Bayesian Constitutionalization: Twitter Sentiment Analysis of the Chilean Constitutional Process through Bayesian Network Classifiers
Abstract
:1. Introduction
2. Background
2.1. Bayesian Networks
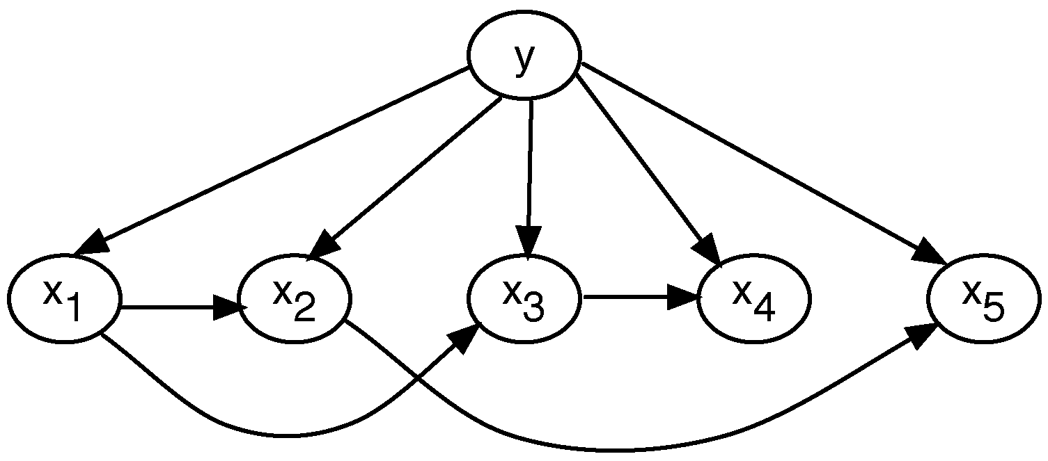
2.2. Tree Augmented Naive Bayes Classifiers
- Build a fully connected weighted graph where the nodes are the variables/attributes of your problem and the weights of the edges are the mutual information between pairs of nodes.
- Apply a maximum spanning tree algorithm to obtain a tree structure amongst the variables, such that the sum of weights is the maximum. Here, Kruskal’s algorithm can be used for this purpose.
- Transform the undirected tree to a directed one by choosing a root variable and then setting the direction of all edges to face outward from it.
- Build a fully connected weighted graph where the nodes are the variables/attributes of your problem and the weights of the edges are the conditional mutual information between pairs of nodes.
- Apply a maximum spanning tree algorithm, to obtain a tree structure amongst the variables, such that the sum of weights is maximum. Here, Kruskal’s algorithm can be used for this purpose.
- Transform the undirected tree to a directed one by choosing a root variable and then setting the direction of all edges to be outward from it.
- Construct a TAN model by adding a vertex labelled y and adding an edge from y to each .
2.3. Recent Sentiment Analysis Approaches
3. Data and Methods
3.1. Twitter Data
3.2. Pre-Processing
- Removing all URLs (e.g., www.xyz.com), hashtags (e.g., #topic), and targets (@username);
- Removing all punctuation, symbols, and numbers;
- Correcting the spellings and handling the sequence of repeated characters;
- Removing stop words;
- Removing non-Spanish tweets.
3.3. Term Frequency-Inverse Document Frequency (TF-IDF)
3.4. Sentiment Analysis
- Cluster 1: 12,298 negative tweets (−1) and 4894 positive tweets (1);
- Cluster 2: 9761 negative tweets (−1) and 4741 positive tweets (1);
- Cluster 3: 4518 negative tweets (−1) and 1602 positive tweets (1).
3.5. Model Performance Evaluation
3.6. An Evolution Strategy for Learning TAN Classifiers
- The parent population contains individuals.
- denotes the number of offspring generated in each iteration.
- Individuals die out after one iteration step (we use 1000 iterations), and only the offspring (the youngest individuals) survive to the next generation. In that case, environmental selection chooses parents from offspring.
3.7. Experimental Setup
4. Results and Analysis
Interpreting the Networks
5. Conclusions
Author Contributions
Funding
Institutional Review Board Statement
Informed Consent Statement
Data Availability Statement
Acknowledgments
Conflicts of Interest
References
- Garcés, M. October 2019: Social Uprising in Neoliberal Chile. J. Lat. Am. Cult. Stud. 2019, 28, 483–491. [Google Scholar] [CrossRef] [Green Version]
- Somma, N.M. Power cages and the October 2019 uprising in Chile. Soc. Identities 2021, 27, 579–592. [Google Scholar] [CrossRef]
- Poole, K.T.; Rosenthal, H. A Spatial Model for Legislative Roll Call Analysis. Am. J. Political Sci. 1985, 29, 357–384. [Google Scholar] [CrossRef]
- Ruz, G.A.; Henríquez, P.A.; Mascareño, A. Sentiment analysis of Twitter data during critical events through Bayesian networks classifiers. Future Gener. Comput. Syst. 2020, 106, 92–104. [Google Scholar] [CrossRef]
- Pearl, J. Probabilistic Reasoning in Intelligent Systems: Networks of Plausible Inference; Morgan Kaufmann: San Francisco, CA, USA, 1988. [Google Scholar]
- Cooper, G.F.; Herskovits, E. A Bayesian method for the induction of probabilistic networks from data. Mach. Learn. 1992, 9, 309–347. [Google Scholar] [CrossRef]
- Heckerman, D.; Geiger, D.; Chickering, D.M. Learning Bayesian Networks: The Combination of Knowledge and Statistical Data. Mach. Learn. 1995, 20, 197–243. [Google Scholar] [CrossRef] [Green Version]
- Chickering, D.M. Learning Bayesian Networks is NP-Complete. In Learning from Data: Artificial Intelligence and Statistics V; Springer: New York, NY, USA, 1996; pp. 121–130. [Google Scholar]
- Heckerman, D. A Tutorial on Learning with Bayesian Networks; Technical Report MSR-TR-95-06; Microsoft Research: Redmond, WA, USA, 1995. [Google Scholar]
- Neapolitan, R.E. Learning Bayesian Networks; Pearson Prentice Hall: Upper Saddle River, NJ, USA, 2004. [Google Scholar]
- Khanteymoori, A.R.; Olyaee, M.H.; Abbaszadeh, O.; Valian, M. A novel method for Bayesian networks structure learning based on Breeding Swarm algorithm. Soft Comput. 2017, 22, 3049–3060. [Google Scholar] [CrossRef]
- Ji, J.; Wei, H.; Liu, C. An Artificial Bee Colony Algorithm for Learning Bayesian Networks. Soft Comput. 2013, 17, 983–994. [Google Scholar] [CrossRef]
- Larrañaga, P.; Poza, M.; Yurramendi, Y.; Murga, R.H.; Kuijpers, C.M.H. Structure learning of Bayesian networks by genetic algorithms: A performance analysis of control parameters. IEEE Trans. Pattern Anal. Mach. Intell. 1996, 18, 912–926. [Google Scholar] [CrossRef] [Green Version]
- Zhang, C.; Cao, M.; Peng, B.; Zheng, S. Learning bayesian network by genetic algorithm using structure-parameter restrictions. In Proceedings of the 2013 IEEE International Conference on Multimedia and Expo Workshops (ICMEW), San Jose, CA, USA, 15–19 July 2013; pp. 1–5. [Google Scholar]
- Larrañaga, P.; Karshenas, H.; Bielza, C.; Santana, R. A review on evolutionary algorithms in Bayesian network learning and inference tasks. Inf. Sci. 2013, 233, 109–125. [Google Scholar] [CrossRef]
- Friedman, N.; Geiger, D.; Goldszmidt, M. Bayesian Network Classifiers. Mach. Learn. 1997, 29, 131–163. [Google Scholar] [CrossRef] [Green Version]
- Ruz, G.A.; Araya-Díaz, P. Predicting Facial Biotypes Using Continuous Bayesian Network Classifiers. Complexity 2018, 2018, 4075656. [Google Scholar] [CrossRef]
- Ferreira-Santos, D.; Rodrigues, P. Enhancing obstructive sleep apnea diagnosis with screening through disease phenotypes: Algorithm development and validation. JMIR Med. Inform. 2021, 9, e25124. [Google Scholar] [CrossRef]
- Khurana, D.; Dhingra, S. An improved hybrid and knowledge based recommender system for accurate prediction of movies. In Proceedings of the 2021 8th International Conference on Computing for Sustainable Global Development (INDIACom 2021), New Delhi, India, 17–19 March 2021; pp. 881–886. [Google Scholar]
- Ramos-López, D.; Maldonado, A.D. Cost-Sensitive Variable Selection for Multi-Class Imbalanced Datasets Using Bayesian Networks. Mathematics 2021, 9, 156. [Google Scholar] [CrossRef]
- Castro-Luna, G.; Martínez-Finkelshtein, A.; Ramos-López, D. Robust keratoconus detection with Bayesian network classifier for Placido-based corneal indices. Contact Lens Anterior Eye 2020, 43, 366–372. [Google Scholar] [CrossRef]
- Amine Atoui, M.; Cohen, A. Fault diagnosis using PCA-Bayesian Network classifier with unknown faults. In Proceedings of the European Control Conference 2020 (ECC 2020), St. Petersburg, Russia, 12–15 May 2020; pp. 2039–2044. [Google Scholar]
- Krishnakumar, N.; Abdou, T. Detection and Diagnosis of Breast Cancer Using a Bayesian Approach. In Lecture Notes in Computer Science (Including Subseries Lecture Notes in Artificial Intelligence and Lecture Notes in Bioinformatics); Springer: Cham, Switzerland, 2020; pp. 335–341. [Google Scholar]
- Bolouki, S.; Ramazi, H.; Maghsoudi, A.; Pour, A.; Sohrabi, G. A remote sensing-based application of bayesian networks for epithermal gold potential mapping in Ahar-Arasbaran area, NW Iran. Remote Sens. 2020, 12, 105. [Google Scholar] [CrossRef] [Green Version]
- Pazzani, M.J. Constructive Induction of Cartesian Product Attributes. In Feature Extraction, Construction and Selection: A Data Mining Perspective; Springer: Boston, MA, USA, 1998; pp. 341–354. [Google Scholar]
- Provan, G.M.; Singh, M. Learning Bayesian Networks Using Feature Selection. In Learning from Data: Artificial Intelligence and Statistics V; Springer: New York, NY, USA, 1996; pp. 291–300. [Google Scholar]
- Sahami, M. Learning Limited Dependence Bayesian Classifiers. In Proceedings of the Second International Conference on Knowledge Discovery and Data Mining (KDD’96), Portland, OR, USA, 2–4 August 1996; pp. 335–338. [Google Scholar]
- Margaritis, D.; Thrun, S. Bayesian Network Induction via Local Neighborhoods. In Advances in Neural Information Processing Systems 12; Solla, S.A., Leen, T.K., Müller, K., Eds.; MIT Press: Cambridge, MA, USA, 2000; pp. 505–511. [Google Scholar]
- Ruz, G.A.; Pham, D.T. Building Bayesian network classifiers through a Bayesian complexity monitoring system. Proc. Inst. Mech. Eng. Part C J. Mech. Eng. Sci. 2009, 223, 743–755. [Google Scholar] [CrossRef]
- Bielza, C.; Larrañaga, P. Discrete Bayesian Network Classifiers: A Survey. ACM Comput. Surv. 2014, 47, 5:1–5:43. [Google Scholar] [CrossRef]
- Duda, R.O.; Hart, P.E. Pattern Classification and Scene Analysis; John Wiley & Sons: New York, NY, USA, 1973. [Google Scholar]
- Jiang, L.; Zhang, L.; Li, C.; Wu, J. A Correlation-Based Feature Weighting Filter for Naive Bayes. IEEE Trans. Knowl. Data Eng. 2019, 31, 201–213. [Google Scholar] [CrossRef]
- Jiang, L.; Zhang, L.; Yu, L.; Wang, D. Class-specific attribute weighted naive Bayes. Pattern Recognit. 2019, 88, 321–330. [Google Scholar] [CrossRef]
- Jing, Y.; Pavlović, V.; Rehg, J.M. Efficient Discriminative Learning of Bayesian Network Classifier via Boosted Augmented Naive Bayes. In Proceedings of the 22nd International Conference on Machine Learning ( ICML ’05), Bonn, Germany, 7–11 August 2005; Association for Computing Machinery: New York, NY, USA, 2005; pp. 369–376. [Google Scholar] [CrossRef]
- Sugahara, S.; Uto, M.; Ueno, M. Exact Learning Augmented Naive Bayes Classifier. Entropy 2018, 23, 1703. [Google Scholar] [CrossRef]
- Kruskal, J.B. On the Shortest Spanning Subtree of a Graph and the Traveling Salesman Problem. Proc. Am. Math. Soc. 1956, 7, 48–50. [Google Scholar] [CrossRef]
- Pham, D.T.; Ruz, G.A. Unsupervised training of Bayesian networks for data clustering. Proc. R. Soc. A Math. Phys. Eng. Sci. 2009, 465, 2927–2948. [Google Scholar] [CrossRef]
- Chow, C.; Liu, C. Approximating discrete probability distributions with dependence trees. IEEE Trans. Inf. Theory 1968, 14, 462–467. [Google Scholar] [CrossRef] [Green Version]
- Jiang, L.; Cai, Z.; Wang, D.; Zhang, H. Improving Tree augmented Naive Bayes for class probability estimation. Knowl.-Based Syst. 2012, 26, 239–245. [Google Scholar] [CrossRef]
- Long, Y.; Wang, L.; Sun, M. Structure Extension of Tree-Augmented Naive Bayes. Entropy 2019, 21, 721. [Google Scholar] [CrossRef] [Green Version]
- Chen, S.; Zhang, Z.; Liu, L. Attribute Selecting in Tree-Augmented Naive Bayes by Cross Validation Risk Minimization. Mathematics 2021, 9, 2564. [Google Scholar] [CrossRef]
- Bechini, A.; Ducange, P.; Marcelloni, F.; Renda, A. Stance Analysis of Twitter Users: The Case of the Vaccination Topic in Italy. IEEE Intell. Syst. 2021, 36, 131–139. [Google Scholar] [CrossRef]
- Peng, W.; Hong, X.; Zhao, G. Adaptive Modality Distillation for Separable Multimodal Sentiment Analysis. IEEE Intell. Syst. 2021, 36, 82–89. [Google Scholar] [CrossRef]
- Schuurmans, J.; Frasincar, F. Intent Classification for Dialogue Utterances. IEEE Intell. Syst. 2020, 35, 82–88. [Google Scholar] [CrossRef]
- Stappen, L.; Baird, A.; Cambria, E.; Schuller, B.W. Sentiment Analysis and Topic Recognition in Video Transcriptions. IEEE Intell. Syst. 2021, 36, 88–95. [Google Scholar] [CrossRef]
- Susanto, Y.; Livingstone, A.G.; Ng, B.C.; Cambria, E. The Hourglass Model Revisited. IEEE Intell. Syst. 2020, 35, 96–102. [Google Scholar] [CrossRef]
- Akhtar, M.S.; Ekbal, A.; Narayan, S.; Singh, V. No, That Never Happened!! Investigating Rumors on Twitter. IEEE Intell. Syst. 2018, 33, 8–15. [Google Scholar] [CrossRef]
- Mahata, D.; Friedrichs, J.; Shah, R.R.; Jiang, J. Detecting Personal Intake of Medicine from Twitter. IEEE Intell. Syst. 2018, 33, 87–95. [Google Scholar] [CrossRef]
- Majumder, N.; Poria, S.; Peng, H.; Chhaya, N.; Cambria, E.; Gelbukh, A. Sentiment and Sarcasm Classification With Multitask Learning. IEEE Intell. Syst. 2019, 34, 38–43. [Google Scholar] [CrossRef] [Green Version]
- Poria, S.; Majumder, N.; Hazarika, D.; Cambria, E.; Gelbukh, A.; Hussain, A. Multimodal Sentiment Analysis: Addressing Key Issues and Setting Up the Baselines. IEEE Intell. Syst. 2018, 33, 17–25. [Google Scholar] [CrossRef] [Green Version]
- Cambria, E.; Li, Y.; Xing, F.Z.; Poria, S.; Kwok, K. SenticNet 6: Ensemble Application of Symbolic and Subsymbolic AI for Sentiment Analysis. In Proceedings of the 29th ACM International Conference on Information & Knowledge Management (CIKM’20), Virtual Event, Ireland, 19–23 October 2020; Association for Computing Machinery: New York, NY, USA, 2020; pp. 105–114. [Google Scholar] [CrossRef]
- Li, W.; Zhu, L.; Cambria, E. Taylor’s theorem: A new perspective for neural tensor networks. Knowl.-Based Syst. 2021, 228, 107258. [Google Scholar] [CrossRef]
- Kumar, A.J.; Trueman, T.E.; Cambria, E. A Convolutional Stacked Bidirectional LSTM with a Multiplicative Attention Mechanism for Aspect Category and Sentiment Detection. Cogn. Comput. 2021, 13, 1423–1432. [Google Scholar] [CrossRef]
- Robertson, S. Understanding inverse document frequency: On theoretical arguments for IDF. J. Doc. 2004, 60, 503–520. [Google Scholar] [CrossRef] [Green Version]
- Liu, B. Opinion Mining, Sentiment Analysis, and Opinion Spam Detection. Available online: https://www.cs.uic.edu/~liub/FBS/sentiment-analysis.html (accessed on 1 November 2021).
- Koppel, M.; Schler, J. Using neutral examples for learning polarity. In International Joint Conference on Artificial Intelligence; Lawrence Erlbaum Associates Ltd.: Edinburgh, Scotland, 2005; Volume 19, p. 1616. [Google Scholar]
- Koppel, M.; Schler, J. The importance of neutral examples for learning sentiment. Comput. Intell. 2006, 22, 100–109. [Google Scholar] [CrossRef]
- Liu, B. Sentiment Analysis: Mining Opinions, Sentiments, and Emotions; Cambridge University Press: Cambridge, UK, 2020. [Google Scholar]
- Valdivia, A.; Luzón, M.V.; Cambria, E.; Herrera, F. Consensus vote models for detecting and filtering neutrality in sentiment analysis. Inf. Fusion 2018, 44, 126–135. [Google Scholar] [CrossRef]
- Pang, B.; Lee, L.; Vaithyanathan, S. Thumbs up? Sentiment classification using machine learning techniques. arXiv 2002, arXiv:cs/0205070. [Google Scholar]
- Wawre, S.V.; Deshmukh, S.N. Sentiment classification using machine learning techniques. Int. J. Sci. Res. (IJSR) 2016, 5, 819–821. [Google Scholar]
- Da Silva, N.F.; Hruschka, E.R.; Hruschka, E.R., Jr. Tweet sentiment analysis with classifier ensembles. Decis. Support Syst. 2014, 66, 170–179. [Google Scholar] [CrossRef]
- Díaz, F.; Henríquez, P.A. Social sentiment segregation: Evidence from Twitter and Google Trends in Chile during the COVID-19 dynamic quarantine strategy. PLoS ONE 2021, 16, e0254638. [Google Scholar] [CrossRef]
- Pang, B.; Lee, L. Seeing stars: Exploiting class relationships for sentiment categorization with respect to rating scales. arXiv 2005, arXiv:cs/0506075. [Google Scholar]
- Back, T. Evolutionary Algorithms in Theory and Practice: Evolution Strategies, Evolutionary Programming, Genetic Algorithms; Oxford University Press: Oxford, UK, 1996. [Google Scholar]
- Keogh, E.J.; Pazzani, M.J. Learning the structure of augmented Bayesian classifiers. Int. J. Artif. Intell. Tools 2002, 11, 587–601. [Google Scholar] [CrossRef] [Green Version]
- Levitsky, S.; Roberts, K. The Resurgence of the Latin American Left; The Johns Hopkins University Press: Baltimore, Maryland, 2011. [Google Scholar]
- Laclau, E.; Mouffe, C. Hegemony and Socialist Strategy; Verso Books: Brooklyn, NY, USA, 2014. [Google Scholar]
- Gaitán-Barrera, A.; Azeez, G.K. Beyond recognition: Autonomy, the state, and the Mapuche Coordinadora Arauco Malleco. Lat. Am. Caribb. Ethn. Stud. 2018, 13, 113–134. [Google Scholar] [CrossRef]
- Thornhill, C. The Sociology of Constitutions. Annu. Rev. Law Soc. Sci. 2017, 13, 493–513. [Google Scholar] [CrossRef]
- Mackert, J.; Wolf, H.; Turner, B. The Condition of Democracy: Volume 1: Neoliberal Politics and Sociological Perspectives; Routledge: London, UK, 2021. [Google Scholar]
- Wodak, R. The Politics of Fear: What Right-Wing Populist Discourses Mean; Sage: London, UK, 2015. [Google Scholar]









| Clusters | Twitter Accounts | Number of Tweets |
|---|---|---|
| Cluster 1 | @MillaburAdolfo @AmpueroAdriana @afc073 @AlondraCVidal @AlvinSM15 @BSepulvedaHales @Bastianlabbed20 @CamilaZarateZ @CaroDistrito1 @CaroVilchesF @CesarUribeA @CotaSanJuan @criordor @dbravosilva @DayyanaGonzalez @ElisaGiustinia1 @elisaloncon @ElsaLabrana @ErickaPortillaB @fersalinas333 @FranciscaArauna @MachiFrancisca1 @frandistrito14 @TiaPikachu @gloconstituyent @oasishernan @Hugo_Gutierrez_ @isabelgodoym @MamaniIsabella @ivannaolivares5 @JanisMeneses_D6 @lidiayagan @lisettevergarar @loreto_vallejos @LuisJimenezC @manuconstituye @MarcoArellano29 @marcosbarrazag @CKawesqar @mariariveramit @MEQChile @medicanatyh @NatividadLlanq3 @NicolasFernand @RenatoGarinG @robertoceledon @rkatrileo @FloresMadriaga @TiareHey @valemirandacc @vanessahoppe21 @BacianWilfredo | 17,192 |
| Cluster 2 | @SquellaAgustin @amaya_alvez @AuroraDelgadoV @labeasanchez @BenitoBaranda @bessygallardoP @carolinasepud19 @CESARVALENZ @christianpviera @cgomezcas @ConySchon @damabarca @danielstingo @felipeharboe @fernando_atria @fchahin @gdominguez_ @giovannaroa @GuillermoNamor @IgnacioAchurra @Jaime_Bassa @JAVIERFUCHSLOC1 @jeniffermella @Jorgeabarcaxv @baradit @JuanjoMartinb @jjlalvarez @LorenaCesp_D23 @barcelobiobio21 @maluchayallego @Ma_joseOyarzun @MarielaSerey @MarioVa25830274 @Mati_Orellana_ @mdaza_abogado @MaxHurtadoR @BottoConstituy1 @patriciapolitz @PatoFdez @tia_paulina_vr @PedroMunozLeiva @Rmontero_ @rodrigo_logan @T_Pustilnick @tatiurru @tomaslaibe @YarelaAysen | 14,502 |
| Cluster 3 | @amorenoe @AlvaroJofre @angelica_tepper @arturozunigaj @bdelamaza @berfontaine @CarolCBown @clau_castrog @conihube @cmonckeberg @cretton15 @felipemena_ @geoconda_aysen @HarryJurgensen @HernanLarrain @arancibialmte @Ktymontealegre @LucianoErnest15 @LMayolB @ossandon_d12 @mcubillossigall @margaritaleteli @CeciliaUbilla @martinarrau @pablotoloza @PatyLabraB @PaulinaVelosoM1 @PollyanaConsti1 @raulcelism @raneumannb @rvega_c @rocicantuarias @RodrigoAlvarez_ @ruggero_cozzi @ruth_uas @tere_marinovic | 6120 |
| Total | 135 | 37,814 |
| Datasets | NB | TAN | ATAN | HC-TAN | HC-SP-TAN | BSEJ | FSSJ | -TAN |
|---|---|---|---|---|---|---|---|---|
| Cluster 1 | 73.48 ± 0.642 | 76.46 ± 0.577 | 76.91 ± 0.399 | 76.81 ± 0.307 | 76.69 ± 0.426 | 76.94 ± 0.498 | 77.01 ± 0.278 | 81.64 ± 0.372 |
| Cluster 2 | 74.32 ± 0.312 | 77.08 ± 0.579 | 76.91 ± 0.419 | 76.16 ± 0.733 | 76.46 ± 0.457 | 76.52 ± 0.491 | 76.88 ± 0.401 | 80.62 ± 0.737 |
| Cluster 3 | 71.15 ± 1.271 | 73.63 ± 0.977 | 74.63 ± 0.841 | 74.15 ± 0.743 | 74.61 ± 0.854 | 74.18 ± 0.843 | 75.12 ± 0.783 | 79.63 ± 0.537 |
| Datasets | NB | TAN | ATAN | HC-TAN | HC-SP-TAN | BSEJ | FSSJ | -TAN |
|---|---|---|---|---|---|---|---|---|
| Cluster 1 | 84.38 ± 0.609 | 88.44 ± 0.361 | 89.79 ± 0.411 | 89.87 ± 0.591 | 89.73 ± 0.396 | 89.91 ± 0.571 | 90.12 ± 0.578 | 94.52 ± 0.422 |
| Cluster 2 | 85.31 ± 0.782 | 87.77 ± 0.590 | 87.34 ± 0.504 | 89.53 ± 0.570 | 89.52 ± 0.519 | 89.69 ± 0.574 | 89.72 ± 0.549 | 92.58 ± 0.667 |
| Cluster 3 | 81.53 ± 1.568 | 85.49 ± 1.302 | 86.01 ± 1.034 | 91.34 ± 0.684 | 90.99 ± 1.110 | 90.57 ± 0.815 | 91.89 ± 0.456 | 93.81 ± 0.795 |
| Datasets | NB | TAN | ATAN | HC-TAN | HC-SP-TAN | BSEJ | FSSJ | -TAN |
|---|---|---|---|---|---|---|---|---|
| Cluster 1 | 79.68 ± 0.787 | 80.66 ± 0.622 | 80.81 ± 0.654 | 80.12 ± 0.311 | 80.03 ± 0.497 | 80.17 ± 0.299 | 80.65 ± 0.289 | 82.50 ± 0.205 |
| Cluster 2 | 78.51 ± 0.539 | 80.13 ± 0.684 | 80.03 ± 0.578 | 78.11 ± 0.752 | 78.56 ± 0.568 | 78.50 ± 0.427 | 78.59 ± 0.389 | 81.03 ± 0.708 |
| Cluster 3 | 79.88 ± 1.483 | 80.01 ± 1.021 | 79.92 ± 1.011 | 77.51 ± 0.867 | 78.23 ± 1.019 | 78.02 ± 0.961 | 79.01 ± 0.912 | 81.23 ± 0.608 |
| Datasets | NB | TAN | ATAN | HC-TAN | HC-SP-TAN | BSEJ | FSSJ | -TAN |
|---|---|---|---|---|---|---|---|---|
| Cluster 1 | 78.78 ± 0.491 | 84.37 ± 0.414 | 84.48 ± 0.409 | 84.71 ± 0.218 | 84.61 ± 0.281 | 84.88 ± 0.389 | 84.98 ± 0.501 | 88.10 ± 0.225 |
| Cluster 2 | 81.76 ± 0.308 | 83.77 ± 0.438 | 83.88 ± 0.439 | 83.43 ± 0.538 | 83.67 ± 0.335 | 83.72 ± 0.373 | 83.88 ± 0.343 | 86.42 ± 0.591 |
| Cluster 3 | 80.69 ± 1.073 | 82.69 ± 0.727 | 82.56 ± 0.801 | 83.86 ± 0.515 | 84.12 ± 0.662 | 83.82 ± 0.615 | 85.12 ± 0.577 | 87.07 ± 0.356 |
Publisher’s Note: MDPI stays neutral with regard to jurisdictional claims in published maps and institutional affiliations. |
© 2022 by the authors. Licensee MDPI, Basel, Switzerland. This article is an open access article distributed under the terms and conditions of the Creative Commons Attribution (CC BY) license (https://creativecommons.org/licenses/by/4.0/).
Share and Cite
Ruz, G.A.; Henríquez, P.A.; Mascareño, A. Bayesian Constitutionalization: Twitter Sentiment Analysis of the Chilean Constitutional Process through Bayesian Network Classifiers. Mathematics 2022, 10, 166. https://doi.org/10.3390/math10020166
Ruz GA, Henríquez PA, Mascareño A. Bayesian Constitutionalization: Twitter Sentiment Analysis of the Chilean Constitutional Process through Bayesian Network Classifiers. Mathematics. 2022; 10(2):166. https://doi.org/10.3390/math10020166
Chicago/Turabian StyleRuz, Gonzalo A., Pablo A. Henríquez, and Aldo Mascareño. 2022. "Bayesian Constitutionalization: Twitter Sentiment Analysis of the Chilean Constitutional Process through Bayesian Network Classifiers" Mathematics 10, no. 2: 166. https://doi.org/10.3390/math10020166
APA StyleRuz, G. A., Henríquez, P. A., & Mascareño, A. (2022). Bayesian Constitutionalization: Twitter Sentiment Analysis of the Chilean Constitutional Process through Bayesian Network Classifiers. Mathematics, 10(2), 166. https://doi.org/10.3390/math10020166

