Evaluating the Performance of Cocopeat and Volcanic Tuff in Soilless Cultivation of Roses
Abstract
1. Introduction
2. Results
2.1. Physical and Chemical Properties of Substrates
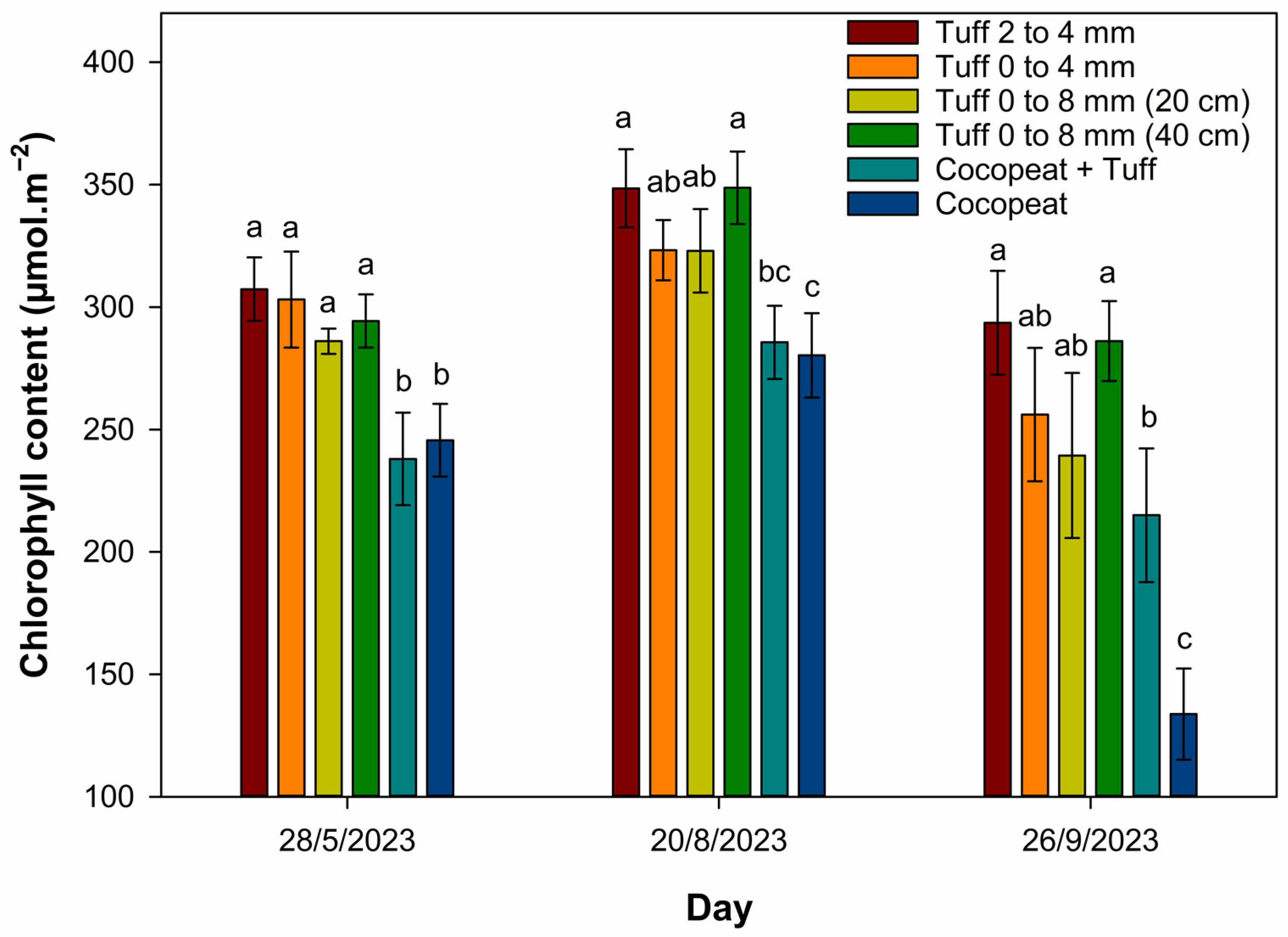
2.2. Plant Growth and Flower Quality
3. Discussion
3.1. Substrate Physical and Chemical Properties
3.2. Plant Growth and Flower Quality
4. Materials and Methods
4.1. Experiment Layout and Plant Material
4.2. Plant Growth and Flower Quality
4.3. Statistical Analysis
5. Conclusions
Author Contributions
Funding
Data Availability Statement
Acknowledgments
Conflicts of Interest
References
- Zlesak, D.C. Rose. In Flower Breeding and Genetics: Issues, Challenges and Opportunities for the 21st Century; Springer: Dordrecht, The Netherlands, 2007; pp. 695–740. [Google Scholar]
- Wang, G.A. Study on the history of Chinese roses from ancient works and images. Acta Hortic. 2007, 751, 347–356. [Google Scholar] [CrossRef]
- Widrlechner, M.P. History and utilization of Rosa damascena. Econ. Bot. 1981, 35, 42–58. [Google Scholar] [CrossRef]
- Hutton, F.; Amao, A.; Cucciniello, L.; Fenyo, M.; Ginsburg, S.; Joshi, M.; Levin, T.; Wassegijig, M.P.; Taylor, M. Rose Lore: Essays in Semiotics and Cultural History; Lexington Books: Lanham, MD, USA, 2008; pp. 64–65. [Google Scholar]
- Usman, M.; Ashfaq, M.; Taj, S.; Abid, M. An economic analysis of cut-rose flower in Punjab, Pakistan. J. Anim. Plant Sci. 2014, 24, 651–655. [Google Scholar]
- U.S. Department of Agriculture. Floriculture Crops 2015 Summary. U.S. Department of Agriculture, National Agricultural Statistics Service, 2015. Available online: https://downloads.usda.library.cornell.edu/usda-esmis/files/0p0966899/pz50gz655/8910jx14p/FlorCrop-04-26-2016.pdf (accessed on 15 July 2024).
- AIPH. International Statistics, Flowers and Plants. International Association of Horticultural Producers. 2021. Available online: https://aiph.org/wp-content/uploads/yearbook/SYB_2021-updated-2.pdf (accessed on 19 July 2024).
- Savvas, D. Hydroponic Production of Vegetables and Ornamentals, 2nd ed.; Embryo Publications: Athens, Greece, 2002; pp. 15–23. [Google Scholar]
- El-Behairy, U.A.A. Simple substrate culture in arid lands. In Soilless Culture use of Substrates for the Production of Quality Horticultural Crops; InTech: Rijeka, Croatia, 2015; pp. 69–97. [Google Scholar] [CrossRef]
- Raviv, M.; Lieth, J.H.; Bar-Tal, A. Significance of soilless culture in agriculture. In Soilless Culture; Academic Press: London, UK, 2008; pp. 3–14. [Google Scholar]
- Klougart, A. Substrates and nutrient flow. In Proceedings of the International Symposium on Substrates in Horticulture Other than Soils, Barcelona, Spain, 1 June 1984; pp. 297–314. [Google Scholar]
- Othman, Y.; Bataineh, K.; Al-Ajlouni, M.; Alsmairat, N.; Ayad, J.; Shiyab, S.; Al-Qarallah, B.; St Hilaire, R. Soilless culture: Management of growing substrate, water, nutrient, salinity, microorganism and product quality. Fresenius Environ. Bull. 2019, 28, 3249–3260. [Google Scholar]
- Samartzidis, C.; Awada, T.; Maloupa, E.; Radoglou, K.; Constantinidou, H.I. Rose productivity and physiological responses to different substrates for soil-less culture. Sci. Hortic. 2005, 106, 203–212. [Google Scholar] [CrossRef]
- Maloupa, E.; Khelifi, S.; Zervaki, D. Effect of growing media on the production and quality of two rose varieties. Acta Hortic. 2001, 548, 79–84. [Google Scholar] [CrossRef]
- Samadi, A. Effect of particle size distribution of perlite and its mixture with organic substrates on cucumber in hydroponics system. J. Agric. Sci. Technol.-Iran 2011, 13, 123–130. [Google Scholar]
- Deepagoda, T.C.; Lopez, J.C.C.; Møldrup, P.; de Jonge, L.W.; Tuller, M. Integral parameters for characterizing water, energy, and aeration properties of soilless plant growth media. J. Hydrol. 2013, 502, 120–127. [Google Scholar] [CrossRef]
- Richards, D.; Lane, M.; Beardsell, D.V. The influence of particle-size distribution in pinebark: Sand: Brown coal potting mixes on water supply, aeration and plant growth. Sci. Hortic. 1986, 29, 1–14. [Google Scholar] [CrossRef]
- Wilkinson, K.M.; Landis, T.D.; Haase, D.L.; Daley, B.F.; Dumroese, R.K. Tropical Nursery Manual; US Department of Agriculture: Washington, DC, USA, 2014.
- Gohil, P.; Gohil, M.; Rajatiya, J.; Halepotara, F.; Solanki, M.; Malam, V.R.; Barad, R. Role of growing media for ornamental pot plants. Int. J. Pure App. Biosci. 2018, 6, 1219–1224. [Google Scholar] [CrossRef]
- Kalaivani, K.; Jawaharlal, M. Study on physical characterization of coco peat with different proportions of organic amendments for soilless cultivation. J. Pharmacogn. Phytochem. 2019, 8, 2283–2286. [Google Scholar]
- Krishnapillai, M.V.; Young-Uhk, S.; Friday, J.B.; Haase, D.L. Locally produced cocopeat growing media for container plant production. Tree Plant. Notes 2020, 63, 29–38. [Google Scholar]
- Barker, A.V. Science and Technology of Organic Farming, 2nd ed.; CRC Press: Boca Raton, FL, USA, 2021. [Google Scholar]
- Asniar, N.; Purwana, Y.M.; Surjandari, N.S. Tuff as Rock and Soil: Review of the Literature on Tuff Geotechnical, Chemical and Mineralogical Properties around the World and in Indonesia. AIP Conf. Proc. 2019, 2114, 050022. [Google Scholar]
- Al-Ajlouni, M.G.; Ayad, J.Y.; Othman, Y.A. Particle size of volcanic tuff improves shoot growth and flower quality of Asiatic hybrid lily using soilless culture. Horttechnology 2017, 27, 223–227. [Google Scholar] [CrossRef]
- Polat, E.; Karaca, M.; Demir, H.; Onus, A.N. Use of natural zeolite (clinoptilolite) in agriculture. J. Fruit Ornam. Plant Res. 2004, 12, 183–189. [Google Scholar]
- Al-Ajlouni, M.G.; Ayad, J.Y.; Othman, Y.A. Increasing nutrient levels promote growth and flower quality in lilies grown under soilless culture. Hortic. Sci. 2017, 44, 171–177. [Google Scholar] [CrossRef]
- Tala, S.; Al-Ajlouni, M.G.; Ayad, J.Y.; Othman, Y.A.; St Hilaire, R.S. Performance of six different soilless green roof substrates for the Mediterranean region. Sci. Total Environ. 2020, 730, 139182. [Google Scholar]
- Awang, Y.; Shaharom, A.S.; Mohamad, R.B.; Selamat, A. Chemical and physical characteristics of cocopeat-based media mixtures and their effects on the growth and development of Celosia cristata. Am. J. Agric. Biol. Sci. 2009, 4, 63–71. [Google Scholar] [CrossRef]
- Leskovar, D.; Othman, Y.A. Organic and conventional farming differentially influenced soil respiration, physiology, growth and head quality of artichoke cultivars. J. Soil Sci. Plant Nutr. 2018, 18, 865–880. [Google Scholar] [CrossRef]
- Brady, N.C.; Weil, R.R.; Weil, R.R. The Nature and Properties of Soils, 11th ed.; Prentice Hall Inc.: Upper Saddle River, NJ, USA, 2008; pp. 662–710. [Google Scholar]
- Wallach, R.; Da Silva, F.F.; Chen, Y. Hydraulic characteristics of tuff (scoria) used as a container medium. J. Am. Soc. Hortic. Sci. 1992, 117, 415–421. [Google Scholar] [CrossRef]
- Drzal, M.S.; Keith Cassel, D.; Fonteno, W.C. Pore fraction analysis: A new tool for substrate testing. Acta Hortic. 1999, 481, 43–54. [Google Scholar] [CrossRef]
- Gizas, G.; Savvas, D. Particle size and hydraulic properties of pumice affect growth and yield of greenhouse crops in soilless culture. Hortic. Sci. 2007, 42, 1274–1280. [Google Scholar] [CrossRef]
- Murphy, V.; Moore, K.; Griffith, M.P.; Husby, C. Improving Conservation through Cultivation: Nine Container Substrates Influence Growth of a Rare Cycad, Zamia pumila L. Hortic. Sci. 2013, 48, 1168–1172. [Google Scholar] [CrossRef]
- García, I.; Mendoza, R.; Pomar, M.C. Deficit and excess of soil water impact on plant growth of Lotus tenuis by affecting nutrient uptake and arbuscular mycorrhizal symbiosis. Plant Soil 2008, 304, 117–131. [Google Scholar] [CrossRef]
- Ingram, D.L.; Henley, R.W.; Yeager, T.H. Growth Media for Container Grown Ornamental Plants. University of Florida Cooperative Extension Service, Institute of Food and Agriculture Sciences, EDIS, 1993. Available online: https://ufdc.ufl.edu/ir00004607/00001 (accessed on 20 July 2024).
- Marschner, H. Marschner’s Mineral Nutrition of Higher Plants, 3rd ed.; Academic Press Publishing: Amsterdam, The Netherlands, 2012. [Google Scholar]
- Allaire, S.E.; Caron, J.; Duchesne, I.; Parent, L.É.; Rioux, J.A. Air-filled porosity, gas relative diffusivity, and tortuosity: Indices of Prunus × cistena sp. growth in peat substrates. J. Am. Soc. Hortic. Sci. 1996, 121, 236–242. [Google Scholar] [CrossRef]
- Silber, A.; Raviv, M. Effects on chemical surface properties of tuff by growing rose plants. Plant Soil 1996, 186, 353–360. [Google Scholar] [CrossRef]
- Burchi, G.; Prisa, D.; Ballarin, A.; Menesatti, P. Improvement of flower color by means of leaf treatments in lily. Sci. Hortic. 2010, 125, 456–460. [Google Scholar] [CrossRef]
- Woodson, W.R. Gene Expression and Flower Senescence; Kluwer Academic Publishers: Dordrecht, The Netherlands, 1991; pp. 317–331. [Google Scholar]
- Li, Z.Q.; Kong, L.Y.; Yang, L.F.; Zhang, M.; Cao, T.; Xu, J.; Wang, Z.X.; Lei, Y. Effect of substrate grain size on the growth and morphology of the submersed macrophyte Vallisneria natans L. Limnologica 2012, 42, 81–85. [Google Scholar] [CrossRef]
- Ameri, A.; Tehranifar, A.; Davarynejad, G.; Shoor, M. Flowering times and some growth indicators of strawberry were affected by physical properties of the growing media. Sci. Hortic. 2020, 272, 109601. [Google Scholar] [CrossRef]
- Huang, L.; Dong, B.C.; Xue, W.; Peng, Y.K.; Zhang, M.X.; Yu, F.H. Soil particle heterogeneity affects the growth of a rhizomatous wetland plant. PLoS ONE 2013, 8, e69836. [Google Scholar] [CrossRef]
- Nachshon, U.; Weisbrod, N.; Dragila, M.I. Quantifying air convection through surface-exposed fractures: A laboratory study. Vadose Zone J. 2008, 7, 948–956. [Google Scholar] [CrossRef]
- Almjadleh, M.; Alasheh, S.; Raheb, I. Use of natural and modified Jordanian zeolitic tuff for removal of cadmium (II) from aqueous solutions. Jordan J. Civ. Eng. 2014, 8, 332–343. [Google Scholar]
- Balakrishnan, K.; Rajendran, C.; Kulandaivelu, G. Differential responses of iron, magnesium, and zinc deficiency on pigment composition, nutrient content, and photosynthetic activity in tropical fruit crops. Photosynthetica 2000, 38, 477–479. [Google Scholar] [CrossRef]
- Xiong, J.; Tian, Y.; Wang, J.; Liu, W.; Chen, Q. Comparison of coconut coir, rockwool, and peat cultivations for tomato production: Nutrient balance, plant growth and fruit quality. Front. Plant Sci. 2017, 8, 1327. [Google Scholar] [CrossRef] [PubMed]
- Teixeira, G.C.M.; de Mello Prado, R.; Oliveira, K.S.; D’Amico-Damião, V.; da Silveira Sousa Junior, G. Silicon increases leaf chlorophyll content and iron nutritional efficiency and reduces iron deficiency in sorghum plants. J. Soil Sci. Plant Nutr. 2020, 20, 1311–1320. [Google Scholar] [CrossRef]
- Pavlovic, J.; Samardzic, J.; Maksimović, V.; Timotijevic, G.; Stevic, N.; Laursen, K.H.; Hansen, T.H.; Husted, S.; Schjoerring, J.K.; Liang, Y.; et al. Silicon alleviates iron deficiency in cucumber by promoting mobilization of iron in the root apoplast. New Phytol. 2013, 198, 1096–1107. [Google Scholar] [CrossRef] [PubMed]
- Shaahan, M.M.; El-Sayed, A.A.; Abou El-Nour, E.A.A. Predicting nitrogen, magnesium and iron nutritional status in some perennial crops using a portable chlorophyll meter. Sci. Hortic. 1999, 8, 339–348. [Google Scholar] [CrossRef]
- Dole, J.M.; Wilkins, H.F. Floriculture: Principles and Species, 2nd ed.; Prentice Hall Inc.: Upper Saddle River, NJ, USA, 2005. [Google Scholar]





| Growing Substrate | Water-Holding Capacity (%) | Air-Filled Porosity (%) | Bulk Density (g·cm−3) | pH | EC (dS·m−1) |
|---|---|---|---|---|---|
| Tuff from 2 to 4 mm | 21.54 e * | 51.98 b | 0.70 b | 7.16 a | 0.241 d |
| Tuff from 0 to 4 mm | 37.28 c | 29.89 d | 0.88 a | 7.09 a | 0.383 c |
| Tuff from 0 to 8 mm | 28.92 d | 61.43 a | 0.63 c | 7.05 a | 0.279 cd |
| Cocopeat + tuff | 48.51 b | 28.92 d | 0.62 c | 6.61 b | 0.577 b |
| Cocopeat | 66.24 a | 41.82 c | 0.10 d | 5.26 c | 0.770 a |
| p-value | <0.0001 | <0.0001 | <0.0001 | <0.0001 | <0.0001 |
| Treatments | Photosynthesis (µmol m−2·s−1) | Stomatal Conductance (mol m−2·s−1) | Transpiration (mmol m−2·s−1) | ||||||
|---|---|---|---|---|---|---|---|---|---|
| April | August | October | April | August | October | April | August | October | |
| Tuff from 2 to 4 mm | 39.32 c * | 35.21 | 31.60 | 0.09 b | 0.20 ab | 0.11 ab | 4.28 b | 5.52 ab | 2.73 |
| Tuff from 0 to 4 mm | 41.31 bc | 36.18 | 31.04 | 0.10 b | 0.16 ab | 0.07 b | 4.50 b | 5.39 ab | 2.19 |
| Tuff from 0 to 8 mm (20 cm) | 39.65 c | 35.26 | 32.12 | 0.10 b | 0.11 b | 0.13 ab | 3.29 b | 3.71 b | 3.21 |
| Tuff from 0 to 8 mm (40 cm) | 40.68 c | 35.71 | 34.98 | 0.10 b | 0.15 ab | 0.15 a | 4.36 b | 5.05 ab | 3.10 |
| Cocopeat + tuff | 42.04 ab | 36.61 | 31.58 | 0.11 b | 0.16 ab | 0.09 b | 5.55 ab | 5.77 ab | 2.69 |
| Cocopeat | 44.14 a | 36.02 | 31.66 | 0.18 a | 0.25 a | 0.10 ab | 7.22 a | 6.94 a | 2.81 |
| p-value | 0.0003 | 0.1906 | 0.1581 | 0.0002 | 0.0196 | 0.0219 | 0.0003 | 0.0152 | 0.2427 |
| Treatments | Flower Number per Plant | Flowering Stem Length (cm) | Flowering Stem Fresh Weight (g) | Flowering Stem Diameter (mm) | Vase Life (day) | Flower Diameter at Harvesting (mm) | Flower Diameter after Five Days in Vase (mm) |
|---|---|---|---|---|---|---|---|
| Tuff from 2 to 4 mm | 12.25 bc * | 39.32 a | 32.50 | 4.26 | 10.15 | 26.67 | 76.52 a |
| Tuff from 0 to 4 mm | 13.08 ab | 39.10 a | 31.18 | 4.32 | 9.87 | 26.36 | 71.33 b |
| Tuff from 0 to 8 mm (20 cm) | 14.36 ab | 38.91 a | 30.69 | 4.38 | 10.29 | 26.51 | 72.74 ab |
| Tuff from 0 to 8 mm (40 cm) | 12.08 bc | 39.60 a | 31.48 | 4.32 | 10.27 | 26.16 | 72.73 ab |
| Cocopeat + Tuff | 10.17 c | 38.23 a | 28.84 | 4.16 | 10.11 | 25.78 | 68.18 c |
| Cocopeat | 15.58 a | 37.78 b | 28.34 | 4.29 | 10.02 | 26.21 | 68.09 c |
| p-value | 0.0039 | 0.0412 | 0.127 | 0.5084 | 0.8387 | 0.5796 | 0.0002 |
| Treatments | Main Stem Diameter (mm) | Root Length (cm) | Root Dry Weight (g) |
|---|---|---|---|
| Tuff from 2 to 4 mm | 8.73 b * | 22.77 c | 5.66 b |
| Tuff from 0 to 4 mm | 10.29 a | 22.43 c | 10.05 a |
| Tuff from 0 to 8 mm (20 cm) | 10.39 a | 20.10 c | 8.72 a |
| Tuff from 0 to 8 mm (40 cm) | 8.58 b | 29.00 ab | 9.34 a |
| Cocopeat + tuff | 8.80 b | 24.43 bc | 9.28 a |
| Cocopeat | 10.43 a | 34.30 a | 8.71 a |
| p-value | 0.0077 | 0.0031 | 0.0298 |
Disclaimer/Publisher’s Note: The statements, opinions and data contained in all publications are solely those of the individual author(s) and contributor(s) and not of MDPI and/or the editor(s). MDPI and/or the editor(s) disclaim responsibility for any injury to people or property resulting from any ideas, methods, instructions or products referred to in the content. |
© 2024 by the authors. Licensee MDPI, Basel, Switzerland. This article is an open access article distributed under the terms and conditions of the Creative Commons Attribution (CC BY) license (https://creativecommons.org/licenses/by/4.0/).
Share and Cite
Al-Ajlouni, M.G.; Othman, Y.A.; Abu-Shanab, N.S.; Alzyoud, L.F. Evaluating the Performance of Cocopeat and Volcanic Tuff in Soilless Cultivation of Roses. Plants 2024, 13, 2293. https://doi.org/10.3390/plants13162293
Al-Ajlouni MG, Othman YA, Abu-Shanab NS, Alzyoud LF. Evaluating the Performance of Cocopeat and Volcanic Tuff in Soilless Cultivation of Roses. Plants. 2024; 13(16):2293. https://doi.org/10.3390/plants13162293
Chicago/Turabian StyleAl-Ajlouni, Malik G., Yahia A. Othman, Nour S. Abu-Shanab, and Lujain F. Alzyoud. 2024. "Evaluating the Performance of Cocopeat and Volcanic Tuff in Soilless Cultivation of Roses" Plants 13, no. 16: 2293. https://doi.org/10.3390/plants13162293
APA StyleAl-Ajlouni, M. G., Othman, Y. A., Abu-Shanab, N. S., & Alzyoud, L. F. (2024). Evaluating the Performance of Cocopeat and Volcanic Tuff in Soilless Cultivation of Roses. Plants, 13(16), 2293. https://doi.org/10.3390/plants13162293

