Preharvest Application of Exogenous 2,4-Epibrassinolide and Melatonin Enhances the Maturity and Flue-Cured Quality of Tobacco Leaves
Abstract
1. Introduction
2. Results
2.1. Appearance Quality Evaluation
2.2. Chromatic Aberration
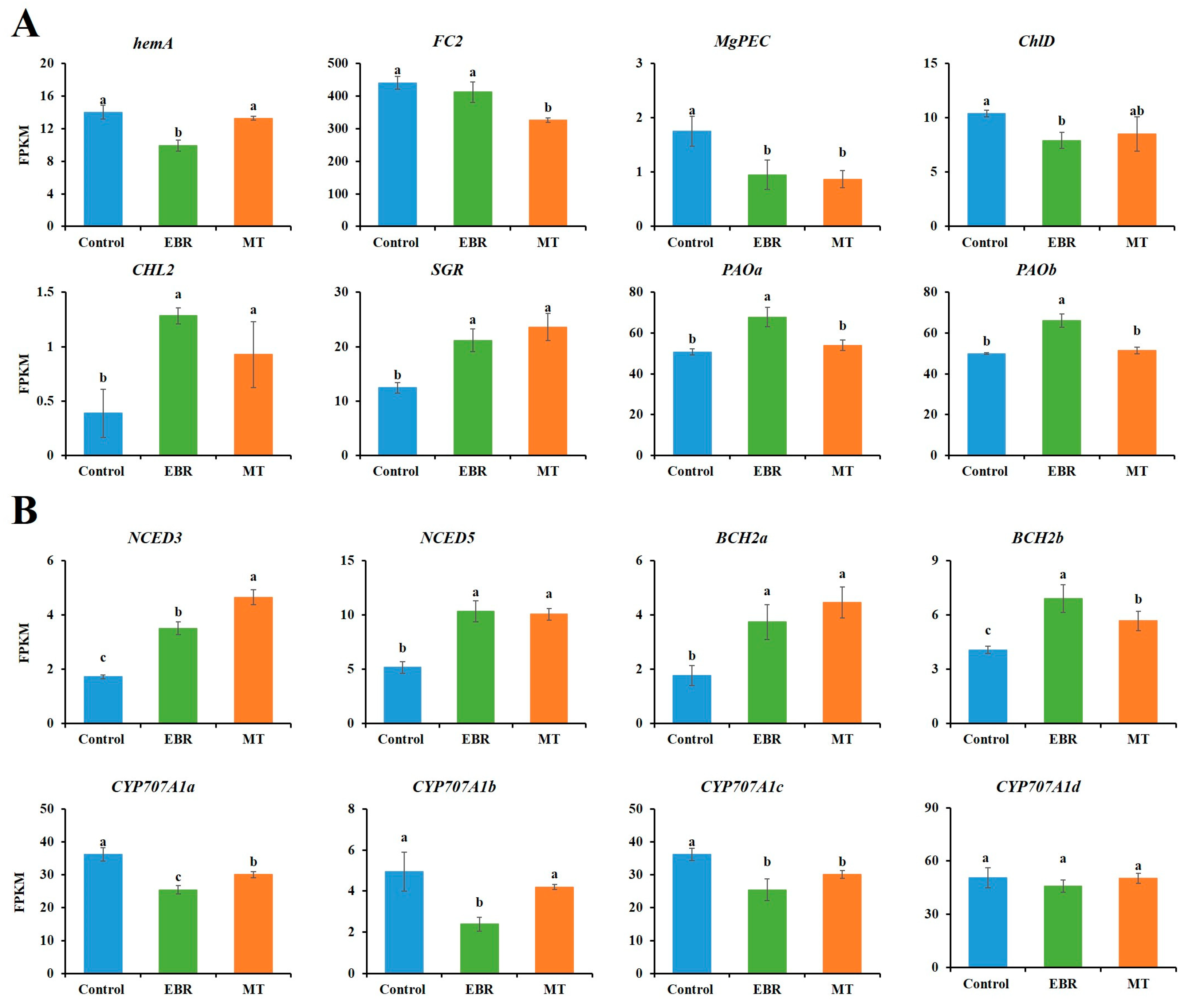
2.3. Chlorophyll and Carotenoids Content
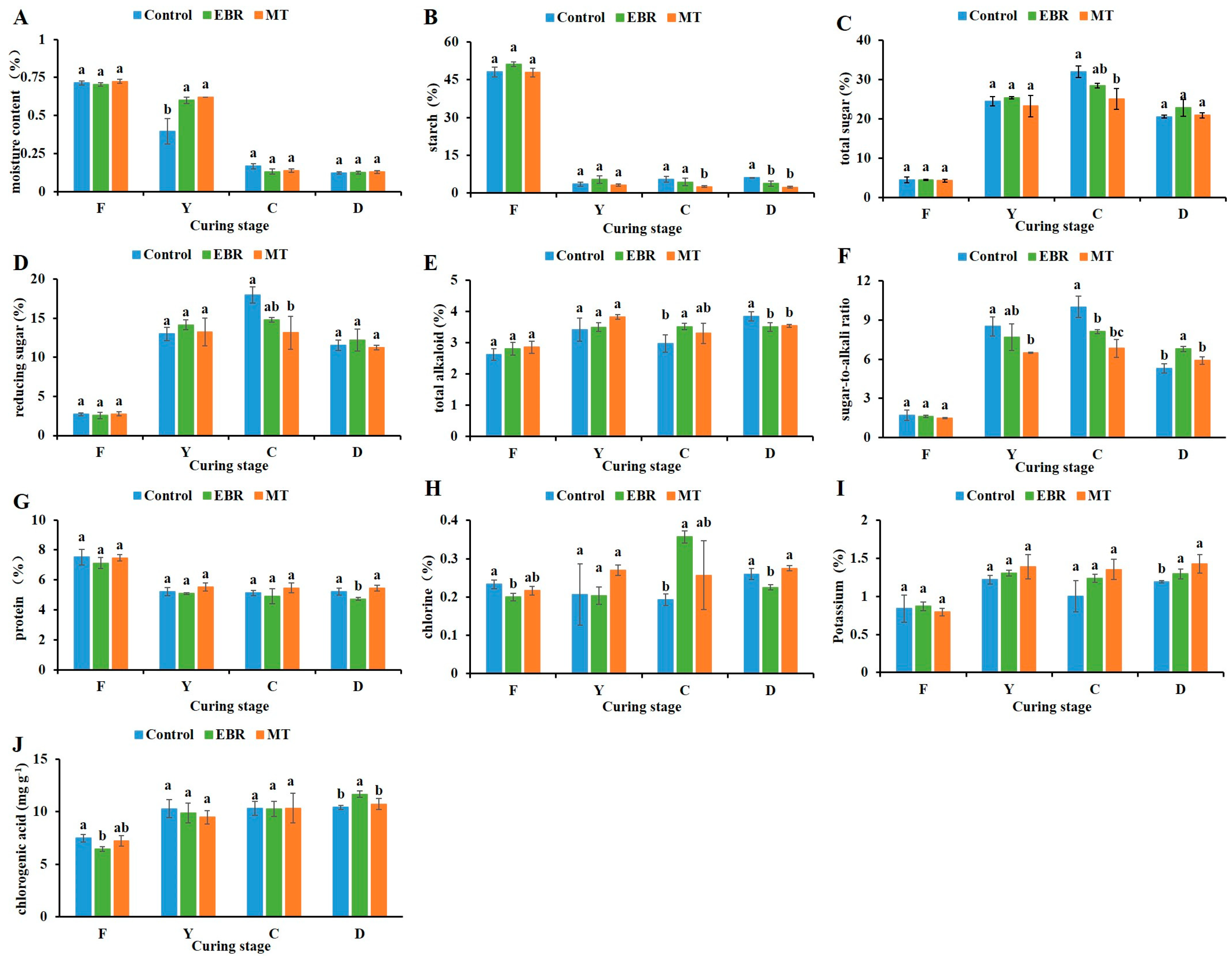
2.4. Moisture Content
2.5. Conventional Chemical Components
2.5.1. Starch and Sugar
2.5.2. Total Alkaloid
2.5.3. Sugar-to-Alkali Ratio
2.5.4. Protein
2.5.5. Chlorine and Potassium
2.5.6. Chlorogenic Acid
2.6. Transcriptome Analysis
2.7. Verification of RNA-Seq Data Using qRT-PCR
2.8. Metabolomic Analysis
2.9. Correlation Analysis
3. Discussion
4. Materials and Methods
4.1. Plant Materials and Treatments
4.2. Chlorophyll and Carotenoids
4.3. Conventional Chemical Compositions
4.4. Transcriptome Sequencing and Analysis
4.5. qRT-PCR Validation
4.6. Metabolome Sequencing and Analysis
4.7. Statistical Analysis
5. Conclusions
Supplementary Materials
Author Contributions
Funding
Institutional Review Board Statement
Informed Consent Statement
Data Availability Statement
Conflicts of Interest
References
- Hao, J.; Wang, X.S.; Chai, Y.; Huang, X.H.; Wu, H.; Zhang, S.L.; Duan, X.J.; Qin, L. Evaluation of lipid and metabolite profiles in tobacco leaves from different plant parts by comprehensive lipidomics and metabolomics analysis. Ind. Crops Prod. 2024, 212, 118318. [Google Scholar] [CrossRef]
- Liu, A.M.; Yuan, K.L.; Li, Q.; Liu, S.Z.; Li, Y.H.; Tao, M.L.; Xu, H.Q.; Tian, J.K.; Guan, S.S.; Zhu, W. Metabolomics and proteomics revealed the synthesis difference of aroma precursors in tobacco leaves at various growth stages. Plant Physiol. Biochem. 2022, 192, 308–319. [Google Scholar] [CrossRef]
- Pan, F.L.; Yang, Y.; Yan, M.; Li, L.Q.; Yan, S.; Yi, M.; Jiang, B.W.; Yang, Y.D. Physiological and texture changes of special quality tobacco leaves during flue curing process. Southwest Agric. Sci. 2019, 32, 2216–2221. [Google Scholar]
- Gao, Y.B.; Lou, X.P.; Zhang, B.Q.; Sun, Z.W.; Zhou, Z.Y.; Zhao, D.F.; Zhao, G.B.; Qiu, K. Curing characteristics of different quality upper tobacco leaves. Southwest Agric. Sci. 2019, 32, 2459–2465. [Google Scholar]
- Wu, W.X.; Li, S.D.; Tan, F.L.; Huang, K.J.; Chen, S.P.; Guo, B.Y.; Song, C.P. The relationship between the content of main nitrogen-containing compound and pigment content in different quality leaves during tobacco bulk curing process. J. Hunan Agric. Univ. 2016, 42, 622–626. [Google Scholar]
- Chen, J.; He, X.; Zhang, X.Y.; Chen, Y.; Zhao, L.; Su, J.E.; Qu, S.B.; Ji, X.W.; Wang, T.; Li, Z.J.; et al. The applicability of different tobacco types to heated tobacco products. Ind. Crops Prod. 2021, 168, 113579. [Google Scholar] [CrossRef]
- Wang, J. Study on the Influence of Sugars in Cigarette on Sweet Taste of Cigarette; Ocean University of China: Qingdao, China, 2011. [Google Scholar]
- Young, R.P.; Scott, R.J. Inhaled nicotine and lung cancer: Potential role of the nicotinic acetylcholine receptor. Proc. Natl. Acad. Sci. USA 2020, 117, 4460–4461. [Google Scholar] [CrossRef] [PubMed]
- Chen, J.; Li, Y.; He, X.; Jiao, F.C.; Xu, M.L.; Hu, B.B.; Jin, Y.; Zou, C.M. Influences of different curing methods on chemical compositions in different types of tobaccos. Ind. Crops Prod. 2021, 167, 113534. [Google Scholar] [CrossRef]
- Li, B.B.; Fu, Y.S.; Li, X.X.; Yin, H.N.; Xi, Z.M. Brassinosteroids alleviate cadmium phytotoxicity by minimizing oxidative stress in grape seedlings: Toward regulating the ascorbate-glutathione cycle. Sci. Hortic. 2022, 299, 111002. [Google Scholar] [CrossRef]
- Jia, Y.; Yin, X.C.; Zhao, J.; Pan, Y.Z.; Jiang, B.B.; Liu, Q.L.; Li, Y.F.; Li, Z.L. Effects of 2,4-Epibrassinolide, melatonin and their combined effect on cadmium tolerance in Primula forbesii Franch. Ecotoxicol. Environ. Saf. 2023, 262, 115217. [Google Scholar] [CrossRef]
- Li, B.; Chen, X.X.; Zhang, W.J.; Zhai, Z.G.; Liu, H.B.; Jiang, Z.M.; Xu, Z.Q. Effects of exogenous GA3 and ABA on endogenous hormone regulation and conventional chemical composition of flue-cured tobacco. J. Zhejiang Agric. Sci. 2024, 65, 181–189. [Google Scholar]
- Zebosi, B.; Vollbrecht, E.; Best, N.B. Brassinosteroid biosynthesis and signaling: Conserved and diversified functions of core genes across multiple plant species. Plant Commun. 2024, 5, 100982. [Google Scholar] [CrossRef] [PubMed]
- Singh, A.; Dwivedi, P.; Kumar, V.; Pandey, D.K. Brassinosteroids and their analogs: Feedback in plants under in vitro condition. S. Afr. J. Bot. 2021, 143, 256–265. [Google Scholar] [CrossRef]
- Gutiérrez-Villamil, D.A.; Magnitskiy, S.; Balaguera-López, H.E. Physiological and molecular functions of brassinosteroids during fruit development, ripening, and postharvest damage of horticultural products: A review. Plant Physiol. Biochem. 2024, 214, 112984. [Google Scholar] [CrossRef]
- Pintó-Marijuan, M.; Turon-Orra, M.; González-Betancort, A.; Muñoz, P.; Munné-Bosch, S. Improved production and quality of peppers irrigated with regenerated water by the application of 2,4-epibrassinolide. Plant Sci. 2023, 334, 111764. [Google Scholar] [CrossRef]
- Zhu, T.; Tan, W.R.; Deng, X.G.; Zheng, T.; Zhang, D.W.; Lin, H.H. Effects of brassinosteroids on quality attributes and ethylene synthesis in postharvest tomato fruit. Plant Physiol. Biochem. 2015, 100, 196–204. [Google Scholar] [CrossRef]
- Fang, R.Q.; Lv, G.H.; Zhang, X.W.; Chen, J.J.; Chen, X.L.; Wang, B. Preharvest 24-epibrassinolide treatment prolongs harvest duration and shelf life in sweet corn. Food Chem.-Mol. Sci. 2023, 7, 100179. [Google Scholar] [CrossRef]
- Hu, S.Q.; Hou, Y.Y.; Zhao, L.Y.; Zheng, Y.H.; Jin, P. Exogenous 24-epibrassinolide alleviates chilling injury in peach fruit through modulating PpGATA12-mediated sucrose and energy metabolisms. Food Chem. 2023, 400, 133996. [Google Scholar] [CrossRef] [PubMed]
- Jayarajan, S.; Sharma, R.R. Melatonin: A blooming biomolecule for postharvest management of perishable fruits and vegetables. Trends Food Sci. Technol. 2021, 116, 318–328. [Google Scholar] [CrossRef]
- Ze, Y.; Gao, H.J.; Li, T.T.; Yang, B.; Jiang, Y.M. Insights into the roles of melatonin in maintaining quality and extending shelf life of postharvest fruits. Trends Food Sci. Technol. 2021, 109, 569–578. [Google Scholar] [CrossRef]
- Vougeleka, V.; Risoli, S.; Saitanis, C.; Agathokleous, E.; Ntatsi, G.; Lorenzini, G.; Nali, C.; Pellegrini, E.; Pisuttu, C. Exogenous application of melatonin protects bean and tobacco plants against ozone damage by improving antioxidant enzyme activities, enhancing photosynthetic performance, and preventing membrane damage. Environ. Pollut. 2024, 343, 123180. [Google Scholar] [CrossRef] [PubMed]
- Song, Z.P.; Wang, P.; Chen, X.L.; Peng, Y.F.; Cai, B.; Song, J.Y.; Yin, G.T.; Jia, S.W.; Zhang, H.Y. Melatonin alleviates cadmium toxicity and abiotic stress by promoting glandular trichome development and antioxidant capacity in Nicotiana tabacum. Ecotoxicol. Environ. Saf. 2022, 236, 113437. [Google Scholar] [CrossRef] [PubMed]
- Wang, M.; Duan, S.H.; Zhou, Z.C.; Chen, S.B.; Wang, D. Foliar spraying of melatonin confers cadmium tolerance in Nicotiana tabacum L. Ecotoxicol. Environ. Saf. 2019, 170, 68–76. [Google Scholar] [CrossRef]
- Wang, Y.; Guo, D.D.; Wang, J.C.; Tian, B.; Li, Y.Y.; Sun, G.Y.; Zhang, H.H. Exogenous melatonin alleviates NO2 damage in tobacco leaves by promoting antioxidant defense, modulating redox homeostasis, and signal transduction. J. Hazard. Mater. 2022, 424, 127265. [Google Scholar] [CrossRef]
- Meng, J.F.; Xu, T.F.; Song, C.Z.; Yu, Y.; Hu, F.; Zhang, L.; Zhang, Z.W.; Xi, Z.M. Melatonin treatment of pre-veraison grape berries to increase size and synchronicity of berries and modify wine aroma components. Food Chem. 2015, 185, 127–134. [Google Scholar] [CrossRef]
- Xu, P.X.; Wang, X.; Luo, S.C.; Cheng, A.; Xu, J.F.; Ma, H.; Zhang, Y.X.; Zhang, H.X. MAPK and hormone signaling and carotenoid biosynthesis pathways are involved in regulating flower opening of pear tree by response to temperature mediated by melatonin. Fruit Res. 2024, 4, e026. [Google Scholar] [CrossRef]
- Feng, Y.Q.; Liu, C.Y.; Gong, B.; Ai, X.Z.; Bi, H.J. Abscisic acid participates in melatonin-induced chilling tolerance of cucumber via regulating photosynthesis and the antioxidant system. Veg. Res. 2024, 4, e025. [Google Scholar] [CrossRef]
- Chang, Y.B.; Tian, Z.; Liang, Y.Y.; Yang, M.M.; Song, J.Z.; Wang, G.Y.; Fu, J.C.; Liu, L.; Huang, L.; Li, S.P. Correlation analysis of the appearance and sensory quality of Guizhou flue-cured tobacco with metabolites. Tobacoo Sci. Technol. 2024, 1–15. Available online: http://kns.cnki.net/kcms/detail/41.1137.ts.20240709.1156.002.html (accessed on 9 October 2024).
- Yao, Y.M.; Zhao, N.; Xian, T.T.; Tu, S.C.; Pan, L.Q.; Tu, K. Effect of 2,4-epibrassinolide treatment on the postharvest quality and physiological metabolism of fresh daylily flower buds during storage. Sci. Hortic. 2017, 226, 10–116. [Google Scholar] [CrossRef]
- Mandava, B, Wang, Y, 2016, Effect of brassinosteroids on cherry maturation, firmness and fruit quality. Acta Hortic. 2016, 1139, 451–458.
- Verde, A.; Míguez, J.; Gallardo, M. Melatonin stimulates postharvest ripening of apples by up-regulating gene expression of ethylene synthesis enzymes. Postharvest Biol. Technol. 2023, 195, 112133. [Google Scholar] [CrossRef]
- Xu, L.L.; Yue, Q.Y.; Xiang, G.Q.; Bian, F.; Yao, Y.X. Melatonin promotes ripening of grape berry via increasing the levels of ABA, H2O2, and particularly ethylene. Hortic. Res.-Engl. 2018, 5, 41. [Google Scholar] [CrossRef] [PubMed]
- Mansouri, S.; Sarikhani, H.; Sayyari, M.; Aghdam, M.S. Melatonin accelerates strawberry fruit ripening by triggering GAMYB gene expression and promoting ABA accumulation. Sci. Hortic. 2021, 281, 109919. [Google Scholar] [CrossRef]
- Wu, S.J.; Guo, Y.S.; Joan, H.I.; Tu, Y.G.; Adil, M.F.; Sehar, F.S.; Zhao, D.G.; Shamsi, I.H. iTRAQ-based comparative proteomic analysis reveals high temperature accelerated leaf senescence of tobacco (Nicotiana tabacum L.) during flue-curing. Genomics 2020, 112, 3075–3088. [Google Scholar] [CrossRef]
- Zhang, C.L.; Liang, Q.Y.; Wang, Y.L.; Liang, S.; Huang, Z.; Li, H.X.; Escalona, V.H.; Yao, X.W.; Cheng, W.J.; Chen, Z.F.; et al. BoaBZR1.1 mediates brassinosteroid-induced carotenoid biosynthesis in Chinese kale. Hortic. Res.-Engl. 2024, 11, uhae104. [Google Scholar] [CrossRef]
- Sun, Q.Q.; Zhang, N.; Wang, J.F.; Zhang, H.J.; Li, D.B.; Shi, J.; Li, R.; Weeda, S.; Zhao, B.; Ren, S.X.; et al. Melatonin promotes ripening and improves quality of tomato fruit during postharvest life. J. Exp. Bot. 2015, 66, 657–668. [Google Scholar] [CrossRef]
- Yu, Y.F. Effects of Organic Fertilizer and Melatonin Erythromycin on the Growth and Quality of Upper Leaves of Flue-Cured Tobacco; Sichuan Agricultural University: Chengdu, China, 2023. [Google Scholar]
- Pattanayak, G.K.; Biswal, A.K.; Reddy, V.S.; Tripathy, B.C. Light-dependent regulation of chlorophyll b biosynthesis in chlorophyllide a oxygenase overexpressing tobacco plants. Biochem. Biophys. Res. Commun. 2005, 326, 466–471. [Google Scholar] [CrossRef]
- Luo, L.; Niu, Y.N.; Li, Q.; Xia, L.F.; Wang, C.Y.; Luo, S.X.; Li, N.; Xuan, S.X.; Wang, Y.H.; Shen, S.X.; et al. Mapping and identification of genes responsible for less-photosensitive fruit coloration in eggplant. Veg. Res. 2023, 3, 32. [Google Scholar] [CrossRef]
- Chen, Y.M.; Wang, Y.; Huang, J.G.; Zheng, C.C.; Cai, C.X.; Wang, Q.M.; Wu, C.A. Salt and methyl jasmonate aggravate growth inhibition and senescence in Arabidopsis seedlings via the JA signaling pathway. Plant Sci. 2017, 261, 1–9. [Google Scholar] [CrossRef]
- Pan, M.; Xia, C.C.; Gu, S.N.; He, H.L.; Wang, G.; Weng, Y.Q.; Pan, J.; Pan, J.S. Loss-function-of a UMP kinase leads to impaired chloroplast development and photosynthesis efficiency in cucumber. Veg. Res. 2024, 4, e034. [Google Scholar] [CrossRef]
- Zeng, Z.Q.; Lin, T.Z.; Zhao, J.Y.; Zheng, T.H.; Xu, L.F.; Wang, Y.H.; Liu, L.L.; Jiang, L.; Chen, S.H.; Wan, J.M. OsHemA gene, encoding glutamyl-tRNA reductase (GluTR) is essential for chlorophyll biosynthesis in rice (Oryza sativa). J. Integr. Agric. 2020, 19, 612–623. [Google Scholar] [CrossRef]
- Tian, Y.N.; Zhong, R.H.; Wei, J.B.; Luo, H.H.; Eyal, Y.; Jin, H.L.; Wu, L.J.; Liang, K.Y.; Li, Y.M.; Chen, S.Z.; et al. Arabidopsis CHLOROPHYLLASE 1 protects young leaves from long-term photodamage by facilitating FtsH-mediated D1 degradation in photosystem II repair. Mol. Plant 2021, 14, 1149–1167. [Google Scholar] [CrossRef] [PubMed]
- Harpaz-Saad, S.; Azoulay, T.; Arazi, T.; Ben-Yaakov, E.; Mett, A.; Shiboleth, Y.; Hörtensteiner, S.; Gidoni, D.; Gal-On, A.; Goldschmidt, E.; et al. Chlorophyllase Is a Rate-Limiting Enzyme in Chlorophyll Catabolism and Is Posttranslationally Regulated. Plant Cell 2007, 19, 1007–1022. [Google Scholar] [CrossRef]
- Liu, M.Y.; Ma, W.; Su, X.J.; Zhang, X.M.; Lu, Y.; Zhang, S.W.; Yan, J.H.; Feng, D.L.; Ma, L.S.; Taylor, A.; et al. Mutation in a chlorophyll-binding motif of Brassica ferrochelatase enhances both heme and chlorophyll biosynthesis. Cell Rep. 2022, 41, 111758. [Google Scholar] [CrossRef]
- Wu, C.H.; Cao, S.F.; Xie, K.Q.; Chi, Z.Y.; Wang, J.; Wang, H.F.; Wei, Y.Y.; Shao, X.F.; Zhang, C.D.; Xu, F.; et al. Melatonin delays yellowing of broccoli during storage by regulating chlorophyll catabolism and maintaining chloroplast ultrastructure. Postharvest Biol. Technol. 2021, 172, 111378. [Google Scholar] [CrossRef]
- Zhang, Y.; Jin, J.; Zhu, S.; Sun, Q.; Zhang, Y.; Xie, Z.; Ye, J.; Deng, X. Citrus β-carotene hydroxylase 2 (BCH2) participates in xanthophyll synthesis by catalyzing the hydroxylation of β-carotene and compensates for BCH1 in citrus carotenoid metabolism. Hortic. Res.-Engl. 2022, 10, uhac290. [Google Scholar] [CrossRef]
- Tantisuwanichkul, K.; Sirikantaramas, S. Genome-wide analysis of carotenoid cleavage oxygenases and identification of ripening-associated DzNCED5a in durian (Durio zibethinus) fruit. Plant Physiol. Biochem. 2024, 206, 108253. [Google Scholar] [CrossRef]
- Wang, X.T.; Jin, B.Y.; Yan, W.J.; Wang, J.X.; Xu, J.; Cai, C.X.; Qi, X.H.; Xu, Q.; Yang, X.D.; Xu, X.W.; et al. Cucumber abscisic acid 8′-hydroxylase Csyf2 regulates yellow flesh by modulating carotenoid biosynthesis. Plant Physiol. 2023, 193, 1001–1015. [Google Scholar] [CrossRef]
- Gong, C.R.; Wang, X.J.; Ma, J.M.; Li, C.J. Study on the moisture content change and physiological mechanism in tobacco leaf during flue-curing process. J. Henan Agric. Univ. 2000, 34, 229–231. [Google Scholar]
- Wu, S.; Guo, Y.; Adil, M.F.; Sehar, S.; Cai, B.; Xiang, Z.; Tu, Y.; Zhao, D.; Shamsi, I.H. Comparative proteomic analysis by iTRAQ reveals that plastid pigment metabolism contributes to leaf color changes in tobacco (Nicotiana tabacum) during curing. Int. J. Mol. Sci. 2020, 21, 2394. [Google Scholar] [CrossRef] [PubMed]
- Lu, S.H.; Liu, C.S.; Xu, L.P.; Xie, Y.H.; Xu, G.Y.; Wu, Z.M.; Zhang, L.N.; Gao, Y. Effects of exogenous melatonin on lipid peroxidation level of cigar tobacco leaves during air-curing stage. Acta Tab. Sin. 2023, 29, 82–92. [Google Scholar]
- Zhang, L.Y.; Mai, J.; Shi, J.F.; Ai, K.B.; He, L.; Zhu, M.J.; Hu, B.B. Study on tobacco quality improvement and bacterial community succession during microbial co-fermentation. Ind. Crops Prod. 2024, 208, 117889. [Google Scholar] [CrossRef]
- Gong, Y.; Li, J.; Deng, X.; Chen, Y.; Chen, S.; Huang, H.; Ni, L.; Long, T.; He, W.; Zhang, J.; et al. Application of starch degrading bacteria from tobacco leaves in improving the flavor of flue-cured tobacco. Front. Microbiol. 2023, 14, 1211936. [Google Scholar] [CrossRef]
- Wang, P. Research on Starch Content Changes During Development and Curing in Tobacco Leaves; Henan Agricultural University: Zhengzhou, China, 2023. [Google Scholar]
- Singh, D.; Dwivedi, S.; Singh, N.; Trivedi, P.K. HY5 and COP1 function antagonistically in the regulation of nicotine biosynthesis in Nicotiana tabacum. Plant Physiol. Biochem. 2024, 214, 108916. [Google Scholar] [CrossRef]
- Wang, M.; Li, Y.; Xiao, Y.; Yang, M.; Chen, J.; Jian, Y.; Chen, X.; Shi, D.; Chen, X.; Ouyang, Y.; et al. Nicotine-mediated OTUD3 downregulation inhibits VEGF-C mRNA decay to promote lymphatic metastasis of human esophageal cancer. Nat. Commun. 2021, 12, 7006. [Google Scholar] [CrossRef] [PubMed]
- Zhang, S.T.; Li, J.X.; Li, M.; Wang, W.M.; Wang, D.; Chang, J.B.; Xia, Z.L.; Zhang, X.Q. Effects of exogenous 2,4-epibrassinolide on nitrogen metabolism and nicotine metabolism in flue-cured tobacco at mature stage. Tob. Sci. Technol. 2022, 55, 1–8+18. [Google Scholar]
- He, J.X.; Gu, H.Z.; Zhang, Q.L.; Yu, S.K.; Mu, M.X.; Wang, D.; Yu, Y.F.; Lu, Y.F.; Lu, L.M. Effect of Foliar Spraying with Melatonin on Yield and Chemical Components of Flue-cured Tobacco. Mod. Agric. Sci. Technol 2023, 8, 35–39. [Google Scholar]
- Ma, Y.Y.; Chen, S.Y.; Wu, Z.G.; Zhou, H.; Lu, P.; Chen, H.L. Effect of water and fertilizer integration on potassium and chloride changes in different reproductive stages of flue-cured tobacco. J. Northwest A&F Univ. 2023, 51, 52–62. [Google Scholar]
- Shi, Q.H.; Xu, G.Q.; Dai, X.Y.; Zhang, T.J.; Chen, P.Y. Effects of drought on physiological characteristics and potassium content of flue-cured tobacco seedlings under low potassium stress. Agric. Res. Arid Areas 2023, 41, 178–186+197. [Google Scholar]
- He, S.; Gao, J.P.; Li, B.Y.; Luo, Z.P.; Liu, P.P.; Xu, X.; Wu, M.Z.; Yang, J.; He, X.X.; Wang, Z. NtWIN1 regulates the biosynthesis of scopoletin and chlorogenic acid by targeting NtF6′H1 and NtCCoAMT genes in Nicotiana tabacum. Plant Physiol. Biochem. 2024, 214, 108937. [Google Scholar] [CrossRef]
- Li, Y.; Ren, K.; Hu, M.; He, X.; Gu, K.; Hu, B.; Su, J.; Jin, Y.; Gao, W.; Yang, D.; et al. Cold stress in the harvest period: Effects on tobacco leaf quality and curing characteristics. BMC Plant Biol. 2021, 21, 131. [Google Scholar] [CrossRef] [PubMed]
- He, X.; Liu, T.; Ren, K.; Chen, J.; Zhao, G.; Hu, B.; Xu, A.; Jin, Y.; Zhu, Y.; Zou, C. Salicylic Acid Effects on Flue-Cured Tobacco Quality and Curing Characteristics During Harvesting and Curing in Cold-Stressed Fields. Front. Plant Sci. 2020, 11, 580597. [Google Scholar] [CrossRef]
- Gao, H.; Chai, H.K.; Cheng, N.; Cao, W. Effects of 2,4-epibrassinolide on enzymatic browning and antioxidant activity of fresh-cut lotus root slices. Food Chem. 2017, 217, 45–51. [Google Scholar] [CrossRef] [PubMed]
- Di, H.M.; Liu, R.B.; Zhang, Y.T.; Chen, Z.F.; Ma, J.; Escalona, V.H.; Liu, D.C.; Huang, H.H.; Huang, Z.; Tang, Y.; et al. Individual and combined treatments of 2,4-epibrassinolide (EBR) and calcium chloride (CaCl2) maintain the postharvest quality of baby mustard. Postharvest Biol. Technol. 2024, 212, 112901. [Google Scholar] [CrossRef]
- Wang, Y.; Liu, Z.H.; Ma, J.; Xu, Q.Y.; Gao, H.X.; Yin, H.; Yan, G.; Jiang, X.W.; Yu, W.H. Lycopene attenuates the inflammation and apoptosis in aristolochic acid nephropathy by targeting the Nrf2 antioxidant system. Redox Biol. 2022, 57, 102494. [Google Scholar] [CrossRef]
- Guo, Q.Q.; Wu, S.J.; Liang, W.Y.; Tan, J.H.; Liu, X.M.; Yuan, Y.X.; Li, X.H.; Zhao, H.S. Glabrol impurity exacerbates glabridin toxicity in zebrafish embryos by increasing myofibril disorganization. J. Ethnopharmacol. 2022, 287, 114963. [Google Scholar] [CrossRef]
- Ahn, J.W.; Kim, S.; Ko, S.; Kim, Y.H.; Jeong, J.H.; Chung, S. Modified (-)-gallocatechin gallate-enriched green tea extract rescues age-related cognitive deficits by restoring hippocampal synaptic plasticity. Biochem. Biophys. Rep. 2022, 29, 101201. [Google Scholar] [CrossRef] [PubMed]
- Li, X.; Li, M.H.; Deng, W.W.; Ahammed, G.J.; Wei, J.P.; Yan, P.; Zhang, L.P.; Fu, J.Y.; Han, W.Y. Exogenous melatonin improves tea quality under moderate high temperatures by increasing epigallocatechin-3-gallate and theanine biosynthesis in Camellia sinensis L. J. Plant Physiol. 2020, 253, 153273. [Google Scholar] [CrossRef]
- Sun, T.; Xue, C.Q.; Chen, Y.; Zhao, L.Y.; Qiao, C.C.; Huang, A.Y.; Li, F.T.; Liu, C.; Wang, H.; Yang, Y.F.; et al. Cost-effective identification of the field maturity of tobacco leaves based on deep semi-supervised active learning and smartphone photograph. Comput. Electron. Agric. 2023, 215, 108373. [Google Scholar] [CrossRef]
- Çakir, R.; Çebi, U. The effect of irrigation scheduling and water stress on the maturity and chemical composition of Virginia tobacco leaf. Field Crop Res. 2010, 119, 269–276. [Google Scholar] [CrossRef]
- Chen, Y.; Bin, J.; Kang, C. Application of machine vision and convolutional neural networks in discriminating tobacco leaf maturity on mobile devices. Smart Agric. Technol. 2023, 5, 100322. [Google Scholar] [CrossRef]
- Zahedipour-Sheshglani, P.; Asghari, M. Impact of foliar spray with 2,4-epibrassinolide on yield, quality, ripening physiology and productivity of the strawberry. Sci. Hortic. 2020, 268, 109376. [Google Scholar] [CrossRef]
- Tan, X.L.; Fan, Z.Q.; Zeng, Z.X.; Shan, W.; Kuang, J.F.; Lu, W.J.; Su, X.G.; Tao, N.G.; Lakshmanan, P.; Chen, J.Y.; et al. Exogenous melatonin maintains leaf quality of postharvest Chinese flowering cabbage by modulating respiratory metabolism and energy status. Postharvest Biol. Technol. 2021, 177, 111524. [Google Scholar] [CrossRef]
- Zhan, J.; Wu, S.J.; He, F.; LI, W.; Huo, K.L.; Gong, C.R. Effects of temperature and humility on the appearance quality and internal quality of upper leaves of flue-cured tobacco in stem-drying stage during bulk curing. J. Gansu Agric. Univ. 2011, 46, 29–35. [Google Scholar]
- Sun, B.; Di, H.M.; Zhang, J.Q.; Xia, P.X.; Huang, W.L.; Jian, Y.; Zhang, C.L.; Zhang, F. Effect of light on sensory quality, health-promoting phytochemicals and antioxidant capacity in post-harvest baby mustard. Food Chem. 2021, 339, 128057. [Google Scholar] [CrossRef]









Disclaimer/Publisher’s Note: The statements, opinions and data contained in all publications are solely those of the individual author(s) and contributor(s) and not of MDPI and/or the editor(s). MDPI and/or the editor(s) disclaim responsibility for any injury to people or property resulting from any ideas, methods, instructions or products referred to in the content. |
© 2024 by the authors. Licensee MDPI, Basel, Switzerland. This article is an open access article distributed under the terms and conditions of the Creative Commons Attribution (CC BY) license (https://creativecommons.org/licenses/by/4.0/).
Share and Cite
Wei, K.; Tang, J.; Yang, L.; Chen, S.; Cheng, Z.; Yang, Y.; Xu, C.; Wu, S.; Zhao, Y.; Di, H.; et al. Preharvest Application of Exogenous 2,4-Epibrassinolide and Melatonin Enhances the Maturity and Flue-Cured Quality of Tobacco Leaves. Plants 2024, 13, 3266. https://doi.org/10.3390/plants13233266
Wei K, Tang J, Yang L, Chen S, Cheng Z, Yang Y, Xu C, Wu S, Zhao Y, Di H, et al. Preharvest Application of Exogenous 2,4-Epibrassinolide and Melatonin Enhances the Maturity and Flue-Cured Quality of Tobacco Leaves. Plants. 2024; 13(23):3266. https://doi.org/10.3390/plants13233266
Chicago/Turabian StyleWei, Kesu, Jiayi Tang, Lei Yang, Shaopeng Chen, Zhijun Cheng, Yijun Yang, Chen Xu, Shengjiang Wu, Yuhang Zhao, Hongmei Di, and et al. 2024. "Preharvest Application of Exogenous 2,4-Epibrassinolide and Melatonin Enhances the Maturity and Flue-Cured Quality of Tobacco Leaves" Plants 13, no. 23: 3266. https://doi.org/10.3390/plants13233266
APA StyleWei, K., Tang, J., Yang, L., Chen, S., Cheng, Z., Yang, Y., Xu, C., Wu, S., Zhao, Y., Di, H., Li, L., Sun, D., Li, J., & Sun, B. (2024). Preharvest Application of Exogenous 2,4-Epibrassinolide and Melatonin Enhances the Maturity and Flue-Cured Quality of Tobacco Leaves. Plants, 13(23), 3266. https://doi.org/10.3390/plants13233266

