The Efficacy of Gum Arabic in Managing Diseases: A Systematic Review of Evidence-Based Clinical Trials
Abstract
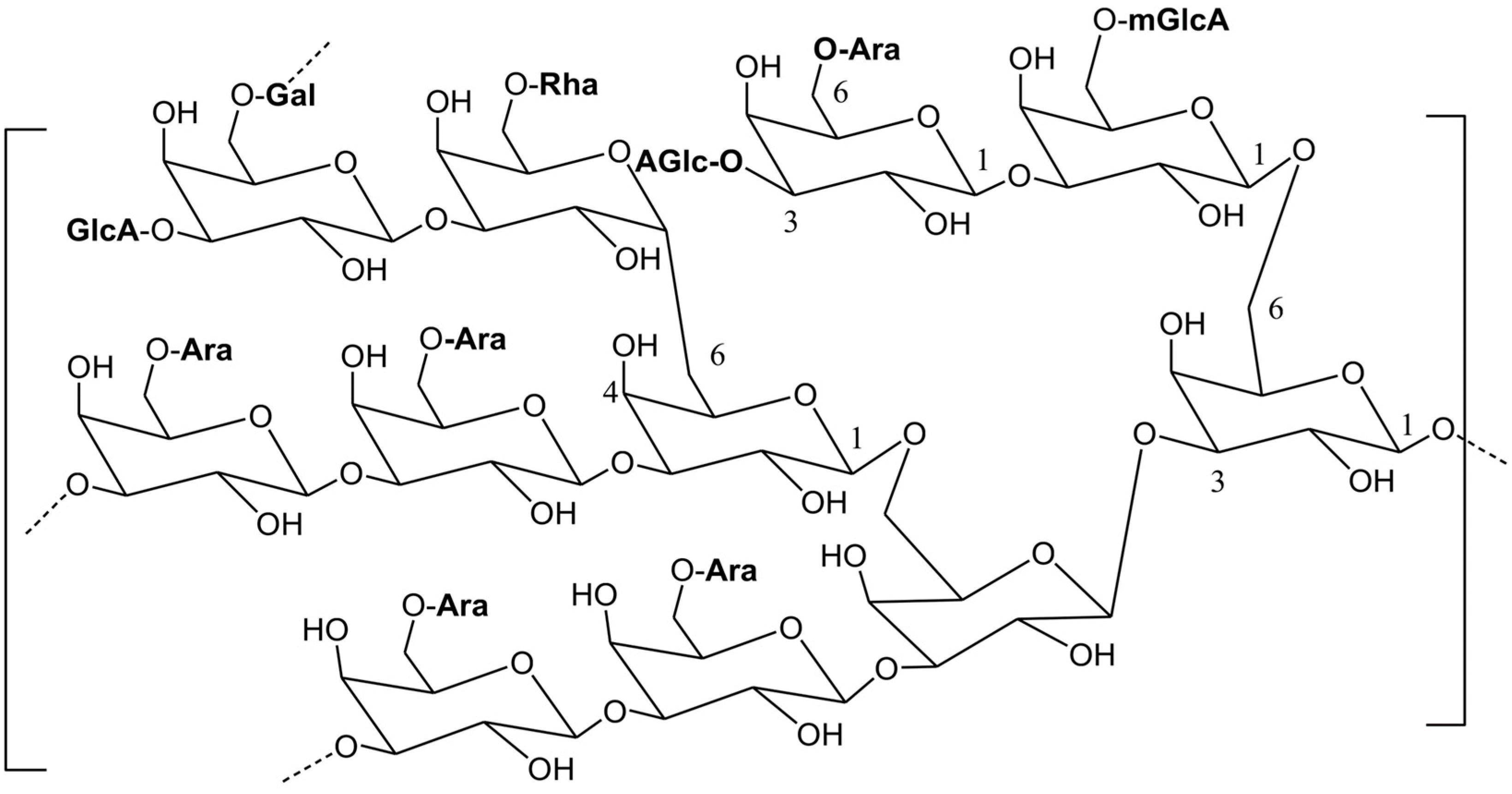
1. Introduction
2. Materials and Methods
2.1. Study Design
2.2. Search Strategy
2.3. Inclusion Criteria
2.4. Exclusion Criteria
2.5. Data Collection
3. Results
3.1. Study Selection
3.2. Study Characteristics
3.3. Gum Arabic and Other Diseases
3.3.1. Gum Arabic and Metabolic Disorders
3.3.2. Gum Arabic and Sickle Cell Anemia
3.3.3. Gum Arabic and Oral Health
3.3.4. Gum Arabic and Rheumatoid Arthritis
3.3.5. Gum Arabic and Drug Interactions
3.3.6. Gum Arabic and Gastrointestinal Conditions
3.3.7. Gum Arabic and Chronic Kidney Diseases
4. Discussion
5. Recommendations
6. Conclusions
Author Contributions
Funding
Institutional Review Board Statement
Informed Consent Statement
Data Availability Statement
Acknowledgments
Conflicts of Interest
Abbreviations
| ATP | Adenosine triphosphate |
| BMI | Body mass index |
| CTs | Clinical trials |
| CRP | C-reactive protein |
| DMF | Decay–missing–filled |
| ESR | Erythrocyte sedimental rate |
| GA | Gum Arabic |
| HbA1c | Hemoglobin A1C |
| HDL | High-density lipoprotein |
| LDL | Low-density lipoprotein |
| MDA | Malondialdehyde |
| NPs | Natural products |
| NF-κB | Nuclear factor-κB |
| PGC-1alpha | Peroxisome proliferator-activated receptor-gamma coactivator |
| TGFβ1 | Transforming growth factor beta 1 |
| TNF | Tumor necrosis factor |
| WPS | Water pipe smoking |
References
- Ashour, M.A.; Fatima, W.; Imran, M.; Ghoneim, M.M.; Alshehri, S.; Shakeel, F. A Review on the Main Phytoconstituents, Traditional Uses, Inventions, and Patent Literature of Gum Arabic Emphasizing Acacia seyal. Molecules 2022, 27, 1171. [Google Scholar] [CrossRef] [PubMed]
- Nasir, O. Renal and extrarenal effects of gum arabic (Acacia senegal)-what can be learned from animal experiments? Kidney Blood Press Res. 2013, 37, 269–279. [Google Scholar] [CrossRef] [PubMed]
- Ali, B.H.; Ziada, A.; Blunden, G. Biological Effects of Gum Arabic: A Review of Some Recent Research. Food Chem. Toxicol. 2009, 47, 1–8. [Google Scholar] [CrossRef]
- Pradeep, A.R.; Agarwal, E.; Bajaj, P.; Naik, S.B.; Shanbhag, N.; Uma, S.R. Clinical and microbiologic effects of commercially available gel and powder containing Acacia arabica on gingivitis. Aust. Dent. J. 2012, 57, 312–318. [Google Scholar] [CrossRef]
- Beyer, M.; Reichert, J.; Heurich, E.; Jandt, K.D.; Sigusch, B.W. Pectin, Alginate and Gum Arabic Polymers Reduce Citric Acid Erosion Effects on Human Enamel. Dent. Mater. 2010, 26, 831–839. [Google Scholar] [CrossRef]
- Mount, G.J.; Hume, W.R. Preservation and Restoration of Tooth Structure; Knowledge Books and Software: Queensland, Australia, 2005. [Google Scholar]
- Onishi, T.; Umemura, S.; Yanagawa, M.; Matsumura, M.; Sasaki, Y.; Ogasawara, T.; Ooshima, T. Remineralization Effects of Gum Arabic on Caries-like Enamel Lesions. Arch. Oral Biol. 2008, 53, 257–260. [Google Scholar] [CrossRef]
- Ahmed, A.A.; Musa, H.H.; Fedail, J.S.; Sifaldin, A.Z.; Musa, T.H. Gum arabic suppressed diet-induced obesity by alteration the expression of mRNA levels of genes involved in lipid metabolism in mouse liver. Bioact. Carbohydr. Diet Fibre 2016, 7, 15–20. [Google Scholar] [CrossRef]
- Ushida, K.; Hatanaka, H.; Inoue, R.; Tsukahara, T.; Phillips, G.O. Effect of long term ingestion of gum arabic on the adipose tissues of female mice. Food Hydrocoll. 2011, 25, 1344–1349. [Google Scholar] [CrossRef]
- Mohamed, R.E.; Gadour, M.O.; Adam, I. The lowering effect of Gum Arabic on hyperlipidemia in Sudanese patients. Front. Physiol. 2015, 6, 160. [Google Scholar] [CrossRef]
- Ali, B.H.; Al-Husseni, I.; Beegam, S.; Al-Shukaili, A.; Nemmar, A.; Schierling, S.; Queisser, N.; Schupp, N. Effect of gum Arabic on oxidative stress and inflammation in adenine–induced chronic renal failure in rats. PLoS ONE 2013, 8, e55242. [Google Scholar] [CrossRef]
- Kong, H.; Yang, J.; Zhang, Y.; Fang, Y.; Nishinari, K.; Phillips, G.O. Synthesis and Antioxidant Properties of Gum Arabic-Stabilized Selenium Nanoparticles. Int. J. Biol. Macromol. 2014, 65, 155–162. [Google Scholar] [CrossRef] [PubMed]
- Ali, N.E.; Kaddam, L.A.; Alkarib, S.Y.; Kaballo, B.G.; Khalid, S.A.; Higawee, A.; Abdelhabib, A.; Alaaaldeen, A.; Phillips, A.O.; Saeed, A.M. Gum Arabic (Acacia senegal) Augmented Total Antioxidant Capacity and Reduced C-Reactive Protein among Haemodialysis Patients in Phase II Trial. Int. J. Nephrol. 2020, 2020, 7214673. [Google Scholar] [CrossRef] [PubMed]
- Bliss, D.Z.; Stein, T.P.; Schleifer, C.R.; Settle, R.G. Supplementation with Gum Arabic Fiber Increases Fecal Nitrogen Excretion and Lowers Serum Urea Nitrogen Concentration in Chronic Renal Failure Patients Consuming a Low-Protein Diet. Am. J. Clin. Nutr. 1996, 63, 392–398. [Google Scholar] [CrossRef] [PubMed]
- Nasir, O.; Artunc, F.; Saeed, A.; Kambal, M.A.; Kalbacher, H.; Sandulache, D.; Boini, K.M.; Jahovic, N.; Lang, F. Effects of gum arabic (Acacia senegal) on water and electrolyte balance in healthy mice. J. Ren. Nutr. 2008, 18, 230–238. [Google Scholar] [CrossRef] [PubMed]
- Avelino, A.L.N.; Silva, N.V.R.E.; Oliveira, G.B.; Silva, A.A.S.; Cavalcanti, B.C.; Jamacaru, F.V.F.; Dornelas, C.A. Antioxidant and Antigenotoxic Actions of Gum Arabic on the Intestinal Mucosa, Liver and Bone Marrow of Swiss Mice Submitted to Colorectal Carcinogenesis. Nutr. Cancer 2022, 74, 956–964. [Google Scholar] [CrossRef] [PubMed]
- Ahmed, N.; El-Rayes, S.M.; Khalil, W.F.; Abdeen, A.; Abdelkader, A.; Youssef, M.; Maher, Z.M.; Ibrahim, A.N.; Abdelrahman, S.M.; Ibrahim, S.F.; et al. Arabic Gum Could Alleviate the Aflatoxin B1-provoked Hepatic Injury in Rat: The Involvement of Oxidative Stress, Inflammatory, and Apoptotic Pathways. Toxins 2022, 14, 605. [Google Scholar] [CrossRef]
- Siednamohammeddeen, N.; Badi, R.; Mohammeddeen, T.; Enan, K.; Saeed, A. The effect of gum Arabic supplementation on cathelicidin expression in monocyte derived macrophages in mice. BMC Complement. Med. Ther. 2022, 22, 149. [Google Scholar] [CrossRef]
- Fareed, S.A.; Almilaibary, A.A.; Nooh, H.Z.; Hassan, S.M. Ameliorating effect of gum arabic on the liver tissues of the uremic rats; A biochemical and histological study. Tissue Cell 2022, 76, 101799. [Google Scholar] [CrossRef]
- Gouda, E.; Babiker, F. Gum Arabic protects the rat heart from ischemia/reperfusion injury through anti-inflammatory and antioxidant pathways. Sci. Rep. 2022, 12, 17235. [Google Scholar] [CrossRef]
- Rajab, E.; Keogh, M.B.; Laiva, A.L.; Al Hannan, F.; Fateel, M.; Abdulwahab, F.; Al Madhoob, F.; AlHamer, B.; Ghazzal, S.Y.; Dawaishan, A.; et al. Gum Arabic supplementation prevents loss of learning and memory through stimulation of mitochondrial function in the hippocampus of type 2 diabetic rats. J. Funct. Foods 2021, 87, 104757. [Google Scholar] [CrossRef]
- Al-Araimi, A.; Al Kindi, I.A.; Bani Oraba, A.; AlKharusi, A.; Ali, B.H.; Zadjali, R.; Al Sinawi, S.; Al-Haddabi, I.; Zadjali, F. Gum Arabic Supplementation Suppresses Colonic Fibrosis After Acute Colitis by Reducing Transforming Growth Factor Β1 Expression. J. Med. Food 2021, 24, 1255–1263. [Google Scholar] [CrossRef] [PubMed]
- Refaie, A.A.; Shalby, A.B.; Kassem, S.M.; Khalil, W.K.B. DNA Damage and Expression Profile of Genes Associated with Nephrotoxicity Induced by Butralin and Ameliorating Effect of Arabic Gum in Female Rats. Appl. Biochem. Biotechnol. 2021, 193, 3454–3468. [Google Scholar] [CrossRef] [PubMed]
- Ali Alshehry, G. The Role of Gum Arabic for a Protective Kidney Dysfunction Induced Gentamicin on Diabetes Rats. Adv. Mater. Sci. Eng. 2022, 2022, 8617445. [Google Scholar] [CrossRef]
- Ali, B.H.; Al-Salam, S.; Balushi, K.A.A.; Za’abi, M.A.; Adham, S.A.; Beegam, S.; Yuvaraju, P.; Manoj, P.; Nemmar, A. Ameliorative Effect of Gum Acacia on Hookah Smoke-Induced Testicular Impairment in Mice. Biomolecules 2020, 10, 762. [Google Scholar] [CrossRef]
- Nemmar, A.; Al-Salam, S.; Beegam, S.; Yuvaraju, P.; Ali, B.H. Gum Arabic Ameliorates Impaired Coagulation and Cardiotoxicity Induced by Water-Pipe Smoke Exposure in Mice. Front. Physiol. 2019, 10, 53. [Google Scholar] [CrossRef] [PubMed]
- Salwan, H.; Isnada, I.; Bakri, A.; Ismail, R.; Bahar, E. Benefits of gum arabic supplementation to oral rehydration solution in managing acute diarrhea. Paediatr. Indones. 2007, 47, 265–269. [Google Scholar] [CrossRef]
- Teichberg, S.; Wingertzahn, M.A.; Moyse, J.; Wapnir, R.A. Effect of gum arabic in an oral rehydration solution on recovery from diarrhea in rats. J. Pediatr. Gastroenterol. Nutr. 1999, 29, 411–417. [Google Scholar] [CrossRef] [PubMed]
- Mullins, C.D.; Vandigo, J.; Zheng, Z.; Wicks, P. Patient-centeredness in the design of clinical trials. Value Health 2014, 17, 471–475. [Google Scholar] [CrossRef]
- Larson, R.; Nelson, C.; Korczak, R.; Willis, H.; Erickson, J.; Wang, Q.; Slavin, J. Acacia gum is well tolerated while increasing satiety and lowering peak blood glucose response in healthy human subjects. Nutrients 2021, 13, 618. [Google Scholar] [CrossRef]
- Babiker, R.; Elmusharaf, K.; Keogh, M.B.; Saeed, A.M. Effect of Gum Arabic (Acacia senegal) supplementation on visceral adiposity index (VAI) and blood pressure in patients with type 2 diabetes mellitus as indicators of cardiovascular disease (CVD): A randomized and placebo-controlled clinical trial. Lipids Health Dis. 2018, 17, 56. [Google Scholar] [CrossRef]
- Babiker, R.; Merghani, T.H.; Elmusharaf, K.; Badi, R.M.; Lang, F.; Saeed, A.M. Effects of gum Arabic ingestion on body mass index and body fat percentage in healthy adult females: Two-arm randomized, placebo controlled, double-blind trial. Nutr. J. 2012, 11, 111. [Google Scholar] [CrossRef] [PubMed]
- Calame, W.; Thomassen, F.; Hull, S.; Viebke, C.; Siemensma, A.D. Evaluation of Satiety Enhancement, Including Compensation, by Blends of Gum Arabic. A Methodological Approach. Appetite 2011, 57, 358–364. [Google Scholar] [CrossRef] [PubMed]
- Jarrar, A.H.; Stojanovska, L.; Apostolopoulos, V.; Feehan, J.; Bataineh, M.F.; Ismail, L.C.; Al Dhaheri, A.S. The Effect of Gum Arabic (Acacia senegal) on Cardiovascular Risk Factors and Gastrointestinal Symptoms in Adults at Risk of Metabolic Syndrome: A Randomized Clinical Trial. Nutrients 2021, 13, 194. [Google Scholar] [CrossRef] [PubMed]
- Babiker, R.; Elmusharaf, K.; Keogh, M.B.; Banaga, A.S.I.; Saeed, A.M. Metabolic effects of Gum Arabic (Acacia senegal) in patients with Type 2 Diabetes Mellitus (T2DM): Randomized, placebo controlled double blind trial. Funct. Foods Health Dis. 2017, 7, 219–231. [Google Scholar] [CrossRef]
- Nasir, O.; Babiker, S.; Salim, A.M.M. Protective Effect of Gum Arabic Supplementation for Type-2 Diabetes Mellitus and Its Complications. Int. J. Multidiscip. Curr. Res. 2016, 4, 2321–3121. [Google Scholar]
- Haskell, W.L.; Spiller, G.A.; Jensen, C.D.; Ellis, B.K.; Gates, J.E. Role of Water-Soluble Dietary Fiber in the Management of Elevated Plasma Cholesterol in Healthy Subjects. Am. J. Cardiol. 1992, 69, 433–439. [Google Scholar] [CrossRef]
- Kaddam, L.; Fadl-Elmula, I.; Eisawi, O.A.; Abdelrazig, H.A.; Saeed, A.M. Acacia senegal (Gum Arabic) Supplementation Modulate Lipid Profile and Ameliorated Dyslipidemia among Sickle Cell Anemia Patients. J. Lipids 2019, 2019, 3129461. [Google Scholar] [CrossRef]
- Kaddam, L.A.; Fdl-Elmula, I.; Eisawi, O.A.; Abdelrazig, H.A.; Elnimeiri, M.K.; Saeed, A.M. Biochemical effects and safety of Gum Arabic (Acacia senegal) supplementation in patients with sickle cell anemia. Blood Res. 2019, 54, 31–37. [Google Scholar] [CrossRef]
- Kaddam, L.; Fadl-Elmula, I.; Eisawi, O.A.; Abdelrazig, H.A.; Salih, M.A.; Lang, F.; Saeed, A.M. Gum Arabic as novel anti-oxidant agent in sickle cell anemia, phase II trial. BMC Hematol. 2017, 17, 4. [Google Scholar] [CrossRef]
- Kamal, D.; Hassanein, H.; Akah, M.; Abdelkawy, M.A.; Hamza, H. Caries Preventive and Antibacterial Effects of Two Natural Mouthwashes vs Chlorhexidine in High Caries-risk Patients: A Randomized Clinical Trial. J. Contemp. Dent. Pract. 2020, 21, 1316–1324. [Google Scholar] [CrossRef]
- Gazi, M.I. The finding of antiplaque features in Acacia Arabica type of chewing gum. J. Clin. Periodontol. 1991, 18, 75–77. [Google Scholar] [CrossRef] [PubMed]
- Gafar, A.M.; Ramadan, A.M.; ElSaid, N.A.; Nurelhuda, N.M. Effect of Gum Arabic on Plaque-Induced Gingivitis: A Randomised Controlled Trial. Saudi Dent. J. 2022, 34, 494–502. [Google Scholar] [CrossRef] [PubMed]
- Singhal, R.; Agarwal, V.; Rastogi, P.; Khanna, R.; Tripathi, S. Efficacy of Acacia arabica gum as an adjunct to scaling and root planing in the treatment of chronic periodontitis: A randomized controlled clinical trial. Saudi Dent. J. 2018, 30, 53–62. [Google Scholar] [CrossRef] [PubMed]
- Bielfeldt, S.; Wilhelm, D.; Neumeister, C.; Schwantes, U.; Wilhelm, K.P. Effect of a newly developed pastille on the salivary flow rate in subjects with dry mouth symptoms: A randomized, controlled, monocentric clinical study. BMC Oral Health 2021, 21, 117. [Google Scholar] [CrossRef] [PubMed]
- Kamal, E.; Kaddam, L.A.G.; Alagib, A.; Saeed, A. Dietary Fibers (Gum Arabic) Supplementation Modulates Hepatic and Renal Profile Among Rheumatoid Arthritis Patients, Phase II Trial. Front. Nutr. 2021, 8, 552049. [Google Scholar] [CrossRef]
- Kamal, E.; Kaddam, L.A.; Dahawi, M.; Osman, M.; Salih, M.A.; Alagib, A.; Saeed, A. Gum Arabic Fibers Decreased Inflammatory Markers and Disease Severity Score among Rheumatoid Arthritis Patients, Phase II Trial. Int. J. Rheumatol. 2018, 2018, 4197537. [Google Scholar] [CrossRef]
- Eltayeb, I.B.; Awad, A.I.; Elderbi, M.A.; Shadad, S.A. Effect of gum arabic on the absorption of a single oral dose of amoxicillin in healthy Sudanese volunteers. J. Antimicrob. Chemother. 2004, 54, 577–578. [Google Scholar] [CrossRef]
- Hosseinpour, M.; Fazeli, A.; Agabeigi, M. Efficacy of Acacia senegal for stoma care in children with colostomy. Eur. J. Pediatr. Surg. 2012, 22, 234–237. [Google Scholar] [CrossRef]
- Elamin, S.; Alkhawaja, M.J.; Bukhamsin, A.Y.; Idris, M.A.; Abdelrahman, M.M.; Abutaleb, N.K.; Housawi, A. A.Gum Arabic Reduces C-Reactive Protein in Chronic Kidney Disease Patients without Affecting Urea or Indoxyl Sulfate Levels. Int. J. Nephrol. 2017, 2017, 9501470. [Google Scholar] [CrossRef]
- Ali, A.A.; Ali, K.E.; Fadlalla, A.E.; Khalid, K.E. The effects of gum arabic oral treatment on the metabolic profile of chronic renal failure patients under regular haemodialysis in Central Sudan. Nat. Prod. Res. 2008, 22, 12–21. [Google Scholar] [CrossRef]
- Bliss, D.Z.; Savik, K.; Jung, H.J.G.; Whitebird, R.; Lowry, A.; Sheng, X. Dietary fiber supplementation for fecal incontinence: A randomized clinical trial. Res. Nurs. Health 2014, 37, 367–378. [Google Scholar] [CrossRef] [PubMed]
- Calame, W.; Weseler, A.R.; Viebke, C.; Flynn, C.; Siemensma, A.D. Gum arabic establishes prebiotic functionality in healthy human volunteers in a dose-dependent manner. Br. J. Nutr. 2008, 100, 1269–1275. [Google Scholar] [CrossRef] [PubMed]
- Salah, S.; Salih, A.; Sabir, O.M.; Mshelbwala, M.; Gadour, M.O.E.H. Gum Arabic a superb anti-diarrheal agent. Sudan J. Med. Sci. 2012, 7, 83–88. [Google Scholar]
- Suresh, H.; Zhou, J.; Ho, V. The short-term effects and tolerability of low-viscosity soluble fibre on gastroparesis patients: A pilot clinical intervention study. Nutrients 2021, 13, 4298. [Google Scholar] [CrossRef] [PubMed]
- Al-Yahya, A.A.; Asad, M. Antiulcer activity of gum Arabic and its interaction with antiulcer effect of ranitidine in rats. Biomed. Res. 2016, 27, 1102–1106. [Google Scholar]
- Codipilly, C.N.; Wapnir, R.A. Proabsorptive action of gum arabic in isotonic solutions orally administered to rats. II. Effects on solutes under normal and secretory conditions. Dig. Dis. Sci. 2004, 49, 1473–1478. [Google Scholar] [CrossRef]
- Abd El-Mawla, A.M.; Osman, H.E. Effects of Gum acacia aqueous extract on the histology of the intestine and enzymes of both the intestine and the pancreas of albino rats treated with Meloxicam. Pharmacogn. Res. 2011, 3, 114–121. [Google Scholar] [CrossRef]
- Hetherington, M.M.; Boyland, E. Short-term effects of chewing gum on snack intake and appetite. Appetite 2007, 48, 397–401. [Google Scholar] [CrossRef]
- Hetherington, M.M.; Regan, M.F. Effects of chewing gum on short-term appetite regulation in moderately restrained eaters. Appetite 2011, 57, 475–482. [Google Scholar] [CrossRef]
- Eggum, B.O. The influence of dietary fibre on protein digestion and utilization in monogastrics. Arch. Tierernahr. 1995, 48, 89–95. [Google Scholar] [CrossRef]
- Roberfroid, M. Dietary fiber, inulin, and oligofructose: A review comparing their physiological effects. Crit. Rev. Food Sci. Nutr. 1993, 33, 103–148. [Google Scholar] [CrossRef] [PubMed]
- Menni, C.; Jackson, M.A.; Pallister, T.; Steves, C.J.; Spector, T.D.; Valdes, A.M. Gut microbiome diversity and high-fibre intake are related to lower long-term weight gain. Int. J. Obes. 2017, 41, 1099–1105. [Google Scholar] [CrossRef]
- Ahmed, A.A.; Musa, H.H.; Fedail, J.S.; Sifaldin, A.Z.; Musa, T.H. Gum arabic decreased visceral adipose tissue associated with downregulation of 11β-hydroxysteroid dehydrogenase type I in liver and muscle of mice. Bioact. Carbohydr. Diet Fibre 2015, 6, 31–36. [Google Scholar] [CrossRef]
- Moundras, C.; Behr, S.R.; Demigné, C.; Mazur, A.; Rémésy, C. Fermentable polysaccharides that enhance fecal bile acid excretion lower plasma cholesterol and apolipoprotein E-rich HDL in rats. J. Nutr. 1994, 124, 2179–2188. [Google Scholar] [CrossRef] [PubMed]
- Jhundoo, H.D.; Siefen, T.; Liang, A.; Schmidt, C.; Lokhnauth, J.; Moulari, B.; Béduneau, A.; Pellequer, Y.; Larsen, C.C.; Lamprecht, A. Anti-inflammatory effects of acacia and guar gum in 5-amino salicylic acid formulations in experimental colitis. Int. J. Pharm. X 2021, 3, 100080. [Google Scholar] [CrossRef] [PubMed]
- Schupp, N.; Kolkhof, P.; Queisser, N.; Gärtner, S.; Schmid, U.; Kretschmer, A.; Hartmann, E.; Oli, R.G.; Schäfer, S.; Stopper, H. Mineralocorticoid receptor-mediated DNA damage in kidneys of DOCA-salt hypertensive rats. FASEB J. 2011, 25, 968–978. [Google Scholar] [CrossRef]
- Cachofeiro, V.; Goicochea, M.; De Vinuesa, S.G.; Oubiña, P.; Lahera, V.; Luno, J. Oxidative stress and inflammation, a link between chronic kidney disease and cardiovascular disease: New strategies to prevent cardiovascular risk in chronic kidney disease. Kidney Int. 2008, 74, S4–S9. [Google Scholar] [CrossRef]
- Bliss, D.Z.; Jung, H.-J.; Savik, K.; Lowry, A.; LeMoine, M.; Jensen, L.; Werner, C.; Schaffer, K. Supplementation With Dietary Fiber Improves Fecal Incontinence. Nurs. Res. 2001, 50, 203–213. [Google Scholar] [CrossRef]
- June, R.K.; Liu-Bryan, R.; Long, F.; Griffin, T.M. Emerging role of metabolic signaling in synovial joint remodeling and osteoarthritis. J. Orthop. Res. 2016, 34, 2048–2058. [Google Scholar] [CrossRef]
- Lührs, H.; Gerke, T.; Schauber, J.; Dusel, G.; Melcher, R.; Scheppach, W.; Menzel, T. Cytokine-activated degradation of inhibitory κB protein α is inhibited by the short-chain fatty acid butyrate. Int. J. Colorectal. Dis. 2001, 16, 195–201. [Google Scholar] [CrossRef]
- Coleman, P. Improving oral health care for the frail elderly: A review of widespread problems and best practices. Geriatr. Nurs. 2002, 23, 189–198. [Google Scholar] [CrossRef] [PubMed]
- Sharifi-Rad, J.; Quispe, C.; Mukazhanova, Z.; Knut, E.; Turgumbayeva, A.; Kipchakbayeva, A.; Seitimova, G.; Mahomoodally, M.F.; Lobine, D.; Koay, A.; et al. Resveratrol-Based Nanoformulations as an Emerging Therapeutic Strategy for Cancer. Front. Mol. Biosci. 2021, 8, 649395. [Google Scholar] [CrossRef] [PubMed]




| Sl No | Authors and Year | Treatment Duration | Dose and Mode of Treatment | Sample Size | Medical Disease | Clinical Tests | Main Findings |
|---|---|---|---|---|---|---|---|
| 1 | Larson et al., 2021 [30] | 6 weeks | 0, 20, and 40 g of GA in orange juice, along with a bagel and cream cheese, after a 12 h fast | 48 | Type 2 Diabetes | Computerized visual analog scales | After the individuals consumed a bagel and cream cheese, along with 40 g of GA, they reported feeling less hungry 15 min and 240 min later. In comparison to the control group, the post-acacia ingestion symptoms of bloating, gas, and GI rumbling were more severe. Although there was no significant difference in the area under the curve or changes in blood glucose response, blood glucose with 20 g of fiber at 30 min was considerably lower than the control. |
| 2 | Babiker et al., 2018 [31] | 3 months | 30 g per day of GA administered orally | 91 | Type 2 Diabetes | Anthropometric obesity markers, blood pressure, and lipid profile | The effects of GA reduced BMI by 2% and visceral body adiposity index by 23.7%. |
| 3 | Babiker et al., 2012 [32] | 6 weeks | 30 g per day of GA administered orally | 120 | Obesity | Weight and height using standardized scales, skin fold thickness using a Harpenden skin fold caliper, and fat percentage using the Jackson and Pollock 7 caliper method and Siri equation | Body fat percentage reduced by 2.18%. |
| 4 | Calame et al.,2011 [33] | 3 h post consumption | STUDY 1: 5 and 10 g of EmulGold (EG) and 10 and 40 g of PreVitae (PV) dissolved in 250 mL of water; STUDY 2: “glass of water containing 0, 10, 20 or 40 g of EG or PV” | 70 | Obesity | Caloric intake and visual analog scale | Three hours after ingesting GA, participants showed substantial reductions in calorie consumption and subjective feelings of fullness. |
| 5 | Jarrar et al., 2021 [34] | 12 weeks | 20 g daily oral dose of GA | 61 | Metabolic Syndrome | Anthropometric measurements, diet and physical assessment via The Food Processor® nutrition and fitness software, ESHA food-analysis program (version 10.4), the Kuwaiti Food Composition database, bowel movement and satiety questionnaire, fasting blood sample to measure lipid profile, HbA1c, and fasting blood glucose | Systolic and diastolic blood pressure, fat-free mass, hunger, and fasting plasma glucose were all lower in the participants. An increase in dietary fiber consumption was reported. Bowel motions and bloating were improved. |
| 6 | Babiker et al., 2017 [35] | 3 months | 30 g daily intake of GA administered orally | 91 | Type 2 Diabetes | BMI, lipid profile, fasting blood glucose, and HbA1c | BMI was significantly lower in the GA group by 2.1%, although there was no significant change in waist size. Regarding metabolic measures, the GA group presented with a substantial reduction in fasting plasma glucose of 6.24% and a reduction in glycosylated hemoglobin (HbA1c) of 8.8%. By reducing LDL cholesterol by 19.5%, total cholesterol by 8.28%, and triglycerides by 10.95% from baseline values, GA supplementation improved lipid profiles. Within the GA group, HDL cholesterol significantly increased by 19.89%. |
| 7 | Nasir et al., 2016 [36] | 16 weeks | 10 g daily intake of GA administered orally | 40 | Type 2 Diabetes | Anthropometric measurements, lipid profile, fasting blood glucose, HbA1c, urea nitrogen, and creatinine | Fasting blood sugar and HbA1c levels significantly decreased in all groups, which was followed by large drops in total protein and uric acid levels. In diabetics and those with diabetic nephropathy, there was a noticeable improvement in renal function following GA supplementation across all groups, with substantial reductions in blood urea nitrogen and creatinine levels. |
| 8 | Haskell et al., 1992 [37] | 12 weeks | 15 g of GA dissolved in water | 62 | Hyperlipidemia | Lipid profile | Water-soluble dietary fiber made up of psyllium husk, pectin, guar and locust bean gums was significantly reduced in cholesterol—comparable to changes observed with 10 g of water-soluble dietary fiber per day from high-viscosity guar gum. GA (low viscosity) did not produce a significant lipid-lowering effect compared to a placebo. |
| 9 | Mohamed et al., 2015 [10] | 4 weeks | 30 mg of GA taken orally | 110 | Hyperlipidemia | Lipid profile | Reduced levels of total cholesterol (25.9% to 7.8%), triglycerides (38.2% to 2.9%), and LDL (30.8% to 8.1%) were the significant findings. |
| 10 | Kaddam et al., 2019 [38] | 12 weeks | 30 g per day of GA administered orally | 47 | Sickle Cell Anemia | Lipid profile | GA significantly decreased levels of triglycerides (10%), LDL (8% reduction), and total cholesterol (7% reduction). |
| 11 | Kaddam et al., 2019 [39] | 12 weeks | 30 g per day of GA administered orally | 47 | Sickle Cell Anemia | Liver enzymes, total protein, albumin, electrolytes, urea, creatinine, and uric acid were determined in the serum | Direct bilirubin, serum alanine transaminase, and serum urea levels all decreased significantly after 4 weeks of treatment, and these results persisted through the 8th week. |
| 12 | Kaddam et al., 2017 [40] | 12 weeks | 30 g per day of GA administered orally | 47 | Sickle Cell Anemia | Total antioxidant capacity (TAC), malondialdehyde (MDA), and hydrogen peroxide (H2O2) levels were measured by spectrophotometric methods | Total antioxidant capacity was significantly increased by GA, and oxidative indicators of MDA and hydrogen peroxide were reduced. |
| 13 | Kamal et al., 2020 [41] | 1 year | 62.5 mg of GA dissolved in 1 mL distilled water | 63 | Dental Caries | Mitis Salivarius agar and Lactobacillus MRS agar were used, and microbial analysis was performed | Chlorhexidine, GA, and liquorice mouthwashes differed statistically significantly from each other in the decayed, missing, and filled index (DMF). However, there was no statistically significant difference between the two latter groups. Patients who took GA or liquorice mouthwash had considerably lower levels of Streptococcus mutans and Lactobacillus acidophilus. However, there have been reports of oral adverse effects with chlorhexidine mouthwash. |
| 14 | Gazi, 1991 [42] | 1 week | Chewing on GA for 10 min 5× a day | 20 | Plaque Formation | Gingival and plaque scores and daily photographic assessment of erythrocine-stained plaques | After GA compared to sugar-free gum, daily photographic examination of erythrocine-stained plaque revealed lower scores, as well as lower gingival and plaque scores. |
| 15 | Gafar et al., 2022 [43] | 2 months | 150 mg GA powder applied twice a day | 30 | Plaque-Induced Gingivitis | Plaque index, gingival index, and gingival crevicular fluid interleukin 1 beta were measured | It was discovered that GA worked well to reduce plaque and gingival irritation. The intervention group had considerably lower mean gingival index scores at 30 days, significantly lower mean plaque index scores at 30 and 60 days, and significantly lower gingival crevicular fluid interleukin 1 beta levels at 30 and 60 days. |
| 16 | Singhal et al., 2018 [44] | 90 days | Participants were asked to use GA on a set of 2–4 teeth (premolars and molars) in one specified quadrant | 59 | Chronic Periodontitis | Periodontal pocket depth, clinical attachment levels, and gingival indices (GI) and plaque indices (PI) | In the group that utilized GA gel, there was a greater reduction in periodontal pocket depth and an increase in clinical attachment level, as well as a lower index of plaque and gingival index. |
| 17 | Bielfeldt et al., 2021 [45] | 10 min | 10 g of pastille GA | 26 | Xerostomia | Gravimetric measurement of salivary flow rate and visual analog scale. Saliva surface tension was measured in pooled saliva samples (0–5 min of sampling); Raman spectroscopy | After chewing the pastille, the mean salivary flow rate considerably rose by 8.03 g/min compared to the mean changes after chewing the control product, which increased by 3.71 g/min. |
| 18 | Kamal et al., 2021 [46] | 12 weeks | 30 g per day of GA administered orally | 40 | Rheumatoid Arthritis | A Cobas C311 (Roche, Germany) automated chemistry analyzer was used to directly determine the values for total protein, albumin, alanine aminotransferase (ALT), aspartate aminotransferase (AST), alkaline phosphatase (ALP), and creatinine | The liver enzymes ALT and AST were dramatically reduced due to GA, whereas ALP did not change appreciably. The albumin level significantly increased, whereas the serum globulin level minimally changed. GA considerably lowered urea and salt levels, with little impact on creatinine and potassium levels in terms of electrolyte levels and renal function. |
| 19 | Kamal et al., 2018 [47] | 12 weeks | 30 g per day of GA administered orally | 40 | Rheumatoid Arthritis | Complete blood count and liver and kidney function test | The levels of tumor necrosis factor alpha, erythrocyte sedimentation, the number of swollen and painful joints, and the illness severity score (28 P.V:0.00) were all shown to be significantly reduced by GA. Blood index changes were minimal. |
| 20 | Eltayeb et al., 2004 [48] | One-time oral dose | N/A | 24 | Drug Efficacy | Blood samples | When comparing two groups (one that took GA 2 hours after ingesting amoxicillin and the other that took the medication at the same time as GA), it was discovered that the latter group’s peak amoxicillin concentration was much lower. |
| 21 | Hosseinpour et al., 2012 [49] | 4 weeks | GA ointment | 60 | Peristomal Skin Inflammation | Skin inflammation was diagnosed clinically according to a study by Ruzicka et al.; severity was defined according to the Physician Global Assessment (PGA) | Comparing the GA ointment group to the control group using zinc sulfate ointment, the GA ointment group showed a substantially lower level of peristomal skin inflammation. |
| 22 | Ali et al., 2020 [13] | 12 weeks | 30 g per day of GA administered orally | 40 | Kidney Disease | Blood samples | GA decreased the levels of the oxidative markers of MDA and CRP and significantly increased overall antioxidant capacity. |
| 23 | Elamin et al., 2017 [50] | 4 weeks | 10, 20, or 40 grams per day of GA administered orally | 36 | Kidney Disease | Clinical interviews for symptom severity, fasting blood sample, and 24 h urine collections | Both sodium levels and C-reactive protein levels were decreased in individuals who took GA. Other electrolyte concentrations, urine volume, and indoxyl sulfate levels were not affected. |
| 24 | Ali et al., 2008 [51] | 3 months | 50 g daily oral dose of GA | 36 | Kidney Disease | Blood samples | In comparison to baseline, GA was observed to significantly lower blood concentrations of urea, creatinine, uric acid, and phosphorus. GA ingestion was also reported to increase serum calcium levels. |
| 25 | Bliss et al., 1996 [14] | 1 month | 50 g of GA | 20 | Chronic Renal Failure | Blood and stool samples | The amount of nitrogen and bacterial bulk in feces dramatically increased due to GA. Additionally, serum urea nitrogen was significantly decreased. |
| 26 | Bliss et al., 2014 [52] | 32 days | 16 g daily intake of GA administered orally | 189 | Fecal Incontinence | Fecal collection and fecal incontinence diary filled in by subjects | The frequency of feces incontinence was comparable between individuals who took GA and those who took a placebo. It has been claimed that psyllium supplements can lower the frequency of fecal incontinence. |
| 27 | Calame et al., 2008 [53] | 4 weeks | Daily doses (5, 10, 20, and 40 g) of GA (EmulGold®) dissolved in water | 54 | Prebiotic | Fecal samples and volunteer survey | In comparison to the negative control group, the counts of Bifidobacteria and Lactobacilli were significantly increased after GA administration—10 g in particular. |
| 28 | Salah et al., 2012 [54] | Until resolution (range: 24 h–6 weeks; average: 5 days) | 5–10 mg GA solution administered daily | 180 | Acute Non-Bloody Diarrhea | Electrolytes, body weight, and clinical observation | 90% of the children who took GA had their diarrhea cease within 24 hours, and 80% had been released after one day. Within the first five days of their admission, each of them made progress and was released. None of them had shock or severe dehydration. Only three children experienced electrolyte imbalance. At the conclusion of the trial, the weight had increased by 47.8% and had dropped by just 5.5%. Only two (3.3%) of the 61 children who were still being monitored after 6 weeks had experienced diarrhea again. |
| 29 | Suresh et al., 2021 [55] | 1 month | 10 g of GA dissolved in 200 mL of water | 10 | Gastroparesis | Weight and height, glucose measurement, and ANMS GCSI-DD validated survey for symptom severity | In comparison to psyllium husk, blood sugar levels were controlled in patients receiving GA and partly hydrolyzed guar gum. For the test fibers, the mouth-to-cecum transit time was not significant. |
Disclaimer/Publisher’s Note: The statements, opinions and data contained in all publications are solely those of the individual author(s) and contributor(s) and not of MDPI and/or the editor(s). MDPI and/or the editor(s) disclaim responsibility for any injury to people or property resulting from any ideas, methods, instructions or products referred to in the content. |
© 2023 by the authors. Licensee MDPI, Basel, Switzerland. This article is an open access article distributed under the terms and conditions of the Creative Commons Attribution (CC BY) license (https://creativecommons.org/licenses/by/4.0/).
Share and Cite
Al-Jubori, Y.; Ahmed, N.T.B.; Albusaidi, R.; Madden, J.; Das, S.; Sirasanagandla, S.R. The Efficacy of Gum Arabic in Managing Diseases: A Systematic Review of Evidence-Based Clinical Trials. Biomolecules 2023, 13, 138. https://doi.org/10.3390/biom13010138
Al-Jubori Y, Ahmed NTB, Albusaidi R, Madden J, Das S, Sirasanagandla SR. The Efficacy of Gum Arabic in Managing Diseases: A Systematic Review of Evidence-Based Clinical Trials. Biomolecules. 2023; 13(1):138. https://doi.org/10.3390/biom13010138
Chicago/Turabian StyleAl-Jubori, Yamamh, Nazik Tayfour Babiker Ahmed, Rawan Albusaidi, James Madden, Srijit Das, and Srinivasa Rao Sirasanagandla. 2023. "The Efficacy of Gum Arabic in Managing Diseases: A Systematic Review of Evidence-Based Clinical Trials" Biomolecules 13, no. 1: 138. https://doi.org/10.3390/biom13010138
APA StyleAl-Jubori, Y., Ahmed, N. T. B., Albusaidi, R., Madden, J., Das, S., & Sirasanagandla, S. R. (2023). The Efficacy of Gum Arabic in Managing Diseases: A Systematic Review of Evidence-Based Clinical Trials. Biomolecules, 13(1), 138. https://doi.org/10.3390/biom13010138

