Phase Space Analysis of Barrow Agegraphic Dark Energy
Abstract
1. Introduction
2. Background
3. Phase Space Analysis
3.1. Non-Interacting
3.2. Interacting
3.3. Interacting
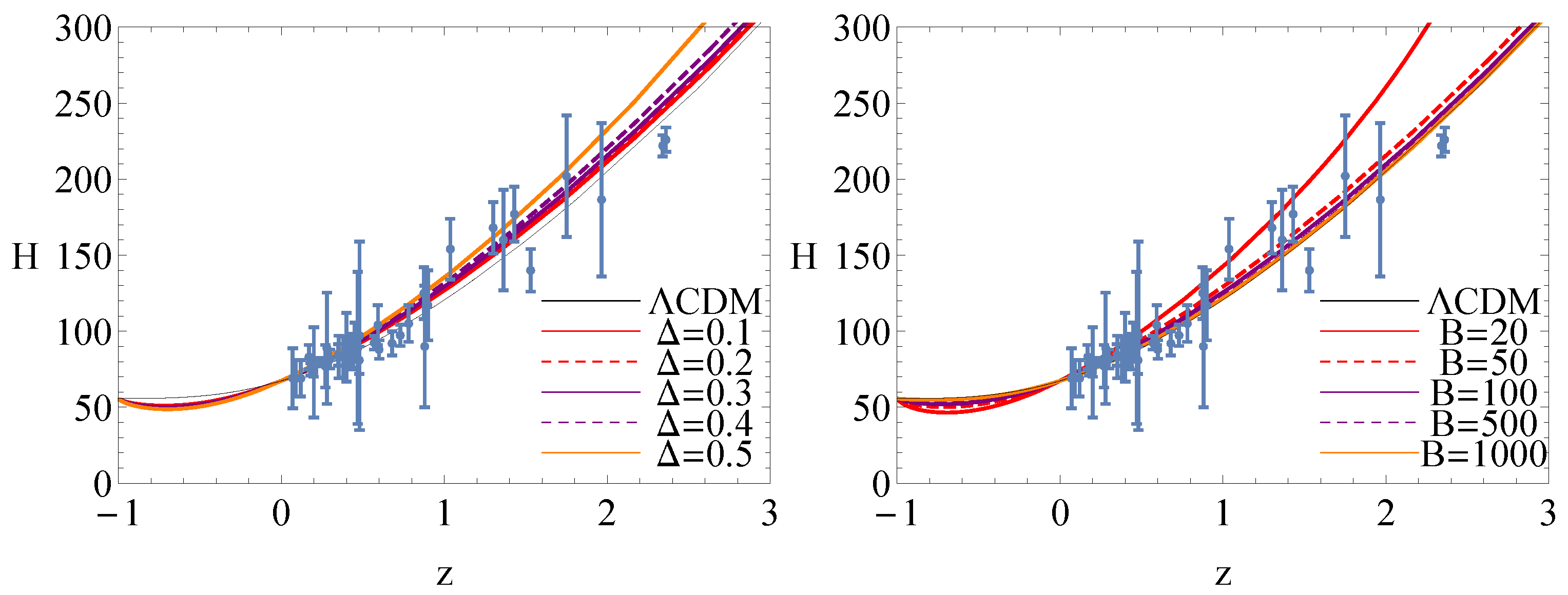
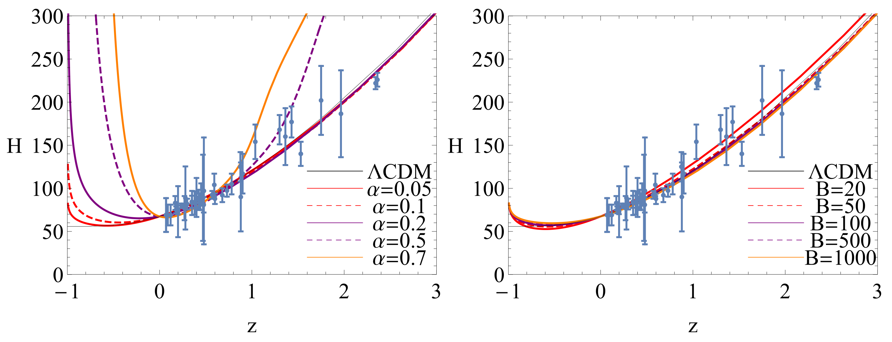
4. Hubble Diagram
5. Conclusions
Author Contributions
Funding
Institutional Review Board Statement
Informed Consent Statement
Data Availability Statement
Conflicts of Interest
References
- Perlmutter, S.; Aldering, G.; Goldhaber, G.; Knop, R.; Nugent, P.; Castro, P.; Deustua, S.; Fabbro, S.; Goobar, A.; Groom, D.; et al. Measurements of Ω and Λ from 42 High-Redshift supernovae. Astrophys. J. 1999, 517, 565. [Google Scholar] [CrossRef]
- Riess, A.G.; Filippenko, A.V.; Challis, P.; Clocchiatti, A.; Diercks, A.; Garnavich, P.M.; Gilliland, R.L.; Hogan, G.J.; Jha, S.; Kirshner, R.P.; et al. Observational evidence from supernovae for an accelerating universe and a cosmological constant. Astrophys. J. 1998, 116, 1009. [Google Scholar] [CrossRef]
- Spergel, D.N.; Verde, L.; Peiris, H.V.; Komatsu, E.; Nolta, M.R.; Bennett, C.L.; Halpern, M.; Hinshaw, G.; Jarosik, N.; Kogut, A.; et al. First-Year Wilkinson Microwave Anisotropy Probe (WMAP) observations: Determination of cosmological parameters. Astrophys. J. Suppl. 2003, 148, 175. [Google Scholar] [CrossRef]
- Spergel, D.N.; Bean, R.; Doré, O.; Nolta, M.R.; Bennett, C.L.; Dunkley, J.; Hinshaw, G.; Jarosik, N.E.; Komatsu, E.; Page, L.; et al. Three-Year Wilkinson Microwave Anisotropy Probe (WMAP) observations: Implications for cosmology. Astrophys. J. Suppl. 2007, 170, 337. [Google Scholar] [CrossRef]
- Tegmark, M.; Strauss, M.A.; Blanton, M.R.; Abazajian, K.; Dodelson, S.; Sandvik, H.; Wang, X.; Weinberg, D.H.; Zehavi, I.; Bahcall, N.A.; et al. Cosmological parameters from SDSS and WMAP. Phys. Rev. D 2004, 69, 103501. [Google Scholar] [CrossRef]
- Eisenstein, D.J.; Zehavi, I.; Hogg, D.W.; Scoccimarro, R.; Blanton, M.R.; Nichol, R.C.; Scranton, R.; Seo, H.J.; Tegmark, M.; Zheng, Z.; et al. Detection of the baryon acoustic pPeak in the large-scale correlation function of SDSS luminous red galaxies. Astrophys. J. 2005, 633, 560. [Google Scholar] [CrossRef]
- Planck Collaboration; Ade, P.A.R.; Aghanim, N.; Arnaud, M.; Ashdown, M.; Aumont, J.; Baccigalupi, C.; Banday, A.J.; Barreiro, R.B.; Bartlett, J.G.; et al. Planck 2015 results XIII. cosmological parameters. Astron. Astrophys. 2016, 594, A13. [Google Scholar] [CrossRef]
- Weinberg, S. The cosmological constant problem. Rev. Mod. Phys. 1989, 61, 1. [Google Scholar] [CrossRef]
- Steinhardt, P.; Wang, L.; Zlatev, I. Cosmological tracking solutions. Phys. Rev. D 1999, 59, 123504. [Google Scholar] [CrossRef]
- Cohen, A.G.; Kaplan, D.B.; Nelson, A.E. Effective field theory, black holes, and the cosmological constant. Phys. Rev. Lett. 1999, 82, 4971. [Google Scholar] [CrossRef]
- Hsu, S. Entropy bounds and dark energy. Phys. Lett. B 2004, 594, 13–16. [Google Scholar] [CrossRef]
- Li, M. A model of holographic dark energy. Phys. Lett. B 2004, 603, 1–5. [Google Scholar] [CrossRef]
- Wang, S.; Wang, Y.; Li, M. Holographic dark energy. Phys. Rep. 2017, 696, 1–57. [Google Scholar] [CrossRef]
- Horava, P.; Minic, D. Probable values of the cosmological constant in a holographic theory. Phys. Rev. Lett. 2000, 85, 1610. [Google Scholar] [CrossRef]
- Shen, J.; Wang, B.; Abdalla, E.; Su, R.K. Constraints on the dark energy from the holographic connection to the small l CMB suppression. Phys. Lett. B 2005, 609, 200–205. [Google Scholar] [CrossRef]
- Guberina, B.; Horvat, R.; Nikolic, H. Non-saturated holographic dark energy. J. Cosmol. Astropart. Phys. 2007, 2007, 012. [Google Scholar] [CrossRef]
- Sheykhi, A. Interacting agegraphic dark energy models in non-flat universe. Phys. Lett. B 2009, 680, 113. [Google Scholar] [CrossRef]
- Sheykhi, A. Interacting holographic dark energy in Brans–Dicke theory. Phys. Lett. B 2009, 681, 205. [Google Scholar] [CrossRef]
- Sheykhi, A. Interacting agegraphic tachyon model of dark energy. Phys. Lett. B 2010, 682, 329. [Google Scholar] [CrossRef]
- Sheykhi, A.; Karami, K.; Jamil, M.; Kazemi, E.; Haddad, M. Holographic dark energy in Brans–Dicke theory with logarithmic correction. Gen. Relativ. Gravit. 2012, 44, 623–638. [Google Scholar] [CrossRef]
- Ghaffari, S.; Dehghani, M.; Sheykhi, A. Holographic dark energy in the DGP braneworld with Granda-Oliveros cutoff. Phys. Rev. D 2014, 89, 123009. [Google Scholar] [CrossRef]
- Huang, Q.; Li, M. The holographic dark energy in a non-flat universe. J. Cosmol. Astropart. Phys. 2004, 2004, 013. [Google Scholar] [CrossRef]
- Nojiri, S.; Odintsov, S.D. Covariant generalized holographic dark energy and accelerating universe. Eur. Phys. J. C 2017, 77, 528. [Google Scholar] [CrossRef]
- Granda, L.N.; Oliveros, A. Infrared cut-off proposal for the holographic density. Phys. Lett. B 2008, 669, 275–277. [Google Scholar] [CrossRef]
- Wang, B.; Gong, Y.; Abdalla, E. Transition of the dark energy equation of state in an interacting holographic dark energy model. Phys. Lett. B 2005, 624, 141–146. [Google Scholar] [CrossRef]
- Setare, M.R. Interacting holographic dark energy model in non-flat universe. Phys. Lett. B 2006, 642, 1–4. [Google Scholar] [CrossRef]
- Wang, B.; Abdalla, E.; Su, R.K. Constraints on dark energy from holography. Phys. Lett. B 2005, 611, 21–26. [Google Scholar] [CrossRef]
- Feng, C.; Wang, B.; Gong, Y.; Su, R.K. Testing the viability of the interacting holographic dark energy model by using combined observational constraints. J. Cosmol. Astropart. Phys. 2007, 2007, 005. [Google Scholar] [CrossRef]
- Zimdahl, W.; Pavon, D. Interacting holographic dark energy. Class. Quantum Gravity 2007, 24, 5461. [Google Scholar] [CrossRef]
- Sheykhi, A. Holographic scalar field models of dark energy. Phys. Rev. D 2011, 84, 107302. [Google Scholar] [CrossRef]
- Zhang, X.; Wu, F. Constraints on holographic dark energy from type Ia supernova observations. Phys. Rev. D 2005, 72, 043524. [Google Scholar] [CrossRef]
- Zhang, X.; Wu, F. Constraints on holographic dark energy from the latest supernovae, galaxy clustering, and cosmic microwave background anisotropy observations. Phys. Rev. D 2007, 76, 023502. [Google Scholar] [CrossRef]
- Huang, Q.; Gong, Y. Supernova constraints on a holographic dark energy model. J. Cosmol. Astropart. Phys. 2004, 2004, 006. [Google Scholar] [CrossRef]
- Enqvist, K.; Hannestad, S.; Sloth, M.S. Searching for a holographic connection between dark energy and the low l CMB multipoles. J. Cosmol. Astropart. Phys. 2005, 2005, 004. [Google Scholar] [CrossRef]
- Cai, R. A dark energy model characterized by the age of the Universe. Phys. Lett. B 2007, 657, 228–231. [Google Scholar] [CrossRef]
- Wei, H.; Cai, R. A new model of agegraphic dark energy. Phys. Lett. B 2008, 660, 113–117. [Google Scholar] [CrossRef]
- Wei, H.; Cai, R. Cosmological constraints on new agegraphic dark energy. Phys. Lett. B 2008, 663, 1–6. [Google Scholar] [CrossRef]
- Neupane, I. A note on agegraphic dark energy. Phys. Lett. B 2009, 673, 111–118. [Google Scholar] [CrossRef]
- Kim, K.; Lee, H.; Myung, Y. Instability of agegraphic dark energy models. Phys. Lett. B 2008, 660, 118–124. [Google Scholar] [CrossRef]
- Zadeh, M.; Sheykhi, A.; Moradpour, H. Tsallis agegraphic dark energy model. Mode. Phys. Lett. A 2019, 34, 1950086. [Google Scholar] [CrossRef]
- Pankaja; Pandeyb, B.; Kumarc, P.; Sharma, U.; Umesh, K.S. New tsallis agegraphic dark energy. arXiv 2022, arXiv:2205.01095. [Google Scholar] [CrossRef]
- Kumar, S.; Pandeyb, B.D.; Pankaj; Sharma, U.K. Kaniadakis agegraphic dark energy. arXiv 2022, arXiv:2205.03272. [Google Scholar]
- Fazlollahi, H.R. Agegraphic dark energy cosmology and quantum loop-correction. Phys. Dar. Univ. 2022, 35, 100962. [Google Scholar] [CrossRef]
- Barrow, J.D. The area of a rough black hole. Phys. Lett. B 2020, 808, 135643. [Google Scholar] [CrossRef] [PubMed]
- Anagnostopoulos, F.K.; Basilakos, S.; Saridakis, E.N. Observational constraints on Barrow holographic dark energy. Eur. Phys. J. C 2020, 80, 826. [Google Scholar] [CrossRef]
- Saridakis, E.N. Barrow holographic dark energy. Phys. Rev. D 2020, 102, 123525. [Google Scholar] [CrossRef]
- Sharma, U.; Varshney, G.; Dubey, V. Barrow agegraphic dark energy. Int. J. Mode. Phys. D 2021, 30, 2150021. [Google Scholar] [CrossRef]
- Guo, J.Q.; Frolov, A.V. Cosmological dynamics in f(R)gravity. Phys. Rev. D 2013, 88, 124036. [Google Scholar] [CrossRef]
- Fu, X.Y.; Yu, H.W.; Wu, P.X. Dynamics of interacting phantom scalar field dark energy in loop quantum cosmology. Phys. Rev. D 2008, 78, 063001. [Google Scholar] [CrossRef]
- Wu, P.X.; Zhang, S.N. Cosmological evolution of the interacting phantom (quintessence) model in loop quantum gravity. J. Cosmol. Astropart. Phys. 2008, 2008, 007. [Google Scholar] [CrossRef]
- Copeland, E.J.; Liddle, A.R.; Wands, D. Exponential potentials and cosmological scaling solutions. Phys. Rev. D 1998, 57, 4686. [Google Scholar] [CrossRef]
- Holden, D.; Wands, D. Sterile neutrino dark matter in B-L extension of the standard model and galactic 511 keV line. Class. Quantum Gravity 1998, 15, 3271. [Google Scholar] [CrossRef]
- Roy, N.; Banerjee, N. Quintessence scalar field: A dynamical systems study. Eur. Phys. J. Plus 2014, 129, 162. [Google Scholar] [CrossRef]
- Roy, N.; Banerjee, N. Dynamical systems study of chameleon scalar field. Ann. Phys. 2015, 356, 452–466. [Google Scholar] [CrossRef]
- Dutta, J.; Khyllep, W.; Tamanini, N. Cosmological dynamics of scalar fields with kinetic corrections: Beyond the exponential potential. Phys. Rev. D 2016, 93, 063004. [Google Scholar] [CrossRef]
- Bhatia, A.S.; Sur, S. Dynamical system analysis of dark energy models in scalar coupled Metric-Torsion theories. Int. J. Mod. Phys. D 2017, 26, 1750149. [Google Scholar] [CrossRef]
- Sola, J.; Gomez-Valent, A.; de Cruz Perez, J. Dynamical dark energy: Scalar fields and running vacuum. Mod. Phys. Lett. A 2017, 32, 1750054. [Google Scholar] [CrossRef]
- Carloni, S.; Leach, J.; Capozziello, S.; Dunsby, P. Cosmological dynamics of scalar–tensor gravity. Class. Quantum Gravity 2008, 25, 035008. [Google Scholar] [CrossRef]
- Wu, P.X.; Yu, H.W. The dynamical behavior of f(T) theory. Phys. Lett. B 2010, 692, 176–179. [Google Scholar] [CrossRef]
- Wei, H. Dynamics of teleparallel dark energy. Phys. Lett. B 2012, 712, 430–436. [Google Scholar] [CrossRef]
- Dutta, J.; Khyllep, W.; Saridakis, E.; Tamanini, N.; Vagnozzi, S. Cosmological dynamics of mimetic gravity. J. Cosmol. Astropart. Phys. 2018, 2018, 041. [Google Scholar] [CrossRef]
- Bargach, A.; Bargach, F.; Ouali, T. Dynamical system approach of non-minimal coupling in holographic cosmology. Nucl. Phys. B 2019, 940, 10–33. [Google Scholar] [CrossRef]
- Setare, M.R.; Vagenas, E.C. The cosmological dynamics of interacting holographic dark energy model. Int. J. Mod. Phys. D 2009, 18, 147–157. [Google Scholar] [CrossRef]
- Banerjee, N.; Roy, N. Stability analysis of a holographic dark energy model. Gen. Relativ. Gravit 2015, 47, 92. [Google Scholar] [CrossRef]
- Huang, Q.H.; Huang, H.; Chen, J.; Zhang, L.; Tu, F.Q. Stability analysis of a Tsallis holographic dark energy model. Class. Quantum Gravity 2019, 36, 175001. [Google Scholar] [CrossRef]
- Huang, Q.H.; Huang, H.; Xu, B.; Tu, F.Q.; Chen, J. Dynamical analysis and statefinder of Barrow holographic dark energy. Eur. Phys. J. C 2021, 81, 686. [Google Scholar] [CrossRef]
- Huang, Q.; Zhang, R.; Chen, J.; Huang, H.; Tu, F. Phase space analysis of the Umami Chaplygin model. Mod. Phys. Lett. A 2021, 36, 2150052. [Google Scholar] [CrossRef]
- Huang, H.; Huang, Q.H.; Zhang, R.J. Phase space analysis of tsallis agegraphic dark energy. Gen. Relat. Gravi. 2021, 53, 63. [Google Scholar] [CrossRef]
- Lemets, O.A.; Yerokhin, D.A.; Zazunov, L.G. Interacting agegraphic dark energy models in phase space. J. Cosmol. Astropart. Phys. 2011, 2011, 007. [Google Scholar] [CrossRef]
- Farajollahi, H.; Sadeghi, J.; Pourali, M.; Salehi, A. Stability analysis of agegraphic dark energy in Brans-Dicke cosmology. Astrophys. Space Sci. 2012, 339, 79–85. [Google Scholar] [CrossRef][Green Version]
- Bahamonde, S.; Bohmer, C.G.; Carloni, S.; Copeland, E.J.; Fang, W.; Tamanini, N. Dynamical systems applied to cosmology: Dark energy and modified gravity. Phys. Rep. 2018, 775, 1–122. [Google Scholar] [CrossRef]
- Caldera-Cabral, G.; Maartens, R.; Urena-Lopez, L.A. Dynamics of interacting dark energy. Phys. Rev. D 2009, 79, 063518. [Google Scholar] [CrossRef]
- Akhlaghi, I.; Malekjani, M.; Basilakos, S.; Haghi, H. Model selection and constraints from holographic dark energy scenarios. Mon. Not. R. Astron. Soc. 2018, 477, 3659–3671. [Google Scholar] [CrossRef]
- Cao, S.; Zhang, T.; Wang, X.; Zhang, T. Cosmological Constraints on the Coupling Model from Observational Hubble Parameter and Baryon Acoustic Oscillation Measurements. Universe 2021, 7, 57. [Google Scholar] [CrossRef]







| q | ||||||
|---|---|---|---|---|---|---|
| 1 | ||||||
| 1 | ||||||
| q | |||
|---|---|---|---|
| 1 | |||
| 1 | |||
| − | |||
| − | |||
| q | |||
|---|---|---|---|
| 1 | |||
| 1 | |||
| − | |||
| − | |||
Publisher’s Note: MDPI stays neutral with regard to jurisdictional claims in published maps and institutional affiliations. |
© 2022 by the authors. Licensee MDPI, Basel, Switzerland. This article is an open access article distributed under the terms and conditions of the Creative Commons Attribution (CC BY) license (https://creativecommons.org/licenses/by/4.0/).
Share and Cite
Huang, H.; Huang, Q.; Zhang, R. Phase Space Analysis of Barrow Agegraphic Dark Energy. Universe 2022, 8, 467. https://doi.org/10.3390/universe8090467
Huang H, Huang Q, Zhang R. Phase Space Analysis of Barrow Agegraphic Dark Energy. Universe. 2022; 8(9):467. https://doi.org/10.3390/universe8090467
Chicago/Turabian StyleHuang, Hai, Qihong Huang, and Ruanjing Zhang. 2022. "Phase Space Analysis of Barrow Agegraphic Dark Energy" Universe 8, no. 9: 467. https://doi.org/10.3390/universe8090467
APA StyleHuang, H., Huang, Q., & Zhang, R. (2022). Phase Space Analysis of Barrow Agegraphic Dark Energy. Universe, 8(9), 467. https://doi.org/10.3390/universe8090467
