Mechanisms of 1s Double-Core-Hole Excitation and Decay in Neon
Abstract
:1. Introduction
2. Models and the Photoabsorption Spectrum
- (i)
- in the first model we include only articipator configurations (-model):with all possible total orbital and spin angular momenta;
- (ii)
- in the second model we add to the -model pectator configurations (-model) with an -electron (n = 3–8) and also configurations with and electrons, which results in the following set:
3. Photoelectron Spectrum and Angular Distribution
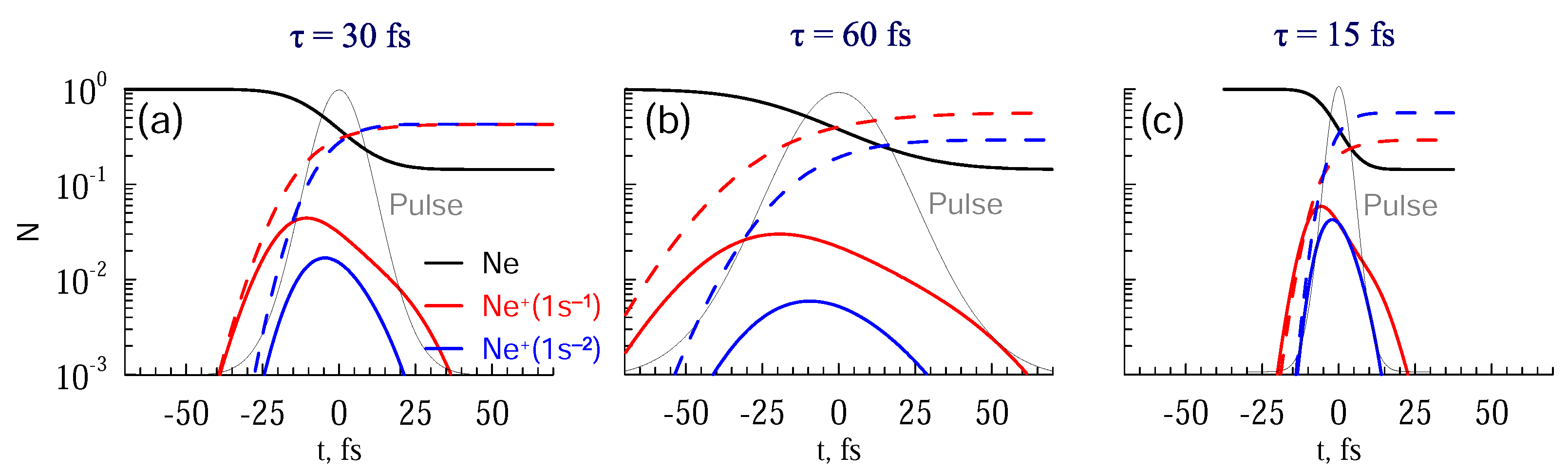
4. Population of Atomic and Ionic States in Multiple Ionization
5. Conclusions
Author Contributions
Funding
Data Availability Statement
Acknowledgments
Conflicts of Interest
References
- Cederbaum, L.S.; Tarantelli, F.; Sgamellotti, A.; Schirmer, J. On double vacancies in the core. J. Chem. Phys. 1986, 85, 6513. [Google Scholar] [CrossRef]
- Eland, J.H.D.; Tashiro, M.; Linusson, P.; Ehara, M.; Ueda, K.; Feifel, R. Double Core Hole Creation and Subsequent Auger Decay in NH3 and CH4 Molecules. Phys. Rev. Lett. 2010, 105, 213005. [Google Scholar] [CrossRef] [Green Version]
- Berrah, N. Molecular dynamics induced by short and intense x-ray pulses from the LCLS. Phys. Scr. 2016, T169, 014001. [Google Scholar] [CrossRef] [Green Version]
- Charpak, G.; Hebd, C.R. Molecular single photon double K-shell ionization. Seances Acad. Sci. 1953, 237, 243. [Google Scholar]
- Püttner, R.; Goldsztejn, G.; Céolin, D.; Rueff, J.P.; Moreno, T.; Kushawaha, R.K.; Marchenko, T.; Guillemin, R.; Journel, L.; Lindle, D.W.; et al. Direct Observation of Double-Core-Hole Shake-Up States in Photoemission. Phys. Rev. Lett. 2015, 114, 093001. [Google Scholar] [CrossRef] [PubMed]
- Goldsztejn, G.; Marchenko, T.; Püttner, R.; Journel, L.; Guillemin, R.; Carniato, S.; Selles, P.; Travnikova, O.; Céolin, D.; Lago, A.F.; et al. Double-Core-Hole States in Neon: Lifetime, Post-Collision Interaction, and Spectral Assignment. Phys. Rev. Lett. 2016, 117, 133001. [Google Scholar] [CrossRef]
- Goldsztejn, G.; Püttner, R.; Journel, L.; Guillemin, R.; Travnikova, O.; Cunha de Miranda, B.; Ismail, I.; Carniato, S.; Selles, P.; Céolin, D.; et al. Experimental and theoretical study of the double-core-hole hypersatellite Auger spectrum of Ne. Phys. Rev. A 2017, 96, 012513. [Google Scholar] [CrossRef] [Green Version]
- Perry-Sassmannshausen, A.; Buhr, T.; Borovik, A.; Martins, M.; Reinwardt, S.; Ricz, S.; Stock, S.O.; Trinter, F.; Müller, A.; Fritzsche, S.; et al. Multiple Photodetachment of Carbon Anions via Single and Double Core-Hole Creation. Phys. Rev. Lett. 2020, 124, 083203. [Google Scholar] [CrossRef] [PubMed] [Green Version]
- Schippers, S.; Beerwerth, R.; Abrok, L.; Bari, S.; Buhr, T.; Martins, M.; Ricz, S.; Viefhaus, J.; Fritzsche, S.; Müller, A. Prominent role of multielectron processes in K-shell double and triple photodetachment of oxygen anions. Phys. Rev. A 2016, 94, 041401. [Google Scholar] [CrossRef] [Green Version]
- Kuetgens, U.; Hormes, J. Thresholds of the K+L double photoexcitation in argon. Phys. Rev. A 1991, 44, 264–267. [Google Scholar] [CrossRef] [PubMed]
- Štuhec, M.; Kodre, A.; Hribar, M.; Glavič-Cindro, D.; Arčon, I.; Drube, W. Configuration interaction in argon KL resonances. Phys. Rev. A 1994, 49, 3104–3105. [Google Scholar] [CrossRef] [PubMed] [Green Version]
- Dousse, J.C.; Hoszowska, J. L- and M-shell-electron shake processes following 1s photoionization in argon and krypton. Phys. Rev. A 1997, 56, 4517–4531. [Google Scholar] [CrossRef]
- Nakano, M.; Selles, P.; Lablanquie, P.; Hikosaka, Y.; Penent, F.; Shigemasa, E.; Ito, K.; Carniato, S. Near-Edge X-Ray Absorption Fine Structures Revealed in Core Ionization Photoelectron Spectroscopy. Phys. Rev. Lett. 2013, 111, 123001. [Google Scholar] [CrossRef] [PubMed]
- Salén, P.; van der Meulen, P.; Schmidt, H.T.; Thomas, R.D.; Larsson, M.; Feifel, R.; Piancastelli, M.N.; Fang, L.; Murphy, B.; Osipov, T.; et al. Experimental Verification of the Chemical Sensitivity of Two-Site Double Core-Hole States Formed by an X-Ray Free-Electron Laser. Phys. Rev. Lett. 2012, 108, 153003. [Google Scholar] [CrossRef] [Green Version]
- Berrah, N.; Fang, L.; Murphy, B.; Osipov, T.; Ueda, K.; Kukk, E.; Feifel, R.; van der Meulen, P.; Salen, P.; Schmidt, H.T.; et al. Double-core-hole spectroscopy for chemical analysis with an intense X-ray femtosecond laser. Proc. Natl. Acad. Sci. USA 2011, 108, 16912–16915. [Google Scholar] [CrossRef] [Green Version]
- Mazza, T.; Ilchen, M.; Kiselev, M.D.; Gryzlova, E.V.; Baumann, T.M.; Boll, R.; De Fanis, A.; Grychtol, P.; Montaño, J.; Music, V.; et al. Mapping Resonance Structures in Transient Core-Ionized Atoms. Phys. Rev. X 2020, 10, 041056. [Google Scholar] [CrossRef]
- Lambropoulos, P.; Nikolopoulos, G.M.; Papamihail, K.G. Route to direct multiphoton multiple ionization. Phys. Rev. A 2011, 83, 021407. [Google Scholar] [CrossRef] [Green Version]
- Son, S.K.; Young, L.; Santra, R. Impact of hollow-atom formation on coherent x-ray scattering at high intensity. Phys. Rev. A 2011, 83, 033402. [Google Scholar] [CrossRef] [Green Version]
- Hadjipittas, A.; Banks, H.I.B.; Bergues, B.; Emmanouilidou, A. Sequential single-photon and direct two-photon absorption processes for Xe interacting with attosecond XUV pulses. Phys. Rev. A 2020, 102, 043108. [Google Scholar] [CrossRef]
- Yarzhemsky, V.; Sgamellotti, A. Auger rates of second-row atoms calculated by many-body perturbation theory. J. Electron Spectrosc. Relat. Phenom. 2002, 125, 13–24. [Google Scholar] [CrossRef]
- Svensson, S.; Eriksson, B.; Martensson, N.; Wendin, G.; Gelius, U. Electron shake-up and correlation satellites and continuum shake-off distributions in X-Ray photoelectron spectra of the rare gas atoms. J. Electron Spectrosc. Relat. Phenom. 1988, 47, 327–384. [Google Scholar] [CrossRef]
- Chen, M.H. Auger transition rates and fluorescence yields for the double-K-hole state. Phys. Rev. A 1991, 44, 239–242. [Google Scholar] [CrossRef] [PubMed]
- Yoshida, H.; Sasaki, J.; Kawabe, Y.; Senba, Y.; Fanis, A.D.; Oura, M.; Fritzsche, S.; Sazhina, I.P.; Kabachnik, N.M.; Ueda, K. Study of second-step Auger transitions in Auger cascades following 1s → 3p photoexcitation in Ne. J. Phys. B At. Mol. Opt. Phys. 2005, 38, 465–486. [Google Scholar] [CrossRef]
- Gorczyca, T.W. Auger decay of the photoexcited 1 s−1np Rydberg series in neon. Phys. Rev. A 2000, 61, 024702. [Google Scholar] [CrossRef]
- Novikovskiy, N.M.; Rezvan, D.V.; Ivanov, N.M.; Petrov, I.D.; Lagutin, B.M.; Knie, A.; Ehresmann, A.; Demekhin, P.V.; Sukhorukov, V.L. Rearrangement of electron shells and interchannel interaction in the K photoabsorption of Ne. Eur. Phys. J. D 2019, 73, 22. [Google Scholar] [CrossRef]
- Southworth, S.H.; Kanter, E.P.; Krässig, B.; Young, L.; Armen, G.B.; Levin, J.C.; Ederer, D.L.; Chen, M.H. Double K-shell photoionization of neon. Phys. Rev. A 2003, 67, 062712. [Google Scholar] [CrossRef] [Green Version]
- Novikov, S.A.; Hopersky, A.N. Two-photon knocking-out of two electrons of the 1s2-shell of the neon atom. J. Phys. B At. Mol. Opt. Phys. 2002, 35, L339–L343. [Google Scholar] [CrossRef]
- Kramida, A.; Ralchenko, Y.; Reader, J.; NIST ASD Team (2021). NIST Atomic Spectra Database (version 5.9). 2021. Available online: https://physics.nist.gov/asd (accessed on 30 October 2021).
- Zatsarinny, O. BSR: B-spline atomic R-matrix codes. Comput. Phys. Commun. 2006, 174, 273–356. [Google Scholar] [CrossRef]
- Fischer, C.F.; Brage, T.; Johnsson, P. Computational Atomic Structure: An MCHF Approach; IOP Publishing: Bristol, UK, 1997. [Google Scholar]
- Gryzlova, E.V.; Kiselev, M.D.; Popova, M.M.; Zubekhin, A.A.; Sansone, G.; Grum-Grzhimailo, A.N. Multiple Sequential Ionization of Valence n = 4 Shell of Krypton by Intense Femtosecond XUV Pulses. Atoms 2020, 8, 80. [Google Scholar] [CrossRef]






| Configuration | Model | Model | Model | Model |
|---|---|---|---|---|
| Width, meV | Lifetime, fs | |||
| 5.6 | 740 | 117.5 | 0.88 | |
| 2.3 | 650 | 286.1 | 1.02 | |
| 1.1 | - | 598.4 | - | |
| 0.57 | - | 1154.8 | - | |
| Target | Configuration | Term | BR (Model ) | BR (Model ) |
|---|---|---|---|---|
| 1 | 62.0 | 1.12 | ||
| 2 | 38.0 | 0.60 | ||
| 3 | - | 0.68 | ||
| 4 | - | 0.29 | ||
| 5 | - | 1.85 | ||
| 6 | - | 6.77 | ||
| 7 | - | 1.40 | ||
| 8 | - | 2.81 | ||
| 9 | - | 4.93 | ||
| 10 | - | 15.22 | ||
| 11 | - | 7.23 | ||
| 12 | - | 21.61 | ||
| 13 | - | 0.003 | ||
| 14 | - | 0.62 | ||
| 15 | - | 4.70 | ||
| 16 | - | 2.15 | ||
| 17 | - | 0.19 | ||
| 18 | - | 0.18 | ||
| 19 | - | 0.62 | ||
| 20 | - | 3.60 | ||
| 21 | - | 1.23 | ||
| 22 | - | 0.74 | ||
| 23 | - | 0.32 | ||
| 24 | - | 2.21 | ||
| 25 | - | 2.06 | ||
| 26 | - | 1.06 | ||
| 27 | - | 0.44 | ||
| 28 | - | |||
| 29 | - | |||
| 30 | - | 0.02 | ||
| 31 | - | 0.14 | ||
| 32 | - | 0.70 | ||
| 33 | - | 2.45 | ||
| 34 | - | 0.84 | ||
| Sum | 100.0 | 88.33 | ||
| Target | Configuration | Term | BR (Model ) | BR (Model ) |
|---|---|---|---|---|
| 1 | 96.5 | 1.70 | ||
| 2 | 3.5 | 0.55 | ||
| 3 | - | 2.05 | ||
| 4 | - | 0.38 | ||
| 5 | - | 1.59 | ||
| 6 | - | 4.64 | ||
| 7 | - | 0.04 | ||
| 8 | - | 0.65 | ||
| 9 | - | 3.46 | ||
| 10 | - | 10.00 | ||
| 11 | - | 4.64 | ||
| 12 | - | 13.42 | ||
| 13 | - | |||
| 14 | - | 0.04 | ||
| 15 | - | 2.94 | ||
| 16 | - | 1.65 | ||
| 17 | - | 0.003 | ||
| 18 | - | 0.014 | ||
| 19 | - | 0.72 | ||
| 20 | - | 3.77 | ||
| 21 | - | 1.30 | ||
| 22 | - | 0.79 | ||
| 23 | - | 0.34 | ||
| 24 | - | 2.32 | ||
| 25 | - | 2.21 | ||
| 26 | - | 1.36 | ||
| 27 | - | 0.48 | ||
| 28 | - | |||
| 29 | - | |||
| 30 | - | 0.01 | ||
| 31 | - | 0.14 | ||
| 32 | - | 0.77 | ||
| 33 | - | 2.62 | ||
| 34 | - | 0.91 | ||
| Sum | 100.0 | 65.51 | ||
| Target | Configuration | Term | Probability (Model ) |
|---|---|---|---|
| 1 | 93.60 | ||
| 2 | 0.07 | ||
| 3 | 0.03 | ||
| 4 | 0.90 | ||
| 5 | 0.08 | ||
| 6 | 0.017 | ||
| 7 | 1.40 | ||
| Sum () | 2.50 | ||
| 8 | 0.02 | ||
| 9 | 0.012 | ||
| 10 | 1.22 | ||
| 11 | 0.021 | ||
| 12 | 0.006 | ||
| 13 | 1.16 | ||
| Sum () | 2.44 | ||
| 14 | 0.01 | ||
| 15 | 0.005 | ||
| 16 | 0.97 | ||
| 17 | 0.009 | ||
| 18 | 0.003 | ||
| 19 | 0.45 | ||
| Sum () | 1.45 | ||
| Target | Configuration | Term | Probability (Model ) |
|---|---|---|---|
| 1 | 92.20 | ||
| 2 | 0.87 | ||
| 3 | 0.35 | ||
| 4 | 0.25 | ||
| 5 | 0.13 | ||
| 6 | 0.04 | ||
| 7 | 2.60 | ||
| Sum () | 4.24 | ||
| 8 | 0.33 | ||
| 9 | 0.15 | ||
| 10 | 0.08 | ||
| 11 | 0.08 | ||
| 12 | 0.025 | ||
| 13 | 0.98 | ||
| Sum () | 1.65 | ||
| 15 | 0.17 | ||
| 18 | 0.08 | ||
| 14 | 0.03 | ||
| 16 | 0.05 | ||
| 17 | 0.03 | ||
| 19 | 1.58 | ||
| Sum () | 1.94 | ||
Publisher’s Note: MDPI stays neutral with regard to jurisdictional claims in published maps and institutional affiliations. |
© 2021 by the authors. Licensee MDPI, Basel, Switzerland. This article is an open access article distributed under the terms and conditions of the Creative Commons Attribution (CC BY) license (https://creativecommons.org/licenses/by/4.0/).
Share and Cite
Kiselev, M.D.; Gryzlova, E.V.; Burkov, S.M.; Zatsarinny, O.; Grum-Grzhimailo, A.N. Mechanisms of 1s Double-Core-Hole Excitation and Decay in Neon. Atoms 2021, 9, 114. https://doi.org/10.3390/atoms9040114
Kiselev MD, Gryzlova EV, Burkov SM, Zatsarinny O, Grum-Grzhimailo AN. Mechanisms of 1s Double-Core-Hole Excitation and Decay in Neon. Atoms. 2021; 9(4):114. https://doi.org/10.3390/atoms9040114
Chicago/Turabian StyleKiselev, Maksim D., Elena V. Gryzlova, Sergei M. Burkov, Oleg Zatsarinny, and Alexei N. Grum-Grzhimailo. 2021. "Mechanisms of 1s Double-Core-Hole Excitation and Decay in Neon" Atoms 9, no. 4: 114. https://doi.org/10.3390/atoms9040114
APA StyleKiselev, M. D., Gryzlova, E. V., Burkov, S. M., Zatsarinny, O., & Grum-Grzhimailo, A. N. (2021). Mechanisms of 1s Double-Core-Hole Excitation and Decay in Neon. Atoms, 9(4), 114. https://doi.org/10.3390/atoms9040114

