On Consequences of Carreau Nanofluid Model with Dufour–Soret Effects and Activation Energy Subject to New Mass Flux Condition: A Numerical Study
Abstract
1. Introduction
2. Problem Conceptualization
3. Numerical Algorithm
Working Rule
4. Graphical Results and Discussion
4.1. Temperature Graphs
4.1.1. For the Thermal Radiation Parameter
4.1.2. For the Dufour Number
4.1.3. For the Brownian Motion Parameter
4.1.4. For the Thermophoresis Parameter
4.2. Concentration Graphs
4.2.1. For the Activation Energy Parameter
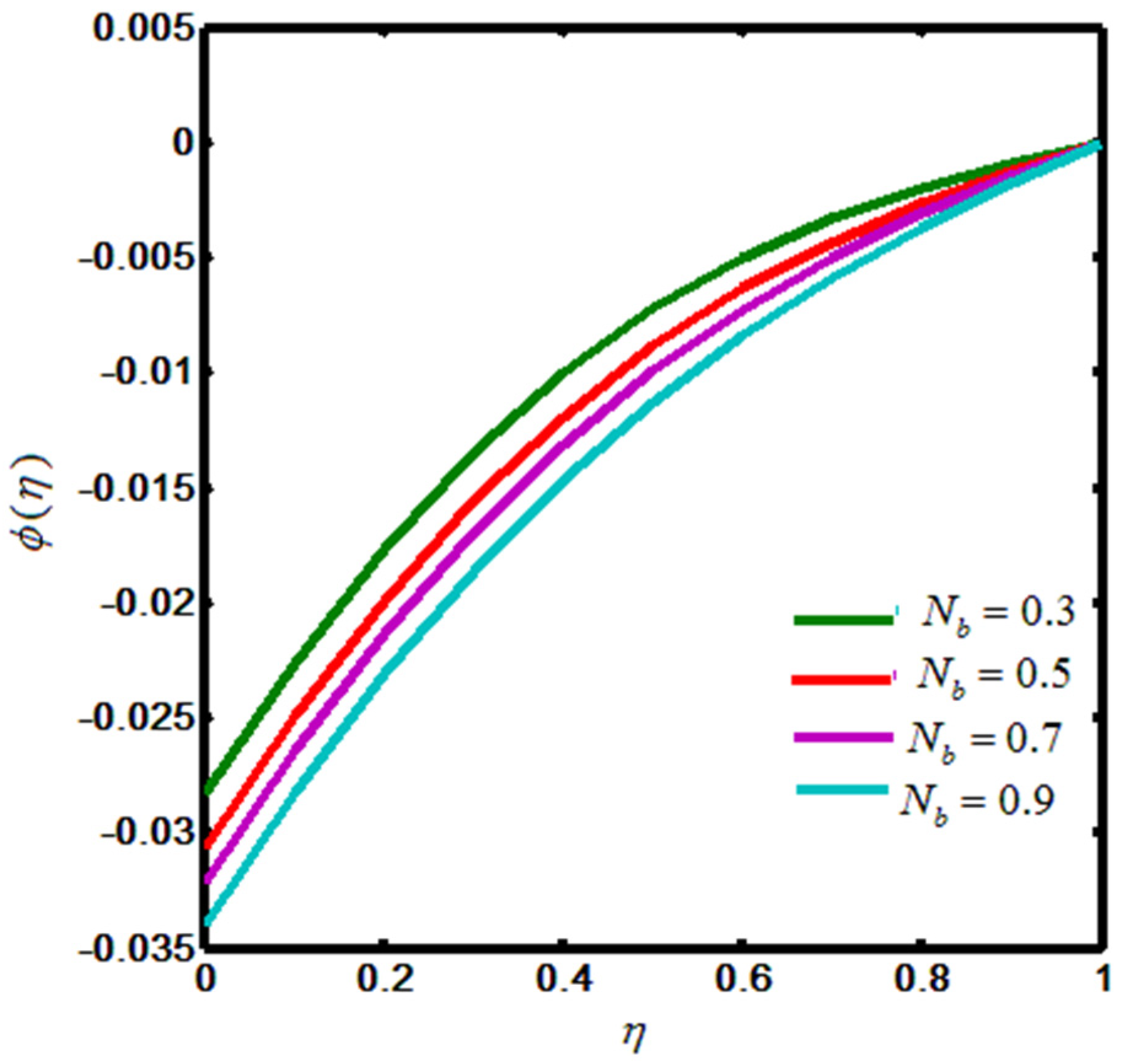
4.2.2. For the Parameter of Brownian Motion
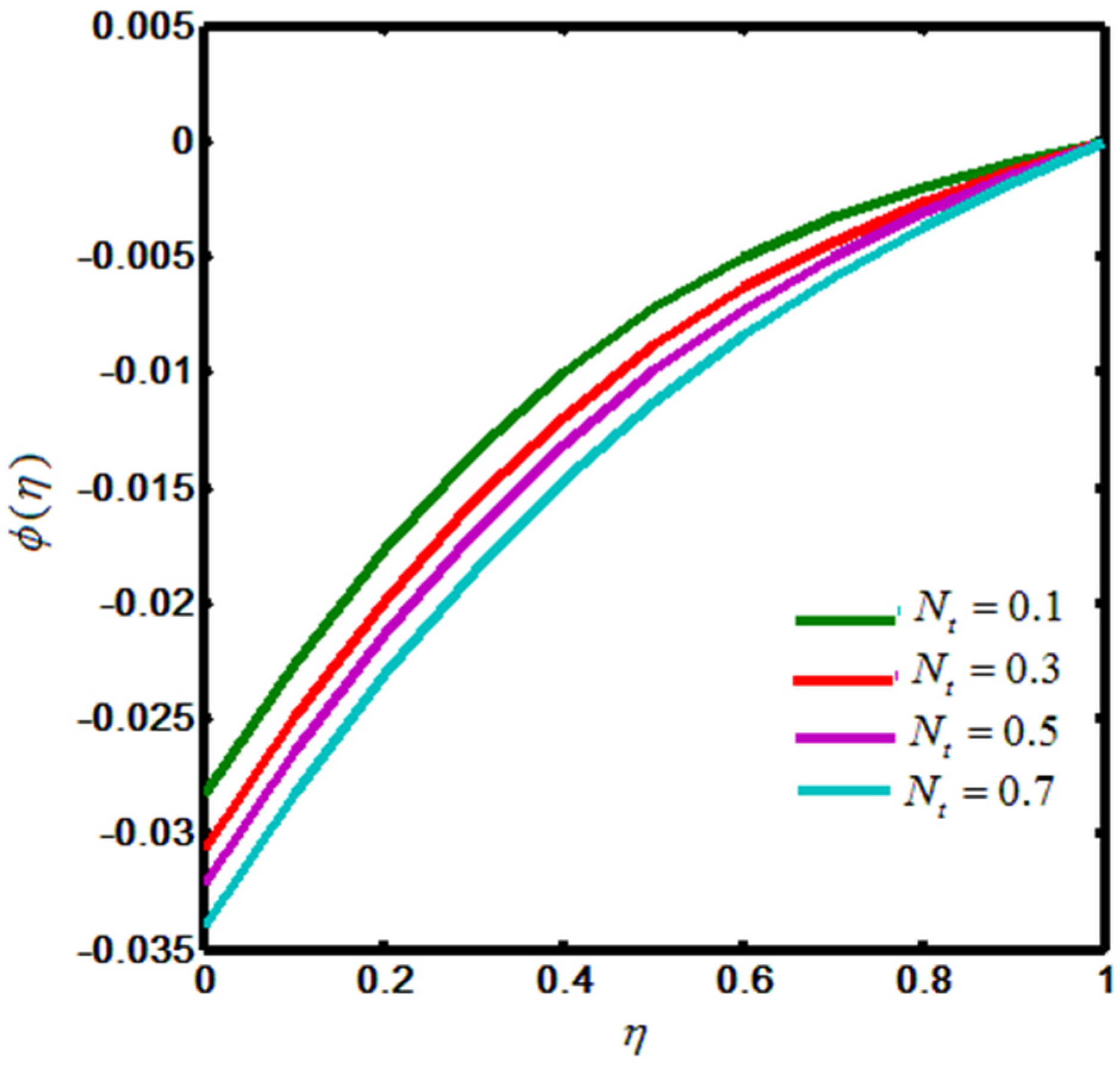
4.2.3. For the Thermophoresis Parameter
4.2.4. For the Soret Number
4.2.5. For the Chemical Reaction Parameter and Fitted Rate Constant
4.3. Table Discussion
5. Concluding Remarks
Author Contributions
Funding
Data Availability Statement
Conflicts of Interest
Nomenclature
| Velocity components | |
| , | Stretching velocity |
| Free stream velocity | |
| Stretching constant | |
| , | Surface temperature, ambient temperature |
| Surface concentration, ambient Concentration | |
| Specific heat at constant pressure | |
| Mass diffusivity | |
| Local Weissenberg number | |
| Pressure | |
| Power law index | |
| Identity tensor | |
| First Rivlin Erickson tensor | |
| Prandtl number | |
| Schmidt number | |
| Thermal conductivity | |
| Local Reynolds number | |
| Reaction rate constant | |
| Brownian motion and thermophoresis diffusion coefficients | |
| Magnetic field coefficient | |
| Magnetic field parameter | |
| Roseland radiative heat flux, | |
| Absorption coefficient | |
| Thermal radiation parameter | |
| , | Thermophoresis parameter, Brownian motion parameter |
| Lewis number | |
| Buoyancy ratio parameter | |
| Prandtl number | |
| Dufour and Soret numbers | |
| Gravitational acceleration | |
| Activation energy | |
| Fitted rate constant | |
| Greek letters | |
| Similarity variable | |
| Dimensionless temperature | |
| Dimensionless concentration | |
| Apparent viscosity | |
| Density of fluid | |
| Surface shear stress | |
| Cauchy stress tensor | |
| Zero shear rate viscosity, infinite shear rate viscosity | |
| Mixed convection parameter | |
| Stream function | |
| Thermal and concentration expansion coefficient | |
| Kinematic viscosity | |
| Thermal Diffusivity | |
| Velocity ratio parameter | |
| Chemical reaction parameter | |
| Temperature difference parameter | |
| Second invariant strain tensor | |
| Electrical conductivity | |
| Stefan–Boltzman constant | |
| Material time constant | |
| Boltzmann constant |
References
- Choi, S.U.; Eastman, J.A. Enhancing Thermal Conductivity of Fluids with Nanoparticles (No. ANL/MSD/CP-84938; CONF-951135-29); Argonne National Lab. (ANL): Argonne, IL, USA, 1995. [Google Scholar]
- Buongiorno, J. Convective Transport in Nanofluids. J. Heat Transfer. 2006, 128, 240–250. [Google Scholar] [CrossRef]
- Xuan, Y.; Li, Q. Heat transfer enhancement of nanofluids. Int. J. Heat Fluid Flow 2000, 21, 58–64. [Google Scholar] [CrossRef]
- Rashidi, M.; Ganesh, N.V.; Hakeem, A.A.; Ganga, B. Buoyancy effect on MHD flow of nanofluid over a stretching sheet in the presence of thermal radiation. J. Mol. Liq. 2014, 198, 234–238. [Google Scholar] [CrossRef]
- Malvandi, A.; Hedayati, F.; Ganji, D. Slip effects on unsteady stagnation point flow of a nanofluid over a stretching sheet. Powder Technol. 2014, 253, 377–384. [Google Scholar] [CrossRef]
- Das, P.K. A review based on the effect and mechanism of thermal conductivity of normal nanofluids and hybrid nanofluids. J. Mol. Liq. 2017, 240, 420–446. [Google Scholar] [CrossRef]
- Atashafrooz, M.; Sajjadi, H.; Delouei, A.A. Simulation of combined convective-radiative heat transfer of hybrid nanofluid flow inside an open trapezoidal enclosure considering the magnetic force impacts. J. Magn. Magn. Mater. 2023, 567, 170354. [Google Scholar] [CrossRef]
- Wang, G.; Zhang, J. Thermal and power performance analysis for heat transfer applications of nanofluids in flows around cylinder. Appl. Therm. Eng. 2017, 112, 61–72. [Google Scholar] [CrossRef]
- Ali, U.; Malik, M.; Alderremy, A.; Aly, S.; Rehman, K.U. A generalized findings on thermal radiation and heat generation/absorption in nanofluid flow regime. Phys. A Stat. Mech. Its Appl. 2020, 553, 124026. [Google Scholar] [CrossRef]
- Carreau, P.J. Rheological Equations from Molecular Network Theories. Trans. Soc. Rheol. 1972, 16, 99–127. [Google Scholar] [CrossRef]
- Carreau, P.J.; De Kee, D.; Daroux, M. An analysis of the viscous behaviour of polymeric solutions. Can. J. Chem. Eng. 1979, 57, 135–140. [Google Scholar] [CrossRef]
- Eid, M.R.; Mahny, K.L.; Muhammad, T.; Sheikholeslami, M. Numerical treatment for Carreau nanofluid flow over a porous nonlinear stretching surface. Results Phys. 2018, 8, 1185–1193. [Google Scholar] [CrossRef]
- Khan, M.; Sardar, H.; Gulzar, M.M.; Alshomrani, A.S. On multiple solutions of non-Newtonian Carreau fluid flow over an inclined shrinking sheet. Results Phys. 2018, 8, 926–932. [Google Scholar] [CrossRef]
- Akbar, N.; Nadeem, S.; Haq, R.U.; Ye, S. MHD stagnation point flow of Carreau fluid toward a permeable shrinking sheet: Dual solutions. Ain Shams Eng. J. 2014, 5, 1233–1239. [Google Scholar] [CrossRef]
- Machireddy, G.R.; Naramgari, S. Heat and mass transfer in radiative MHD Carreau fluid with cross diffusion. Ain Shams Eng. J. 2018, 9, 1189–1204. [Google Scholar] [CrossRef]
- Raza, R.; Mabood, F.; Naz, R. Entropy analysis of non-linear radiative flow of Carreau liquid over curved stretching sheet. Int. Commun. Heat Mass Transf. 2020, 119, 104975. [Google Scholar] [CrossRef]
- Salahuddin, T.; Awais, M.; Xia, W.-F. Variable thermo-physical characteristics of Carreau fluid flow by means of stretchable paraboloid surface with activation energy and heat generation. Case Stud. Therm. Eng. 2021, 25, 100971. [Google Scholar] [CrossRef]
- Huang, C.-J. Influence of non-Darcy and MHD on free convection of non-Newtonian fluids over a vertical permeable plate in a porous medium with soret/dufour effects and thermal radiation. Int. J. Therm. Sci. 2018, 130, 256–263. [Google Scholar] [CrossRef]
- Mahabaleshwar, U.; Nagaraju, K.; Kumar, P.V.; Nadagouda, M.; Bennacer, R.; Sheremet, M. Effects of Dufour and Soret mechanisms on MHD mixed convective-radiative non-Newtonian liquid flow and heat transfer over a porous sheet. Therm. Sci. Eng. Prog. 2020, 16, 100459. [Google Scholar] [CrossRef]
- Seid, E.; Haile, E.; Walelign, T. Multiple slip, Soret and Dufour effects in fluid flow near a vertical stretching sheet in the presence of magnetic nanoparticles. Int. J. Thermofluids 2022, 13, 100136. [Google Scholar] [CrossRef]
- Falodun, B.O.; Ayegbusi, F.D. Soret–Dufour mechanism on an electrically conducting nanofluid flow past a semi-infinite porous plate with buoyancy force and chemical reaction influence. Numer. Methods Partial. Differ. Equ. 2021, 37, 1419–1438. [Google Scholar] [CrossRef]
- Reddy, N.N.; Reddy, Y.D.; Rao, V.S.; Goud, B.S.; Nisar, K.S. Multiple slip effects on steady MHD flow past a non-isothermal stretching surface in presence of Soret, Dufour with suction/injection. Int. Commun. Heat Mass Transf. 2022, 134, 106024. [Google Scholar] [CrossRef]
- Hayat, U.; Shaiq, S.; Shahzad, A.; Khan, R.; Kamran, M.; Shah, N.A. The Effect of Particle Shape on Flow and Heat Transfer of Ag-Nanofluid along Stretching Surface. Chin. J. Phys. 2023. [Google Scholar] [CrossRef]
- Wang, C.Y. The three-dimensional flow due to a stretching flat surface. Phys. Fluids 1984, 27, 1915. [Google Scholar] [CrossRef]
- Ali, U.; Malik, M.; Rehman, K.U.; Alqarni, M. Exploration of cubic autocatalysis and thermal relaxation in a non-Newtonian flow field with MHD effects. Phys. A Stat. Mech. Its Appl. 2020, 549, 124349. [Google Scholar] [CrossRef]












[24] | Current Results | |
|---|---|---|
| 0 | −1 | −1 |
| 0.25 | −1.048813 | −1.048813 |
| 0.50 | −1.093097 | −1.093097 |
| 0.75 | −1.134485 | −1.134485 |
| 1 | −1.173720 | −1.173720 |
[24] | Current Results | |
|---|---|---|
| 0 | 0 | 0 |
| 0.25 | −0.194564 | −0.194564 |
| 0.50 | −0.465205 | −0.465205 |
| 0.75 | −0.794622 | −0.794622 |
| 1 | −1.173720 | −1.173720 |
Ref. [13] | Current Results | |
|---|---|---|
| 0.7 | 0.454501 | 0.454525 |
| 2.0 | 0.911411 | 0.912131 |
| 7.0 | 1.895400 | 1.876201 |
Disclaimer/Publisher’s Note: The statements, opinions and data contained in all publications are solely those of the individual author(s) and contributor(s) and not of MDPI and/or the editor(s). MDPI and/or the editor(s) disclaim responsibility for any injury to people or property resulting from any ideas, methods, instructions or products referred to in the content. |
© 2023 by the authors. Licensee MDPI, Basel, Switzerland. This article is an open access article distributed under the terms and conditions of the Creative Commons Attribution (CC BY) license (https://creativecommons.org/licenses/by/4.0/).
Share and Cite
Ali, U.; Osman, M. On Consequences of Carreau Nanofluid Model with Dufour–Soret Effects and Activation Energy Subject to New Mass Flux Condition: A Numerical Study. Mathematics 2023, 11, 2564. https://doi.org/10.3390/math11112564
Ali U, Osman M. On Consequences of Carreau Nanofluid Model with Dufour–Soret Effects and Activation Energy Subject to New Mass Flux Condition: A Numerical Study. Mathematics. 2023; 11(11):2564. https://doi.org/10.3390/math11112564
Chicago/Turabian StyleAli, Usman, and Mawia Osman. 2023. "On Consequences of Carreau Nanofluid Model with Dufour–Soret Effects and Activation Energy Subject to New Mass Flux Condition: A Numerical Study" Mathematics 11, no. 11: 2564. https://doi.org/10.3390/math11112564
APA StyleAli, U., & Osman, M. (2023). On Consequences of Carreau Nanofluid Model with Dufour–Soret Effects and Activation Energy Subject to New Mass Flux Condition: A Numerical Study. Mathematics, 11(11), 2564. https://doi.org/10.3390/math11112564

