job shop scheduling problems. IEEE Access 2020, 8, 71752–71762. [Google Scholar] [CrossRef]
- Luo, J.; Li, C.; Fan, Q.; Liu, Y. A graph convolutional encoder and multi-head attention decoder network for TSP via reinforcement learning. Eng. Appl. Artif. Intell. 2022, 112, 104848. [Google Scholar] [CrossRef]
- Ma, Q.; Ge, S.; He, D.; Thaker, D.; Drori, I. Combinatorial optimization by graph pointer networks and hierarchical reinforcement learning. arXiv 2019, arXiv:1911.04936. [Google Scholar] [CrossRef]
- Zhang, R.; Zhang, C.; Cao, Z.; Song, W.; Tan, P.S.; Zhang, J.; Wen, B.; Dauwels, J. Learning to solve multiple-TSP with time window and rejections via deep reinforcement learning. IEEE Trans. Intell. Transp. Syst. 2022, 24, 1325–1336. [Google Scholar] [CrossRef]
- Fellek, G.; Farid, A.; Gebreyesus, G.; Fujimura, S.; Yoshie, O. Graph transformer with reinforcement learning for vehicle routing problem. IEEJ Trans. Electr. Electron. Eng. 2023, 18, 701–713. [Google Scholar] [CrossRef]
- Foa, S.; Coppola, C.; Grani, G.; Palagi, L. Solving the vehicle routing problem with deep reinforcement learning. arXiv 2022, arXiv:2208.0020. [Google Scholar]
- Lin, B.; Ghaddar, B.; Nathwani, J. Deep reinforcement learning for the electric vehicle routing problem with time windows. IEEE Trans. Intell. Transp. Syst. 2021, 23, 11528–11538. [Google Scholar] [CrossRef]
- Nazari, M.; Oroojlooy, A.; Snyder, L.; Takác, M. Reinforcement learning for solving the vehicle routing problem. Adv. Neural Inf. Process. Syst. 2018, 31, 9861–9871. [Google Scholar]
- Pan, W.; Liu, S.Q. Deep reinforcement learning for the dynamic and uncertain vehicle routing problem. Appl. Intell. 2023, 53, 405–422. [Google Scholar] [CrossRef]
- Phiboonbanakit, T.; Horanont, T.; Huynh, V.-N.; Supnithi, T. A hybrid reinforcement learning-based model for the vehicle routing problem in transportation logistics. IEEE Access 2021, 9, 163325–163347. [Google Scholar] [CrossRef]
- Pan, Z.; Wang, L.; Dong, C.; Chen, J.-F. A knowledge-guided end-to-end optimization framework based on reinforcement learning for flow shop scheduling. IEEE Trans. Ind. Inform. 2023, 20, 1853–1861. [Google Scholar] [CrossRef]
- Dong, Z.; Ren, T.; Weng, J.; Qi, F.; Wang, X. Minimizing the late work of the flow shop scheduling problem with a deep reinforcement learning based approach. Appl. Sci. 2022, 12, 2366. [Google Scholar] [CrossRef]
- Wang, Z.; Cai, B.; Li, J.; Yang, D.; Zhao, Y.; Xie, H. Solving non-permutation flow-shop scheduling problem via a novel deep reinforcement learning approach. Comput. Oper. Res. 2023, 151, 106095. [Google Scholar] [CrossRef]
- Zhang, J.-D.; He, Z.; Chan, W.-H.; Chow, C.-Y. DeepMAG: Deep reinforcement learning with multi-agent graphs for flexible job shop scheduling. Knowl.-Based Syst. 2023, 259, 110083. [Google Scholar] [CrossRef]
- Jing, X.; Yao, X.; Liu, M.; Zhou, J. Multi-agent reinforcement learning based on graph convolutional network for flexible job shop scheduling. J. Intell. Manuf. 2024, 35, 75–93. [Google Scholar] [CrossRef]
- Lei, K.; Guo, P.; Zhao, W.; Wang, Y.; Qian, L.; Meng, X.; Tang, L. A multi-action deep reinforcement learning framework for flexible Job-shop scheduling problem. Expert Syst. Appl. 2022, 205, 117796. [Google Scholar] [CrossRef]
- Wang, H.; Cheng, J.; Liu, C.; Zhang, Y.; Hu, S.; Chen, L. Multi-objective reinforcement learning framework for dynamic flexible job shop scheduling problem with uncertain events. Appl. Soft Comput. 2022, 131, 109717. [Google Scholar] [CrossRef]
- Chen, R.; Yang, B.; Li, S.; Wang, S. A self-learning genetic algorithm based on reinforcement learning for flexible job-shop scheduling problem. Comput. Ind. Eng. 2020, 149, 106778. [Google Scholar] [CrossRef]
- Li, H.; Gao, K.; Duan, P.-Y.; Li, J.-Q.; Zhang, L. An improved artificial bee colony algorithm with Q-learning for solving permutation flow-shop scheduling problems. IEEE Trans. Syst. Man Cybern. Syst. 2022, 53, 2684–2693. [Google Scholar] [CrossRef]
- Pan, Z.; Wang, L.; Wang, J.; Lu, J. Deep reinforcement learning based optimization algorithm for permutation flow-shop scheduling. IEEE Trans. Emerg. Top. Comput. Intell. 2021, 7, 983–994. [Google Scholar] [CrossRef]
- Li, Y.; Wang, C.; Gao, L.; Song, Y.; Li, X. An improved simulated annealing algorithm based on residual network for permutation flow shop scheduling. Complex Intell. Syst. 2021, 7, 1173–1183. [Google Scholar] [CrossRef]
- Guo, D.; Liu, S.; Ling, S.; Li, M.; Jiang, Y.; Li, M.; Huang, G.Q. The marriage of operations research and reinforcement learning: Integration of NEH into Q-learning algorithm for the permutation flowshop scheduling problem. Expert Syst. Appl. 2024, 255, 124779. [Google Scholar] [CrossRef]
- Zhao, F.; Jiang, T.; Wang, L. A reinforcement learning driven cooperative meta-heuristic algorithm for energy-efficient distributed no-wait flow-shop scheduling with sequence-dependent setup time. IEEE Trans. Ind. Inform. 2022, 19, 8427–8440. [Google Scholar] [CrossRef]
- Bao, H.; Pan, Q.; Ruiz, R.; Gao, L. A collaborative iterated greedy algorithm with reinforcement learning for energy-aware distributed blocking flow-shop scheduling. Swarm Evol. Comput. 2023, 83, 101399. [Google Scholar] [CrossRef]
- Yu, H.; Gao, K.; Li, Z.; Suganthan, P.N. Energy-efficient multi-objective distributed assembly permutation flowshop scheduling by Q-learning based meta-heuristics. Appl. Soft Comput. 2024, 166, 112247. [Google Scholar] [CrossRef]
- Li, R.; Gong, W.; Lu, C. A reinforcement learning based RMOEA/D for bi-objective fuzzy flexible job shop scheduling. Expert Syst. Appl. 2022, 203, 117380. [Google Scholar] [CrossRef]
- Li, Y.; Liao, C.; Wang, L.; Xiao, Y.; Cao, Y.; Guo, S. A reinforcement learning-artificial bee colony algorithm for flexible job-shop scheduling problem with lot streaming. Appl. Soft Comput. 2023, 146, 110658. [Google Scholar] [CrossRef]
- Zhang, Z.; Fu, Y.; Gao, K.; Pan, Q.; Huang, M. A learning-driven multi-objective cooperative artificial bee colony algorithm for distributed flexible job shop scheduling problems with preventive maintenance and transportation operations. Comput. Ind. Eng. 2024, 196, 110484. [Google Scholar] [CrossRef]
- Tang, H.; Xiao, Y.; Zhang, W.; Lei, D.; Wang, J.; Xu, T. A DQL-NSGA-III algorithm for solving the flexible job shop dynamic scheduling problem. Expert Syst. Appl. 2024, 237, 121723. [Google Scholar] [CrossRef]
- Vinyals, O.; Fortunato, M.; Jaitly, N. Pointer networks. Adv. Neural Inf. Process. Syst. 2015, 28, 2692–2700. [Google Scholar]
- Taillard, E. Benchmarks for basic scheduling problems. Eur. J. Oper. Res. 1993, 64, 278–285. [Google Scholar] [CrossRef]
- Liang, Z.; Zhong, P.; Liu, M.; Zhang, C.; Zhang, Z. A computational efficient optimization of flow shop scheduling problems. Sci. Rep. 2022, 12, 845. [Google Scholar] [CrossRef]
- Tseng, L.-Y.; Lin, Y.-T. A hybrid genetic algorithm for no-wait flowshop scheduling problem. Int. J. Prod. Econ. 2010, 128, 144–152. [Google Scholar] [CrossRef]
- Zobolas, G.; Tarantilis, C.D.; Ioannou, G. Minimizing makespan in permutation flow shop scheduling problems using a hybrid metaheuristic algorithm. Comput. Oper. Res. 2009, 36, 1249–1267. [Google Scholar] [CrossRef]
- Davendra, D.; Bialic-Davendra, M. Scheduling flow shops with blocking using a discrete self-organising migrating algorithm. Int. J. Prod. Res. 2013, 51, 2200–2218. [Google Scholar] [CrossRef]
- Zhao, F.; Liu, H.; Zhang, Y.; Ma, W.; Zhang, C. A discrete water wave optimization algorithm for no-wait flow shop scheduling problem. Expert Syst. Appl. 2018, 91, 347–363. [Google Scholar] [CrossRef]
- Marichelvam, M.; Tosun, Ö.; Geetha, M. Hybrid monkey search algorithm for flow shop scheduling problem under makespan and total flow time. Appl. Soft Comput. 2017, 55, 82–92. [Google Scholar] [CrossRef]












| References | Type of Problem | Optimization Goals | Methods | Approach Type |
|---|---|---|---|---|
| McMahon G et al. [2] | PFSP | Makespan | branch-and-bound | Exact methods |
| Yavuz M et al. [3] | PFSP | Makespan | dynamic programming | |
| Ronconi D et al. [4] | PFSP | Makespan | mixed integer programming | |
| Nagano M et al. [5] | PFSP | Makespan | branch-and-bound | |
| Gmys J et al. [6] | PFSP | Makespan, tardiness | branch-and-bound | |
| Ozolins A et al. [7] | PFSP | Makespan | dynamic programming | |
| Campbell H et al. [8] | PFSP | Makespan | CDS | Heuristic methods |
| Gupta J [9] | PFSP | Makespan | Gupta algorithm | |
| Nawaz M et al. [10] | PFSP | Makespan | NEH | |
| Puka, R et al. [11,12,13] | PFSP | Makespan | NEH | |
| Zhang J et al. [14] | PFSP | Makespan | NEH | |
| Reeves C [15] | PFSP | Makespan | GA | Metaheuristic methods |
| de Fátima Morais M et al. [16] | PFSP | Makespan | DEA | |
| Abdel-Basset M [17] | PFSP | Makespan | GA | |
| Arık O A [18] | PFSP | Makespan | ABC | |
| Zhang T et al. [19] | PFSP | Makespan | HPSOA | |
| Bellabai J R et al. [20] | PFSP | Makespan | BA | |
| Kurdi M [21] | PFSP | Makespan | ACO with NEH | |
| Xin X et al. [22] | PFSP | Makespan | WOA | |
| Chen S et al. [23] | PFSP | Makespan | HGWOA | |
| Schulz S et al. [24] | DPFSP | Makespan, carbon emissions | Iterated greedy algorithm | |
| Lu C et al. [25] | DPFSP | Makespan, energy consumption | Pareto-based collaborative multi-objective optimization algorithm | |
| Gu W et al. [26] | PFSP | Makespan, carbon emissions | HCSA | |
| Wang J J [27] | DPFSP | Makespan, energy consumption | Knowledge-based cooperative algorithm | |
| Fernandez-Viagas V et al. [28] | GPFSP | Makespan, energy consumption | Critical-path-based iterated local search | |
| Li M et al. [29] | HFSP | Makespan, energy consumption | DABC | |
| Zhao F et al. [30] | DBFSP | Makespan, energy consumption | MODEA | |
| Kong L et al. [31] | HFSP | Makespan, energy consumption | GA | |
| Zhou B et al. [32] | HFSP | Weighted delivery penalty, energy consumption | Multi-objective differential evolution algorithm | |
| Xu F et al. [33] | GRHFSP | Makespan, the comprehensive impact of resources and the environment | Improved moth–flame optimization algorithm | |
| Pan Z et al. [46] | PFSP | Makespan | Knowledge-guided end-to-end optimization algorithm | RL |
| Dong Z et al. [47] | PFSP | Late work | DRL | |
| Wang Z et al. [48] | Non-PFSP | Makespan | DRL | |
| Liu C L et al. [49] | JSSP | Makespan | DRL | |
| Zhang J D et al. [50] | FJSP | Makespan | DRL | |
| Jing X et al. [51] | FJSP | Makespan | DRL | |
| Lei K et al. [52] | FJSP | Makespan | DRL | |
| Wang H et al. [53] | DFJSP | Makespan | DRL | |
| Chen R et al. [54] | FJSP | Makespan | DRL with GA | RL combined with traditional algorithms |
| Li H et al. [55] | PFSP | Makespan | ABC with Q-learning | |
| Pan Z et al. [56] | PFSP | Makespan | DRL with NEH | |
| Li Y et al. [57] | PFSP | Makespan | Deep learning strategy with SSA | |
| Guo D et al. [58] | PFSP | Makespan | NEH with Q-learning | |
| Zhao F et al. [59] | DNFSP | Makespan | Cooperative metaheuristic algorithm with Q-learning | |
| Bao H et al. [60] | DBFSP | Makespan, energy consumption | IGA with Q-learning | |
| Yu H et al. [61] | DAPFSP | Makespan, average of earliness and tardiness, total carbon emissions | ABC, GA, PSOA, IGA, and Jaya algorithm with Q-learning | |
| Li R et al. [62] | FJSP | Makespan | ABC with Q-learning | |
| Li R et al. [63] | FJSP | Makespan, total workload of the machines | MOEA/D with Q-learning | |
| Gu Y et al. [64] | DJSP | Makespan | DQN with SSA | |
| Zhang Z et al. [65] | DFJSP | Makespan, factory workload | ABC with Q-learning | |
| Tang H et al. [66] | DFJSP | Makespan, energy consumption of transportation equipment, deviation of processing machines before and after equipment breakdowns | NSGA-III with DQN |
| Notation | Description |
|---|---|
| , represents the number of jobs | |
| , represents the number of machines | |
| The maximum completion time | |
| The power consumption of the machine during processing | |
| The power consumption of the machine during idle periods | |
| The energy consumption of the machine during processing | |
| The energy consumption of the machine during idle periods | |
| Total energy consumption | |
| A sufficiently large positive number | |
| Actor Network (Pointer Network) | Critic Network |
|---|---|
| Encoder: 1D-Conv (,128, kernel size = 1, stride = 1) | 1D-Conv (,128, kernel size = 1, stride = 1) |
| 1D-Conv (128, 20, kernel size = 1, stride = 1) | |
| Decoder: GRU (hidden size = 128, number of layers = 1) Attention (no hyper parameters) | 1D-Conv (20, 20, kernel size = 1, stride = 1) |
| 1D-Conv (20, 1, kernel size = 1, stride = 1) |
| Number | Population Combinations | Crossover Probability | Mutation Probability | Hamming Distance | Average Makespan |
|---|---|---|---|---|---|
| 1 | (90, 10) | 0.9 | 0.1 | 7 | 2315.32 |
| 2 | (90, 10) | 0.8 | 0.2 | 8 | 2246.32 |
| 3 | (90, 10) | 0.7 | 0.3 | 9 | 2375.35 |
| 4 | (70, 30) | 0.9 | 0.2 | 9 | 2289.15 |
| 5 | (70, 30) | 0.8 | 0.3 | 7 | 2287.42 |
| 6 | (70, 30) | 0.7 | 0.1 | 8 | 2298.24 |
| 7 | (80, 20) | 0.9 | 0.3 | 8 | 2166.32 |
| 8 | (80, 20) | 0.8 | 0.1 | 9 | 2191.21 |
| 9 | (80, 20) | 0.7 | 0.2 | 1 | 2151.14 |
| 6936.99 | 6770.79 | 6804.78 | 6753.87 | T = 81,284.88 | |
| 6877.80 | 6724.95 | 6686.61 | 6710.88 | ||
| 6508.68 | 6824.73 | 6829.08 | 6855.72 | ||
| 2312.33 | 2256.93 | 2268.26 | 2251.29 | ||
| 2292.60 | 2241.65 | 2228.87 | 2236.96 | ||
| 2169.56 | 2274.91 | 2276.36 | 2285.24 | ||
| 142.77 | 33.26 | 47.49 | 48.28 |
| Parameters | Value | ||||
|---|---|---|---|---|---|
| n = 20 | n = 50 | n = 100 | n = 200 | n = 500 | |
| Population size | 100 | 200 | 200 | 200 | 200 |
| 80 | 150 | 150 | 150 | 150 | |
| 20 | 50 | 50 | 50 | 50 | |
| Number of iterations | 200 | 300 | 300 | 300 | 300 |
| Probability of crossover | 0.8 | 0.8 | 0.8 | 0.8 | 0.8 |
| Probability of mutation | 0.2 | 0.2 | 0.2 | 0.2 | 0.2 |
| Hamming distance | 8 | 10 | 10 | 10 | 10 |
| Number of runs | 3 | 3 | 3 | 3 | 3 |
| Order | Instance | n | m | PFSP_NET_GA | GA |
|---|---|---|---|---|---|
| 1 | Ta021 | 20 | 20 | 2327 | 2352.33 |
| 2 | Ta022 | 20 | 20 | 2127.33 | 2149.33 |
| 3 | Ta023 | 20 | 20 | 2341.67 | 2395.33 |
| 4 | Ta024 | 20 | 20 | 2234 | 2284.67 |
| 5 | Ta025 | 20 | 20 | 2322.67 | 2347 |
| 6 | Ta026 | 20 | 20 | 2238.66 | 2274.33 |
| 7 | Ta027 | 20 | 20 | 2282.33 | 2318 |
| 8 | Ta028 | 20 | 20 | 2219 | 2248 |
| 9 | Ta029 | 20 | 20 | 2254.33 | 2279.33 |
| 10 | Ta030 | 20 | 20 | 2191.67 | 2237.67 |
| 11 | Ta051 | 50 | 20 | 3978.33 | 4069.33 |
| 12 | Ta052 | 50 | 20 | 3861 | 3954.67 |
| 13 | Ta053 | 50 | 20 | 3794 | 3869.67 |
| 14 | Ta054 | 50 | 20 | 3848 | 3950.33 |
| 15 | Ta055 | 50 | 20 | 3735 | 3838.67 |
| 16 | Ta056 | 50 | 20 | 3800.33 | 3916.33 |
| 17 | Ta057 | 50 | 20 | 3850.33 | 3939 |
| 18 | Ta058 | 50 | 20 | 3828.33 | 3978.33 |
| 19 | Ta059 | 50 | 20 | 3906.33 | 3965.33 |
| 20 | Ta060 | 50 | 20 | 3899 | 3970.33 |
| Order | Instance | n | m | GA with Hybrid Operators | GA Without Hybrid Operators |
|---|---|---|---|---|---|
| 1 | Ta041 | 50 | 10 | 3071.67 | 3118.67 |
| 2 | Ta042 | 50 | 10 | 2983 | 3074.33 |
| 3 | Ta043 | 50 | 10 | 2968.33 | 3124.67 |
| 4 | Ta044 | 50 | 10 | 3132.67 | 3174.33 |
| 5 | Ta045 | 50 | 10 | 3102.33 | 3154.33 |
| 6 | Ta046 | 50 | 10 | 3099.33 | 3145.67 |
| 7 | Ta047 | 50 | 10 | 3165 | 3192 |
| 8 | Ta048 | 50 | 10 | 3093.67 | 3160.67 |
| 9 | Ta049 | 50 | 10 | 2983.67 | 3037.33 |
| 10 | Ta050 | 50 | 10 | 3184.33 | 3204.33 |
| 11 | Ta071 | 100 | 10 | 5914.33 | 5954.67 |
| 12 | Ta072 | 100 | 10 | 5437.00 | 5547.67 |
| 13 | Ta073 | 100 | 10 | 5778.33 | 5827.33 |
| 14 | Ta074 | 100 | 10 | 5934.00 | 5992 |
| 15 | Ta075 | 100 | 10 | 5692.67 | 5696.67 |
| 16 | Ta076 | 100 | 10 | 5401.67 | 5425.33 |
| 17 | Ta077 | 100 | 10 | 5715.67 | 5747.67 |
| 18 | Ta078 | 100 | 10 | 5772.67 | 5819.67 |
| 19 | Ta079 | 100 | 10 | 5960.33 | 5983.67 |
| 20 | Ta080 | 100 | 10 | 5913.67 | 5970 |
| Order | Instance | n | m | SGA | EGA | HGA [68] | PFSP_NET_IGA | |||||
|---|---|---|---|---|---|---|---|---|---|---|---|---|
| BRE | BRE | BRE | BRE | |||||||||
| 1 | Ta001 | 20 | 5 | 1278 | 1297 | 1.49 | 1297 | 1.49 | 1449 | 13.38 | 1278 | 0.00 |
| 2 | Ta002 | 20 | 5 | 1359 | 1374 | 1.10 | 1366 | 0.52 | 1460 | 7.43 | 1360 | 0.07 |
| 3 | Ta003 | 20 | 5 | 1081 | 1114 | 3.05 | 1098 | 1.57 | 1386 | 28.21 | 1081 | 0.00 |
| 4 | Ta004 | 20 | 5 | 1293 | 1311 | 1.39 | 1305 | 0.93 | 1521 | 17.63 | 1299 | 0.46 |
| 5 | Ta005 | 20 | 5 | 1236 | 1258 | 1.78 | 1237 | 0.08 | 1403 | 13.51 | 1235 | −0.08 |
| 6 | Ta006 | 20 | 5 | 1195 | 1224 | 2.43 | 1210 | 1.26 | 1430 | 19.67 | 1195 | 0.00 |
| 7 | Ta007 | 20 | 5 | 1239 | 1275 | 2.91 | 1251 | 0.97 | 1461 | 17.92 | 1251 | 0.97 |
| 8 | Ta008 | 20 | 5 | 1206 | 1255 | 4.06 | 1214 | 0.66 | 1433 | 18.82 | 1206 | 0.00 |
| 9 | Ta009 | 20 | 5 | 1230 | 1273 | 3.50 | 1255 | 2.03 | 1398 | 13.66 | 1230 | 0.00 |
| 10 | Ta010 | 20 | 5 | 1108 | 1136 | 2.53 | 1127 | 1.71 | 1324 | 19.49 | 1108 | 0.00 |
| 11 | Ta011 | 20 | 10 | 1582 | 1671 | 5.63 | 1599 | 1.07 | 1955 | 23.58 | 1583 | 0.06 |
| 12 | Ta012 | 20 | 10 | 1659 | 1735 | 4.58 | 1689 | 1.81 | 2123 | 27.97 | 1664 | 0.30 |
| 13 | Ta013 | 20 | 10 | 1496 | 1572 | 5.08 | 1539 | 2.87 | 1912 | 27.81 | 1499 | 0.20 |
| 14 | Ta014 | 20 | 10 | 1378 | 1400 | 1.60 | 1406 | 2.03 | 1782 | 29.32 | 1379 | 0.07 |
| 15 | Ta015 | 20 | 10 | 1419 | 1500 | 5.71 | 1456 | 2.61 | 1933 | 36.22 | 1419 | 0.00 |
| 16 | Ta016 | 20 | 10 | 1397 | 1447 | 3.58 | 1432 | 2.51 | 1827 | 30.78 | 1398 | 0.07 |
| 17 | Ta017 | 20 | 10 | 1484 | 1550 | 4.45 | 1500 | 1.08 | 1944 | 31.00 | 1484 | 0.00 |
| 18 | Ta018 | 20 | 10 | 1538 | 1621 | 5.40 | 1577 | 2.54 | 2006 | 30.43 | 1544 | 0.39 |
| 19 | Ta019 | 20 | 10 | 1593 | 1705 | 7.03 | 1637 | 2.76 | 1908 | 19.77 | 1594 | 0.06 |
| 20 | Ta020 | 20 | 10 | 1591 | 1643 | 3.27 | 1620 | 1.82 | 2001 | 25.77 | 1591 | 0.00 |
| 21 | Ta021 | 20 | 20 | 2297 | 2399 | 4.44 | 2356 | 2.57 | 2912 | 26.77 | 2300 | 0.13 |
| 22 | Ta022 | 20 | 20 | 2100 | 2214 | 5.43 | 2165 | 3.10 | 2780 | 32.38 | 2101 | 0.05 |
| 23 | Ta023 | 20 | 20 | 2326 | 2439 | 4.86 | 2381 | 2.36 | 2922 | 25.62 | 2334 | 0.34 |
| 24 | Ta024 | 20 | 20 | 2223 | 2298 | 3.37 | 2255 | 1.44 | 2967 | 33.47 | 2223 | 0.00 |
| 25 | Ta025 | 20 | 20 | 2291 | 2391 | 4.36 | 2330 | 1.70 | 2953 | 28.90 | 2302 | 0.48 |
| 26 | Ta026 | 20 | 20 | 2226 | 2362 | 6.11 | 2322 | 4.31 | 2908 | 30.64 | 2229 | 0.13 |
| 27 | Ta027 | 20 | 20 | 2273 | 2364 | 4.00 | 2312 | 1.72 | 2970 | 30.66 | 2273 | 0.00 |
| 28 | Ta028 | 20 | 20 | 2200 | 2274 | 3.36 | 2247 | 2.14 | 2763 | 25.59 | 2209 | 0.41 |
| 29 | Ta029 | 20 | 20 | 2237 | 2371 | 5.99 | 2266 | 1.30 | 2972 | 32.86 | 2242 | 0.22 |
| 30 | Ta030 | 20 | 20 | 2178 | 2288 | 5.05 | 2263 | 3.90 | 2919 | 34.02 | 2180 | 0.09 |
| 31 | Ta031 | 50 | 5 | 2724 | 2752 | 1.03 | 2752 | 1.03 | 3127 | 14.79 | 2724 | 0.00 |
| 32 | Ta032 | 50 | 5 | 2834 | 2848 | 0.49 | 2848 | 0.49 | 3438 | 21.31 | 2838 | 0.14 |
| 33 | Ta033 | 50 | 5 | 2621 | 2665 | 1.68 | 2630 | 0.34 | 3182 | 21.40 | 2621 | 0.00 |
| 34 | Ta034 | 50 | 5 | 2751 | 2763 | 0.44 | 2770 | 0.69 | 3289 | 19.56 | 2762 | 0.40 |
| 35 | Ta035 | 50 | 5 | 2863 | 2890 | 0.94 | 2864 | 0.03 | 3315 | 15.79 | 2863 | 0.00 |
| 36 | Ta036 | 50 | 5 | 2829 | 2873 | 1.56 | 2857 | 0.99 | 3324 | 17.50 | 2832 | 0.11 |
| 37 | Ta037 | 50 | 5 | 2725 | 2795 | 2.57 | 2739 | 0.51 | 3183 | 16.81 | 2725 | 0.00 |
| 38 | Ta038 | 50 | 5 | 2683 | 2717 | 1.27 | 2705 | 0.82 | 3243 | 20.87 | 2694 | 0.41 |
| 39 | Ta039 | 50 | 5 | 2552 | 2587 | 1.37 | 2569 | 0.67 | 3059 | 19.87 | 2561 | 0.35 |
| 40 | Ta040 | 50 | 5 | 2782 | 2784 | 0.07 | 2783 | 0.04 | 3301 | 18.66 | 2782 | 0.00 |
| 41 | Ta041 | 50 | 10 | 3025 | 3154 | 4.26 | 3146 | 4.00 | 4251 | 40.53 | 3042 | 0.56 |
| 42 | Ta042 | 50 | 10 | 2892 | 3081 | 6.54 | 3017 | 4.32 | 4139 | 43.12 | 2904 | 0.41 |
| 43 | Ta043 | 50 | 10 | 2864 | 3007 | 4.99 | 2967 | 3.60 | 4083 | 42.56 | 2871 | 0.24 |
| 44 | Ta044 | 50 | 10 | 3064 | 3203 | 4.54 | 3159 | 3.10 | 4480 | 46.21 | 3064 | 0.00 |
| 45 | Ta045 | 50 | 10 | 2986 | 3158 | 5.76 | 3147 | 5.39 | 4316 | 44.54 | 3010 | 0.80 |
| 46 | Ta046 | 50 | 10 | 3006 | 3201 | 6.49 | 3101 | 3.16 | 4282 | 42.45 | 3006 | 0.00 |
| 47 | Ta047 | 50 | 10 | 3107 | 3254 | 4.73 | 3241 | 4.31 | 4376 | 40.84 | 3120 | 0.42 |
| 48 | Ta048 | 50 | 10 | 3039 | 3173 | 4.41 | 3158 | 3.92 | 4304 | 41.63 | 3046 | 0.23 |
| 49 | Ta049 | 50 | 10 | 2902 | 3063 | 5.55 | 3025 | 4.24 | 4162 | 43.42 | 2932 | 1.03 |
| 50 | Ta050 | 50 | 10 | 3091 | 3231 | 4.53 | 3190 | 3.20 | 4232 | 36.91 | 3091 | 0.00 |
| 51 | Ta051 | 50 | 20 | 3875 | 4113 | 6.14 | 4004 | 3.33 | 6138 | 58.40 | 3895 | 0.52 |
| 52 | Ta052 | 50 | 20 | 3715 | 4048 | 8.96 | 3984 | 7.24 | 5721 | 54.00 | 3748 | 0.89 |
| 53 | Ta053 | 50 | 20 | 3668 | 3922 | 6.92 | 3854 | 5.07 | 5847 | 59.41 | 3727 | 1.61 |
| 54 | Ta054 | 50 | 20 | 3752 | 3964 | 5.65 | 3916 | 4.37 | 5781 | 54.08 | 3770 | 0.48 |
| 55 | Ta055 | 50 | 20 | 3635 | 3879 | 6.71 | 3855 | 6.05 | 5891 | 62.06 | 3642 | 0.19 |
| 56 | Ta056 | 50 | 20 | 3698 | 3979 | 7.60 | 3856 | 4.27 | 5875 | 58.87 | 3750 | 1.41 |
| 57 | Ta057 | 50 | 20 | 3716 | 3995 | 7.51 | 3935 | 5.89 | 5937 | 59.77 | 3776 | 1.61 |
| 58 | Ta058 | 50 | 20 | 3709 | 3965 | 6.90 | 3924 | 5.80 | 5919 | 59.58 | 3749 | 1.08 |
| 59 | Ta059 | 50 | 20 | 3765 | 3992 | 6.03 | 3954 | 5.02 | 5839 | 55.09 | 3830 | 1.73 |
| 60 | Ta060 | 50 | 20 | 3777 | 4060 | 7.49 | 3985 | 5.51 | 5935 | 57.14 | 3843 | 1.75 |
| 61 | Ta061 | 100 | 5 | 5493 | 5527 | 0.62 | 5495 | 0.04 | 6492 | 18.19 | 5493 | 0.00 |
| 62 | Ta062 | 100 | 5 | 5268 | 5316 | 0.91 | 5316 | 0.91 | 6353 | 20.60 | 5268 | 0.00 |
| 63 | Ta063 | 100 | 5 | 5175 | 5221 | 0.89 | 5213 | 0.73 | 6148 | 18.80 | 5175 | 0.00 |
| 64 | Ta064 | 100 | 5 | 5014 | 5068 | 1.08 | 5035 | 0.42 | 6080 | 21.26 | 5018 | 0.08 |
| 65 | Ta065 | 100 | 5 | 5250 | 5311 | 1.16 | 5285 | 0.67 | 6254 | 19.12 | 5250 | 0.00 |
| 66 | Ta066 | 100 | 5 | 5135 | 5152 | 0.33 | 5161 | 0.51 | 6177 | 20.29 | 5135 | 0.00 |
| 67 | Ta067 | 100 | 5 | 5246 | 5304 | 1.11 | 5305 | 1.12 | 6257 | 19.27 | 5247 | 0.02 |
| 68 | Ta068 | 100 | 5 | 5106 | 5219 | 2.21 | 5137 | 0.61 | 6225 | 21.92 | 5101 | −0.10 |
| 69 | Ta069 | 100 | 5 | 5454 | 5504 | 0.92 | 5506 | 0.95 | 6443 | 18.13 | 5454 | 0.00 |
| 70 | Ta070 | 100 | 5 | 5328 | 5377 | 0.92 | 5386 | 1.09 | 6441 | 20.89 | 5328 | 0.00 |
| 71 | Ta071 | 100 | 10 | 5770 | 6101 | 5.74 | 5986 | 3.74 | 8115 | 40.64 | 5799 | 0.50 |
| 72 | Ta072 | 100 | 10 | 5349 | 5578 | 4.28 | 5511 | 3.03 | 7986 | 49.30 | 5362 | 0.24 |
| 73 | Ta073 | 100 | 10 | 5677 | 5804 | 2.24 | 5798 | 2.13 | 8057 | 41.92 | 5691 | 0.25 |
| 74 | Ta074 | 100 | 10 | 5791 | 6099 | 5.32 | 5998 | 3.57 | 8327 | 43.79 | 5841 | 0.86 |
| 75 | Ta075 | 100 | 10 | 5468 | 5741 | 4.99 | 5684 | 3.95 | 7991 | 46.14 | 5511 | 0.79 |
| 76 | Ta076 | 100 | 10 | 5303 | 5479 | 3.32 | 5430 | 2.39 | 7823 | 47.52 | 5321 | 0.34 |
| 77 | Ta077 | 100 | 10 | 5599 | 5828 | 4.09 | 5794 | 3.48 | 7915 | 41.36 | 5641 | 0.75 |
| 78 | Ta078 | 100 | 10 | 5623 | 5848 | 4.00 | 5788 | 2.93 | 7939 | 41.19 | 5658 | 0.62 |
| 79 | Ta079 | 100 | 10 | 5875 | 5957 | 1.40 | 5966 | 1.55 | 8226 | 40.02 | 5891 | 0.27 |
| 80 | Ta080 | 100 | 10 | 5845 | 6101 | 4.38 | 5942 | 1.66 | 8186 | 40.05 | 5903 | 0.99 |
| 81 | Ta081 | 100 | 20 | 6286 | 6794 | 8.08 | 6662 | 5.98 | 10,745 | 70.94 | 6359 | 1.16 |
| 82 | Ta082 | 100 | 20 | 6241 | 6679 | 7.02 | 6607 | 5.86 | 10,655 | 70.73 | 6319 | 1.25 |
| 83 | Ta083 | 100 | 20 | 6329 | 6740 | 6.49 | 6686 | 5.64 | 10,672 | 68.62 | 6396 | 1.06 |
| 84 | Ta084 | 100 | 20 | 6306 | 6552 | 3.90 | 6672 | 5.80 | 10,630 | 68.57 | 6388 | 1.30 |
| 85 | Ta085 | 100 | 20 | 6377 | 6722 | 5.41 | 6735 | 5.61 | 10,548 | 65.41 | 6431 | 0.85 |
| 86 | Ta086 | 100 | 20 | 6437 | 6835 | 6.18 | 6815 | 5.87 | 10,700 | 66.23 | 6497 | 0.93 |
| 87 | Ta087 | 100 | 20 | 6346 | 6799 | 7.14 | 6746 | 6.30 | 10,827 | 70.61 | 6383 | 0.58 |
| 88 | Ta088 | 100 | 20 | 6481 | 6834 | 5.45 | 6860 | 5.85 | 10,863 | 67.61 | 6538 | 0.88 |
| 89 | Ta089 | 100 | 20 | 6358 | 6724 | 5.76 | 6725 | 5.77 | 10,751 | 69.09 | 6414 | 0.88 |
| 90 | Ta090 | 100 | 20 | 6465 | 6768 | 4.69 | 6856 | 6.05 | 10,794 | 66.96 | 6542 | 1.19 |
| 91 | Ta091 | 200 | 10 | 10,868 | 11,053 | 1.70 | 11,083 | 1.98 | 15,739 | 44.82 | 10,872 | 0.04 |
| 92 | Ta092 | 200 | 10 | 10,494 | 10,730 | 2.25 | 10,753 | 2.47 | 15,534 | 48.03 | 10,603 | 1.04 |
| 93 | Ta093 | 200 | 10 | 10,922 | 11,166 | 2.23 | 11,125 | 1.86 | 15,755 | 44.25 | 11,001 | 0.72 |
| 94 | Ta094 | 200 | 10 | 10,889 | 11,010, | 1.11 | 11,000 | 1.02 | 15,842 | 45.49 | 10,985 | 0.88 |
| 95 | Ta095 | 200 | 10 | 10,524 | 10,742 | 2.07 | 10,765 | 2.29 | 15,692 | 49.11 | 10,575 | 0.48 |
| 96 | Ta096 | 200 | 10 | 10,331 | 10,649 | 3.08 | 10,637 | 2.96 | 15,622 | 51.21 | 10,375 | 0.43 |
| 97 | Ta097 | 200 | 10 | 10,857 | 11,129 | 2.51 | 11,051 | 1.79 | 15,877 | 46.24 | 10,908 | 0.47 |
| 98 | Ta098 | 200 | 10 | 10,731 | 10,935 | 1.90 | 10,964 | 2.17 | 15,733 | 46.61 | 10,771 | 0.37 |
| 99 | Ta099 | 200 | 10 | 10,438 | 10,746 | 2.95 | 10,748 | 2.97 | 15,573 | 49.20 | 10,467 | 0.28 |
| 100 | Ta100 | 200 | 10 | 10,676 | 10,870 | 1.82 | 10,854 | 1.67 | 15,803 | 48.02 | 10,727 | 0.48 |
| 101 | Ta101 | 200 | 20 | 11,294 | 11,833 | 4.77 | 11,857 | 4.98 | 20,148 | 78.40 | 11,476 | 1.61 |
| 102 | Ta102 | 200 | 20 | 11,420 | 12,052 | 5.53 | 12,012 | 5.18 | 20,539 | 79.85 | 11,445 | 0.22 |
| 103 | Ta103 | 200 | 20 | 11,446 | 12,066 | 5.42 | 12,151 | 6.16 | 20,511 | 79.20 | 11,573 | 1.11 |
| 104 | Ta104 | 200 | 20 | 11,347 | 11,996 | 5.72 | 12,107 | 6.70 | 20,461 | 80.32 | 11,514 | 1.47 |
| 105 | Ta105 | 200 | 20 | 11,311 | 12,003 | 6.12 | 11,988 | 5.99 | 20,339 | 79.82 | 11,399 | 0.78 |
| 106 | Ta106 | 200 | 20 | 11,282 | 11,917 | 5.63 | 12,020 | 6.54 | 20,501 | 81.71 | 11,411 | 1.14 |
| 107 | Ta107 | 200 | 20 | 11,456 | 12,224 | 6.70 | 12,196 | 6.46 | 20,680 | 80.52 | 11,577 | 1.06 |
| 108 | Ta108 | 200 | 20 | 11,415 | 12,091 | 5.92 | 12,087 | 5.89 | 20,614 | 80.59 | 11,604 | 1.66 |
| 109 | Ta109 | 200 | 20 | 11,343 | 11,933 | 5.20 | 11,945 | 5.31 | 20,300 | 78.97 | 11,416 | 0.64 |
| 110 | Ta110 | 200 | 20 | 11,422 | 12,021 | 5.24 | 12,046 | 5.46 | 20,437 | 78.93 | 11,556 | 1.17 |
| 111 | Ta111 | 500 | 20 | 26,059 | 27,654 | 6.12 | 27,733 | 6.42 | 49,095 | 88.40 | 26,542 | 1.85 |
| 112 | Ta112 | 500 | 20 | 26,520 | 27,955 | 5.41 | 27,858 | 5.05 | 49,461 | 86.50 | 26,841 | 1.21 |
| 113 | Ta113 | 500 | 20 | 26,371 | 27,866 | 5.67 | 27,705 | 5.06 | 48,777 | 84.96 | 26,618 | 0.94 |
| 114 | Ta114 | 500 | 20 | 26,456 | 27,853 | 5.28 | 27,727 | 4.80 | 49,283 | 86.28 | 26,692 | 0.89 |
| 115 | Ta115 | 500 | 20 | 26,334 | 27,731 | 5.30 | 27,630 | 4.92 | 48,950 | 85.88 | 26,652 | 1.21 |
| 116 | Ta116 | 500 | 20 | 26,477 | 27,936 | 5.51 | 27,865 | 5.24 | 49,533 | 87.08 | 26,710 | 0.88 |
| 117 | Ta117 | 500 | 20 | 26,389 | 27,761 | 5.20 | 27,385 | 3.77 | 48,943 | 85.47 | 26,550 | 0.61 |
| 118 | Ta118 | 500 | 20 | 26,560 | 28,153 | 6.00 | 27,954 | 5.25 | 49,277 | 85.53 | 26,716 | 0.59 |
| 119 | Ta119 | 500 | 20 | 26,005 | 27,578 | 6.05 | 27,575 | 6.04 | 49,207 | 89.22 | 26,212 | 0.80 |
| 120 | Ta120 | 500 | 20 | 26,457 | 27,784 | 5.02 | 27,701 | 4.70 | 49,092 | 85.55 | 26,742 | 1.08 |
| Order | Instance | n | m | The Energy Consumption of Scheduling | |
|---|---|---|---|---|---|
| PFSP_NET_IGA | GPFSP_NET_IGA | ||||
| 1 | Ta011 | 20 | 10 | 45,227 | 42,457 |
| 2 | Ta012 | 20 | 10 | 48,560 | 44,576 |
| 3 | Ta013 | 20 | 10 | 43,492 | 40,342 |
| 4 | Ta014 | 20 | 10 | 40,516 | 36,622 |
| 5 | Ta015 | 20 | 10 | 43,261 | 38,555 |
| 6 | Ta016 | 20 | 10 | 41,172 | 38,118 |
| 7 | Ta017 | 20 | 10 | 42,171 | 38,995 |
| 8 | Ta018 | 20 | 10 | 44,626 | 39,692 |
| 9 | Ta019 | 20 | 10 | 45,966 | 40,670 |
| 10 | Ta020 | 20 | 10 | 46,596 | 43,196 |
| 11 | Ta041 | 50 | 10 | 97,074 | 88,610 |
| 12 | Ta042 | 50 | 10 | 92,622 | 84,608 |
| 13 | Ta043 | 50 | 10 | 91,933 | 84,323 |
| 14 | Ta044 | 50 | 10 | 97,597 | 88,753 |
| 15 | Ta045 | 50 | 10 | 97,675 | 88,077 |
| 16 | Ta046 | 50 | 10 | 96,398 | 87,980 |
| 17 | Ta047 | 50 | 10 | 96,266 | 88,734 |
| 18 | Ta048 | 50 | 10 | 94,565 | 86,865 |
| 19 | Ta049 | 50 | 10 | 95,514 | 86,358 |
| 20 | Ta050 | 50 | 10 | 96,598 | 90,520 |
| 21 | Ta071 | 100 | 10 | 190,721 | 173,743 |
| 22 | Ta072 | 100 | 10 | 181,539 | 161,745 |
| 23 | Ta073 | 100 | 10 | 184,231 | 169,777 |
| 24 | Ta074 | 100 | 10 | 192,878 | 176,232 |
| 25 | Ta075 | 100 | 10 | 182,665 | 167,755 |
| 26 | Ta076 | 100 | 10 | 174,353 | 159,219 |
| 27 | Ta077 | 100 | 10 | 182,328 | 166,108 |
| 28 | Ta078 | 100 | 10 | 181,117 | 167,377 |
| 29 | Ta079 | 100 | 10 | 187,984 | 171,580 |
| 30 | Ta080 | 100 | 10 | 186,336 | 171,156 |
| Order | Instance | n | m | DSOMA [70] | DWWO [71] | HMSA [72] | PFSP_NET_IGA | |||||
|---|---|---|---|---|---|---|---|---|---|---|---|---|
| BRE | BRE | BRE | BRE | |||||||||
| 1 | Ta001 | 20 | 5 | 1278 | 1374 | 7.51 | 1486 | 16.28 | 1282 | 0.31 | 1278 | 0.00 |
| 2 | Ta002 | 20 | 5 | 1359 | 1408 | 3.61 | 1528 | 12.44 | 1362 | 0.22 | 1360 | 0.07 |
| 3 | Ta003 | 20 | 5 | 1081 | 1280 | 18.41 | 1460 | 35.06 | 1094 | 1.20 | 1081 | 0.00 |
| 4 | Ta004 | 20 | 5 | 1293 | 1448 | 11.99 | 1588 | 22.82 | 1304 | 0.85 | 1299 | 0.46 |
| 5 | Ta005 | 20 | 5 | 1236 | 1341 | 8.50 | 1449 | 17.23 | 1248 | 0.97 | 1235 | −0.08 |
| 6 | Ta006 | 20 | 5 | 1195 | 1363 | 14.06 | 1481 | 23.93 | 1204 | 0.75 | 1195 | 0.00 |
| 7 | Ta007 | 20 | 5 | 1239 | 1381 | 11.46 | 1483 | 19.69 | 1247 | 0.65 | 1251 | 0.97 |
| 8 | Ta008 | 20 | 5 | 1206 | 1379 | 14.34 | 1482 | 22.89 | 1208 | 0.17 | 1206 | 0.00 |
| 9 | Ta009 | 20 | 5 | 1230 | 1373 | 11.63 | 1469 | 19.43 | 1254 | 1.95 | 1230 | 0.00 |
| 10 | Ta010 | 20 | 5 | 1108 | 1283 | 15.79 | 1377 | 24.28 | 1124 | 1.44 | 1108 | 0.00 |
| 11 | Ta011 | 20 | 10 | 1582 | 1698 | 7.33 | 2044 | 29.20 | 1616 | 2.15 | 1583 | 0.06 |
| 12 | Ta012 | 20 | 10 | 1659 | 1833 | 10.49 | 2166 | 30.56 | 1712 | 3.19 | 1664 | 0.30 |
| 13 | Ta013 | 20 | 10 | 1496 | 1676 | 12.03 | 1940 | 29.68 | 1510 | 0.94 | 1499 | 0.20 |
| 14 | Ta014 | 20 | 10 | 1378 | 1546 | 12.19 | 1811 | 31.42 | 1384 | 0.44 | 1379 | 0.07 |
| 15 | Ta015 | 20 | 10 | 1419 | 1617 | 13.95 | 1933 | 36.22 | 1456 | 2.61 | 1419 | 0.00 |
| 16 | Ta016 | 20 | 10 | 1397 | 1590 | 13.82 | 1892 | 35.43 | 1420 | 1.65 | 1398 | 0.07 |
| 17 | Ta017 | 20 | 10 | 1484 | 1622 | 9.30 | 1963 | 32.28 | 1496 | 0.81 | 1484 | 0.00 |
| 18 | Ta018 | 20 | 10 | 1538 | 1731 | 12.55 | 2057 | 33.75 | 1568 | 1.95 | 1544 | 0.39 |
| 19 | Ta019 | 20 | 10 | 1593 | 1747 | 9.67 | 1973 | 23.85 | 1604 | 0.69 | 1594 | 0.06 |
| 20 | Ta020 | 20 | 10 | 1591 | 1782 | 12.01 | 2051 | 28.91 | 1615 | 1.51 | 1591 | 0.00 |
| 21 | Ta021 | 20 | 20 | 2297 | 2436 | 6.05 | 2973 | 29.43 | 2324 | 1.18 | 2300 | 0.13 |
| 22 | Ta022 | 20 | 20 | 2100 | 2234 | 6.38 | 2852 | 35.81 | 2112 | 0.57 | 2101 | 0.05 |
| 23 | Ta023 | 20 | 20 | 2326 | 2479 | 6.58 | 3013 | 29.54 | 2348 | 0.95 | 2334 | 0.34 |
| 24 | Ta024 | 20 | 20 | 2223 | 2348 | 5.62 | 3001 | 35.00 | 2242 | 0.85 | 2223 | 0.00 |
| 25 | Ta025 | 20 | 20 | 2291 | 2435 | 6.29 | 3003 | 31.08 | 2320 | 1.27 | 2302 | 0.48 |
| 26 | Ta026 | 20 | 20 | 2226 | 2383 | 7.05 | 2998 | 34.68 | 2249 | 1.03 | 2229 | 0.13 |
| 27 | Ta027 | 20 | 20 | 2273 | 2390 | 5.15 | 3052 | 34.27 | 2290 | 0.75 | 2273 | 0.00 |
| 28 | Ta028 | 20 | 20 | 2200 | 2328 | 5.82 | 2839 | 29.05 | 2224 | 1.09 | 2209 | 0.41 |
| 29 | Ta029 | 20 | 20 | 2237 | 2363 | 5.63 | 3009 | 34.51 | 2246 | 0.40 | 2242 | 0.22 |
| 30 | Ta030 | 20 | 20 | 2178 | 2323 | 6.66 | 2979 | 36.78 | 2192 | 0.64 | 2180 | 0.09 |
| 31 | Ta031 | 50 | 5 | 2724 | 3033 | 11.34 | 3170 | 16.37 | 2728 | 0.15 | 2724 | 0.00 |
| 32 | Ta032 | 50 | 5 | 2834 | 3045 | 7.45 | 3441 | 21.42 | 2846 | 0.42 | 2838 | 0.14 |
| 33 | Ta033 | 50 | 5 | 2621 | 3036 | 15.83 | 3218 | 22.78 | 2642 | 0.80 | 2621 | 0.00 |
| 34 | Ta034 | 50 | 5 | 2751 | 3011 | 9.45 | 3349 | 21.74 | 2762 | 0.40 | 2762 | 0.40 |
| 35 | Ta035 | 50 | 5 | 2863 | 3128 | 9.26 | 3376 | 17.92 | 2866 | 0.10 | 2863 | 0.00 |
| 36 | Ta036 | 50 | 5 | 2829 | 3166 | 11.91 | 3352 | 18.49 | 2832 | 0.11 | 2832 | 0.11 |
| 37 | Ta037 | 50 | 5 | 2725 | 3021 | 10.86 | 3243 | 19.01 | 2748 | 0.84 | 2725 | 0.00 |
| 38 | Ta038 | 50 | 5 | 2683 | 3063 | 14.16 | 3239 | 20.72 | 2690 | 0.26 | 2694 | 0.41 |
| 39 | Ta039 | 50 | 5 | 2552 | 2908 | 13.95 | 3078 | 20.61 | 2564 | 0.47 | 2561 | 0.35 |
| 40 | Ta040 | 50 | 5 | 2782 | 3120 | 12.15 | 3330 | 19.70 | 2796 | 0.50 | 2782 | 0.00 |
| 41 | Ta041 | 50 | 10 | 3025 | 3638 | 20.26 | 4274 | 41.29 | 3044 | 0.63 | 3042 | 0.56 |
| 42 | Ta042 | 50 | 10 | 2892 | 3511 | 21.40 | 4180 | 44.54 | 2994 | 3.53 | 2904 | 0.41 |
| 43 | Ta043 | 50 | 10 | 2864 | 3492 | 21.93 | 4099 | 43.12 | 2924 | 2.09 | 2871 | 0.24 |
| 44 | Ta044 | 50 | 10 | 3064 | 3672 | 19.84 | 4407 | 43.83 | 3082 | 0.59 | 3064 | 0.00 |
| 45 | Ta045 | 50 | 10 | 2986 | 3633 | 21.67 | 4324 | 44.81 | 3028 | 1.41 | 3010 | 0.80 |
| 46 | Ta046 | 50 | 10 | 3006 | 3621 | 20.46 | 4294 | 42.85 | 3064 | 1.93 | 3006 | 0.00 |
| 47 | Ta047 | 50 | 10 | 3107 | 3704 | 19.21 | 4420 | 42.26 | 3132 | 0.80 | 3120 | 0.42 |
| 48 | Ta048 | 50 | 10 | 3039 | 3572 | 17.54 | 4323 | 42.25 | 3072 | 1.09 | 3046 | 0.23 |
| 49 | Ta049 | 50 | 10 | 2902 | 3541 | 22.02 | 4155 | 43.18 | 2924 | 0.76 | 2932 | 1.03 |
| 50 | Ta050 | 50 | 10 | 3091 | 3624 | 17.24 | 4286 | 38.66 | 3134 | 1.39 | 3091 | 0.00 |
| 51 | Ta051 | 50 | 20 | 3875 | 4511 | 16.41 | 6129 | 58.17 | 3896 | 0.54 | 3895 | 0.52 |
| 52 | Ta052 | 50 | 20 | 3715 | 4288 | 15.42 | 5725 | 54.10 | 3746 | 0.83 | 3748 | 0.89 |
| 53 | Ta053 | 50 | 20 | 3668 | 4289 | 16.93 | 5862 | 59.81 | 3694 | 0.71 | 3727 | 1.61 |
| 54 | Ta054 | 50 | 20 | 3752 | 4378 | 16.68 | 5789 | 54.29 | 3814 | 1.65 | 3770 | 0.48 |
| 55 | Ta055 | 50 | 20 | 3635 | 4271 | 17.50 | 5886 | 61.93 | 3686 | 1.40 | 3642 | 0.19 |
| 56 | Ta056 | 50 | 20 | 3698 | 4202 | 13.63 | 5871 | 58.76 | 3722 | 0.65 | 3750 | 1.41 |
| 57 | Ta057 | 50 | 20 | 3716 | 4315 | 16.12 | 5969 | 60.63 | 3766 | 1.35 | 3776 | 1.61 |
| 58 | Ta058 | 50 | 20 | 3709 | 4326 | 16.64 | 5926 | 59.77 | 3768 | 1.59 | 3749 | 1.08 |
| 59 | Ta059 | 50 | 20 | 3765 | 4329 | 14.98 | 5876 | 56.07 | 3812 | 1.25 | 3830 | 1.73 |
| 60 | Ta060 | 50 | 20 | 3777 | 4422 | 17.08 | 5958 | 57.74 | 3826 | 1.30 | 3843 | 1.75 |
| 61 | Ta061 | 100 | 5 | 5493 | 6151 | 11.98 | 6433 | 17.11 | 5502 | 0.16 | 5493 | 0.00 |
| 62 | Ta062 | 100 | 5 | 5268 | 6064 | 15.11 | 6268 | 18.98 | 5272 | 0.08 | 5268 | 0.00 |
| 63 | Ta063 | 100 | 5 | 5175 | 6003 | 16.00 | 6162 | 19.07 | 5192 | 0.33 | 5175 | 0.00 |
| 64 | Ta064 | 100 | 5 | 5014 | 5786 | 15.40 | 6055 | 20.76 | 5020 | 0.12 | 5018 | 0.08 |
| 65 | Ta065 | 100 | 5 | 5250 | 6021 | 14.69 | 6221 | 18.50 | 5254 | 0.08 | 5250 | 0.00 |
| 66 | Ta066 | 100 | 5 | 5135 | 5869 | 14.29 | 6121 | 19.20 | 5144 | 0.18 | 5135 | 0.00 |
| 67 | Ta067 | 100 | 5 | 5246 | 6004 | 14.45 | 6311 | 20.30 | 5264 | 0.34 | 5247 | 0.02 |
| 68 | Ta068 | 100 | 5 | 5106 | 5924 | 16.02 | 6197 | 21.37 | 5114 | 0.16 | 5101 | −0.10 |
| 69 | Ta069 | 100 | 5 | 5454 | 6154 | 12.83 | 6418 | 17.68 | 5466 | 0.22 | 5454 | 0.00 |
| 70 | Ta070 | 100 | 5 | 5328 | 6186 | 16.10 | 6404 | 20.20 | 5332 | 0.08 | 5328 | 0.00 |
| 71 | Ta071 | 100 | 10 | 5770 | 7042 | 22.05 | 8093 | 40.26 | 5792 | 0.38 | 5799 | 0.50 |
| 72 | Ta072 | 100 | 10 | 5349 | 6813 | 27.37 | 7891 | 47.52 | 5368 | 0.36 | 5362 | 0.24 |
| 73 | Ta073 | 100 | 10 | 5677 | 6943 | 22.30 | 8047 | 41.75 | 5694 | 0.30 | 5691 | 0.25 |
| 74 | Ta074 | 100 | 10 | 5791 | 7198 | 24.30 | 8364 | 44.43 | 5826 | 0.60 | 5841 | 0.86 |
| 75 | Ta075 | 100 | 10 | 5468 | 6815 | 24.63 | 7966 | 45.68 | 5514 | 0.84 | 5511 | 0.79 |
| 76 | Ta076 | 100 | 10 | 5303 | 6685 | 26.06 | 7791 | 46.92 | 5324 | 0.40 | 5321 | 0.34 |
| 77 | Ta077 | 100 | 10 | 5599 | 6827 | 21.93 | 7881 | 40.76 | 5628 | 0.52 | 5641 | 0.75 |
| 78 | Ta078 | 100 | 10 | 5623 | 6874 | 22.25 | 7924 | 40.92 | 5664 | 0.73 | 5658 | 0.62 |
| 79 | Ta079 | 100 | 10 | 5875 | 6092 | 3.69 | 8152 | 38.76 | 5912 | 0.63 | 5891 | 0.27 |
| 80 | Ta080 | 100 | 10 | 5845 | 6990 | 19.59 | 8126 | 39.02 | 5898 | 0.91 | 5903 | 0.99 |
| 81 | Ta081 | 100 | 20 | 6286 | 7854 | 24.94 | 10,727 | 70.65 | 6306 | 0.32 | 6359 | 1.16 |
| 82 | Ta082 | 100 | 20 | 6241 | 7910 | 26.74 | 10,604 | 69.91 | 6278 | 0.59 | 6319 | 1.25 |
| 83 | Ta083 | 100 | 20 | 6329 | 7825 | 23.64 | 10,624 | 67.86 | 6404 | 1.19 | 6396 | 1.06 |
| 84 | Ta084 | 100 | 20 | 6306 | 7902 | 25.31 | 10,615 | 68.33 | 6484 | 2.82 | 6388 | 1.30 |
| 85 | Ta085 | 100 | 20 | 6377 | 7901 | 23.90 | 10,551 | 65.45 | 6422 | 0.71 | 6431 | 0.85 |
| 86 | Ta086 | 100 | 20 | 6437 | 7921 | 23.05 | 10,680 | 65.92 | 6526 | 1.38 | 6497 | 0.93 |
| 87 | Ta087 | 100 | 20 | 6346 | 8051 | 26.87 | 10,824 | 70.56 | 6412 | 1.04 | 6383 | 0.58 |
| 88 | Ta088 | 100 | 20 | 6481 | 8025 | 23.82 | 10,839 | 67.24 | 6516 | 0.54 | 6538 | 0.88 |
| 89 | Ta089 | 100 | 20 | 6358 | 7969 | 25.34 | 10,745 | 69.00 | 6424 | 1.04 | 6414 | 0.88 |
| 90 | Ta090 | 100 | 20 | 6465 | 8036 | 24.30 | 10,787 | 66.85 | 6496 | 0.48 | 6542 | 1.19 |
| 91 | Ta091 | 200 | 10 | 10,868 | 13,507 | 24.28 | 15,418 | 41.87 | 10,932 | 0.59 | 10,872 | 0.04 |
| 92 | Ta092 | 200 | 10 | 10,494 | 13,458 | 28.24 | 15,252 | 45.34 | 10,624 | 1.24 | 10,603 | 1.04 |
| 93 | Ta093 | 200 | 10 | 10,922 | 13,521 | 23.80 | 15,412 | 41.11 | 11,006 | 0.77 | 110,01 | 0.72 |
| 94 | Ta094 | 200 | 10 | 10,889 | 13,686 | 25.69 | 15,304 | 40.55 | 11,024 | 1.24 | 10,985 | 0.88 |
| 95 | Ta095 | 200 | 10 | 10,524 | 13,547 | 28.72 | 15,277 | 45.16 | 10,674 | 1.43 | 10,575 | 0.48 |
| 96 | Ta096 | 200 | 10 | 10,331 | 13,247 | 28.23 | 15,222 | 47.34 | 10,369 | 0.37 | 10,375 | 0.43 |
| 97 | Ta097 | 200 | 10 | 10,857 | 13,910 | 28.12 | 15,459 | 42.39 | 10,907 | 0.46 | 10,908 | 0.47 |
| 98 | Ta098 | 200 | 10 | 10,731 | 13,830 | 28.88 | 15,307 | 42.64 | 10,794 | 0.59 | 10,771 | 0.37 |
| 99 | Ta099 | 200 | 10 | 10,438 | 13,410 | 28.47 | 15,186 | 45.49 | 10,482 | 0.42 | 10,467 | 0.28 |
| 100 | Ta100 | 200 | 10 | 10,676 | 13,744 | 28.74 | 15,378 | 44.04 | 10,720 | 0.41 | 10,727 | 0.48 |
| 101 | Ta101 | 200 | 20 | 11,294 | 15,027 | 33.05 | 19,724 | 74.64 | 11,342 | 0.43 | 11,476 | 1.61 |
| 102 | Ta102 | 200 | 20 | 11,420 | 15,211 | 33.20 | 20,091 | 75.93 | 11,584 | 1.44 | 11,445 | 0.22 |
| 103 | Ta103 | 200 | 20 | 11,446 | 15,247 | 33.21 | 19,989 | 74.64 | 11,568 | 1.07 | 11,573 | 1.11 |
| 104 | Ta104 | 200 | 20 | 11,347 | 15,174 | 33.73 | 19,940 | 75.73 | 11,480 | 1.17 | 11,514 | 1.47 |
| 105 | Ta105 | 200 | 20 | 11,311 | 15,047 | 33.03 | 19,875 | 75.71 | 11,452 | 1.25 | 11,399 | 0.78 |
| 106 | Ta106 | 200 | 20 | 11,282 | 15,212 | 34.83 | 19,980 | 77.10 | 11,378 | 0.85 | 11,411 | 1.14 |
| 107 | Ta107 | 200 | 20 | 11,456 | 15,168 | 32.40 | 20,119 | 75.62 | 11,624 | 1.47 | 11,577 | 1.06 |
| 108 | Ta108 | 200 | 20 | 11,415 | 15,247 | 33.57 | 20,053 | 75.67 | 11,613 | 1.73 | 11,604 | 1.66 |
| 109 | Ta109 | 200 | 20 | 11,343 | 15,136 | 33.44 | 19,932 | 75.72 | 11,524 | 1.60 | 11,416 | 0.64 |
| 110 | Ta110 | 200 | 20 | 11,422 | 15,243 | 33.45 | 19,916 | 74.37 | 11,574 | 1.33 | 11,556 | 1.17 |
| 111 | Ta111 | 500 | 20 | 26,059 | 37,064 | 42.23 | 46,871 | 79.86 | 26,552 | 1.89 | 26,542 | 1.85 |
| 112 | Ta112 | 500 | 20 | 26,520 | 37,419 | 41.10 | 47,294 | 78.33 | 26,823 | 1.14 | 26,841 | 1.21 |
| 113 | Ta113 | 500 | 20 | 26,371 | 37,059 | 40.53 | 46,846 | 77.64 | 26,627 | 0.97 | 26,618 | 0.94 |
| 114 | Ta114 | 500 | 20 | 26,456 | 37,014 | 39.91 | 47,185 | 78.35 | 26,674 | 0.82 | 26,692 | 0.89 |
| 115 | Ta115 | 500 | 20 | 26,334 | 36,894 | 40.10 | 47,037 | 78.62 | 26,622 | 1.09 | 26,652 | 1.21 |
| 116 | Ta116 | 500 | 20 | 26,477 | 37,372 | 41.15 | 47,166 | 78.14 | 26,722 | 0.93 | 26,710 | 0.88 |
| 117 | Ta117 | 500 | 20 | 26,389 | 36,998 | 40.20 | 46,794 | 77.32 | 26,572 | 0.69 | 26,550 | 0.61 |
| 118 | Ta118 | 500 | 20 | 26,560 | 36,944 | 39.10 | 47,127 | 77.44 | 26,720 | 0.60 | 26,716 | 0.59 |
| 119 | Ta119 | 500 | 20 | 26,005 | 36,862 | 41.75 | 47,025 | 80.83 | 26,210 | 0.79 | 26,212 | 0.80 |
| 120 | Ta120 | 500 | 20 | 26,457 | 37,098 | 40.22 | 47,105 | 78.04 | 26,720 | 0.99 | 26,742 | 1.08 |
Disclaimer/Publisher’s Note: The statements, opinions and data contained in all publications are solely those of the individual author(s) and contributor(s) and not of MDPI and/or the editor(s). MDPI and/or the editor(s) disclaim responsibility for any injury to people or property resulting from any ideas, methods, instructions or products referred to in the content. |
© 2025 by the authors. Licensee MDPI, Basel, Switzerland. This article is an open access article distributed under the terms and conditions of the Creative Commons Attribution (CC BY) license (https://creativecommons.org/licenses/by/4.0/).
Share and Cite
Lu, Y.; Yuan, Y.; Yasenjiang, J.; Sitahong, A.; Chao, Y.; Wang, Y. An Optimized Method for Solving the Green Permutation Flow Shop Scheduling Problem Using a Combination of Deep Reinforcement Learning and Improved Genetic Algorithm. Mathematics 2025, 13, 545. https://doi.org/10.3390/math13040545
Lu Y, Yuan Y, Yasenjiang J, Sitahong A, Chao Y, Wang Y. An Optimized Method for Solving the Green Permutation Flow Shop Scheduling Problem Using a Combination of Deep Reinforcement Learning and Improved Genetic Algorithm. Mathematics. 2025; 13(4):545. https://doi.org/10.3390/math13040545
Chicago/Turabian StyleLu, Yongxin, Yiping Yuan, Jiarula Yasenjiang, Adilanmu Sitahong, Yongsheng Chao, and Yunxuan Wang. 2025. "An Optimized Method for Solving the Green Permutation Flow Shop Scheduling Problem Using a Combination of Deep Reinforcement Learning and Improved Genetic Algorithm" Mathematics 13, no. 4: 545. https://doi.org/10.3390/math13040545
APA StyleLu, Y., Yuan, Y., Yasenjiang, J., Sitahong, A., Chao, Y., & Wang, Y. (2025). An Optimized Method for Solving the Green Permutation Flow Shop Scheduling Problem Using a Combination of Deep Reinforcement Learning and Improved Genetic Algorithm. Mathematics, 13(4), 545. https://doi.org/10.3390/math13040545

