An Adaptive Proportional Plus Damping Control for Teleoperation Systems with Asymmetric Time-Varying Communication Delays
Abstract
1. Introduction
- In this paper, a novel control scheme with a proportional plus damping strategy and adaptive compensation is proposed for the time delay teleoperation system. RBF neural network and adaptive control method are employed to estimate and compensate for the unknown torque information.
- The traditional proportional damping injection control is improved to obtain better control performance. The damping term based on position error is introduced to enhance the stability and robustness of the closed-loop system.
- The Lyapunov–Krasovskii functional is used to establish the boundedness and stability of the closed-loop teleoperation system. The relationships between the controller gain coefficients are also given in the stability analysis.
2. Problem Statement
2.1. Teleoperation System Modeling
2.2. Control Objectives
- Stability. The closed-loop system of bilateral teleoperation should be stable, whether under asymmetric time-varying delay or external force.
- Position tracking. The joint positions of the master and slave robots can track each other quickly and with small errors. When the time , should approach a small neighborhood of zero or even zero.
2.3. RBF Neural Network
3. Adaptive Proportional Plus Damping Control Design
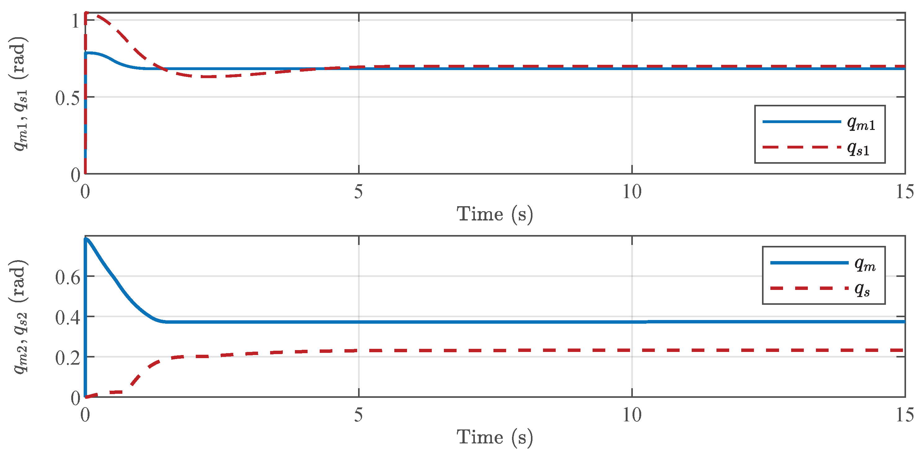
4. Simulation Results
5. Conclusions
Author Contributions
Funding
Data Availability Statement
Conflicts of Interest
Appendix A. Preliminary Lemmas
Appendix B. Proof of Theorem 1
References
- Soylu, S.; Firmani, F.; Buckham, B.J.; Podhorodeski, R.P. Comprehensive underwater vehicle-manipulator system teleoperation. In Oceans 2010 MTS/IEEE Seattle; IEEE: Piscataway, NJ, USA, 2010; pp. 1–8. [Google Scholar]
- Wei, D.; Huang, B.; Li, Q. Multi-view merging for robot teleoperation with virtual reality. IEEE Robot. Automat. Lett. 2021, 6, 8537–8544. [Google Scholar]
- Saltaren, R.; Aracil, R.; Alvarez, C.; Yime, E.; Sabater, J.M. Field and service applications-exploring deep sea by teleoperated robot-an underwater parallel robot with high navigation capabilities. IEEE Robot. Automat. Mag. 2007, 14, 65–75. [Google Scholar] [CrossRef]
- Hokayem, P.F.; Spong, M.W. Bilateral teleoperation: An historical survey. Automatica 2006, 42, 2035–2057. [Google Scholar] [CrossRef]
- Yang, Y.; Hua, C.C.; Li, J. A novel delay-dependent finite-time control of telerobotics system with asymmetric time-varying delays. IEEE Trans. Control Syst. Technol. 2022, 30, 985–996. [Google Scholar] [CrossRef]
- Anderson, R.J.; Spong, M.W. Bilateral control of teleoperators with time delay. In Proceedings of the 1988 IEEE International Conference on Systems, Man, and Cybernetics, Beijing, China, 8–12 August 1988; pp. 131–138. [Google Scholar]
- Chen, H.C.; Liu, Y.C. Passivity-based control framework for task-space bilateral teleoperation with parametric uncertainty over unreliable networks. ISA Trans. 2017, 70, 187–199. [Google Scholar]
- Chen, Z.; Huang, F.; Song, W.; Zhu, S. A novel wave-variable based time-delay compensated four-channel control design for multilateral teleoperation system. IEEE Access 2018, 6, 25506–25516. [Google Scholar] [CrossRef]
- Sun, D.; Naghdy, F.; Du, H. Application of wave-variable control to bilateral teleoperation systems: A survey. Annu. Rev. Control 2014, 38, 12–31. [Google Scholar] [CrossRef]
- Yang, C.; Wang, X.; Li, Z. Teleoperation control based on combination of wave variable and neural networks. IEEE Trans. Syst. Man Cybern. Syst. 2017, 47, 2125–2136. [Google Scholar] [CrossRef]
- Huang, P.; Dai, P.; Lu, Z. Asymmetric wave variable compensation method in dual-master-dual-slave multilateral teleoperation system. Mechatronics 2018, 49, 1–10. [Google Scholar]
- Al-Wais, S.; Khoo, S.; Lee, T.H.; Shanmugam, L.; Nahavandi, S. Robust H cost guaranteed integral sliding mode control for the synchronization problem of nonlinear tele-operation system with variable time-delay. ISA Trans. 2018, 72, 25–36. [Google Scholar] [CrossRef]
- Wang, H.; Liu, P.X.; Liu, S. Adaptive neural synchronization control for bilateral teleoperation systems with time delay and backlash-like hysteresis. IEEE Trans. Cybern. 2017, 47, 3018–3026. [Google Scholar] [PubMed]
- Chen, Z.; Huang, F.; Sun, W.; Gu, J.; Yao, B. RBF-neural-network-based adaptive robust control for nonlinear bilateral teleoperation manipulators with uncertainty and time delay. IEEE/ASME Trans. Mechatronics 2020, 25, 906–918. [Google Scholar] [CrossRef]
- Yang, L.; Chen, Y.; Liu, Z.; Chen, K.R.; Zhang, Z.X. Adaptive fuzzy control for teleoperation system with uncertain kinematics and dynamics. Internat J. Control Automat. Syst. 2019, 17, 1158–1166. [Google Scholar] [CrossRef]
- Kebria, P.; Khosravi, A.; Nahavandi, S.; Wu, D.; Bello, F. Adaptive type-2 fuzzy neural-network control for teleoperation systems with delay and uncertainties. IEEE Trans. Fuzzy Sys. 2020, 28, 2543–2554. [Google Scholar]
- Yang, Y.N.; Hua, C.C.; Li, J.P. Composite adaptive guaranteed performances synchronization control for bilateral teleoperation system with asymmetrical time-varying delays. IEEE Trans. Cybern. 2022, 52, 5486–5497. [Google Scholar] [CrossRef]
- Zhao, L.; Zhang, H.; Yang, Y.; Yang, H. Integral sliding mode control of a bilateral teleoperation system based on extended state observers. Internat J. Control Automat. Syst. 2017, 15, 2118–2125. [Google Scholar] [CrossRef]
- Chen, Z.; Huang, F.; Chen, W.; Zhang, J.; Sun, W.; Chen, J.; Gu, J.; Zhu, S. RBFNN-based adaptive sliding mode control design for delayed nonlinear multilateral telerobotic system with cooperative manipulation. IEEE Trans. Industr. Inform. 2020, 16, 1236–1247. [Google Scholar] [CrossRef]
- Zhang, H.; Song, A.; Li, H.; Shen, S. Novel adaptive finite time control of teleoperation system with time-varying delays and input saturation. IEEE Trans. Cybern. 2021, 57, 3724–3737. [Google Scholar] [CrossRef]
- Hua, C.C.; Yang, Y.; Liu, P.X. Output-feedback adaptive control of networked teleoperation system with time-varying delay and bounded inputs. IEEE/ASME Trans. Mechatronics 2014, 20, 2009–2020. [Google Scholar]
- Kostyukova, O.; Vista IV, F.P.; Chong, K.T. Design of feedforward and feedback position control for passive bilateral teleoperation with delays. ISA Trans. 2019, 85, 200–213. [Google Scholar] [CrossRef]
- Shen, S.; Song, A.; Li, H.; Li, T. Constrained control for cloud robotic under time delay based on command governor with interval estimation. IEEE Access 2019, 7, 70999–71006. [Google Scholar]
- Nuño, E.; Ortega, R.; Barabanov, N.; Basañez, L. A globally stable PD controller for bilateral teleoperators. IEEE Trans. Robot. 2008, 24, 753–758. [Google Scholar] [CrossRef]
- Nuño, E.; Basañez, L.; López-Franco, C. Arana-Daniel, N. Stability of nonlinear teleoperators using PD controllers without velocity measurements. J. Frankl. Inst. 2014, 351, 241–258. [Google Scholar] [CrossRef]
- Slawinski, E.; Mut, V. PD-like controllers for delayed bilateral teleoperation of manipulators robots. Internat J. Robust Nonlinear Control 2015, 25, 1801–1815. [Google Scholar] [CrossRef]
- Islam, S.; Liu, X.P.P.; El-Saddik, A. Teleoperation systems with symmetric and unsymmetric time varying communication delay. IEEE Trans. Instrum. Meas. 2013, 62, 2943–2953. [Google Scholar]
- Hashemzadeh, F.; Tavakoli, M. Position and force tracking in nonlinear teleoperation systems under varying delays. Robotics 2015, 33, 1003–1016. [Google Scholar]
- Chan, L.P.; Naghdy, F.; Stirling, D. Position and force tracking for non-linear haptic tele-manipulator under varying delays with an improved extended active observer. Robot. Auton. Syst. 2016, 75, 145–160. [Google Scholar]
- Ganjefar, S.; Rezaei, S.; Hashemzadeh, F. Position and force tracking in nonlinear teleoperation systems with sandwich linearity in actuators and time-varying delay. Mech. Syst. Signal Pr. 2017, 86, 308–324. [Google Scholar]
- Deka, S.A.; Stipanovic, D.M.; Kesavadas, T. Stable bilateral teleoperation with bounded control. IEEE Trans. Control Syst. Technol. 2019, 27, 2351–2360. [Google Scholar] [CrossRef]
- Zakerimanesh, A.; Sharifi, M.; Hashemzadeh, F.; Tavakoli, M. Delay-robust nonlinear control of bounded-input telerobotic systems with synchronization enhancement. IEEE Robot. Automat. Lett. 2021, 6, 2493–2500. [Google Scholar] [CrossRef]
- Yang, Y.; Constantinescu, D.; Shi, Y. Input-to-state stable bilateral teleoperation by dynamic interconnection and damping injection: Theory and experiments. IEEE Trans. Ind. Electron. 2020, 67, 790–799. [Google Scholar]
- De Lima, M.V.; Mozelli, L.A.; Neto, A.A.; Souza, F.O. A simple algebraic criterion for stability of bilateral teleoperation systems under time-varying delays. Mech. Syst. Signal Pr. 2020, 137, 106217. [Google Scholar] [CrossRef]
- Hua, C.C.; Yang, Y.N. Bilateral teleoperation design with without gravity measurement. IEEE Trans. Instrum. Meas. 2012, 61, 3136–3146. [Google Scholar] [CrossRef]
- Sarras, I.; Nuño, E.; Basañez, L. An adaptive controller for nonlinear teleoperators with variable time-delays. J. Frankl. Inst. 2014, 351, 4817–4837. [Google Scholar] [CrossRef]
- Liu, Y.C.; Khong, M.H. Adaptive control for nonlinear teleoperators with uncertain kinematics and dynamics. IEEE/ASME Trans. Mechatronics 2015, 20, 2550–2562. [Google Scholar] [CrossRef]
- Pourseifi, M.; Rezaei, S. Adaptive control for position and force tracking of uncertain teleoperation with actuators saturation and asymmetric varying time delays. Internat J. Nonlin. Sci. Num. 2022, 1–20. [Google Scholar] [CrossRef]
- Lu, Z.Y.; Guan, Y.; Wang, N. An adaptive fuzzy control for human-in-the-loop operations with varying communication time delays. IEEE Robot. Automat. Lett. 2022, 7, 5599–5606. [Google Scholar]
- Spong, M.W.; Hutchinson, S.; Vidyasagar, M. Robot Modeling and Control; Wiley: New York, NY, USA, 2006; Volume 3. [Google Scholar]
- Li, Z.; Xia, Y.; Su, C.Y. Intelligent Networked Teleoperation Control; Springer: Berlin, Germany, 2015. [Google Scholar]
- Seshagiri, S.; Khalil, H.K. Output feedback control of nonlinear systems using RBF neural networks. IEEE Trans. Neural Netw. 2000, 11, 69–79. [Google Scholar] [CrossRef]
- Nuño, E.; Basañez, L.; Ortega, R.; Spong, M. Position tracking for non-linear teleoperators with variable time delay. Int. J. Robot. Res. 2009, 28, 895–910. [Google Scholar]
- Yang, Y.; Constantinescu, D.; Shi, Y. Robust four-channel teleoperation through hybrid damping-stiffness adjustment. IEEE Trans. Control Syst. Technol. 2020, 28, 920–935. [Google Scholar] [CrossRef]
- Gong, Y.L.; Ji, Y.D. A novel passivity criterion for bilateral teleoperation under event triggered PD-like control with constant time delays. Intern. J. Control Automat. Syst. 2022, 20, 2353–2363. [Google Scholar] [CrossRef]
- Hua, C.C.; Liu, X.P. Delay-dependent stability criteria of teleoperation systems with asymmetric time-varying delays. IEEE Trans. Robot. 2010, 26, 925–932. [Google Scholar] [CrossRef]
- Liu, X.K. Robot Control System Design and Matlab Simulation: The Basic Design Method; Tsinghua University Press: Beijing, China, 2016. [Google Scholar]


















| 4.0 kg | 0.5 kg | 1.0 m | 1.0 m | 3.4 kg | 0.25 kg | 1.0m | 1.0m |
Publisher’s Note: MDPI stays neutral with regard to jurisdictional claims in published maps and institutional affiliations. |
© 2022 by the authors. Licensee MDPI, Basel, Switzerland. This article is an open access article distributed under the terms and conditions of the Creative Commons Attribution (CC BY) license (https://creativecommons.org/licenses/by/4.0/).
Share and Cite
Bao, J.; Fu, L.; Zhang, H.; Zhang, A.; Guo, W.; Chen, T. An Adaptive Proportional Plus Damping Control for Teleoperation Systems with Asymmetric Time-Varying Communication Delays. Mathematics 2022, 10, 4675. https://doi.org/10.3390/math10244675
Bao J, Fu L, Zhang H, Zhang A, Guo W, Chen T. An Adaptive Proportional Plus Damping Control for Teleoperation Systems with Asymmetric Time-Varying Communication Delays. Mathematics. 2022; 10(24):4675. https://doi.org/10.3390/math10244675
Chicago/Turabian StyleBao, Jigang, Liyue Fu, Haochen Zhang, Ancai Zhang, Wenhui Guo, and Tiansheng Chen. 2022. "An Adaptive Proportional Plus Damping Control for Teleoperation Systems with Asymmetric Time-Varying Communication Delays" Mathematics 10, no. 24: 4675. https://doi.org/10.3390/math10244675
APA StyleBao, J., Fu, L., Zhang, H., Zhang, A., Guo, W., & Chen, T. (2022). An Adaptive Proportional Plus Damping Control for Teleoperation Systems with Asymmetric Time-Varying Communication Delays. Mathematics, 10(24), 4675. https://doi.org/10.3390/math10244675

