Taking the Convergent Close-Coupling Method beyond Helium: The Utility of the Hartree-Fock Theory
Abstract
1. Introduction
2. Theory
3. Results
3.1. Electron-Lithium Excitation
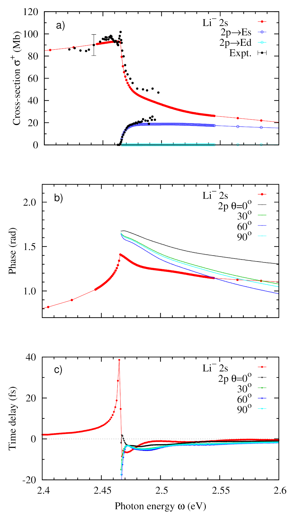
3.2. Double Photoionisation
3.3. Atomic, Molecular and Optical Science Gateway
4. Conclusions
Author Contributions
Funding
Institutional Review Board Statement
Informed Consent Statement
Data Availability Statement
Acknowledgments
Conflicts of Interest
References
- Weigold, E.; Frost, L.; Nygaard, K.J. Large-angle electron-photon coincidence experiment in atomic hydrogen. Phys. Rev. A 1980, 21, 1950–1954. [Google Scholar] [CrossRef]
- Williams, J.F. Electron-photon angular correlations from the electron impact excitation of the 2s and 2p electronic configurations of atomic hydrogen. J. Phys. B At. Mol. Opt. Phys. 1981, 14, 1197–1217. [Google Scholar] [CrossRef]
- Bray, I.; Stelbovics, A.T. Explicit demonstration of the convergence of the close-coupling method for a Coulomb three-body problem. Phys. Rev. Lett. 1992, 69, 53–56. [Google Scholar] [CrossRef]
- Bray, I.; Stelbovics, A.T. Convergent close-coupling calculations of electron-hydrogen scattering. Phys. Rev. A 1992, 46, 6995–7011. [Google Scholar] [CrossRef] [PubMed]
- Bray, I.; Stelbovics, A.T. Calculation of the total ionization cross section and spin asymmetry in electron-hydrogen scattering. Phys. Rev. Lett. 1993, 70, 746–749. [Google Scholar] [CrossRef] [PubMed]
- Karaganov, V.; Bray, I.; Teubner, P.J.O.; Farrell, P. Super-elastic electron scattering on lithium. Phys. Rev. A 1996, 54, R9–R12. [Google Scholar] [CrossRef]
- Karaganov, V.; Bray, I.; Teubner, P.J.O. Super-elastic electron-lithium scattering at 7 and 14 eV. J. Phys. B At. Mol. Opt. Phys. 1998, 31, L187–L191. [Google Scholar] [CrossRef]
- Karaganov, V.; Bray, I.; Teubner, P.J.O. Electron scattering from optically pumped lithium atoms. Phys. Rev. A 1999, 59, 4407–4417. [Google Scholar] [CrossRef]
- McClelland, J.J.; Kelley, M.H.; Celotta, R.J. Superelastic scattering of spin-polarized electrons from sodium. Phys. Rev. A 1989, 40, 2321–2329. [Google Scholar] [CrossRef]
- Scholten, R.E.; Lorentz, S.R.; McClelland, J.J.; Kelley, M.H.; Celotta, R.J. Spin-resolved superelastic scattering from sodium at 10 and 40 eV. J. Phys. B At. Mol. Opt. Phys. 1991, 24, L653–L659. [Google Scholar] [CrossRef]
- Lorentz, S.R.; Scholten, R.E.; McClelland, J.J.; Kelley, M.H.; Celotta, R.J. Spin-resolved elastic scattering of electrons from sodium below the inelastic threshold. Phys. Rev. Lett. 1991, 67, 3761. [Google Scholar] [CrossRef] [PubMed]
- Scholten, R.E.; Shen, G.F.; Teubner, P.J.O. Superelastic electron scattering from sodium: Alignment and orientation parameters. J. Phys. B At. Mol. Opt. Phys. 1993, 26, 987. [Google Scholar] [CrossRef]
- Stockman, K.A.; Karaganov, V.; Bray, I.; Teubner, P.J.O. Superelastic Electron Scattering from Potassium. J. Phys. B At. Mol. Opt. Phys. 1998, 31, L867–L872. [Google Scholar] [CrossRef]
- Stockman, K.A.; Karaganov, V.; Bray, I.; Teubner, P.J.O. Electron impact excitation of the 42 P state in potassium at 54.4 eV: Differential cross section, alignment and orientation parameters. J. Phys. B At. Mol. Opt. Phys. 1999, 32, 3003–3013. [Google Scholar] [CrossRef]
- Stockman, K.A.; Karaganov, V.; Bray, I.; Teubner, P.J.O. Electron scattering from laser excited states of potassium from 3 to 100 eV. J. Phys. B At. Mol. Opt. Phys. 2001, 34, 1105–1114. [Google Scholar] [CrossRef]
- Chernysheva, L.V.; Cherepkov, N.A.; Radojevic, V. Self-consistent field Hartree-Fock program for atoms. Comp. Phys. Comm. 1976, 11, 57. [Google Scholar] [CrossRef]
- Chernysheva, L.V.; Cherepkov, N.A.; Radojevic, V. Frozen core Hartree-Fock program for atomic discrete and continuous states. Comp. Phys. Comm. 1979, 18, 87–100. [Google Scholar] [CrossRef]
- Bray, I. Convergent close-coupling method for the calculation of electron scattering on hydrogen-like targets. Phys. Rev. A 1994, 49, 1066–1082. [Google Scholar] [CrossRef]
- Fursa, D.V.; Bray, I. Calculation of electron-helium scattering. Phys. Rev. A 1995, 52, 1279–1298. [Google Scholar] [CrossRef]
- Fursa, D.V.; Bray, I. Convergent close-coupling calculations of electron-beryllium scattering. J. Phys. B At. Mol. Opt. Phys. 1997, 30, L273–L277. [Google Scholar] [CrossRef]
- Fursa, D.V.; Bray, I. Convergent close-coupling calculations of electron scattering on helium-like atoms and ions; electron-beryllium scattering. J. Phys. B At. Mol. Opt. Phys. 1997, 30, 5895–5913. [Google Scholar] [CrossRef]
- Bray, I.; Stelbovics, A.T. Calculation of Electron Scattering on Hydrogenic Targets. In Advances In Atomic, Molecular, and Optical Physics; Academic Press: Cambridge, MA, USA, 1995; Volume 35, pp. 209–254. [Google Scholar] [CrossRef]
- Fursa, D.V.; Bray, I. TOPICAL REVIEW: Convergent close-coupling calculations of electron-helium scattering. J. Phys. B At. Mol. Opt. Phys. 1997, 30, 757–785. [Google Scholar] [CrossRef]
- Bray, I.; Fursa, D.V.; Kadyrov, A.S.; Stelbovics, A.T.; Kheifets, A.S.; Mukhamedzhanov, A.M. Electron- and photon-impact atomic ionisation. Phys. Rep. 2012, 520, 135–174. [Google Scholar] [CrossRef]
- Bray, I.; Abdurakhmanov, I.B.; Bailey, J.J.; Bray, A.W.; Fursa, D.V.; Kadyrov, A.S.; Rawlins, C.M.; Savage, J.S.; Stelbovics, A.T.; Zammit, M.C. Convergent close-coupling approach to light and heavy projectile scattering on atomic and molecular hydrogen. J. Phys. B At. Mol. Opt. Phys. 2017, 50, 202001. [Google Scholar] [CrossRef]
- Yalim, H.; Cvejanovic, D.; Crowe, A. 1s-2p excitation of atomic hydrogen by electron impact studied using the angular correlation technique. Phys. Rev. Lett. 1997, 79, 2951–2954. [Google Scholar] [CrossRef]
- O’Neill, R.W.; van der Burgt, P.J.M.; Dziczek, D.; Bowe, P.; Chwirot, S.; Slevin, J.A. Polarization correlation measurements of electron impact excitation of H(2p) at 54.4 eV. Phys. Rev. Lett. 1998, 80, 1630–1633. [Google Scholar] [CrossRef]
- Williams, J.F.; Mikosza, A.G. Atomic hydrogen revisited: Electron impact excitation to H(2p) at 54 eV. J. Phys. B At. Mol. Opt. Phys. 2006, 39, 4113–4122. [Google Scholar] [CrossRef]
- Mergel, V.; Achler, M.; Dörner, R.; Khayyat, K.; Kambara, T.; Awaya, Y.; Zoran, V.; Nyström, B.; Spielberger, L.; McGuire, J.H.; et al. Helicity Dependence of the Photon-Induced Three-Body Coulomb Fragmentation of Helium Investigated by Cold Target Recoil Ion Momentum Spectroscopy. Phys. Rev. Lett. 1998, 80, 5301–5304. [Google Scholar] [CrossRef]
- Kheifets, A.S.; Bray, I. Calculation of circular dichroism in helium double photoionization. Phys. Rev. Lett. 1998, 81, 4588–4591. [Google Scholar] [CrossRef]
- Achler, M.; Mergel, V.; Spielberger, L.; Dorner, R.; Azuma, Y.; Schmidt-Böcking, H. Photo double ionization of He by circular and linear polarized single-photon absorption. J. Phys. B At. Mol. Opt. Phys. 2001, 34, 965–981. [Google Scholar] [CrossRef]
- Lahmam-Bennani, A.; Duguet, A.; Gaboriaud, M.N.; Taouil, I.; Lecas, M.; Kheifets, A.S.; Berakdar, J.; Cappello, C.D. Complete experiments for the double ionisation of He: (e,3e) cross sections at 1 keV impact energy and small momentum transfer. J. Phys. B At. Mol. Opt. Phys. 2001, 34, 3073–3087. [Google Scholar] [CrossRef][Green Version]
- Sakhelashvili, G.; Dorn, A.; Höhr, C.; Ullrich, J.; Kheifets, A.S.; Lower, J.; Bartschat, K. Triple Coincidence (e, γ 2e) Experiment for Simultaneous Electron Impact Ionization Excitation of Helium. Phys. Rev. Lett. 2005, 95, 033201. [Google Scholar] [CrossRef] [PubMed]
- Kheifets, A.S.; Ivanov, I.A. Convergent close-coupling calculations of two-photon double ionization of helium. J. Phys. B At. Mol. Opt. Phys. 2006, 39, 1731–1742. [Google Scholar] [CrossRef][Green Version]
- Kheifets, A.S.; Bray, I. Valence-shell double photoionization of alkaline-earth-metal atoms. Phys. Rev. A 2007, 75, 042703. [Google Scholar] [CrossRef]
- Wehlitz, R. Simultaneous emission of multiple electrons from atoms and molecules using synchrotron radiation. Adv. At. Mol. Opt. Phys. 2010, 58, 1–76. [Google Scholar] [CrossRef]
- Schultze, M.; Fiess, M.; Karpowicz, N.; Gagnon, J.; Korbman, M.; Hofstetter, M.; Neppl, S.; Cavalieri, A.L.; Komninos, Y.; Mercouris, T.; et al. Delay in Photoemission. Science 2010, 328, 1658–1662. [Google Scholar] [CrossRef]
- Klünder, K.; Dahlström, J.M.; Gisselbrecht, M.; Fordell, T.; Swoboda, M.; Guénot, D.; Johnsson, P.; Caillat, J.; Mauritsson, J.; Maquet, A.; et al. Probing Single-Photon Ionization on the Attosecond Time Scale. Phys. Rev. Lett. 2011, 106, 143002. [Google Scholar] [CrossRef]
- Kheifets, A.S.; Ivanov, I.A.; Bray, I. Timing analysis of two-electron photoemission. J. Phys. B At. Mol. Opt. Phys. 2011, 44, 101003. [Google Scholar] [CrossRef]
- Kheifets, A.S.; Bray, A.W.; Bray, I. Attosecond Time Delay in Photoemission and Electron Scattering near Threshold. Phys. Rev. Lett. 2016, 117, 143202. [Google Scholar] [CrossRef]
- Kheifets, A.S.; Bray, I. Time delay in two-electron photodetachment and tests of fundamental threshold laws. Phys. Rev. Res. 2021, 3, 043017. [Google Scholar] [CrossRef]
- Schneider, B.I.; Bartschat, K.; Zatsarinny, O.; Hamilton, K.R.; Bray, I.; Scrinzi, A.; Martin, F.; Gonzalez Vasquez, J.; Tennyson, J.; Gorfinkiel, J.D.; et al. Atomic and Molecular Scattering Applications in an Apache Airavata Science Gateway. In Practice and Experience in Advanced Research Computing; PEARC’20, Association for Computing Machinery: New York, NY, USA, 2020; pp. 270–277. [Google Scholar] [CrossRef]
- Bederson, B. Perfect scattering experiment I. Comments At. Mol. Phys. 1969, 1, 41. [Google Scholar]
- Bederson, B. Perfect scattering experiment II. Comments At. Mol. Phys. 1969, 1, 65. [Google Scholar]
- Andersen, N.; Gallagher, J.W.; Hertel, I.V. Collisional alignment and orientation of atomic outer shells. Phys. Rep. 1988, 165, 1–188. [Google Scholar] [CrossRef]
- Andersen, N.; Bartschat, K.; Broad, J.T.; Hertel, I.V. Collisional alignment and orientation of atomic outer shells. III. Spin-resolved excitation. Phys. Rep. 1997, 279, 251–396. [Google Scholar] [CrossRef]
- Kheifets, A.S.; Bray, I. Calculation of double photoionization of helium using the convergent close-coupling method. Phys. Rev. A 1996, 54, R995–R997. [Google Scholar] [CrossRef]
- Dyall, K.G.; Grant, I.P.; Johnson, C.T.; Parpia, F.P.; Plummer, E.P. GRASP: A general-purpose relativistic atomic structure program. Comp. Phys. Comm. 1989, 55, 425–456. [Google Scholar] [CrossRef]
- Amusia, M.Y. Atomic Photoeffect; Plenum Press: New York, NY, USA, 1990. [Google Scholar]
- Andersen, H.H.; Balling, P.; Kristensen, P.; Pedersen, U.V.; Aseyev, S.A.; Petrunin, V.V.; Andersen, T. Positions and Isotope Shifts of the H− (1P0) Dipole Resonances below the H (n = 2) Threshold. Phys. Rev. Lett. 1997, 79, 4770–4773. [Google Scholar] [CrossRef]
- Wigner, E.P. On the Behavior of Cross Sections Near Thresholds. Phys. Rev. 1948, 73, 1002–1009. [Google Scholar] [CrossRef]
- Dellwo, J.; Liu, Y.; Pegg, D.J.; Alton, G.D. Near-threshold photodetachment of the Li− ion. Phys. Rev. A 1992, 45, 1544–1547. [Google Scholar] [CrossRef]
- Dellwo, J.; Liu, Y.; Tang, C.Y.; Pegg, D.J.; Alton, G.D. Photodetachment cross sections for Li−. Phys. Rev. A 1992, 46, 3924–3928. [Google Scholar] [CrossRef]
- Bray, I.; Hayat, H.; Fursa, D.V.; Kadyrov, A.S.; Bray, A.W.; Cytowski, M. Calculations of electron scattering on H-like ions. Phys. Rev. A 2020, 101, 022703. [Google Scholar] [CrossRef]




| Publisher’s Note: MDPI stays neutral with regard to jurisdictional claims in published maps and institutional affiliations. | 
© 2022 by the authors. Licensee MDPI, Basel, Switzerland. This article is an open access article distributed under the terms and conditions of the Creative Commons Attribution (CC BY) license (https://creativecommons.org/licenses/by/4.0/).
Share and Cite
Bray, I.; Weber, X.; Fursa, D.V.; Kadyrov, A.S.; Schneider, B.I.; Pamidighantam, S.; Cytowski, M.; Kheifets, A.S. Taking the Convergent Close-Coupling Method beyond Helium: The Utility of the Hartree-Fock Theory. Atoms 2022, 10, 22. https://doi.org/10.3390/atoms10010022
Bray I, Weber X, Fursa DV, Kadyrov AS, Schneider BI, Pamidighantam S, Cytowski M, Kheifets AS. Taking the Convergent Close-Coupling Method beyond Helium: The Utility of the Hartree-Fock Theory. Atoms. 2022; 10(1):22. https://doi.org/10.3390/atoms10010022
Chicago/Turabian StyleBray, Igor, Xavier Weber, Dmitry V. Fursa, Alisher S. Kadyrov, Barry I. Schneider, Sudhakar Pamidighantam, Maciej Cytowski, and Anatoli S. Kheifets. 2022. "Taking the Convergent Close-Coupling Method beyond Helium: The Utility of the Hartree-Fock Theory" Atoms 10, no. 1: 22. https://doi.org/10.3390/atoms10010022
APA StyleBray, I., Weber, X., Fursa, D. V., Kadyrov, A. S., Schneider, B. I., Pamidighantam, S., Cytowski, M., & Kheifets, A. S. (2022). Taking the Convergent Close-Coupling Method beyond Helium: The Utility of the Hartree-Fock Theory. Atoms, 10(1), 22. https://doi.org/10.3390/atoms10010022
 
         
                                                



 
      