Biological Activity of Humulus lupulus (L.) Essential Oil and Its Main Components against Sitophilus granarius (L.)
Abstract
1. Introduction
2. Materials and Methods
2.1. Plant Material and Pure Compounds
2.2. Insect Rearing
2.3. Extraction of EO
2.4. Gas Chromatography-Mass Spectrometry (GC-MS)
2.5. Contact Toxicity
2.6. Fumigant Toxicity
2.7. Two-Choice Behavioural Bioassays
2.8. Electroantennography (EAG)
2.9. AChE Assay
3. Results
3.1. EO Characterization
3.2. Contact Toxicity
3.3. Inhalation Toxicity
3.4. Two-Choice Behavioural Bioassays
3.5. EAG
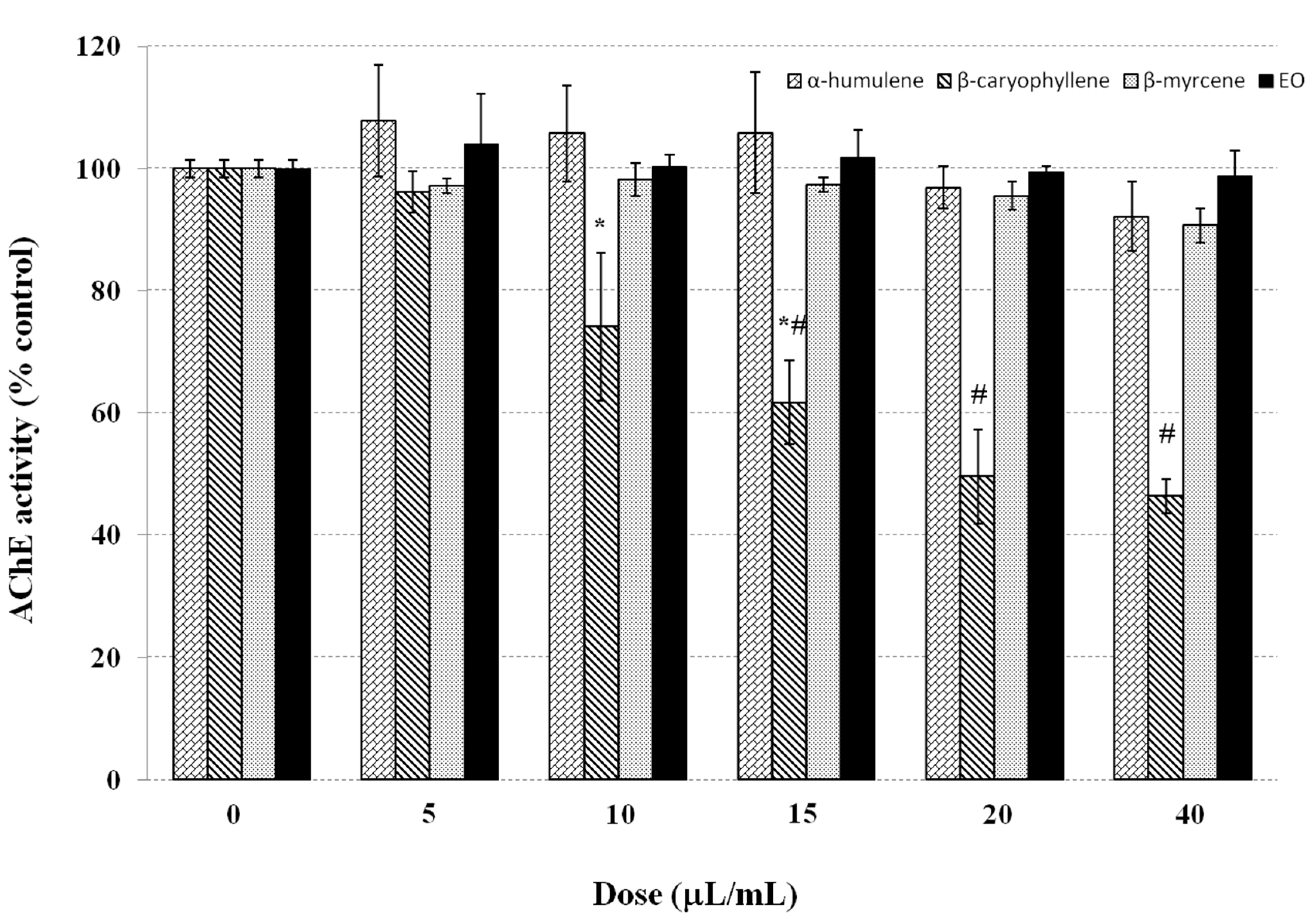
3.6. Anticholinesterase Activity
4. Discussion
5. Conclusions
Author Contributions
Funding
Acknowledgments
Conflicts of Interest
References
- Colgate, E.C.; Miranda, C.L.; Stevens, J.F.; Bray, T.M.; Ho, E. Xanthohumol, a prenylflavonoid derived from hops induces apoptosis and inhibits NF-kappaB activation in prostate epithelial cells. Cancer Lett. 2007, 246, 201–209. [Google Scholar] [CrossRef] [PubMed]
- Bartmańska, A.; Tronina, T.; Popłoński, J.; Milczarek, M.; Filip-Psurska, B.; Wietrzyk, J. Highly cancer selective antiproliferative activity of natural prenylated flavonoids. Molecules 2018, 23, 2922. [Google Scholar] [CrossRef]
- Jacob, C.; Jamier, V.; Ba, L.A. Redox active secondary metabolites. Curr. Opin. Chem. Biol. 2011, 15, 149–155. [Google Scholar] [CrossRef] [PubMed]
- Stompor, M.; Zarowska, B. Antimicrobial activity of xanthohumol and its selected structural analogues. Molecules 2016, 21, 608. [Google Scholar] [CrossRef]
- Yajima, H.; Ikeshima, E.; Shiraki, M.; Kanaya, T.; Fujiwara, D.; Odai, H.; Tsuboyama-Kasaoka, N.; Ezaki, O.; Oikawa, S.; Kondo, K. Isohumulones, bitter acids derived from hops, activate both peroxisome proliferator-activated receptor α and γ and reduce insulin resistance. J. Biol. Chem. 2004, 279, 33456–33462. [Google Scholar] [CrossRef] [PubMed]
- Miura, Y.; Hosono, M.; Oyamada, C.; Odai, H.; Oikawa, S.; Kondo, K. Dietary isohumulones, the bitter components of beer, raise plasma HDL-cholesterol levels and reduce liver cholesterol and triacylglycerol contents similar to PPARα activations in C57BL/6 mice. Br. J. Nutr. 2005, 93, 559. [Google Scholar] [CrossRef] [PubMed]
- Yajima, H.; Noguchi, T.; Ikeshima, E.; Shiraki, M.; Kanaya, T.; Tsuboyama-Kasaoka, N.; Ezaki, O.; Oikawa, S.; Kondo, K. Prevention of diet-induced obesity by dietary isomerized hop extract containing isohumulones, in rodents. Int. J. Obes. 2005, 29, 991–997. [Google Scholar] [CrossRef]
- Ayabe, T.; Ohya, R.; Kondo, K.; Ano, Y. Iso-α-acids, bitter components of beer, prevent obesity-induced cognitive decline. Sci. Rep. 2018, 8, 1–9. [Google Scholar] [CrossRef]
- Jirovetz, L.; Bail, S.; Buchbauer, G.; Denkova, Z.; Slavchev, A.; Stoyanova, A.; Schmidt, E.; Geissler, M. Antimicrobial testings, gas chromatographic analysis and olfactory evaluation of an essential oil of hop cones (Humulus lupulus L.) from Bavaria and some of its main compounds. Sci. Pharm. 2006, 74, 189–201. [Google Scholar] [CrossRef]
- Bocquet, L.; Sahpaz, S.; Hilbert, J.L.; Rambaud, C.; Rivière, C. Humulus lupulus L., a very popular beer ingredient and medicinal plant: Overview of its phytochemistry, its bioactivity, and its biotechnology. Phytochem. Rev. 2018, 17, 1047–1090. [Google Scholar] [CrossRef]
- Karabín, M.; Hudcová, T.; Jelínek, L.; Dostálek, P. Biologically active compounds from hops and prospects for their use. Compr. Rev. Food Sci. Food Saf. 2016, 15, 542–567. [Google Scholar] [CrossRef]
- Bocquet, L.; Rivière, C.; Dermont, C.; Samaillie, J.; Hilbert, J.L.; Halama, P.; Siah, A.; Sahpaz, S. Antifungal activity of hop extracts and compounds against the wheat pathogen Zymoseptoria tritici. Ind. Crops Prod. 2018, 122, 290–297. [Google Scholar] [CrossRef]
- DeGrandi-Hoffman, G.; Ahumada, F.; Probasco, G.; Schantz, L. The effects of beta acids from hops (Humulus lupulus) on mortality of Varroa destructor (Acari: Varroidae). Exp. Appl. Acarol. 2012, 58, 407–421. [Google Scholar] [CrossRef] [PubMed]
- Bedini, S.; Flamini, G.; Cosci, F.; Ascrizzi, R.; Benelli, G.; Conti, B. Cannabis sativa and Humulus lupulus essential oils as novel control tools against the invasive mosquito Aedes albopictus and fresh water snail Physella acuta. Ind. Crops Prod. 2016, 85, 318–323. [Google Scholar] [CrossRef]
- Aydin, T.; Bayrak, N.; Baran, E.; Cakir, A. Insecticidal effects of extracts of Humulus lupulus (hops) L. cones and its principal component, xanthohumol. Bull. Entomol. Res. 2017, 107, 543–549. [Google Scholar] [CrossRef] [PubMed]
- Shaaya, E.; Kostjukovski, M.; Eilberg, J.; Sukprakarn, C. Plant oils as fumigants and contact insecticides for the control of stored-product insects. J. Stored Prod. Res. 1997, 33, 7–15. [Google Scholar] [CrossRef]
- Isman, M.B. Botanical insecticides, deterrents, and repellents in modern agriculture and an increasingly regulated world. Annu. Rev. Entomol. 2006, 51, 45–66. [Google Scholar] [CrossRef]
- Bell, C.H.; Wilson, S.M. Phosphine tolerance and resistance in Trogoderma granarium Everts (Coleoptera: Dermestidae). J. Stored Prod. Res. 1995, 31, 199–205. [Google Scholar] [CrossRef]
- Campos, E.V.R.; Proença, P.L.F.; Oliveira, J.L.; Bakshi, M.; Abhilash, P.C.; Fraceto, L.F. Use of botanical insecticides for sustainable agriculture: Future perspectives. Ecol. Indic. 2019, 105, 483–495. [Google Scholar] [CrossRef]
- Phillips, T.W.; Throne, J.E. Biorational approaches to managing stored-product insects. Annu. Rev. Entomol. 2010, 55, 375–397. [Google Scholar] [CrossRef]
- Pavela, R.; Benelli, G. Essential Oils as ecofriendly biopesticides? Challenges and constraints. Trends Plant Sci. 2016, 21, 1000–1007. [Google Scholar] [CrossRef] [PubMed]
- Zoubiri, S.; Baaliouamer, A. Potentiality of plants as source of insecticide principles. J. Saudi Chem. Soc. 2014, 18, 925–938. [Google Scholar] [CrossRef]
- van Den Dool, H.; Kratz, P.D. A generalization of the retention index system including linear temperature programmed gas-liquid partition chromatography. J. Chromatogr. A 1963, 11, 463–471. [Google Scholar] [CrossRef]
- Rotundo, G.; Paventi, G.; Barberio, A.; De Cristofaro, A.; Notardonato, I.; Russo, M.V.; Germinara, G.S. Biological activity of hexane extract fractions of Dittrichia viscosa (L.) Greuter against Sitophilus granarius (L.) (Coleoptera, Curculionidae) and identification of active compounds. Sci. Rep. 2019, 9, 6429. [Google Scholar] [CrossRef]
- Germinara, G.S.; Di Stefano, M.G.; De Acutis, L.; Pati, S.; Delfine, S.; De Cristofaro, A.; Rotundo, G. Bioactivities of Lavandula angustifolia essential oil against the stored grain pest Sitophilus granarius. Bull. Insectol. 2017, 70, 129–138. [Google Scholar]
- Finney, D.J. Probit Analysis, 3rd ed.; Cambridge University Press: London, UK, 1971. [Google Scholar]
- Germinara, G.S.; Rotundo, G.; De Cristofaro, A. Repellence and fumigant toxicity of propionic acid against adults of Sitophilus granarius (L.) and S. oryzae (L.). J. Stored Prod. Res. 2007, 43, 229–233. [Google Scholar] [CrossRef]
- Germinara, G.S.; De Cristofaro, A.; Rotundo, G. Bioactivity of short-chain aliphatic ketones against adults of the granary weevil, Sitophilus granarius (L.). Pest Manag. Sci. 2012, 68, 371–377. [Google Scholar] [CrossRef]
- Germinara, G.S.; De Cristofaro, A.; Rotundo, G. Behavioral responses of adult Sitophilus granarius to individual cereal volatiles. J. Chem. Ecol. 2008, 34, 523–529. [Google Scholar] [CrossRef]
- Phillips, T.W.; Jiang, X.-L.; Burkholder, W.E.; Phillips, J.K.; Tran, H.Q. Behavioral responses to food volatiles by two species of stored-product coleoptera, Sitophilus oryzae (curculionidae) and Tribolium castaneum (tenebrionidae). J. Chem. Ecol. 1993, 19, 723–734. [Google Scholar] [CrossRef]
- Germinara, G.S.; Beleggia, R.; Fragasso, M.; Pistillo, M.O.; De Vita, P. Kernel volatiles of some pigmented wheats do not elicit a preferential orientation in Sitophilus granarius adults. J. Pest Sci. 2019, 92, 653–664. [Google Scholar] [CrossRef]
- Kaissling, K.E.; Thorson, J. Insect olfactory sensilla: Structural, chemical and electrical aspects of the functional organization. In Receptors for Neurotransmitters, Hormones, and Pheromones in Insects; Satelle, D.B., Hall, L.M., Hildebrand, J.G., Eds.; Elsevier/North-Holland Biomedical Press: New York, NY, USA, 1980; pp. 261–282. [Google Scholar]
- Germinara, G.S.; Pistillo, M.; Griffo, R.; Garonna, A.P.; Di Palma, A. Electroantennographic responses of Aromia bungii (Faldermann, 1835) (Coleoptera, Cerambycidae) to a range of volatile compounds. Insects 2019, 10, 274. [Google Scholar] [CrossRef] [PubMed]
- Raguso, R.A.; Light, D.M. Electroantennogram responses of male Sphinx perelegans hawkmoths to floral and “green-leaf volatiles”. Entomol. Exp. Appl. 1998, 86, 287–293. [Google Scholar] [CrossRef]
- Otter, C.J.D.; Tchicaya, T.; Schutte, A.M. Effects of age, sex and hunger on the antennal olfactory sensitivity of tsetse flies. Physiol. Entomol. 1991, 16, 173–182. [Google Scholar] [CrossRef]
- Adams, R.P. Identification of Essential Oil Components by Gas Chromatography/mass Spectrometry; Allured Publishing Corporation: Carol Stream, IL, USA, 2007; ISBN 9781932633214. [Google Scholar]
- Aberl, A.; Coelhan, M. Determination of volatile compounds in different hop varieties by headspace-Trap GC/MS—in comparison with conventional hop essential oil analysis. J. Agric. Food Chem. 2012, 60, 2785–2792. [Google Scholar] [CrossRef] [PubMed]
- Katsiotis, S.T.; Langezaal, C.R.; Scheffer, J.J.C.; Verpoorte, R. Comparative study of the essential oils from hops of various Humulus lupulus L. Cultivars. Flavour Fragr. J. 1989, 4, 187–191. [Google Scholar] [CrossRef]
- Eyres, G.; Dufour, J.-P. Hop essential oil: Analysis, chemical composition and odor characteristics. In Beer in Health and Disease Prevention; Elsevier: Amsterdam, The Netherlands, 2009; pp. 239–254. [Google Scholar]
- Bedini, S.; Flamini, G.; Girardi, J.; Cosci, F.; Conti, B. Not just for beer: Evaluation of spent hops (Humulus lupulus L.) as a source of eco-friendly repellents for insect pests of stored foods. J. Pest Sci. (2004). 2015, 88, 583–592. [Google Scholar] [CrossRef]
- Ziaee, M. The effects of topical application of two essential oils against Sitophilus granarius (Coleoptera: Curculionidae) and Tribolium confusum (Coleoptera: Tenebrionidae). J. Crop Prot. 2014, 3, 589–595. [Google Scholar]
- Conti, B.; Canale, A.; Cioni, P.L.; Flamini, G.; Rifici, A. Hyptis suaveolens and Hyptis spicigera (Lamiaceae) essential oils: Qualitative analysis, contact toxicity and repellent activity against Sitophilus granarius (L.) (Coleoptera: Dryophthoridae). J. Pest Sci. 2011, 84, 219–228. [Google Scholar] [CrossRef]
- Plata-Rueda, A.; Campos, J.M.; da Silva Rolim, G.; Martínez, L.C.; Dos Santos, M.H.; Fernandes, F.L.; Serrão, J.E.; Zanuncio, J.C. Terpenoid constituents of cinnamon and clove essential oils cause toxic effects and behavior repellency response on granary weevil, Sitophilus granarius. Ecotoxicol. Environ. Saf. 2018, 156, 263–270. [Google Scholar] [CrossRef]
- Hemmer, M.C. Expert Systems in Chemistry Research; CRC Press: Boca Raton, FL, USA, 2007; ISBN 9780429146350. [Google Scholar]
- Aslan, I.; Telci, I.; Çalmasur, Ö.; Çam, H. Toxicity of essential oil vapours obtained from several plants species against the granary weevil, Sitophilus granarius (L.). Fresenius Environ. Bull. 2009, 18, 1717–1722. [Google Scholar]
- Kordali, S.; Aslan, I.; Çalmaşur, O.; Cakir, A. Toxicity of essential oils isolated from three Artemisia species and some of their major components to granary weevil, Sitophilus granarius (L.) (Coleoptera: Curculionidae). Ind. Crops Prod. 2006, 23, 162–170. [Google Scholar] [CrossRef]
- Ebadollahi, A. Susceptibility of two Sitophilus species (Coleoptera: Curculionidae) to essential oils from Foeniculum vulgare and Satureja hortensis. Ecol. Balk. 2011, 3, 1–8. [Google Scholar]
- Hosseini, B.; Estaji, A.; Hashemi, S.M. Fumigant toxicity of essential oil from Salvia leriifolia (Benth) against two stored product insect pests. Aust. J. Crop Sci. 2013, 7, 855–860. [Google Scholar]
- Obeng-Ofori, D.; Reichmuth, C.; Bekele, J.; Hassanali, A. Biological activity of 1,8 cineole, a major component of essential oil of Ocimum kenyense (Ayobangira) against stored product beetles. J. Appl. Entomol. 1997, 121, 237–243. [Google Scholar] [CrossRef]
- Obeng-Ofori, D.; Reichmuth, C. Bioactivity of eugenol, a major component of essential oil of Ocimum suave (wild.) against four species of stored-product coleoptera. Int. J. Pest Manag. 1997, 43, 89–94. [Google Scholar] [CrossRef]
- Obeng-Ofori, D.; Reichmuth, C.H.; Bekele, A.J.; Hassanali, A. Toxicity and protectant potential of camphor, a major component of essential oil of Ocimum kilimandscharicum, against four stored product beetles. Int. J. Pest Manag. 1998, 44, 203–209. [Google Scholar] [CrossRef]
- Lee, S.; Peterson, C.J.; Coats, J.R. Fumigation toxicity of monoterpenoids to several stored product insects. J. Stored Prod. Res. 2002, 39, 77–85. [Google Scholar] [CrossRef]
- Kobus-Cisowska, J.; Szymanowska-Powałowska, D.; Szczepaniak, O.; Kmiecik, D.; Przeor, M.; Gramza-Michałowska, A.; Cielecka-Piontek, J.; Smuga-Kogut, M.; Szulc, P. Composition and in vitro effects of cultivars of Humulus lupulus L. hops on cholinesterase activity and microbial growth. Nutrients 2019, 11, 1377. [Google Scholar] [CrossRef]
- Perry, N.S.L.; Houghton, P.J.; Theobald, A.; Jenner, P.; Perry, E.K. In-vitro inhibition of human erythrocyte acetylcholinesterase by Salvia lavandulaefolia essential oil and constituent terpenes. J. Pharm. Pharmacol. 2000, 52, 895–902. [Google Scholar] [CrossRef]
- da Silva Barbosa, D.C.; Holanda, V.N.; de Assis, C.R.D.; de Oliveira Farias de Aguiar, J.C.R.; doNascimento, P.H.; da Silva, W.V.; do Amaral Ferraz Navarro, D.M.; da Silva, M.V.; de Menezes Lima, V.L.; dos Santos Correia, M.T. Chemical composition and acetylcholinesterase inhibitory potential, in silico, of Myrciaria floribunda (H. West ex Willd.) O. Berg fruit peel essential oil. Ind. Crops Prod. 2020, 151, 112372. [Google Scholar] [CrossRef]
- Savelev, S.; Okello, E.; Perry, N.S.L.; Wilkins, R.M.; Perry, E.K. Synergistic and antagonistic interactions of anticholinesterase terpenoids in Salvia lavandulaefolia essential oil. Pharmacol. Biochem. Behav. 2003, 75, 661–668. [Google Scholar] [CrossRef]
- Casida, J.E. Pesticide interactions: Mechanisms, benefits, and risks. J. Agric. Food Chem. 2017, 65, 4553–4561. [Google Scholar] [CrossRef] [PubMed]
- Schneider, D. Electrophysiological investigation on the olfactory specificity of sexual attracting substances in different species of moths. J. Insect Physiol. 1962, 8, 15–30. [Google Scholar] [CrossRef]
- Cox, P.D. Potential for using semiochemicals to protect stored products from insect infestation. J. Stored Prod. Res. 2004, 40, 1–25. [Google Scholar] [CrossRef]
- Germinara, G.S.; Conte, A.; Lecce, L.; Di Palma, A.; Del Nobile, M.A. Propionic acid in bio-based packaging to prevent Sitophilus granarius (L.) (Coleoptera, Dryophthoridae) infestation in cereal products. Innov. Food Sci. Emerg. Technol. 2010, 11, 498–502. [Google Scholar] [CrossRef]



| COMPOUNDS | R.T. | RIExp (1) | RILit (2) | % TOTAL ± S.E. (3) |
|---|---|---|---|---|
| β-Pinene | 12.54 | 932 | 932 | 0.40 ± 0.04 |
| β-Myrcene | 13.20 | 990 | 988 | 26.85 ± 4.89 |
| Methyl heptanoate | 14.64 | 1023 | 1021 | 0.21 ± 0.05 |
| Methyl 6-methyl-heptanoate | 16.50 | 1072 | 1070 | 0.14 ± 0.03 |
| 2-Nonanone | 17.40 | 1088 | 1087 | 0.31 ± 0.05 |
| β-Linalool | 18.17 | 1097 | 1095 | 0.72 ± 0.08 |
| Methyl octanoate | 19.33 | 1124 | 1123 | 0.20 ± 0.04 |
| 2-Decanone | 22.47 | 1188 | 1190 | 0.23 ± 0.04 |
| 3-Octen-1-ol, acetate | 26.79 | 1288 | 1290 | 0.24 ± 0.03 |
| Methyl dec-4-enoate | 26.99 | 1290 | 1289 | 1.05 ± 0.15 |
| 2-Undecanone | 27.21 | 1293 | 1293 | 13.63 ± 2.84 |
| Methyl decanoate | 28.28 | 1325 | 1326 | 0.13 ± 0.02 |
| α-Copaene | 30.57 | 1375 | 1374 | 0.21 ± 0.02 |
| β-Panasinsene | 30.98 | 1380 | 1381 | 0.57 ± 0.07 |
| 2-Dodecanone | 31.26 | 1390 | 1388 | 0.16 ± 0.02 |
| β-Caryophyllene | 32.47 | 1418 | 1417 | 13.74 ± 1.89 |
| β-Copaene | 32.78 | 1430 | 1430 | 0.26 ± 0.03 |
| γ-Elemene | 32.93 | 1435 | 1434 | 0.59 ± 0.06 |
| α-Humulene | 33.84 | 1460 | 1462 | 37.01 ± 5.31 |
| 4,5-di-epi-Aristolochene | 34.10 | 1471 | 1471 | 0.37 ± 0.06 |
| γ-Gurjunene | 34.50 | 1472 | 1475 | 0.60 ± 0.06 |
| γ-Selinene | 34.66 | 1474 | 1476 | 1.80 ± 0.24 |
| β-Selinene | 35.14 | 1490 | 1489 | 6.63 ± 0.12 |
| 2-Tridecanone | 35.31 | 1495 | 1495 | 1.09 ± 0.18 |
| α-Selinene | 35.50 | 1499 | 1498 | 8.70 ± 0.28 |
| (E,E)-α-Farnesene | 35.81 | 1507 | 1505 | 0.69 ± 0.07 |
| γ-Cadinene | 36.14 | 1515 | 1513 | 0.75 ± 0.06 |
| δ-Cadinene | 36.49 | 1524 | 1522 | 1.38 ± 0.21 |
| Selina-3,7(11)-diene | 37.20 | 1543 | 1545 | 0.72 ± 0.06 |
| Expos. Time (h) | EO | β-Myrcene | α-Humulene | β-Caryophyllene | ||||
|---|---|---|---|---|---|---|---|---|
| Dose (µg/Adult) | % Mortality (Mean ± S.E.) | Dose (µg/Adult) | % Mortality (Mean ± S.E.) | Dose (µg/Adult) | % Mortality (Mean ± S.E.) | Dose (µg/Adult) | % Mortality (Mean ± S.E.) | |
| 24 | 109.37 | 100.00 ± 0.00 a | 200.25 | 100.00 ± 0.00 a | 222.25 | 100.00 ± 0.00 a | 225.50 | 87.50 ± 3.66 a |
| 54.68 | 93.33 ± 4.22 ab | 100.12 | 70.00 ± 3.78 b | 111.12 | 97.50 ± 2.50 a | 112.75 | 35.00 ± 3.27 b | |
| 27.34 | 76.67 ± 6.15 bc | 50.06 | 37.50 ± 4.53 c | 55.56 | 77.50 ± 2.50 b | 56.37 | 17.50 ± 2.50 c | |
| 13.67 | 60.00 ± 5.16 c | 25.03 | 7.50 ± 3.66 d | 27.78 | 32.50 ± 5.26 c | 28.19 | 10.00 ± 3.78 cd | |
| 6.83 | 16.67 ± 6.15 d | 12.51 | 5.00 ± 3.27 d | 13.89 | 12.50 ± 5.26 d | 14.09 | 10.00 ± 3.78 cd | |
| 3.42 | 6.67 ± 4.22 d | 0.00 | 0.00 ± 0.00 d | 0.00 | 0.00 ± 0.00 d | 0.00 | 0.00 ± 0.00 d | |
| 0.00 | 0.00 ± 0.00 d | |||||||
| F | 90.40 | F | 169.44 | F | 170.80 | F | 104.28 | |
| d.f. | 6 | d.f. | 5 | d.f. | 5 | d.f. | 5 | |
| p | < 0.001 | p | < 0.001 | p | < 0.001 | p | < 0.001 | |
| 48 | 109.37 | 100.00 ± 0.00 a | 200.25 | 100.00 ± 0.00 a | 222.25 | 100.00 ± 0.00 a | 225.50 | 87.50 ± 3.66 a |
| 54.68 | 96.66 ± 3.33 ab | 100.12 | 72.50 ± 3.66 b | 111.12 | 100.00 ± 0.00 a | 112.75 | 40.00 ± 6.55 b | |
| 27.34 | 76.67 ± 6.15 bc | 50.06 | 37.50 ± 4.53 c | 55.56 | 97.50 ± 2.50 a | 56.37 | 20.00 ± 3.78 c | |
| 13.67 | 60.00 ± 5.16 c | 25.03 | 10.00 ± 3.78 d | 27.78 | 42.50 ± 2.50 b | 28.19 | 10.00 ± 3.78 cd | |
| 6.83 | 30.00 ± 6.83 d | 12.51 | 5.00 ± 3.27 d | 13.89 | 27.50 ± 7.50 b | 14.09 | 10.00 ± 3.78 cd | |
| 3.42 | 6.67 ± 4.22 e | 0.00 | 0.00 ± 0.00 d | 0.00 | 3.33 ± 3.33 c | 0.00 | 0.00 ± 0.00 d | |
| 0.00 | 3.33 ± 3.33 e | |||||||
| F | 76.18 | F | 170.04 | F | 108.11 | F | 62.72 | |
| d.f. | 6 | d.f. | 5 | d.f. | 5 | d.f. | 5 | |
| p | < 0.001 | p | < 0.001 | p | < 0.001 | p | < 0.001 | |
| Expos. Time (h) | EO | β-Myrcene | α-Humulene | β-Caryophyllene | |
|---|---|---|---|---|---|
| 24 | LD50 (95% CL, µg/adult) | 13.30 (10.66 – 16.44) | 75.91 (66.42 – 88.26) | 41.87 (27.89 – 66.07) | 138.51 (120.41 – 161.77) |
| LD90 (95% CL, µg/adult) | 40.23 (30.53 – 59.99) | 126.05 (109.63 – 151.83) | 73.51 (54.58 – 138.17) | 241.27 (209.65 – 288.77) | |
| regression equation | y = 2.666x – 2.996 | y = 0.026x – 1.94 | y = 0.041x – 1.696 | y = 0.013x – 1.73 | |
| χ2 | 2.04 | 5.05 | 11.09 | 3.61 | |
| 48 | LD50 (95% CL, µg/adult) | 11.77 (9.35 – 16.60) | 73.77 (64.48 – 85.79) | 26.83 (22.57 – 31.77) | 134.72 (116.68 – 157.92) |
| LD90 (95% CL, µg/adult) | 36.80 (27.74 − 55.73) | 123.42 (107.33 – 148.57) | 49.49 (42.62 – 60.49) | 238.69 (207.68 – 288.05) | |
| regression equation | y = 2.588x – 2.771 | y = 0.026x – 1.90 | y = 0.057x – 1.518 | y = 0.012x – 1.64 | |
| χ2 | 1.42 | 4.04 | 2.57 | 3.62 |
| Wheat Grains | EO | β-Myrcene | A-Humulene | β-Caryophyllene | ||||
|---|---|---|---|---|---|---|---|---|
| Dose (mg/L) | % Mortality (Mean ± S.E.) | Dose (mg/L) | % Mortality (Mean ± S.E.) | Dose (mg/L) | % Mortality (Mean ± S.E.) | Dose (mg/L) | % Mortality (Mean ± S.E.) | |
| NO | 210.00 | 100.00 ± 0.00 a | 146.85 | 100.00 ± 0.00 a | 183.73 | 100.00 ± 0.00 a | 210.47 | 100.00 ± 0.00 a |
| 180.83 | 76.67 ± 6.67 b | 106.80 | 73.33 ± 3.33 b | 154.09 | 63.33 ± 6.67 b | 165.37 | 66.67 ± 8.82 b | |
| 151.67 | 63.33 ± 3.33 b | 53.40 | 46.67 ± 3.33 c | 124.46 | 43.33 ± 3.33 c | 120.27 | 26.67 ± 6.67 c | |
| 122.50 | 36.67 ± 3.33 c | 26.70 | 6.67 ± 3.33 d | 94.83 | 13.33 ± 3.33 d | 60.13 | 23.33 ± 3.33 cd | |
| 93.33 | 20.00 ± 5.77 cd | 13.35 | 3.33 ± 3.33 d | 47.41 | 10.00 ± 5.77 d | 30.07 | 13.33 ± 8.82 cd | |
| 46.67 | 10.00 ± 5.77 de | 6.68 | 3.33 ± 3.33 d | 23.71 | 0.00 ± 0.00 d | 15.03 | 3.33 ± 3.33 cd | |
| 23.33 | 6.67 ± 6.67 de | 3.34 | 0.00 ± 0.00 d | 11.85 | 6.67 ± 3.33 d | 7.52 | 0.0 ± 0.0 d | |
| 11.67 * | 0.00 ± 0.00 d | 0.00 | 0.00 ± 0.00 d | 5.93 * | 0.0 ± 0.0 d | 3.76 | 0.0 ± 0.0 d | |
| 0.00 | 0.00 ± 0.00 e | 0.00 | 0.0 ± 0.0 d | 0.00 | 0.0 ± 0.0 d | |||
| F | 86.69 | F | 113.34 | F | 113.34 | F | 49.81 | |
| d.f. | 12 | d.f. | 7 | d.f. | 11 | d.f. | 8 | |
| P | <0.001 | P | <0.001 | P | <0.001 | P | <0.001 | |
| YES | 210.00 | 100.00 ± 0.00 a | 186.90 | 100.00 ± 0.00 a | 213.36 | 100.00 ± 0.00 a | 240.53 | 100.00 ± 0.00 a |
| 180.83 | 73.33 ± 8.82 b | 146.85 | 63.33 ± 6.67 b | 183.73 | 56.67 ± 8.82 b | 210.47 | 63.33 ± 3.33 b | |
| 151.67 | 60.00 ± 5.77 b | 106.80 | 40.00 ± 5.77 c | 154.09 | 26.67 ± 3.33 c | 165.37 | 36.57 ± 3.33 c | |
| 122.50 | 36.67 ± 3.33 c | 53.40 | 13.33 ± 6.67 d | 124.46 | 13.33 ± 3.33 cd | 120.27 | 20.00 ± 5.77 d | |
| 93.33 | 16.67 ± 3.33 d | 26.70 | 3.33 ± 3.33 d | 94.83 | 10.00 ± 5.77 cd | 60.13 | 6.67 ± 3.33 e | |
| 46.67 | 10.00 ± 5.77 d | 13.35 | 0.00 ± 0.00 d | 47.41 | 6.67 ± 6.67 d | 30.07 | 0.00 ± 0.00 e | |
| 23.33 | 3.33 ± 3.33 d | 6.68 | 0.00 ± 0.00 d | 23.71 | 3.33 ± 3.33 d | 15.03 | 0.00 ± 0.00 e | |
| 11.67 * | 0.00 ± 0.00 d | 3.34 | 0.00 ± 0.00 d | 11.85 * | 0.00 ± 0.00 d | 7.52 * | 0.00 ± 0.00 e | |
| 0.00 | 0.00 ± 0.00 d | 0.00 | 0.00 ± 0.00 d | 0.00 | 0.00 ± 0.00 d | 0.00 | 0.00 ± 0.00 e | |
| F | 84.02 | F | 87.94 | F | 61.05 | F | 177.70 | |
| d.f. | 12 | d.f. | 8 | d.f. | 12 | d.f. | 9 | |
| p | < 0.001 | p | < 0.001 | p | < 0.001 | p | < 0.001 | |
| WG | EO | β-Myrcene | α-Humulene | β-Caryophyllene | |
|---|---|---|---|---|---|
| NO | LC50 (95% CL, mg/L) | 132.41 (121.89 – 143.89) | 72.78 (63.91 – 83.35) | 127.23 (108.94 – 150.14) | 128.15 (103.8 ± 5 – 161.07) |
| LC90 (95% CL, mg/L) | 198.98 (183.32 – 219.86) | 116.92 (103.50 – 135.95) | 188.49 (162.78 – 234.61) | 205.67 (170.39 – 272.64) | |
| regression equation | y = 0.019x – 2.55 | y = 0.029x – 2.11 | y = 0.021x – 2.66 | y = 0.017x – 2.12 | |
| χ2 | 10.34 | 9.17 | 23.55 | 16.07 | |
| YES | LC50 (95% CL, mg/L) | 136.37 (125.88 – 147.79) | 115.78 (104.79 – 127.91) | 164.95 (145.95 – 190.06) | 172.60 (159.15 – 187.08) |
| LC90 (95% CL, mg/L) | 201.48 (185.91 – 222.51) | 171.42 (155.90 – 193.13) | 234.39 (205.43 – 289.39) | 244.78 (225.37 – 272.90) | |
| regression equation | y = 0.020x – 2.68 | y = 0.023x – 2.67 | y = 0.018x – 3.04 | y = 0.018x – 3.06 | |
| χ2 | 8.64 | 5.61 | 23.02 | 9.88 |
© 2020 by the authors. Licensee MDPI, Basel, Switzerland. This article is an open access article distributed under the terms and conditions of the Creative Commons Attribution (CC BY) license (http://creativecommons.org/licenses/by/4.0/).
Share and Cite
Paventi, G.; de Acutis, L.; De Cristofaro, A.; Pistillo, M.; Germinara, G.S.; Rotundo, G. Biological Activity of Humulus lupulus (L.) Essential Oil and Its Main Components against Sitophilus granarius (L.). Biomolecules 2020, 10, 1108. https://doi.org/10.3390/biom10081108
Paventi G, de Acutis L, De Cristofaro A, Pistillo M, Germinara GS, Rotundo G. Biological Activity of Humulus lupulus (L.) Essential Oil and Its Main Components against Sitophilus granarius (L.). Biomolecules. 2020; 10(8):1108. https://doi.org/10.3390/biom10081108
Chicago/Turabian StylePaventi, Gianluca, Laura de Acutis, Antonio De Cristofaro, Marco Pistillo, Giacinto S. Germinara, and Giuseppe Rotundo. 2020. "Biological Activity of Humulus lupulus (L.) Essential Oil and Its Main Components against Sitophilus granarius (L.)" Biomolecules 10, no. 8: 1108. https://doi.org/10.3390/biom10081108
APA StylePaventi, G., de Acutis, L., De Cristofaro, A., Pistillo, M., Germinara, G. S., & Rotundo, G. (2020). Biological Activity of Humulus lupulus (L.) Essential Oil and Its Main Components against Sitophilus granarius (L.). Biomolecules, 10(8), 1108. https://doi.org/10.3390/biom10081108

