Selection and Validation of the Most Suitable Reference Genes for Quantitative Real-Time PCR Normalization in Salvia rosmarinus under In Vitro Conditions
Abstract
1. Introduction
2. Results
2.1. Callus Induction and Plant Regeneration
2.2. Primer Efficiency and Candidate Genes Expression
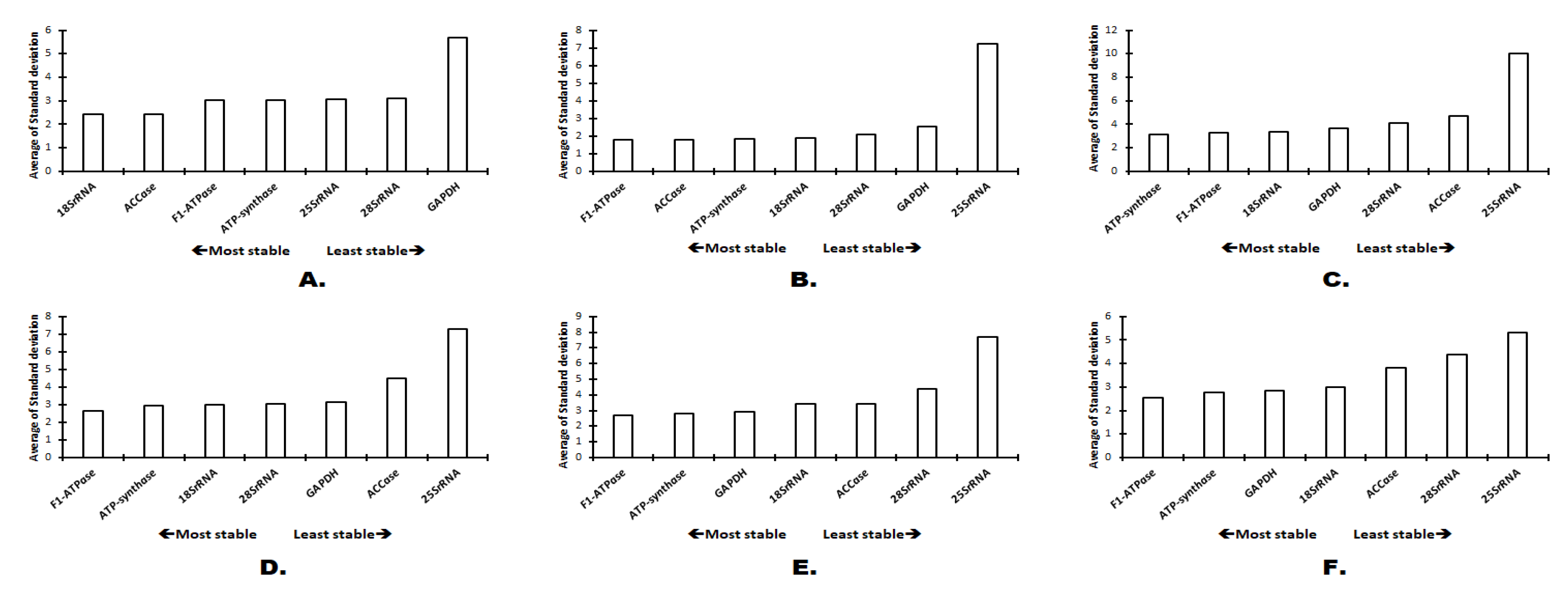
2.3. Gene Expression Stability Comparative ΔCt and BestKeeper
2.4. Gene Expression Stability Using NormFinder
2.5. Gene Expression Stability Using geNorm
2.6. Gene Expression Stability Using RefFinder
2.7. Choice of the Best Reference Gene and Validation under Nanoparticle Stress
3. Discussion
4. Materials and Methods
4.1. Plant Material Acquisition, Surface Sterilization, Preparation of Culture Medium and Growth Conditions
4.2. Callus Induction
4.3. Stress, Elicitor, and Nanoparticle Treatment
4.4. RT-qPCR Experiment
4.5. Reference Gene Analysis
4.6. Statistical Analysis
5. Conclusions
Supplementary Materials
Author Contributions
Funding
Data Availability Statement
Acknowledgments
Conflicts of Interest
References
- Kompelly, A.; Kompelly, S.; Vasudha, B.; Narender, B. Rosmarinus Officinalis L.: An Update Review of Its Phytochemistry and Biological Activity. J. Drug Deliv. Ther. 2019, 9, 323–330. [Google Scholar] [CrossRef]
- Moore, J.; Yousef, M.; Tsiani, E. Anticancer Effects of Rosemary (Rosmarinus Officinalis L.) Extract and Rosemary Extract Polyphenols. Nutrients 2016, 8, 731. [Google Scholar] [CrossRef] [PubMed]
- Villegas-Sánchez, E.; Macías-Alonso, M.; Osegueda-Robles, S.; Herrera-Isidrón, L.; Nuñez-Palenius, H.; González-Marrero, J. In Vitro Culture of Rosmarinus Officinalis L. in a Temporary Immersion System: Influence of Two Phytohormones on Plant Growth and Carnosol Production. Pharmaceuticals 2021, 14, 747. [Google Scholar] [CrossRef] [PubMed]
- Cui, W.; Yang, K.; Yang, H. Recent Progress in the Drug Development Targeting SARS-CoV-2 Main Protease as Treatment for COVID-19. Front. Mol. Biosci. 2020, 7, 616341. [Google Scholar] [CrossRef] [PubMed]
- de Rivero-Montejo, S.J.; Vargas-Hernandez, M.; Torres-Pacheco, I. Nanoparticles as Novel Elicitors to Improve Bioactive Compounds in Plants. Agriculture 2021, 11, 134. [Google Scholar] [CrossRef]
- Yao, D.; Zhang, Z.; Chen, Y.; Lin, Y.; Xu, X.; Lai, Z. Transcriptome Analysis Reveals Differentially Expressed Genes That Regulate Biosynthesis of the Active Compounds with Methyl Jasmonate in Rosemary Suspension Cells. Genes 2022, 13, 67. [Google Scholar] [CrossRef]
- Joseph, J.T.; Poolakkalody, N.J.; Shah, J.M. Plant Reference Genes for Development and Stress Response Studies. J. Biosci. 2018, 43, 173–187. [Google Scholar] [CrossRef]
- Sen, M.K.; Hamouzová, K.; Košnarová, P.; Roy, A.; Soukup, J. Identification of the Most Suitable Reference Gene for Gene Expression Studies with Development and Abiotic Stress Response in Bromus Sterilis. Sci. Rep. 2021, 11, 13393. [Google Scholar] [CrossRef]
- Chapman, J.R.; Waldenström, J. With Reference to Reference Genes: A Systematic Review of Endogenous Controls in Gene Expression Studies. PLoS ONE 2015, 10, e0141853. [Google Scholar] [CrossRef]
- Bustin, S.A. Quantification of MRNA Using Real-Time Reverse Transcription PCR (RT-PCR): Trends and Problems. J. Mol. Endocrinol. 2002, 29, 23–39. [Google Scholar] [CrossRef]
- Czechowski, T.; Stitt, M.; Altmann, T.; Udvardi, M.K.; Scheible, W.-R. Genome-Wide Identification and Testing of Superior Reference Genes for Transcript Normalization in Arabidopsis. Plant Physiol. 2005, 139, 5–17. [Google Scholar] [CrossRef] [PubMed]
- Hadi Soltanabad, M.; Bagherieh-Najjar, M.B.; Mianabadi, M. Carnosic Acid Content Increased by Silver Nanoparticle Treatment in Rosemary (Rosmarinus Officinalis L.). Appl. Biochem. Biotechnol. 2020, 191, 482–495. [Google Scholar] [CrossRef] [PubMed]
- Aminfar, Z.; Rabiei, B.; Tohidfar, M.; Mirjalili, M.H. Selection and Validation of Reference Genes for Quantitative Real-Time PCR in Rosmarinus Officinalis L. in Various Tissues and under Elicitation. Biocatal. Agric. Biotechnol. 2019, 20, 101246. [Google Scholar] [CrossRef]
- Kotrade, P.; Sehr, E.M.; Wischnitzki, E.; Brüggemann, W. Comparative Transcriptomics-Based Selection of Suitable Reference Genes for Normalization of RT-QPCR Experiments in Drought-Stressed Leaves of Three European Quercus Species. Tree Genet. Genomes 2019, 15, 38. [Google Scholar] [CrossRef]
- Silver, N.; Best, S.; Jiang, J.; Thein, S.L. Selection of Housekeeping Genes for Gene Expression Studies in Human Reticulocytes Using Real-Time PCR. BMC Mol. Biol 2006, 7, 33. [Google Scholar] [CrossRef]
- Pfaffl, M.W.; Tichopad, A.; Prgomet, C.; Neuvians, T.P. Determination of Stable Housekeeping Genes, Differentially Regulated Target Genes and Sample Integrity: BestKeeper—Excel-Based Tool Using Pair-Wise Correlations. Biotechnol. Lett. 2004, 26, 509–515. [Google Scholar] [CrossRef]
- Andersen, C.L.; Jensen, J.L.; Ørntoft, T.F. Normalization of Real-Time Quantitative Reverse Transcription-PCR Data: A Model-Based Variance Estimation Approach to Identify Genes Suited for Normalization, Applied to Bladder and Colon Cancer Data Sets. Cancer Res. 2004, 64, 5245–5250. [Google Scholar] [CrossRef]
- Vandesompele, J.; De Preter, K.; Pattyn, F.; Poppe, B.; Van Roy, N.; De Paepe, A.; Speleman, F. Accurate Normalization of Real-Time Quantitative RT-PCR Data by Geometric Averaging of Multiple Internal Control Genes. Genome Biol. 2002, 3, research0034. [Google Scholar] [CrossRef]
- Xie, F.; Xiao, P.; Chen, D.; Xu, L.; Zhang, B. MiRDeepFinder: A MiRNA Analysis Tool for Deep Sequencing of Plant Small RNAs. Plant Mol. Biol. 2012, 80, 75–84. [Google Scholar] [CrossRef]
- Ullah, A.; Munir, S.; Badshah, S.L.; Khan, N.; Ghani, L.; Poulson, B.G.; Emwas, A.-H.; Jaremko, M. Important Flavonoids and Their Role as a Therapeutic Agent. Molecules 2020, 25, 5243. [Google Scholar] [CrossRef]
- Coskun, Y.; Duran, R.E.; Kilic, S. Striking Effects of Melatonin on Secondary Metabolites Produced by Callus Culture of Rosemary (Rosmarinus Officinalis L.). Plant Cell Tissue Organ Cult. 2019, 138, 89–95. [Google Scholar] [CrossRef]
- Mosavat, N.; Golkar, P.; Yousefifard, M.; Javed, R. Modulation of Callus Growth and Secondary Metabolites in Different Thymus Species and Zataria Multiflora Micropropagated under ZnO Nanoparticles Stress. Biotechnol. Appl. Biochem. 2019, 66, 316–322. [Google Scholar] [CrossRef] [PubMed]
- Ali, A.; Mohammad, S.; Khan, M.A.; Raja, N.I.; Arif, M.; Kamil, A.; Mashwani, Z.-R. Silver Nanoparticles Elicited in vitro Callus Cultures for Accumulation of Biomass and Secondary Metabolites in Caralluma Tuberculata. Artif. Cells Nanomed. Biotechnol. 2019, 47, 715–724. [Google Scholar] [CrossRef] [PubMed]
- Ashrafi, M.; Azimi Moqadam, M.R.; Moradi, P.; Mohsenifard, E.; Shekari, F. Evaluation and Validation of Housekeeping Genes in Two Contrast Species of Thyme Plant to Drought Stress Using Real-Time PCR. Plant Physiol. Biochem. 2018, 132, 54–60. [Google Scholar] [CrossRef] [PubMed]
- Ling, H.; Wu, Q.; Guo, J.; Xu, L.; Que, Y. Comprehensive Selection of Reference Genes for Gene Expression Normalization in Sugarcane by Real Time Quantitative RT-PCR. PLoS ONE 2014, 9, e97469. [Google Scholar] [CrossRef] [PubMed]
- Chen, M.; Wang, B.; Li, Y.; Zeng, M.; Liu, J.; Ye, X.; Zhu, H.; Wen, Q. Reference Gene Selection for QRT-PCR Analyses of Luffa (Luffa Cylindrica) Plants under Abiotic Stress Conditions. Sci. Rep. 2021, 11, 3161. [Google Scholar] [CrossRef] [PubMed]
- Long, X.-Y.; Wang, J.-R.; Ouellet, T.; Rocheleau, H.; Wei, Y.-M.; Pu, Z.-E.; Jiang, Q.-T.; Lan, X.-J.; Zheng, Y.-L. Genome-Wide Identification and Evaluation of Novel Internal Control Genes for Q-PCR Based Transcript Normalization in Wheat. Plant Mol. Biol. 2010, 74, 307–311. [Google Scholar] [CrossRef]
- Mascia, T.; Santovito, E.; Gallitelli, D.; Cillo, F. Evaluation of Reference Genes for Quantitative Reverse-Transcription Polymerase Chain Reaction Normalization in Infected Tomato Plants: RT-QPCR Normalization in Infected Tomato. Mol. Plant Pathol. 2010, 11, 805–816. [Google Scholar] [CrossRef]
- Reid, K.E.; Olsson, N.; Schlosser, J.; Peng, F.; Lund, S.T. An Optimized Grapevine RNA Isolation Procedure and Statistical Determination of Reference Genes for Real-Time RT-PCR during Berry Development. BMC Plant Biol. 2006, 6, 27. [Google Scholar] [CrossRef]
- Gopalam, R.; Rupwate, S.D.; Tumaney, A.W. Selection and Validation of Appropriate Reference Genes for Quantitative Real-Time PCR Analysis in Salvia Hispanica. PLoS ONE 2017, 12, e0186978. [Google Scholar] [CrossRef]
- Galli, V.; Borowski, J.M.; Perin, E.C.; da Silva Messias, R.; Labonde, J.; dos Santos Pereira, I.; dos Anjos Silva, S.D.; Rombaldi, C.V. Validation of Reference Genes for Accurate Normalization of Gene Expression for Real Time-Quantitative PCR in Strawberry Fruits Using Different Cultivars and Osmotic Stresses. Gene 2015, 554, 205–214. [Google Scholar] [CrossRef] [PubMed]
- Oneto, C.D.; Bossio, E.; Faccio, P.; Beznec, A.; Lewi, D. Validation of Housekeeping Genes for QPCR in Maize during Water Deficit Stress Conditions at Flowering Time. Maydica 2018, 62, 6. [Google Scholar]
- Roy, A.; Palli, S.R. Epigenetic Modifications Acetylation and Deacetylation Play Important Roles in Juvenile Hormone Action. BMC Genom. 2018, 19, 934. [Google Scholar] [CrossRef] [PubMed]









| Treatment | Callus Induction% (± Standard Deviation) | Growth Status of Callus |
|---|---|---|
| C1 | 100 ± 0.0 | Proliferated fast, Light green to dark green in color and structurally friable |
| C2 | 100 ± 0.0 | Proliferated fast, light green in color and structurally friable |
| C3 | 100 ± 0.0 | Proliferated slowly, light green to brown in color and structurally friable |
| C4 | 100 ± 0.0 | Proliferated slowly, brown color and structurally friable |
| C5 | 100 ± 0.0 | Proliferated slowly, brown in color and structurally friable |
| C6 | 100 ± 0.0 | Proliferated slowly, brown in color and structurally friable |
| Rank | Plant Organ | Osmotic stress | Salt STRESS |
| 1 | 25S rRNA | ATP-synthase | ATP-synthase |
| 2 | 28S rRNA | 25S rRNA | F1-ATPase |
| 3 | 18S rRNA | ACCase | 18S rRNA |
| 4 | ATP-synthase | F1-ATPase | 25S rRNA |
| 5 | F1-ATPase | 18S rRNA | ACCase |
| 6 | ACCase | 28S rRNA | 28S rRNA |
| 7 | GAPDH | GAPDH | GAPDH |
| Best pair | 25S rRNA/28S rRNA | ATP-synthase/25S rRNA | ATP-synthase/F1-ATPase |
| Rank | Elicitor stress | Temperature stress | All combined |
| 1 | 25S rRNA | 25S rRNA | ATP-synthase |
| 2 | F1-ATPase | 18S rRNA | 25S rRNA |
| 3 | 18S rRNA | F1-ATPase | F1-ATPase |
| 4 | ATP-synthase | ATP-synthase | 18S rRNA |
| 5 | ACCase | ACCase | ACCase |
| 6 | 28S rRNA | 28S rRNA | 28S rRNA |
| 7 | GAPDH | GAPDH | GAPDH |
| Best pair | F1-ATPase/25S rRNA | F1-ATPase/25S rRNA | F1-ATPase/18S rRNA |
| Rank | Plant Organ | Osmotic stress | Salt Stress |
| 1 | 18S rRNA | ACCase | ATP-synthase |
| 2 | ACCase | F1-ATPase | F1-ATPase |
| 3 | 25S rRNA | 18S rRNA | GAPDH |
| 4 | 28S rRNA | ATP-synthase | ACCase |
| 5 | ATP-synthase | 28S rRNA | 18S rRNA |
| 6 | F1-ATPase | GAPDH | 28S rRNA |
| 7 | GAPDH | 25S rRNA | 25S rRNA |
| Rank | Elicitor stress | Temperature stress | All combined |
| 1 | F1-ATPase | ATP-synthase | F1-ATPase |
| 2 | ATP-synthase | F1-ATPase | ATP-synthase |
| 3 | 18S rRNA | ACCase | ACCase |
| 4 | ACCase | GAPDH | GAPDH |
| 5 | 28S rRNA | 18S rRNA | 18S rRNA |
| 6 | GAPDH | 28S rRNA | 25S rRNA |
| 7 | 25S rRNA | 25S rRNA | 28S rRNA |
| Combinations | BAP (mg/L) | 2,4-D (mg/L) | Kinetin (mg/L) |
|---|---|---|---|
| C1 | 1.5 | 0.5 | - |
| C2 | 1.0 | 1.0 | - |
| C3 | 0.5 | 1.5 | - |
| C4 | - | 1.5 | 0.5 |
| C5 | - | 1.0 | 1.0 |
| C6 | - | 0.5 | 1.5 |
Publisher’s Note: MDPI stays neutral with regard to jurisdictional claims in published maps and institutional affiliations. |
© 2022 by the authors. Licensee MDPI, Basel, Switzerland. This article is an open access article distributed under the terms and conditions of the Creative Commons Attribution (CC BY) license (https://creativecommons.org/licenses/by/4.0/).
Share and Cite
Bharati, R.; Sen, M.K.; Kumar, R.; Gupta, A.; Sur, V.P.; Melnikovová, I.; Fernández-Cusimamani, E. Selection and Validation of the Most Suitable Reference Genes for Quantitative Real-Time PCR Normalization in Salvia rosmarinus under In Vitro Conditions. Plants 2022, 11, 2878. https://doi.org/10.3390/plants11212878
Bharati R, Sen MK, Kumar R, Gupta A, Sur VP, Melnikovová I, Fernández-Cusimamani E. Selection and Validation of the Most Suitable Reference Genes for Quantitative Real-Time PCR Normalization in Salvia rosmarinus under In Vitro Conditions. Plants. 2022; 11(21):2878. https://doi.org/10.3390/plants11212878
Chicago/Turabian StyleBharati, Rohit, Madhab Kumar Sen, Ram Kumar, Aayushi Gupta, Vishma Pratap Sur, Ingrid Melnikovová, and Eloy Fernández-Cusimamani. 2022. "Selection and Validation of the Most Suitable Reference Genes for Quantitative Real-Time PCR Normalization in Salvia rosmarinus under In Vitro Conditions" Plants 11, no. 21: 2878. https://doi.org/10.3390/plants11212878
APA StyleBharati, R., Sen, M. K., Kumar, R., Gupta, A., Sur, V. P., Melnikovová, I., & Fernández-Cusimamani, E. (2022). Selection and Validation of the Most Suitable Reference Genes for Quantitative Real-Time PCR Normalization in Salvia rosmarinus under In Vitro Conditions. Plants, 11(21), 2878. https://doi.org/10.3390/plants11212878

