Decisions for Blockchain Adoption and Information Sharing in a Low Carbon Supply Chain
Abstract
:1. Introduction
2. Literature Review
3. Model Framework
3.1. Model Description
3.2. Inverse Demand Functions
3.3. Profit Functions
- (1)
- No sharing in scenario N (Model NN)
- (2)
- Voluntary sharing in scenario N (Model NS)
- (3)
- Mandatory sharing in scenario N (Model NM)
- (4)
- No sharing in scenario B (Model BN)
- (5)
- Voluntary sharing in scenario B (Model BS)
- (6)
- Mandatory sharing in scenario B (Model BM)
4. Analysis
4.1. The Decision of Blockchain Adoption
- (i)
- When , the manufacturer prefers blockchain (i.e., ).
- (ii)
- When , the manufacturer prefers no blockchain (i.e., ).
- (i)
- When , the retailer prefers blockchain (i.e., ).
- (ii)
- When , the retailer prefers no blockchain (i.e., ).
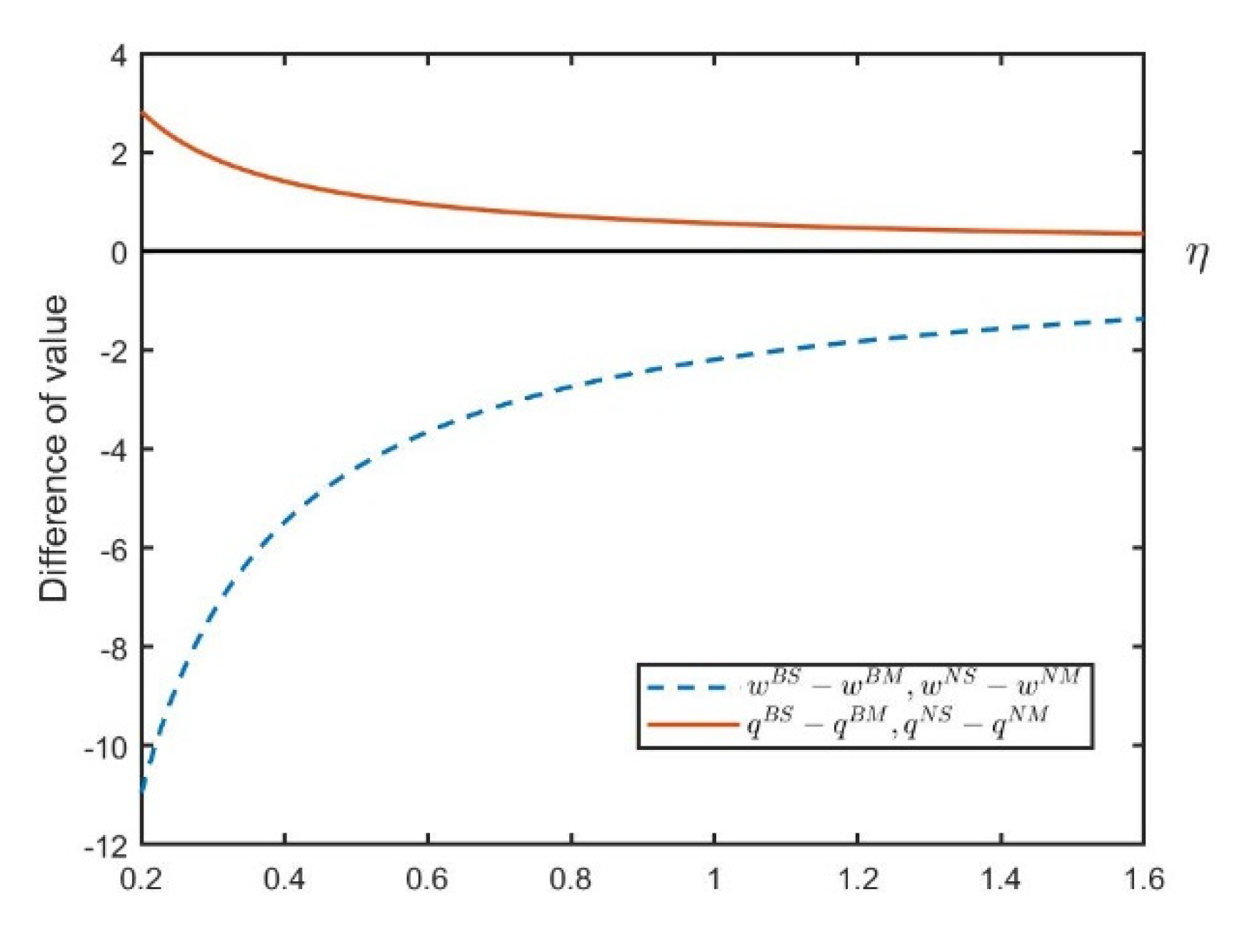
4.2. The Value of Value-Added Service Sharing
- (i)
- The wholesale prices are higher under no sharing if (i.e., we have , given ). Otherwise, wholesale prices are lower if (i.e., we have , given ).
- (ii)
- The order quantities are lower under no sharing if (i.e., we have , given ). Otherwise, order quantities are higher if (i.e., we have , given ).
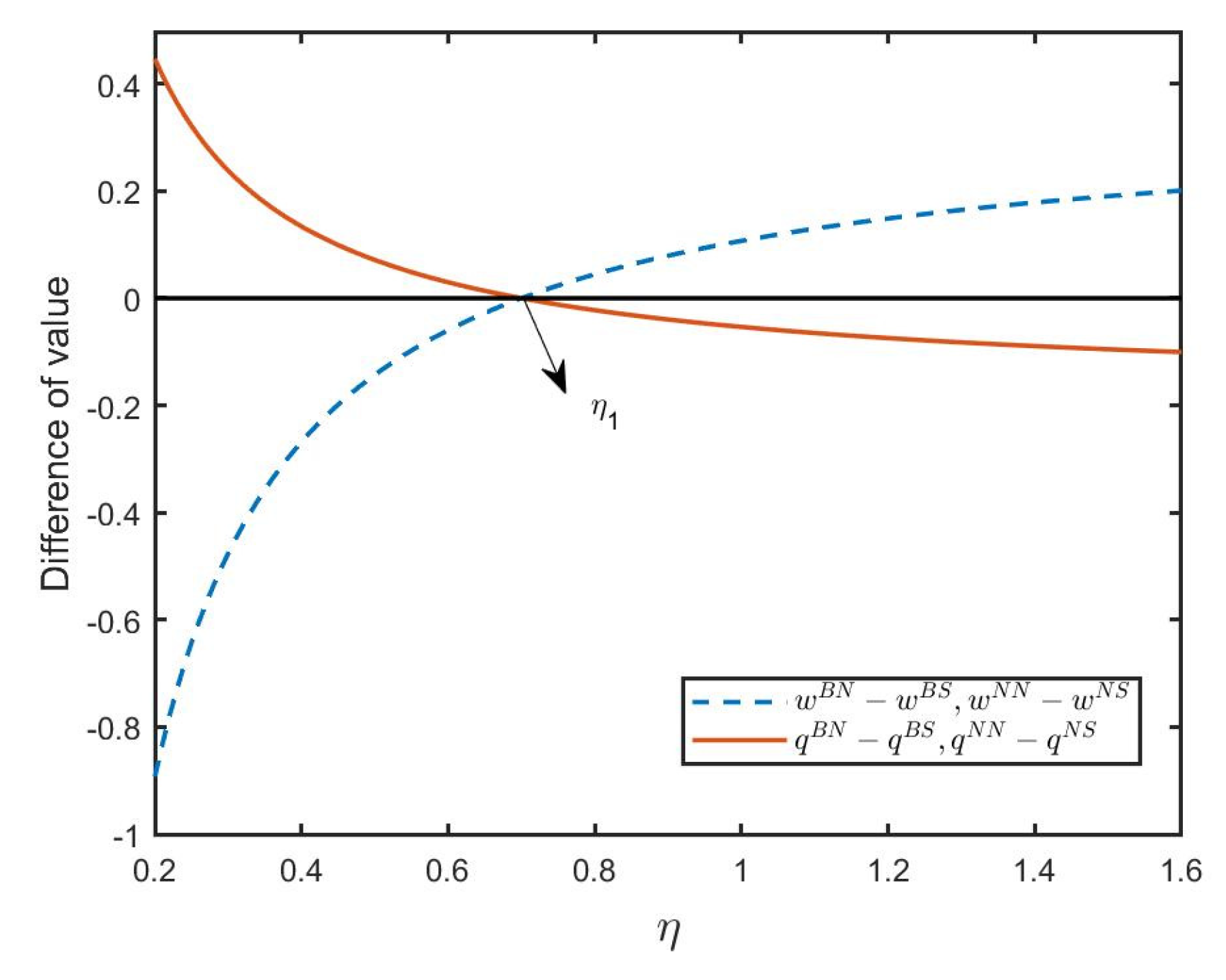
4.3. The Choice of Sharing Format
- (i)
- Comparing the wholesale prices, we can get .
- (ii)
- Comparing the order quantities, we can get .
- (i)
- In scenario N, when , supply chain members prefer mandatory sharing (i.e., , ); Otherwise, they prefer voluntary sharing.
- (ii)
- In scenario B, when , supply chain members prefer mandatory sharing (i.e., , ); Otherwise, they prefer voluntary sharing.
5. Conclusions
Author Contributions
Funding
Institutional Review Board Statement
Informed Consent Statement
Data Availability Statement
Conflicts of Interest
Appendix A
References
- Zhou, X.; Wei, X.; Lin, J.; Tian, X.; Lev, B.; Wang, S. Supply chain management under carbon taxes: A review and bibliometric analysis. Omega 2021, 98, 102295. [Google Scholar] [CrossRef]
- Xu, M.; Lin, B. Leveraging carbon label to achieve low-carbon economy: Evidence from a survey in Chinese first-tier cities. J. Environ. Manag. 2021, 286, 112201. [Google Scholar] [CrossRef] [PubMed]
- Liu, M.L.; Li, Z.H.; Anwar, S.; Zhang, Y. Supply chain carbon emission reductions and coordination when consumers have a strong preference for low-carbon products. Environ. Sci. Pollut. Res. Int. 2021, 28, 19969–19983. [Google Scholar] [CrossRef]
- Zhou, S.; Wang, H.; Li, S.; Chen, Y.; Wu, J. Carbon labels and “horizontal location effect”: Can carbon labels increase the choice of green product? Glob. Ecol. Conserv. 2019, s18, e00609. [Google Scholar] [CrossRef]
- Abeyratne, S.A.; Monfared, R. Blockchain Ready Manufacturing Supply Chain Using Distributed Ledger. Int. J. Res. Eng. Technol. 2016, 5, 1–10. [Google Scholar]
- Upadhyay, A.; Mukhuty, S.; Kumar, V.; Kazancoglu, Y. Blockchain technology and the circular economy: Implications for sustainability and social responsibility. J. Clean. Prod. 2021, 293, 126130. [Google Scholar] [CrossRef]
- Zhejiang News. Available online: https://zj.zjol.com.cn/news.html?id=1707557&ref_aid=1707929 (accessed on 16 May 2022).
- Niu, B.Z.; Dong, J.; Liu, Y.Q. Incentive alignment for blockchain adoption in medicine supply chains. Transport. Res. E-Logist. Transport. Rev. 2021, 152, 32. [Google Scholar] [CrossRef]
- Choi, T.M. Blockchain-technology-supported platforms for diamond authentication and certification in luxury supply chains. Transport. Res. E-Logist. Transport. Rev. 2019, 128, 17–29. [Google Scholar] [CrossRef]
- Liu, P.; Long, Y.; Song, H.-C.; He, Y.-D. Investment decision and coordination of green agri-food supply chain considering information service based on blockchain and big data. J. Clean. Prod. 2020, 277, 123646. [Google Scholar] [CrossRef]
- De Giovanni, P. Blockchain and smart contracts in supply chain management: A game theoretic model. Int. J. Prod. Econ. 2020, 228, 107855. [Google Scholar] [CrossRef]
- Choi, T.M. Supply chain financing using blockchain: Impacts on supply chains selling fashionable products. Ann. Oper. Res. 2020, 1–23. [Google Scholar] [CrossRef]
- Chod, J.; Trichakis, N.; Tsoukalas, G.; Aspegren, H.; Weber, M. On the Financing Benefits of Supply Chain Transparency and Blockchain Adoption. Manag. Sci. 2020, 66, 4378–4396. [Google Scholar] [CrossRef]
- Pun, H.; Swaminathan, J.M.; Hou, P. Blockchain Adoption for Combating Deceptive Counterfeits. Prod. Oper. Manag. 2021, 30, 864–882. [Google Scholar] [CrossRef]
- Yang, L.; Zhang, J.; Shi, X.T. Can blockchain help food supply chains with platform operations during the COVID-19 outbreak? Electron. Commer. Res. Appl. 2021, 49, 13. [Google Scholar] [CrossRef]
- Li, Z.W.; Xu, X.H.; Bai, Q.G.; Guan, X.; Zeng, K. The interplay between blockchain adoption and channel selection in combating counterfeits. Transport. Res. E-Logist. Transport. Rev. 2021, 155, 16. [Google Scholar] [CrossRef]
- Fan, Z.P.; Wu, X.Y.; Cao, B.B. Considering the traceability awareness of consumers: Should the supply chain adopt the blockchain technology? Ann. Oper. Res. 2022, 309, 837–860. [Google Scholar] [CrossRef]
- Liu, M.L.; Dan, B.; Zhang, S.G.; Ma, S.X. Information sharing in an E-tailing supply chain for fresh produce with freshness-keeping effort and value-added service. Eur. J. Oper. Res. 2021, 290, 572–584. [Google Scholar] [CrossRef]
- Liu, M.Q.; Zhao, Y.L.; Huang, R.; Perera, S. Vertical value-added cost information sharing in a supply chain. Ann. Oper. Res. 2021, 1–34. [Google Scholar] [CrossRef]
- Lee, H.L.; Whang, S. Information Sharing in a Supply Chain. Int. J. Technol. Manag. 2000, 1, 79–93. [Google Scholar] [CrossRef]
- Yao, D.Q.; Yue, X.H.; Liu, J. Vertical cost information sharing in a supply chain with value-adding retailers. Omega-Int. J. Manag. Sci. 2008, 36, 838–851. [Google Scholar] [CrossRef]
- Jiang, B.; Tian, L.; Xu, Y.; Zhang, F. To Share or Not to Share: Demand Forecast Sharing in a Distribution Channel. Market. Sci. 2016, 35, 800–809. [Google Scholar] [CrossRef] [Green Version]
- Sunny, J.; Undralla, N.; Madhusudanan Pillai, V. Supply chain transparency through blockchain-based traceability: An overview with demonstration. Comput. Ind. Eng. 2020, 150, 106895. [Google Scholar] [CrossRef]
- Song, J.M.; Sung, J.; Park, T. Applications of Blockchain to Improve Supply Chain Traceability. In 7th International Conference on Information Technology and Quantitative Management (ITQM)—Information Technology and Quantitative Management Based on Artificial Intelligence; Elsevier Science Bv: Granada, Spain, 2019. [Google Scholar]
- Saberi, S.; Kouhizadeh, M.; Sarkis, J.; Shen, L.J. Blockchain technology and its relationships to sustainable supply chain management. Int. J. Prod. Res. 2019, 57, 2117–2135. [Google Scholar] [CrossRef] [Green Version]
- Biswas, D.; Jalali, H.; Ansaripoor, A.H.; De Giovanni, P. Traceability vs. sustainability in supply chains: The implications of blockchain. Eur. J. Oper. Res. 2022, 247, 108430. [Google Scholar] [CrossRef]
- Naef, S.; Wagner, S.M.; Saur, C. Blockchain and network governance: Learning from applications in the supply chain sector. Prod. Plan. Control 2022, 1–15. [Google Scholar] [CrossRef]
- Choi, T.M.; Luo, S.Y. Data quality challenges for sustainable fashion supply chain operations in emerging markets: Roles of blockchain, government sponsors and environment taxes. Transport. Res. E-Logist. Transport. Rev. 2019, 131, 139–152. [Google Scholar] [CrossRef]
- Paul, T.; Mondal, S.; Islam, N.; Rakshit, S. The impact of blockchain technology on the tea supply chain and its sustainable performance. Technol. Forecast. Soc. Chang. 2021, 173, 15. [Google Scholar] [CrossRef]
- Vafadarnikjoo, A.; Badri Ahmadi, H.; Liou, J.J.H.; Botelho, T.; Chalvatzis, K. Analyzing blockchain adoption barriers in manufacturing supply chains by the neutrosophic analytic hierarchy process. Ann. Oper. Res. 2021, 1–28. [Google Scholar] [CrossRef]
- Liu, R.H.; Tan, C.Q.; Zhao, C.W. Pricing and coordination of vaccine supply chain based on blockchain technology. Internet Res. 2021, 31, 2096–2119. [Google Scholar] [CrossRef]
- Woo, J.; Fatima, R.; Kibert, C.J.; Newman, R.E.; Tian, Y.F.; Srinivasan, R.S. Applying blockchain technology for building energy performance measurement, reporting, and verification (MRV) and the carbon credit market: A review of the literature. Build. Environ. 2021, 205, 11. [Google Scholar] [CrossRef]
- Bao, J.B.; He, D.B.; Luo, M.; Choo, K.K.R. A Survey of Blockchain Applications in the Energy Sector. IEEE Syst. J. 2021, 15, 3370–3381. [Google Scholar] [CrossRef]
- Shamir, N.; Shin, H. The Perils of Sharing Information in a Trade Association under a Strategic Wholesale Price. Prod. Oper. Manag. 2018, 27, 1978–1995. [Google Scholar] [CrossRef]
- Yu, Y.; Zhou, S.; Shi, Y. Information sharing or not across the supply chain: The role of carbon emission reduction. Transport. Res. E-Logist. Transport. Rev. 2020, 137, 101915. [Google Scholar] [CrossRef]
- Yu, M.; Cao, E.B. Information sharing format and carbon emission abatement in a supply chain with competition. Int. J. Prod. Res. 2020, 58, 6775–6790. [Google Scholar] [CrossRef]
- Nie, J.; Wang, Q.; Li, G.; Liu, D. To share or not to share? When information sharing meets remanufacturing. Ann. Oper. Res. 2021, 1–32. [Google Scholar] [CrossRef]
- Cohen, M.C.; Perakis, G.; Thraves, C. Consumer Surplus Under Demand Uncertainty. Prod. Oper. Manag. 2021, 31, 478–494. [Google Scholar] [CrossRef]
- Bakhtiari, S.; Breunig, R. New Outsourcing, Demand Uncertainty and Labor Usage. Rev. Ind. Organ. 2016, 50, 69–90. [Google Scholar] [CrossRef]
- Chen, W.D.; Li, L.M. Incentive contracts for green building production with asymmetric information. Int. J. Prod. Res. 2021, 59, 1860–1874. [Google Scholar] [CrossRef]
- Liu, Y.; Li, J.; Quan, B.T.; Yang, J.B. Decision analysis and coordination of two-stage supply chain considering cost information asymmetry of corporate social responsibility. J. Clean. Prod. 2019, 228, 1073–1087. [Google Scholar] [CrossRef]
- Oh, S.; Rhodes, J.; Strong, R. Impact of cost uncertainty on pricing decisions under risk aversion. Eur. J. Oper. Res. 2016, 253, 144–153. [Google Scholar] [CrossRef]
- Mukhopadhyay, S.K.; Zhu, X.; Yue, X. Optimal Contract Design for Mixed Channels under Information Asymmetry. Prod. Oper. Manag. 2008, 17, 641–650. [Google Scholar] [CrossRef]
- Ghoshal, A.; Kumar, S.; Mookerjee, V. Dilemma of Data Sharing Alliance: When Do Competing Personalizing and Non-Personalizing Firms Share Data. Prod. Oper. Manag. 2020, 29, 1918–1936. [Google Scholar] [CrossRef]
- Xie, W.M.; Zhao, Y.X.; Jiang, Z.B.; Chow, P.S. Optimizing product service system by franchise fee contracts under information asymmetry. Ann. Oper. Res. 2016, 240, 709–729. [Google Scholar] [CrossRef]
- Zhang, X.M.; Han, X.P.; Liu, X.Y.; Liu, R.; Leng, J.Z. The pricing of product and value-added service under information asymmetry: A product life cycle perspective. Int. J. Prod. Res. 2015, 53, 25–40. [Google Scholar] [CrossRef]
- Dan, B.; Zhang, S.G.; Zhou, M.S. Strategies for warranty service in a dual-channel supply chain with value-added service competition. Int. J. Prod. Res. 2018, 56, 5677–5699. [Google Scholar] [CrossRef]
- Hong, X.P.; Wang, L.; Gong, Y.M.; Chen, W.Y. What is the role of value-added service in a remanufacturing closed-loop supply chain? Int. J. Prod. Res. 2020, 58, 3342–3361. [Google Scholar] [CrossRef]
- Liu, W.H.; Wei, W.Y.; Wang, M.L.; Tang, O.; Zhou, L. Pricing decision with conspicuous customers: Quick responses versus value-added services. Int. J. Prod. Res. 2021, 59, 1691–1713. [Google Scholar] [CrossRef]
- Begen, M.A.; Pun, H.; Yan, X.H. Supply and demand uncertainty reduction efforts and cost comparison. Int. J. Prod. Econ. 2016, 180, 125–134. [Google Scholar] [CrossRef]
- Soinio, J.; Tanskanens, K.; Finne, M. How logistics-service providers can develop value-added services for SMEs: A dyadic perspective. Int. J. Logist. Manag. 2012, 23, 31–49. [Google Scholar] [CrossRef]
- Zhang, X.M.; Liu, Y.; Dan, B. Cooperation strategy for an online travel platform with value-added service provision under demand uncertainty. Int. T. Oper. Res. 2021, 28, 3416–3436. [Google Scholar] [CrossRef]
- Zhang, X.M.; Sui, R.H.; Dan, B.; Guan, Z.L. Bilateral value-added services and pricing strategies of the third-party platform considering the cross-network externality. Comput. Ind. Eng. 2021, 155, 14. [Google Scholar] [CrossRef]
- Ji, J.N.; Zhang, Z.Y.; Yang, L. Comparisons of initial carbon allowance allocation rules in an O2O retail supply chain with the cap-and-trade regulation. Int. J. Prod. Econ. 2017, 187, 68–84. [Google Scholar] [CrossRef]
- Xu, X.P.; Zhang, M.Y.; Dou, G.W.; Yu, Y.G. Coordination of a supply chain with an online platform considering green technology in the blockchain era. Int. J. Prod. Res. 2021, 1–8. [Google Scholar] [CrossRef]










| Author(s) | Factors | Scenarios |
|---|---|---|
| Niu et al. [8] | competition and demand variance | medicine supply chain |
| Choi [9] | the unit net benefit brought by the blockchain the unit net benefit of shopping convenience diamond authentication and certification cost | luxury supply chain |
| Liu et al. [10] | investment cost | green agri-food |
| De Giovanni [11] | the marginal and fixed cost of the blockchain the marginal number of tokens | ——— |
| Choi [12] | traditional banking service fees | supply chain financing |
| Chod et al. [13] | market size, operating costs firm’s creditworthiness perishability of the firm’s inputs liquidity of the firm’s inputs | supply chain financing |
| Pun et al. [14] | degree of customers’ dis-trust in the products counterfeit quality | combating counterfeits |
| Yang et al. [15] | price sensitivity, penalty costs, valuation and blockchain adoption cost | food supply chain |
| Li et al. [16] | the deployment cost of blockchain adoption | combating counterfeits |
| Fan et al. [17] | traceability awareness and costs | ——— |
| This paper | value-added service efficiency | low-carbon supplychain |
| Notation | Definition |
|---|---|
| The market potential in scenario B | |
| Value-added service level | |
| Value-added service cost | |
| market demand uncertainty | |
| Value-added service efficiency; is a random variable | |
| The average value-added efficiency | |
| The deviation of value-added efficiency | |
| The manufacturer’s proportion of value-added service costs | |
| The wholesale price | |
| The retail price | |
| The market demand | |
| Profit of manufacturer and retailer, respectively |
| Model NS | Model BS |
|---|---|
| Model NN | Model BN |
|---|---|
| Model NM | Model BM |
|---|---|
Publisher’s Note: MDPI stays neutral with regard to jurisdictional claims in published maps and institutional affiliations. |
© 2022 by the authors. Licensee MDPI, Basel, Switzerland. This article is an open access article distributed under the terms and conditions of the Creative Commons Attribution (CC BY) license (https://creativecommons.org/licenses/by/4.0/).
Share and Cite
Yang, T.; Li, C.; Yue, X.; Zhang, B. Decisions for Blockchain Adoption and Information Sharing in a Low Carbon Supply Chain. Mathematics 2022, 10, 2233. https://doi.org/10.3390/math10132233
Yang T, Li C, Yue X, Zhang B. Decisions for Blockchain Adoption and Information Sharing in a Low Carbon Supply Chain. Mathematics. 2022; 10(13):2233. https://doi.org/10.3390/math10132233
Chicago/Turabian StyleYang, Tianjian, Chunmei Li, Xiongping Yue, and Beibei Zhang. 2022. "Decisions for Blockchain Adoption and Information Sharing in a Low Carbon Supply Chain" Mathematics 10, no. 13: 2233. https://doi.org/10.3390/math10132233
APA StyleYang, T., Li, C., Yue, X., & Zhang, B. (2022). Decisions for Blockchain Adoption and Information Sharing in a Low Carbon Supply Chain. Mathematics, 10(13), 2233. https://doi.org/10.3390/math10132233

