Accurate Exponential Representations for the Ground State Wave Functions of the Collinear Two-Electron Atomic Systems
Abstract
1. Introduction
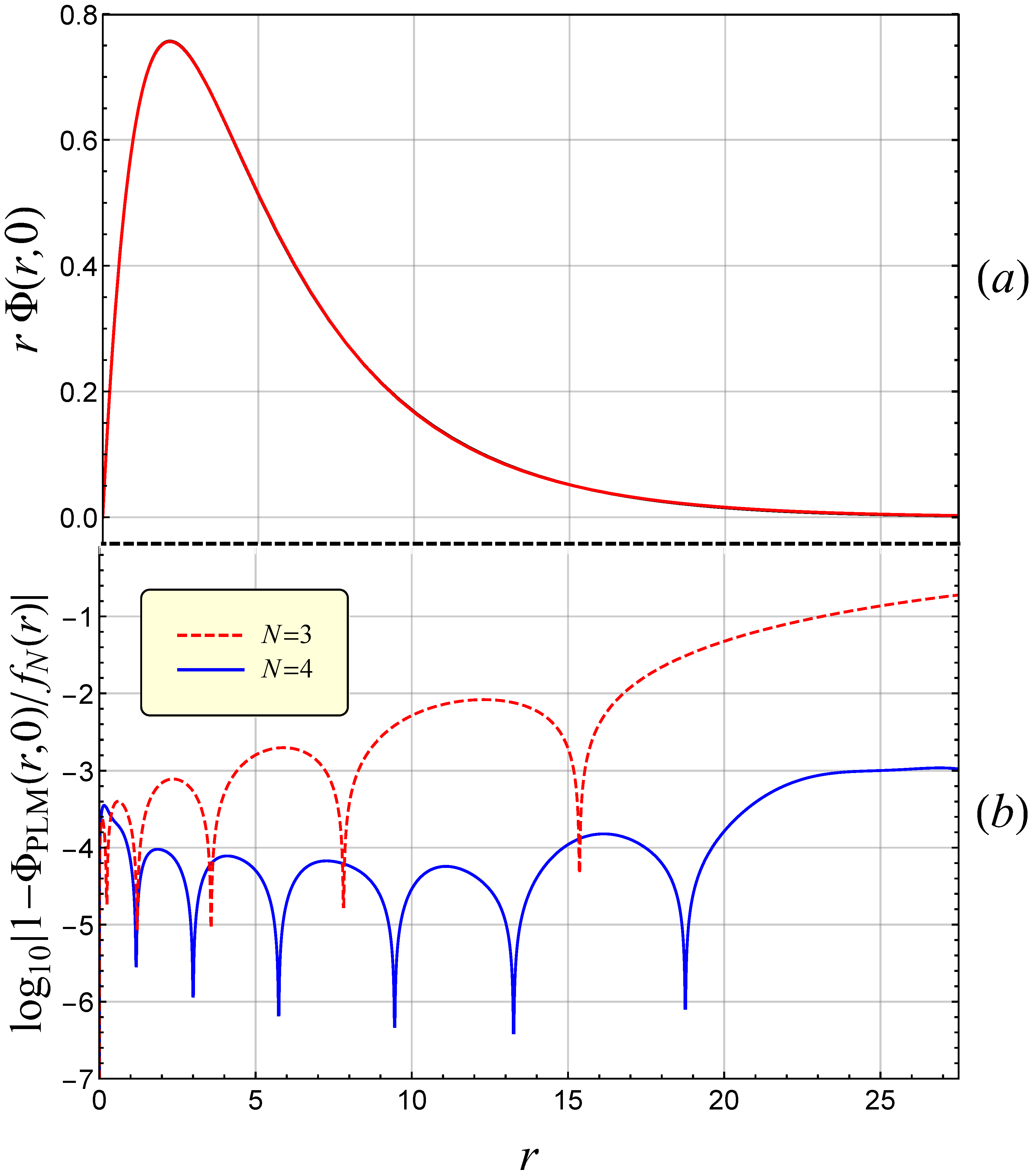
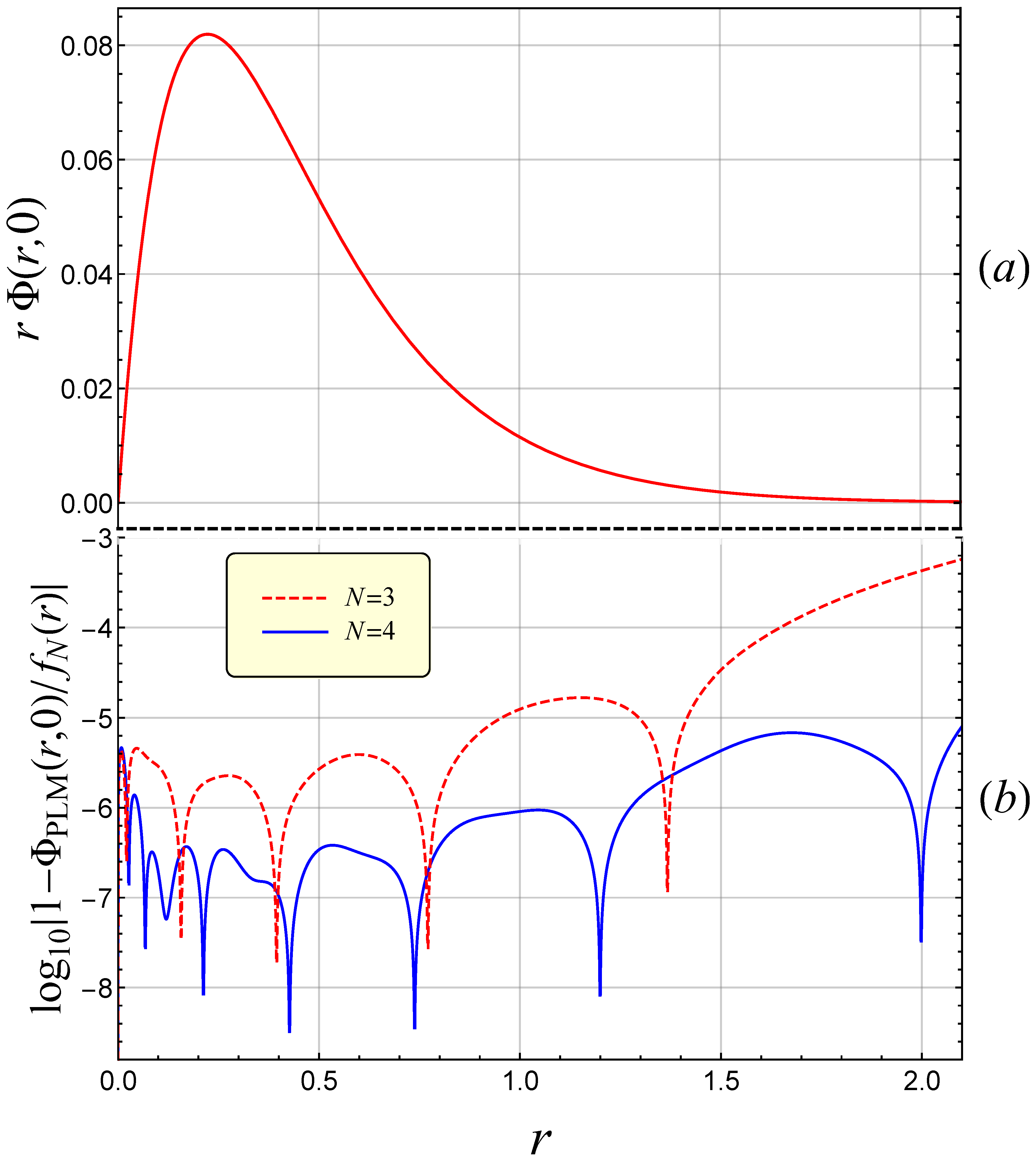
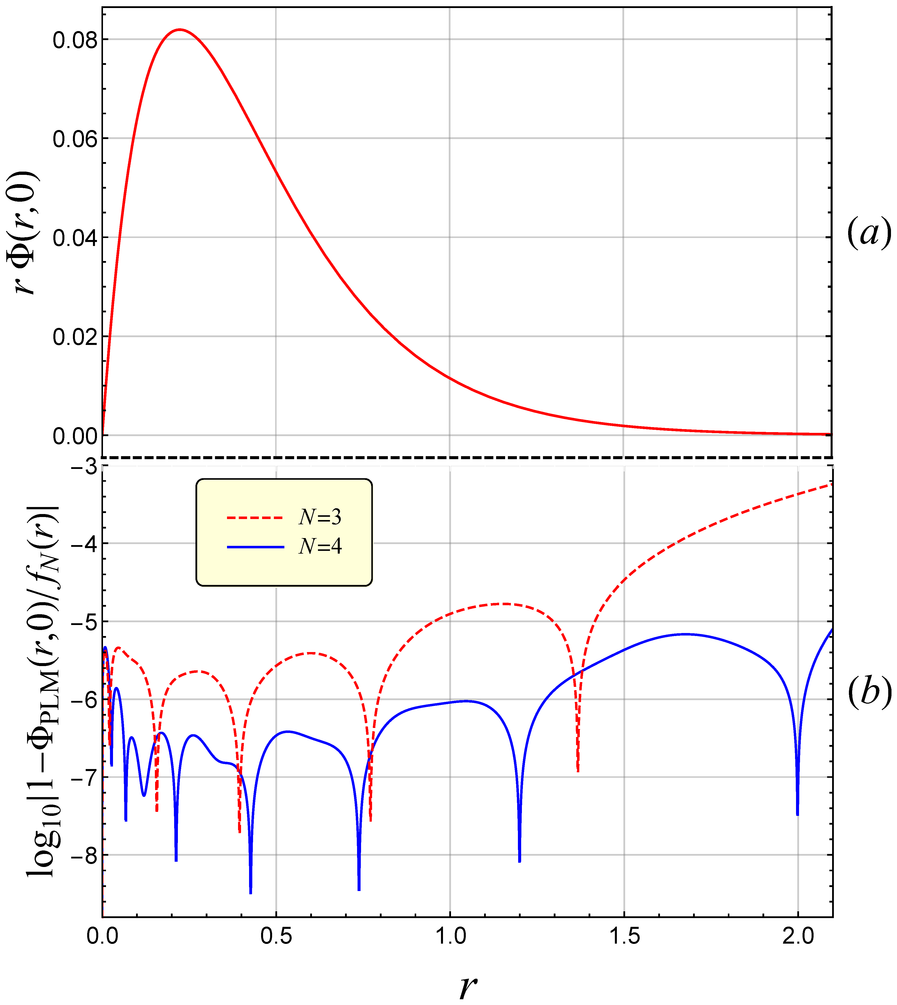
2. Calculation Technique
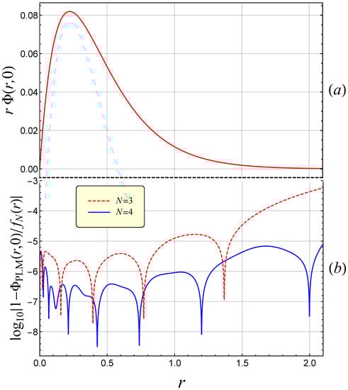
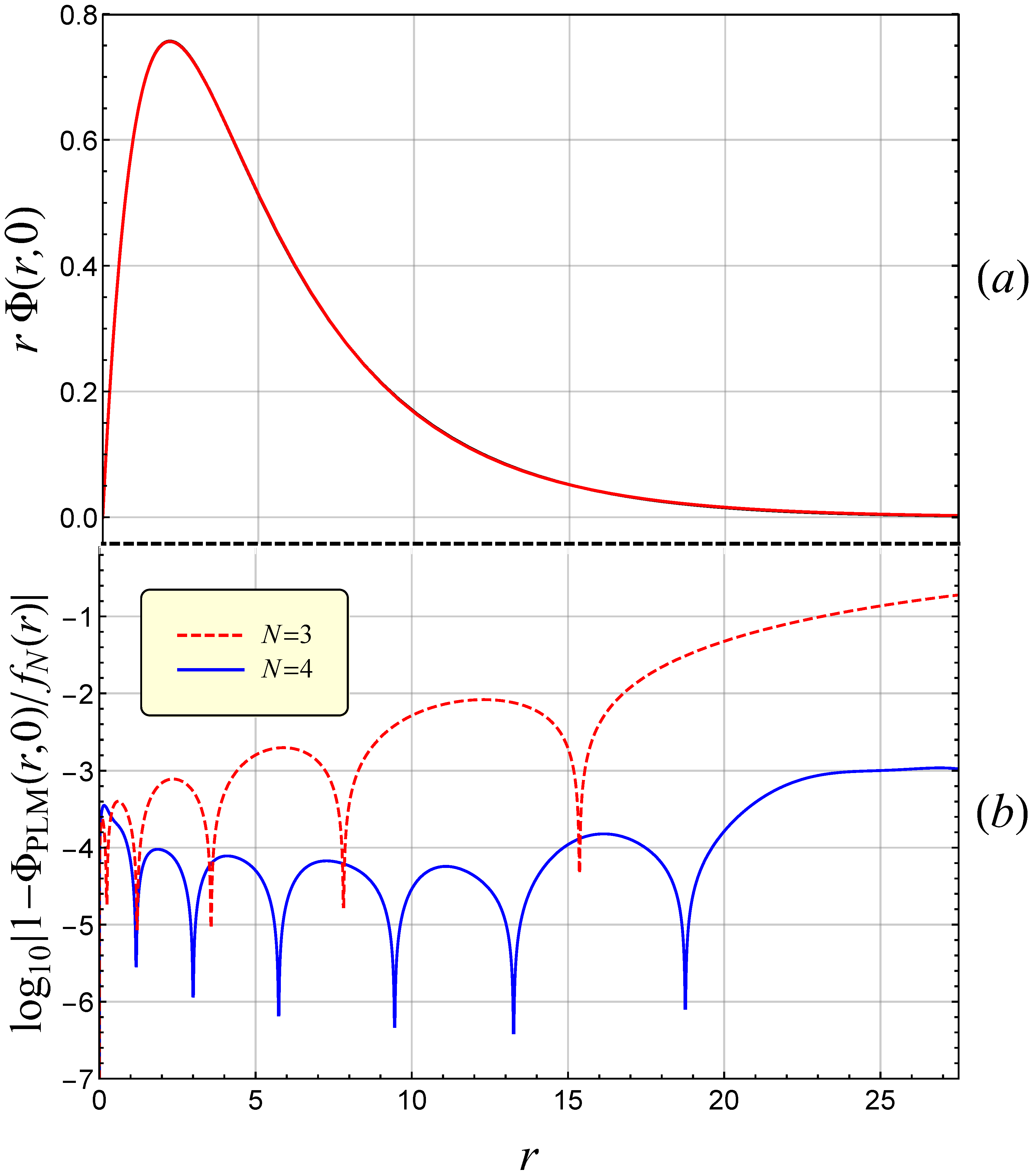
3. Results
Author Contributions
Funding
Acknowledgments
Conflicts of Interest
References
- Liverts, E.Z.; Krivec, R.; Barnea, N. Collinear configuration of the helium atom and two-electron ions. Ann. Phys. 2020, 422, 168306. [Google Scholar] [CrossRef]
- Amusia, M.Y.; Drukarev, E.G.; Liverts, E.Z.; Mikhailov, A.I. Effects of small recoil momenta in one-photon two-electron ionization. Phys. Rev. A 2013, 87, 043423. [Google Scholar] [CrossRef]
- Amusia, M.Y.; Drukarev, E.G.; Liverts, E.Z. Small recoil momenta double ionization of He and two-electron ions by high energy photons. Eur. Phys. J. D 2020, 74, 173. [Google Scholar] [CrossRef]
- Haftel, M.I.; Mandelzweig, V.B. Fast Convergent Hyperspherical Harmonic Expansion for Three-Body Systems. Ann. Phys. 1989, 189, 29–52. [Google Scholar] [CrossRef]
- Haftel, M.I.; Krivec, R.; Mandelzweig, V.B. Power Series Solution of Coupled Differential Equations in One Variable. J. Comp. Phys. 1996, 123, 149–161. [Google Scholar] [CrossRef][Green Version]
- Pekeris, C.L. Ground State of Two-Electron Atoms. Phys. Rev. 1958, 112, 1649–1658. [Google Scholar] [CrossRef]
- Liverts, E.Z.; Barnea, N. S-states of helium-like ions. Comp. Phys. Comm. 2011, 182, 1790–1795. [Google Scholar] [CrossRef]
- Liverts, E.Z.; Barnea, N. Three-body systems with Coulomb interaction. Bound and quasi-bound S-states. Comp. Phys. Comm. 2013, 184, 2596–2603. [Google Scholar] [CrossRef]
- Hylleraas, E.A. Neue Berechnung der Energie des Heliums im Grundzustande, sowie des tiefsten Terms von Ortho-Helium. Z. Phys. 1929, 54, 347–366. [Google Scholar] [CrossRef]
- Chandrasekhar, S.; Herzberg, G. Energies of the Ground States of He, Li+, and 06+. Phys. Rev. 1955, 98, 1050–1054. [Google Scholar] [CrossRef]
- Kinoshita, T. Ground State of the Helium Atom. Phys. Rev. 1957, 105, 1490–1502. [Google Scholar] [CrossRef]
- Freund, D.E.; Huxtable, B.D.; Morgan, J.D., III. Variational calculations on the helium isoelectronic sequence. Phys. Rev. A 1984, 29, 980–982. [Google Scholar] [CrossRef]
- Frankowski, K.; Pekeris, C.L. Logarithmic Terms in the Wave Functions of the Ground State of Two-Electron Atom. Phys. Rev. 1966, 146, 46–49. [Google Scholar] [CrossRef]
- Korobov, V.I. Coulomb three-body bound-state problem: Variational calculations of nonrelativistic energies. Phys. Rev. A 2000, 61, 064503. [Google Scholar] [CrossRef]
- Frolov, A.M. Multibox strategy for constructing highly accurate bound-state wave functions for three-body systems. Phys. Rev. E 2001, 64, 036704. [Google Scholar] [CrossRef] [PubMed]
- Suzuki, Y.; Varga, K. Stochastic Variational Approach to Quantum-Mechanical Few-Body Problems; Springer: Berlin, Germany; New York, NY, USA; London, UK; Milan, Italy; Paris, France; Tokyo, Japan, 1998. [Google Scholar]
- Drake, G.W.F. High Precision Calculations for Helium, Section 11. In Handbook of Atomic, Molecular, and Optical Physics; Drake, G.W.F., Ed.; AIP Press: New York, NY, USA, 1996. [Google Scholar]
- Nordsieck, A. Reduction of an Integral in the Theory of Bremsstrahlung. Phys. Rev. 1954, 93, 785–787. [Google Scholar] [CrossRef]
- Fock, V.A. On the Schrodinger Equation of the Helium Atom. Izv. Akad. Nauk SSSR Ser. Fiz. 1954, 18, 161–174. [Google Scholar]
- Fadeev, L.D.; Khalfin, L.A.; Komarov, I.V. (Eds.) VA Fock-Selected Works: Quantum Mechanics and Quantum Field Theory; CRC Press: London, UK; Washington, DC, USA, 2004; p. 525. [Google Scholar]
- Abbott, P.C.; Maslen, E.N. Coordinate systems and analytic expansions for three-body atomic wavefunctions: I. Partial summation for the Fock expansion in hyperspherical coordinates. J. Phys. A Math. Gen. 1987, 20, 2043–2075. [Google Scholar] [CrossRef]
- Liverts, E.Z.; Barnea, N. Angular Fock coefficients. Refinement and further development. Phys. Rev. A 2015, 92, 042512. [Google Scholar] [CrossRef]
- Frolov, A.M. On the Q-dependence of the lowest-order QED corrections and other properties of the ground 11S-states in the two-electron ions. Phys. Rev. E 2001, 64, 036704-6. [Google Scholar] [CrossRef]
- Watkins, J.C. An Introduction to the Science of Statistics: From Theory to Implementation, 1st ed.; Topic 13: Method of Moments; 2016; Available online: https://www.math.arizona.edu/~jwatkins/statbook.pdf (accessed on 4 November 2021).
- Liverts, E.Z.; Amusia, M.Y.; Krivec, R.; Mandelzweig, V.B. Boundary solutions of the two-electron Schrodinger equation at two-particle coalescences of the atomic systems. Phys. Rev. A 2006, 73, 012514-9. [Google Scholar] [CrossRef]


| Z | |||||||||
|---|---|---|---|---|---|---|---|---|---|
| −1 | 1 | 1.31221085126 | 2.30773912084 | 10.6895455708 | 1.21535118385 | −0.203680351269 | −0.0116708325859 | 1, 2, 3, 4 | 5.1 |
| 2 | 3.30331779151 | 5.37300989029 | 23.5666840162 | 1.10218667377 | −0.0971397085718 | −0.00504696520154 | 1, 2, 3, 4 | 2.8 | |
| 3 | 5.29600197779 | 8.57050886387 | 37.1879160606 | 1.06342095849 | −0.0603343891163 | −0.00308656937009 | 1, 2, 3, 4 | 1.8 | |
| 4 | 7.29186771909 | 11.8104087791 | 51.8308243021 | 1.04554901504 | −0.0433987968749 | −0.00215021816402 | 1, 2, 3, 4 | 1.3 | |
| 5 | 9.28979602694 | 14.9934154050 | 64.5399905936 | 1.03580989481 | −0.0340832362749 | −0.00172665853579 | 1, 2, 3, 4 | 1.0 | |
| −0.5 | 1 | 0.34947029202 | 0.917929731034 | 3.34452782210 | 0.00104484900062 | 1.06791415059 | −0.0689589995860 | 2, 4, 6, 8 | 26.1 |
| 2 | 2.42281226939 | 4.84214960756 | 20.8946624090 | 1.05104853479 | −0.0479768260983 | −0.00307170869253 | 2, 3, 4, 5 | 0.82 | |
| 3 | 3.92179097813 | 7.24103626268 | 28.1658903414 | 1.03561982532 | −0.0330601878282 | −0.00255963748729 | 2, 3, 4, 5 | 0.38 | |
| 4 | 5.42080777652 | 9.74980079227 | 37.6087443483 | 1.02691550123 | −0.0249667281386 | −0.00194877309539 | 2, 3, 4, 5 | 0.31 | |
| 5 | 6.92015063432 | 12.2629734705 | 46.2827741201 | 1.02161443408 | −0.0200074716239 | −0.00160696245286 | 2, 3, 4, 5 | 0.25 | |
| 0 | 1 | 0.298919116361 | 0.595029813767 | 7.19650438253 | 0.297067039246 | 0.704003189159 | −0.00107022840522 | 0, 2, 3, 4 | 34.8 |
| 2 | 1.37487894240 | 1.79415111548 | 6.51734657710 | 0.692940198275 | 0.307826353261 | −0.000766551535934 | 2, 3, 4, 5 | 0.16 | |
| 3 | 2.38544848722 | 2.98500782211 | 11.9948030706 | 0.806354227022 | 0.193817876564 | −0.000172103585808 | 2, 3, 4, 5 | 0.06 | |
| 4 | 3.39003538779 | 4.18238632004 | 44.1576144385 | 0.860366370158 | 0.139650495901 | −0.0000168660592834 | 2, 3, 4, 5 | 0.05 | |
| 5 | 4.39300951665 | 5.38932092160 | 77.5849424817 | 0.892332808812 | 0.107671063544 | −3.87235633559 | 2, 3, 4, 5 | 0.05 | |
| 0.5 | 1 | 0.866272795833 | 1.35400690862 | 4.90509052234 | 0.445709671715 | 0.522361791814 | 0.0319285364710 | 2, 3, 4, 5 | 13.7 |
| 2 | 2.43745271333 | 3.52128593757 | 13.1425881206 | 0.790450763794 | 0.200669891111 | 0.00887934509580 | 2, 3, 4, 5 | 3.06 | |
| 3 | 3.94735833664 | 5.62554439840 | 21.0951038899 | 0.867392165040 | 0.127429856680 | 0.00517797827994 | 2, 3, 4, 5 | 1.72 | |
| 4 | 5.45119270055 | 7.71384461880 | 28.7740927992 | 0.902403168528 | 0.0938941380922 | 0.00370269337946 | 2, 3, 4, 5 | 1.18 | |
| 5 | 6.95360810088 | 9.81345881494 | 36.9476130590 | 0.923088330095 | 0.0740947033493 | 0.00281696655580 | 2, 3, 4, 5 | 0.91 | |
| 1 | 1 | 1.53675502654 | 2.33712280638 | 8.25913664369 | 0.596515660760 | 0.379791535994 | 0.0236928032457 | 2, 3, 4, 5 | 9.5 |
| 2 | 3.58172751587 | 5.24357995810 | 19.2222658045 | 0.819528550521 | 0.172004590265 | 0.00846685921408 | 2, 3, 4, 5 | 2.85 | |
| 3 | 5.58931707310 | 8.08649238609 | 29.9307024541 | 0.881008315694 | 0.113793976078 | 0.00519770822784 | 2, 3, 4, 5 | 1.7 | |
| 4 | 7.59237815227 | 10.9111334599 | 40.2659747119 | 0.910825396831 | 0.0853703529884 | 0.00380425018111 | 2, 3, 4, 5 | 1.19 | |
| 5 | 9.59453605830 | 13.7549847587 | 51.2908698042 | 0.929005400236 | 0.0680615517954 | 0.00293304796837 | 2, 3, 4, 5 | 0.94 |
| Z | |||||||
|---|---|---|---|---|---|---|---|
| −1 | 1 | 1.32020535772 | 2.02749050880 | 4.54443362311 | 23.5929861083 | 1, 2, 3, 4, 5, 6 | |
| 1.26227358934 | −0.227201776295 | −0.0326343898304 | −0.00243742321816 | 2.7 | |||
| 2 | 3.32040412399 | 4.62849779909 | 10.9532235110 | 59.9204389330 | 0, 1, 2, 3, 4, 5 | ||
| 1.14400570872 | −0.128974625641 | −0.0142762170106 | −0.000754866072272 | 4.24 | |||
| 3 | 5.31424074104 | 7.36821061275 | 17.2777611913 | 91.9038190157 | 0, 1, 2, 3, 4, 5 | ||
| 1.09045506589 | −0.0810843733976 | −0.00889378923384 | −0.000476903253974 | 2.64 | |||
| 4 | 7.30994394442 | 10.1897566947 | 24.4040098169 | 148.641527280 | 0, 1, 2, 3, 4, 5 | ||
| 1.06441904628 | −0.0579854208721 | −0.00616816635722 | −0.000265459051415 | 2.18 | |||
| 5 | 9.30868327139 | 12.8750916787 | 29.9556776119 | 155.981269889 | 0, 1, 2, 3, 4, 5 | ||
| 1.05138164659 | −0.0460610340035 | −0.00504641308811 | −0.000274199500577 | 1.48 | |||
| −0.5 | 1 | 0.760415630622 | 0.980090816301 | 1.92593212146 | 8.20874671468 | 2, 3, 4, 6, 7, 8 | |
| 0.170778873309 | 0.969455001129 | −0.130694209709 | −0.00953966472852 | 11.0 | |||
| 2 | 0.454124268500 | 2.42341297045 | 4.76754499162 | 19.5795924347 | 2, 3, 4, 5, 6, 7 | ||
| 3.82312760898 | 1.05207275919 | −0.0486110885984 | −0.00346549372265 | 8.6 | |||
| 3 | 0.436440152659 | 3.92140440426 | 7.30105365639 | 28.9040922033 | 2, 3, 4, 5, 6, 7 | ||
| −7.40656697931 | 1.03517571156 | −0.0327434647393 | −0.00243150616122 | 8.3 | |||
| 4 | 5.42161394245 | 9.42798545298 | 25.0471247671 | 233.462987854 | 1, 2, 3, 4, 5, 6 | ||
| 1.02782877628 | −0.0249202692879 | −0.00283800779973 | −7.04991926150 | 0.94 | |||
| 5 | 6.92122844867 | 11.7547534041 | 29.3462817580 | 174.466927481 | 1, 2, 3, 4, 5, 6 | ||
| 1.02259238932 | −0.0200065945557 | −0.00247182415422 | −1.13970613965 | 0.55 | |||
| 0 | 1 | 0.262567575399 | 0.389274177978 | 0.649724323343 | 2.23082077059 | 2, 3, 4, 5, 10, 12 | |
| 0.124958793217 | 0.334742657170 | 0.549255567787 | −0.00895701817486 | 8.6 | |||
| 2 | 0.863128362371 | 1.37696102972 | 1.80094039452 | 6.23029650467 | 2, 3, 4, 5, 10, 12 | ||
| 0.000151625897771 | 0.700462341914 | 0.300247696739 | −0.000861664550097 | 0.85 | |||
| 3 | 1.99107587529 | 2.39179071871 | 3.00926579184 | 10.6422108618 | 2, 3, 4, 5, 10, 12 | ||
| 0.00268122936659 | 0.817445974254 | 0.180106425521 | −0.000233629141750 | 0.16 | |||
| 4 | 2.81017418133 | 3.39598731473 | 4.21438633241 | 27.4015188295 | 2, 3, 4, 5, 10, 12 | ||
| 0.00171603685935 | 0.868965245468 | 0.129353924670 | −3.52069972580 | 0.18 | |||
| 5 | 4.38456769518 | 5.14428012476 | 6.14092966448 | 16.8182459760 | 2, 3, 4, 5, 10, 12 | ||
| 0.865405670253 | 0.120564394928 | 0.0141051979746 | −7.52631553724 | 0.047 | |||
| 0.5 | 1 | 0.813357864690 | 1.16216119635 | 2.11035956249 | 8.06302367772 | 2, 3, 4, 5, 6, 7 | |
| 0.270203654224 | 0.601608930427 | 0.118017239524 | 0.0101701758248 | 12.8 | |||
| 2 | 2.39591108217 | 3.04778032570 | 5.77051889963 | 23.1405644612 | 2, 3, 4, 5, 6, 7 | ||
| 0.666977476198 | 0.298527484633 | 0.0320148612526 | 0.00248017791627 | 2.7 | |||
| 3 | 3.90776167717 | 4.88664625816 | 9.27871837715 | 37.4614080792 | 2, 3, 4, 5, 6, 7 | ||
| 0.781821062131 | 0.198012796435 | 0.0187434533393 | 0.00142268809457 | 1.5 | |||
| 4 | 5.41235086929 | 6.71460919468 | 12.7195616951 | 50.2714813824 | 2, 3, 4, 5, 6, 7 | ||
| 0.836936916554 | 0.148699140499 | 0.0133242070845 | 0.00103973586269 | 1.0 | |||
| 5 | 6.91531456746 | 8.55334168563 | 16.2935883030 | 66.2413275150 | 2, 3, 4, 5, 6, 7 | ||
| 0.870584918595 | 0.118467258140 | 0.0101878055295 | 0.000760017736373 | 0.81 | |||
| 1 | 1.45895844248 | 1.94229863142 | 3.64144369441 | 14.6402400267 | 2, 3, 4, 5, 6, 7 | ||
| 0.374761964378 | 0.526163652625 | 0.0926648508651 | 0.00640953213255 | 11.9 | |||
| 2 | 3.52660868338 | 4.46313533469 | 8.41366993352 | 33.9863982377 | 2, 3, 4, 5, 6, 7 | ||
| 0.702939199818 | 0.262807685971 | 0.0319120324665 | 0.00234108174421 | 2.9 | |||
| 3 | 5.53691125164 | 6.92690040645 | 13.1173116907 | 53.3038611455 | 2, 3, 4, 5, 6, 7 | ||
| 0.800429839233 | 0.178804526892 | 0.0193437507870 | 0.00142188308737 | 1.7 | |||
| 4 | 7.54061400125 | 9.36808709974 | 17.6989833742 | 70.3315968499 | 2, 3, 4, 5, 6, 7 | ||
| 0.848381505855 | 0.136508216332 | 0.0140382215614 | 0.00107205625181 | 1.1 | |||
| 5 | 9.54371206725 | 11.8356042739 | 22.5015053896 | 91.8749584959 | 2, 3, 4, 5, 6, 7 | ||
| 0.878994353474 | 0.109401348385 | 0.0108088103065 | 0.000795487835141 | 0.91 |
| Z | ||||||||
|---|---|---|---|---|---|---|---|---|
| −1 | 2 | 3.33403942234 | 4.15321766999 | 7.22771669209 | 18.0394750352 | 98.9124103713 | 0, 1, 2, 3, 4, 5, 6, 7 | |
| 1.19779177816 | −0.165381648981 | −0.0277431203764 | −0.00439609964953 | −0.000270909151645 | 4.5 | |||
| 3 | 5.32933696681 | 6.59886648653 | 11.4228762079 | 28.2096051133 | 145.866483798 | 0, 1, 2, 3, 4, 5, 6, 7 | ||
| 1.12638430126 | -0.105910712803 | −0.0175600965385 | −0.00273317456436 | −0.000180317352143 | 2.8 | |||
| 4 | 7.32573160412 | 9.10153474687 | 15.9377755826 | 40.8969472027 | 290.857815110 | 0, 1, 2, 3, 4, 5, 6, 7 | ||
| 1.09052624934 | −0.076177131758 | −0.0124353779117 | −0.00183726599787 | −7.64736726593 | 2.4 | |||
| 5 | 9.32452700647 | 11.5219291480 | 19.8392221432 | 48.4980928929 | 239.735778051 | 0, 1, 2, 3, 4, 5, 6, 7 | ||
| 1.07219627060 | −0.060471688997 | −0.0100638089132 | −0.00155216378212 | -0.000108608909614 | 1.5 | |||
| −0.5 | 1 | 0.782723673384 | 1.00579499131 | 1.67516053163 | 3.84347571684 | 20.7036985208 | 1, 2, 3, 4, 6, 7, 8, 9 | |
| 0.247875527976 | 0.932587577289 | −0.156445025546 | −0.0223795177635 | −0.00163856195617 | 12.3 | |||
| 2 | 2.01254813456 | 2.43474345293 | 4.24085899493 | 9.91825838265 | 49.9226239551 | 0, 2, 3, 4, 5, 6, 7, 9 | ||
| 0.0111225319077 | 1.05138001690 | −0.0543797090181 | −0.00759679366215 | −0.000526046127036 | 6.3 | |||
| 3 | 2.66771135582 | 3.92527807057 | 6.68858179039 | 15.1815880350 | 69.4634730215 | 1, 2, 3, 4, 5, 6, 7, 8 | ||
| 0.000323581113314 | 1.03908286278 | −0.0341431378917 | −0.00487131736096 | −0.000391988635926 | 3.6 | |||
| 4 | 5.02658424937 | 5.43330301186 | 8.82243334116 | 19.5615991527 | 96.7309045026 | 1, 2, 3, 4, 5, 6, 7, 8 | ||
| 0.0176544037925 | 1.01381753461 | −0.0270777601306 | −0.00410558781973 | −0.000288590450437 | 3.6 | |||
| 5 | 6.76854109699 | 6.93768261467 | 11.4098098294 | 26.4501588397 | 130.894355406 | 0, 1, 2, 3, 4, 5, 6, 7 | ||
| 0.08493484927950 | 0.939048336705 | −0.0209035403321 | −0.00289062795813 | −0.000189017693978 | 3.7 | |||
| 0.5 | 1 | 0.790902643508 | 1.06035478911 | 1.50532224818 | 3.03736727252 | 11.1410180677 | 2, 3, 4, 5, 6, 7, 8, 9 | |
| 0.196607406672 | 0.508558045232 | 0.247655549880 | 0.0423479201908 | 0.00483107802464 | 20.9 | |||
| 2 | 2.37639295406 | 2.86725870274 | 4.29974756696 | 8.77965927735 | 35.0370610367 | 2, 3, 4, 5, 6, 7, 8, 9 | ||
| 0.590329529453 | 0.341324441817 | 0.0576037324822 | 0.00973365189967 | 0.00100864434805 | 3.8 | |||
| 3 | 3.88798021172 | 4.60274029470 | 6.92722664338 | 14.1907934142 | 57.3767081273 | 2, 3, 4, 5, 6, 7, 8, 9 | ||
| 0.721150604506 | 0.238651951852 | 0.0340403271804 | 0.00558868261345 | 0.000568433848049 | 2.1 | |||
| 4 | 5.39378534978 | 6.35210931219 | 9.65638723913 | 19.9037177229 | 76.9969095748 | 2, 3, 4, 5, 6, 7, 8, 9 | ||
| 0.791446509718 | 0.181080013887 | 0.0233325486312 | 0.00373563625064 | 0.000405291512930 | 1.2 | |||
| 5 | 6.89631641077 | 8.08529427507 | 12.3139186919 | 25.6710836429 | 107.258963467 | 2, 3, 4, 5, 6, 7, 8, 9 | ||
| 0.831962265527 | 0.146815487037 | 0.0180923679551 | 0.00285602492664 | 0.000273854553497 | 1.1 | |||
| 1 | 1 | 1.40532919228 | 1.76542107311 | 2.67094532497 | 5.73653600501 | 28.8596269922 | 2, 3, 4, 5, 6, 7, 8, 9 | |
| 0.228872138883 | 0.564008891655 | 0.177278010589 | 0.0281992012650 | 0.00164175760899 | 26.2 | |||
| 2 | 3.49162225456 | 4.12954660811 | 6.24917362659 | 13.0406927609 | 55.6660835808 | 2, 3, 4, 5, 6, 7, 8, 9 | ||
| 0.600886634251 | 0.328953425818 | 0.0598766127109 | 0.00945702883157 | 0.000826298388269 | 5.2 | |||
| 3 | 5.50808155281 | 6.48741655765 | 10.0193133315 | 21.4634677872 | 95.2150755643 | 2, 3, 4, 5, 6, 7, 8, 9 | ||
| 0.736257943800 | 0.224466915903 | 0.0337303661233 | 0.00511826651080 | 0.000426507663627 | 2.8 | |||
| 4 | 7.51732319016 | 8.88501166054 | 14.1919981920 | 32.7751210282 | 162.408084363 | 1, 2, 3, 4, 5, 6, 7, 8 | ||
| 0.807735699959 | 0.166935972380 | 0.0220982375951 | 0.00303510193517 | 0.000194988130580 | 2.5 | |||
| 5 | 9.52058905892 | 11.2258539229 | 17.9584770013 | 41.6932712805 | 236.717424813 | 1, 2, 3, 4, 5, 6, 7, 8 | ||
| 0.845567446616 | 0.134819493378 | 0.0171241354063 | 0.00236103746563 | 0.000127887134412 | 2.0 |
| −1 | 0.616882428065 | 1.32144483672 | 1.98116133623 | 3.89714002309 | 10.7703678294 | 117.105539565 | 0, 1, 2, | |
| 0.0000220356978505 | 1.27099937960 | −0.227846680046 | −0.0372255443263 | −0.00577032259649 | −0.000178868331372 | ⋯, 9 | 7.7 | |
| −0.5 | 0.784443648962 | 1.00933647226 | 1.62815973825 | 3.28191702383 | 9.07710968927 | 175.255656318 | 0, 1, 2, | |
| 0.255668095458 | 0.933467043932 | −0.159437110775 | −0.0255522308928 | −0.00407564245776 | −0.0000701552652768 | ⋯, 9 | 3.5 | |
| 0.5 | 0.787145306516 | 1.03714737333 | 1.42318385820 | 2.66484832743 | 7.69976806889 | 534.086213753 | 0, 1, 2, | |
| 0.183792703068 | 0.466750597846 | 0.288402624695 | 0.0530568221124 | 0.00798238877269 | 0.0000148635064310 | ⋯, 9 | 7.2 | |
| 1 | 1.36357313996 | 1.649819114196 | 2.20488118195 | 3.61727560292 | 8.21954358047 | 125.741386557 | 2, 3, 4, | |
| 0.134755301707 | 0.5137129189258 | 0.272937433228 | 0.0657008289814 | 0.0126953713973 | 0.000198145760468 | ⋯,11 | 4.8 |
| Z | |||||
|---|---|---|---|---|---|
| 1 | −0.506379 | −0.5 | 0.169101 | 0.123314 | 0.12015 |
| 2 | −1.50228 | −1.5 | 1.20558 | 1.13429 | 1.13167 |
| 3 | −2.50175 | −2.5 | 3.24348 | 3.14574 | 3.14323 |
| 4 | −3.50323 | −3.5 | 6.38221 | 6.15306 | 6.15469 |
| 5 | −4.50140 | −4.5 | 10.3165 | 10.1691 | 10.1661 |
Publisher’s Note: MDPI stays neutral with regard to jurisdictional claims in published maps and institutional affiliations. |
© 2021 by the authors. Licensee MDPI, Basel, Switzerland. This article is an open access article distributed under the terms and conditions of the Creative Commons Attribution (CC BY) license (https://creativecommons.org/licenses/by/4.0/).
Share and Cite
Liverts, E.Z.; Barnea, N. Accurate Exponential Representations for the Ground State Wave Functions of the Collinear Two-Electron Atomic Systems. Atoms 2022, 10, 4. https://doi.org/10.3390/atoms10010004
Liverts EZ, Barnea N. Accurate Exponential Representations for the Ground State Wave Functions of the Collinear Two-Electron Atomic Systems. Atoms. 2022; 10(1):4. https://doi.org/10.3390/atoms10010004
Chicago/Turabian StyleLiverts, Evgeny Z., and Nir Barnea. 2022. "Accurate Exponential Representations for the Ground State Wave Functions of the Collinear Two-Electron Atomic Systems" Atoms 10, no. 1: 4. https://doi.org/10.3390/atoms10010004
APA StyleLiverts, E. Z., & Barnea, N. (2022). Accurate Exponential Representations for the Ground State Wave Functions of the Collinear Two-Electron Atomic Systems. Atoms, 10(1), 4. https://doi.org/10.3390/atoms10010004

